Submitted:
28 May 2025
Posted:
29 May 2025
You are already at the latest version
Abstract
Keywords:
1. Introduction
2. Materials and Methods
2.1. CS-Model
2.2. Flume
2.3. Reference Scenario
2.4. Scenario Definition
3. Results
3.1. CS-Model
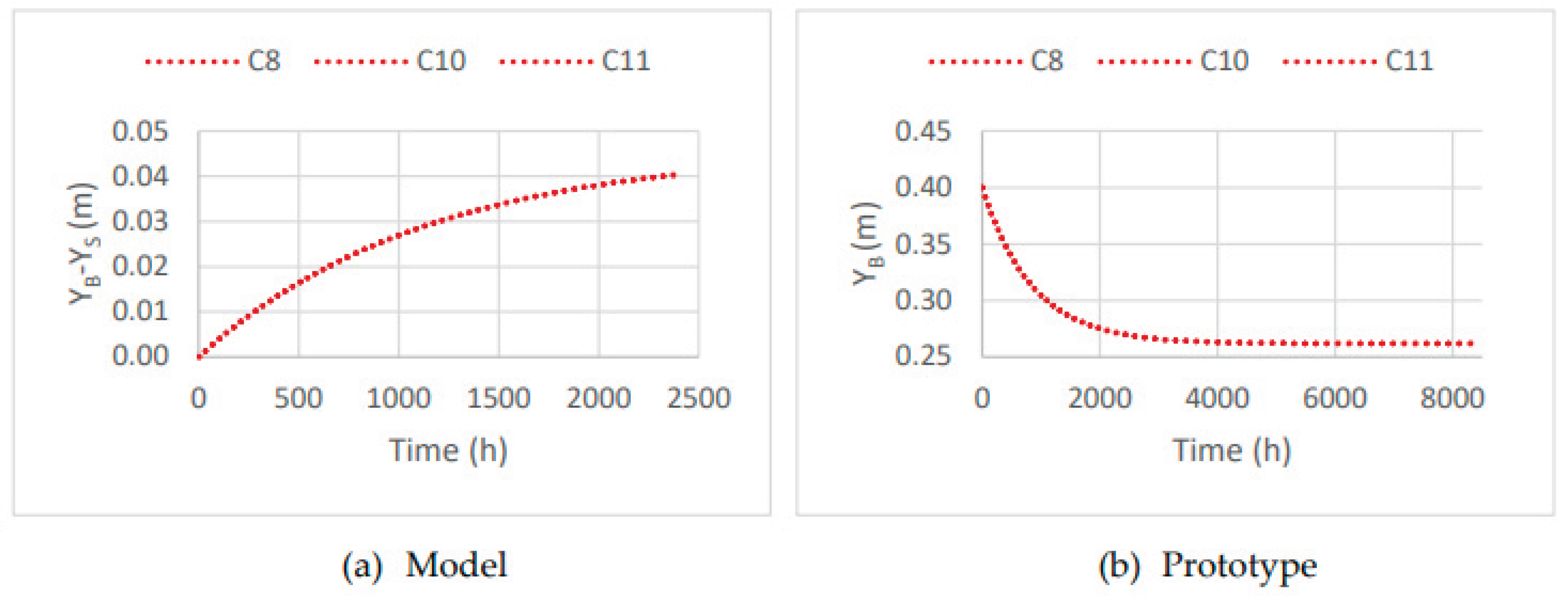
3.1.1. Water Level
3.1.2. Berm Width
3.1.3. Volume of the Submerged Bar
3.1.4. Bar Shape
3.2. Flume
3.2.1. Water Level
3.2.2. Berm Width
3.2.3. Volume of the Submerged Bar
3.2.4. Bar Shape
4. Discussion
5. Conclusions
References
- Larson M, Palalane J, Fredriksson C, Hanson H. Simulating cross-shore material exchange at decadal scale. Theory and model component validation. Coastal Engineering 2016; 116: 57–66. [CrossRef]
- Marinho B, Coelho C., Larson M, Hanson H. Simulating cross-shore evolution towards equilibrium of different beach nourishment schemes. Proceedings of Coastal Dynamics 2017, 2017, 15.
- Masselink G, Hughes M, Knight J. Introduction to Coastal Processes and Geomorphology. Routledge, 2014.
- Roelvink D, Reniers A, van Dongeren A, van Thiel de Vries J, McCall R, Lescinski J. Modelling storm impacts on beaches, dunes and barrier islands. Coastal Engineering 2009; 56: 1133–1152.
- DHI. MIKE 21. User manual. DHI Water & Environment, 2012.
- Guimarães A, Coelho C, Veloso-Gomes F, Silva PA. 3D Physical Modeling of an Artificial Beach Nourishment: Laboratory Procedures and Nourishment Performance. J Mar Sci Eng 2021; 9: 613. [CrossRef]
- Marinho B. Artificial nourishments as a coastal defense solution: monitoring and modelling approaches (PhD Thesis). 2018.
- Larson M, Erikson L, Hanson H. An analytical model to predict dune erosion due to wave impact. Coastal Engineering 2004; 51: 675–696. [CrossRef]
- Fisher JS, Overton MF, Chisholm T. Field Measurements of Dune Erosion. Coastal Engineering 1986, American Society of Civil Engineers 1987, 1107–1115.
- Nishi R, Kraus N. Mechanism and calculation of sand dune erosion by storms. Proceedings of the 25th Coastal Engineering Conference, American Society of Civil Engineers (ASCE) 1996; 3034–3047.
- Larson M, Donnelly C, Jiménez JA, Hanson H. Analytical model of beach erosion and overwash during storms. Proceedings of the Institution of Civil Engineers - Maritime Engineering 2009; 162: 115–125.
- Vale D, Pires R. Avaliação do Espraiamento e Galgamento em Estruturas Costeiras. 2022.
- Coelho C. Riscos de exposição de frentes urbanas para diferentes intervenções de defesa costeira (PhD Thesis, in Portuguese). 2005.
- van Rijn LC, Tonnon PK, Walstra DJR. Numerical modelling of erosion and accretion of plane sloping beaches at different scales. Coastal Engineering 2011; 58: 637–655.
- Puleo JA, Lanckriet T, Conley D, Foster D. Sediment transport partitioning in the swash zone of a large-scale laboratory beach. Coastal Engineering 2016; 113: 73–87. [CrossRef]
- Ferreira AM, Coelho C, Silva PA. Medium-Term Effects of Dune Erosion and Longshore Sediment Transport on Beach–Dune Systems Evolution. J Mar Sci Eng 2024; 12: 1083. [CrossRef]
- Van Rijn LC, Tonnon PK, Sánchez-Arcilla A, Cáceres I, Grüne J. Scaling laws for beach and dune erosion processes. Coastal Engineering 2011; 58: 623–636. [CrossRef]
- Borsje BW, van Wesenbeeck BK, Dekker F et al. How ecological engineering can serve in coastal protection. Ecol Eng 2011; 37: 113–122. [CrossRef]
- Chun I, Lim HS, Shim JS, Park KS. Numerical Analysis of the Performance of Perforated Coastal Structures under Irregular Wave Conditions. J Coast Res 2015; 315: 1159–1169. [CrossRef]



























| H0(cm) | T (s) | YL (cm) | YS (cm) | βL (°) | βS (°) | βF (°) | S (cm) |
|---|---|---|---|---|---|---|---|
| 5 | 1.48 | 10 | 40 | 18.33 | 13.75 | 26.56 | 3.75 |
| Scenarios | YB (cm) | DB (cm) | DC (cm) | VB0 (cm3/cm) |
|---|---|---|---|---|
| C0 | 40.00 | 5.50 | 12.00 | 0.00 |
| C1 | 40.00 | 6.50 | 11.00 | 0.00 |
| C2 | 7.50 | 10.00 | ||
| C3 | 50.00 | 5.50 | 12.00 | 0.00 |
| C4 | 62.50 | |||
| C5 | 75.00 | |||
| C6 | 87.50 | |||
| C7 | 40.00 | 5.50 | 12.00 | 35.00 |
| C8 | 115.30 | |||
| C9 | 196.00 | |||
| C10 | 40.00 | 5.50 | 12.00 | 115.30 |
| *C11 |
| Test | Time (minutes) |
Volume | Differences | ||
|---|---|---|---|---|---|
| Erosion (x10-3m3/m) |
Bar (x10-3m3/m) |
Absolute1 (x10-3m3/m) |
Relative2 (%) |
||
|
C0 |
1 | 5.09 | 6.35 | 1.27 | 24.88 |
| 2 | 8.56 | 9.36 | 0.80 | 9.35 | |
| 3 | 9.56 | 10.67 | 1.11 | 11.61 | |
| 4 | 9.71 | 11.32 | 1.61 | 16.58 | |
| 5 | 10.12 | 11.31 | 1.19 | 11.76 | |
| 6 | 10.86 | 11.53 | 0.66 | 6.08 | |
|
C1 |
1 | 6.59 | 6.33 | 0.26 | 4.00 |
| 2 | 7.54 | 7.41 | 0.13 | 1.77 | |
| 3 | 8.61 | 7.93 | 0.68 | 7.93 | |
| 4 | 9.12 | 8.81 | 0.30 | 3.33 | |
| 5 | 9.61 | 9.00 | 0.61 | 6.36 | |
| 6 | 11.66 | 7.99 | 3.67 | 31.47 | |
|
C2 |
1 | 5.63 | 5.41 | 0.22 | 3.95 |
| 2 | 6.52 | 6.05 | 0.47 | 7.24 | |
| 3 | 6.93 | 6.97 | 0.04 | 0.54 | |
| 4 | 7.31 | 7.16 | 0.14 | 1.95 | |
| 5 | 8.15 | 7.40 | 0.74 | 9.11 | |
| 6 | 8.09 | 7.85 | 0.24 | 2.99 | |
|
Test |
Time (minutes) |
Volume | Differences | ||
|---|---|---|---|---|---|
| Erosion (x10-3m3/m) |
Bar (x10-3m3/m) |
Absolute1 (x10-3m3/m) |
Relative2 (%) |
||
|
C3 |
1 | 7.35 | 8.13 | 0.79 | 10.69 |
| 2 | 9.03 | 9.26 | 0.23 | 2.56 | |
| 3 | 9.73 | 9.59 | 0.13 | 1.38 | |
| 4 | 10.25 | 10.09 | 0.15 | 1.50 | |
| 5 | 11.19 | 10.31 | 0.87 | 7.81 | |
| 6 | 11.53 | 10.68 | 0.85 | 7.40 | |
|
C4 |
1 | 11.66 | 9.72 | 1.94 | 16.63 |
| 2 | 12.40 | 10.40 | 2.00 | 16.12 | |
| 3 | 12.66 | 10.94 | 1.72 | 13.58 | |
| 4 | 12.68 | 11.08 | 1.60 | 12.60 | |
| 5 | 13.25 | 11.09 | 2.16 | 16.29 | |
| 6 | 13.30 | 10.90 | 2.40 | 18.03 | |
|
C5 |
1 | 6.63 | 7.64 | 1.01 | 15.15 |
| 2 | 7.63 | 8.80 | 1.17 | 15.27 | |
| 3 | 8.37 | 9.15 | 0.79 | 9.38 | |
| 4 | 8.50 | 9.31 | 0.82 | 9.59 | |
| 5 | 9.02 | 10.07 | 1.06 | 11.70 | |
| 6 | 9.54 | 10.56 | 1.02 | 10.64 | |
|
C6 |
1 | 7.27 | 7.12 | 0.15 | 2.06 |
| 2 | 9.25 | 8.42 | 0.83 | 8.97 | |
| 3 | 9.89 | 10.13 | 0.24 | 2.43 | |
| 4 | 10.74 | 10.33 | 0.41 | 3.82 | |
| 5 | 11.41 | 10.54 | 0.87 | 7.62 | |
| 6 | 11.44 | 10.75 | 0.69 | 6.03 | |
|
Test |
Time (minutes) |
Volume | Differences | ||
|---|---|---|---|---|---|
| Erosion (x10-3m3/m) | Bar (x10-3m3/m) |
Absolute1 (x10-3m3/m) |
Relative2 (%) |
||
|
C7 |
1 | 4.02 | 3.22 | 0.80 | 19.89 |
| 2 | 4.68 | 3.56 | 1.12 | 23.92 | |
| 3 | 5.18 | 4.02 | 1.16 | 22.39 | |
| 4 | 5.22 | 3.88 | 1.34 | 25.66 | |
| 5 | 5.50 | 4.42 | 1.08 | 19.63 | |
| 6 | 5.49 | 4.61 | 0.88 | 16.03 | |
|
C8 |
1 | 1.90 | 2.03 | 0.13 | 7.00 |
| 2 | 2.53 | 2.74 | 0.20 | 8.01 | |
| 3 | 2.83 | 3.46 | 0.62 | 22.00 | |
| 4 | 2.81 | 3.39 | 0.58 | 20.46 | |
| 5 | 2.94 | 3.85 | 0.91 | 30.78 | |
| 6 | 3.28 | 3.93 | 0.66 | 19.97 | |
|
C9 |
1 | 2.55 | 2.23 | 0.32 | 12.72 |
| 2 | 2.68 | 2.28 | 0.39 | 14.76 | |
| 3 | 2.99 | 2.58 | 0.41 | 13.87 | |
| 4 | 3.18 | 2.91 | 0.27 | 8.64 | |
| 5 | 3.32 | 3.03 | 0.29 | 8.87 | |
| 6 | 3.30 | 3.13 | 0.17 | 5.29 | |
|
Test |
Time (minutes) |
Volume | Differences | ||
| Erosion (x10-3m3/m) | Bar (x10-3m3/m) |
Absolute1 (x10-3m3/m) |
Relative2 (%) |
||
|
C10 |
1 | 1.12 | 1.59 | 0.47 | 41.56 |
| 2 | 1.67 | 2.31 | 0.65 | 38.75 | |
| 3 | 2.43 | 3.19 | 0.77 | 31.54 | |
| 4 | 2.49 | 3.54 | 1.05 | 41.95 | |
| 5 | 2.47 | 3.70 | 1.22 | 49.52 | |
| 6 | 2.76 | 3.88 | 1.13 | 40.84 | |
|
C11 |
1 | 0.65 | 0.95 | 0.30 | 45.69 |
| 2 | 1.06 | 1.15 | 0.09 | 8.93 | |
| 3 | 1.06 | 1.25 | 0.19 | 17.63 | |
| 4 | 1.03 | 1.29 | 0.27 | 26.00 | |
| 5 | 0.97 | 1.28 | 0.31 | 31.64 | |
| 6 | 0.89 | 1.32 | 0.44 | 49.27 | |
Disclaimer/Publisher’s Note: The statements, opinions and data contained in all publications are solely those of the individual author(s) and contributor(s) and not of MDPI and/or the editor(s). MDPI and/or the editor(s) disclaim responsibility for any injury to people or property resulting from any ideas, methods, instructions or products referred to in the content. |
© 2025 by the authors. Licensee MDPI, Basel, Switzerland. This article is an open access article distributed under the terms and conditions of the Creative Commons Attribution (CC BY) license (https://creativecommons.org/licenses/by/4.0/).