Submitted:
21 May 2025
Posted:
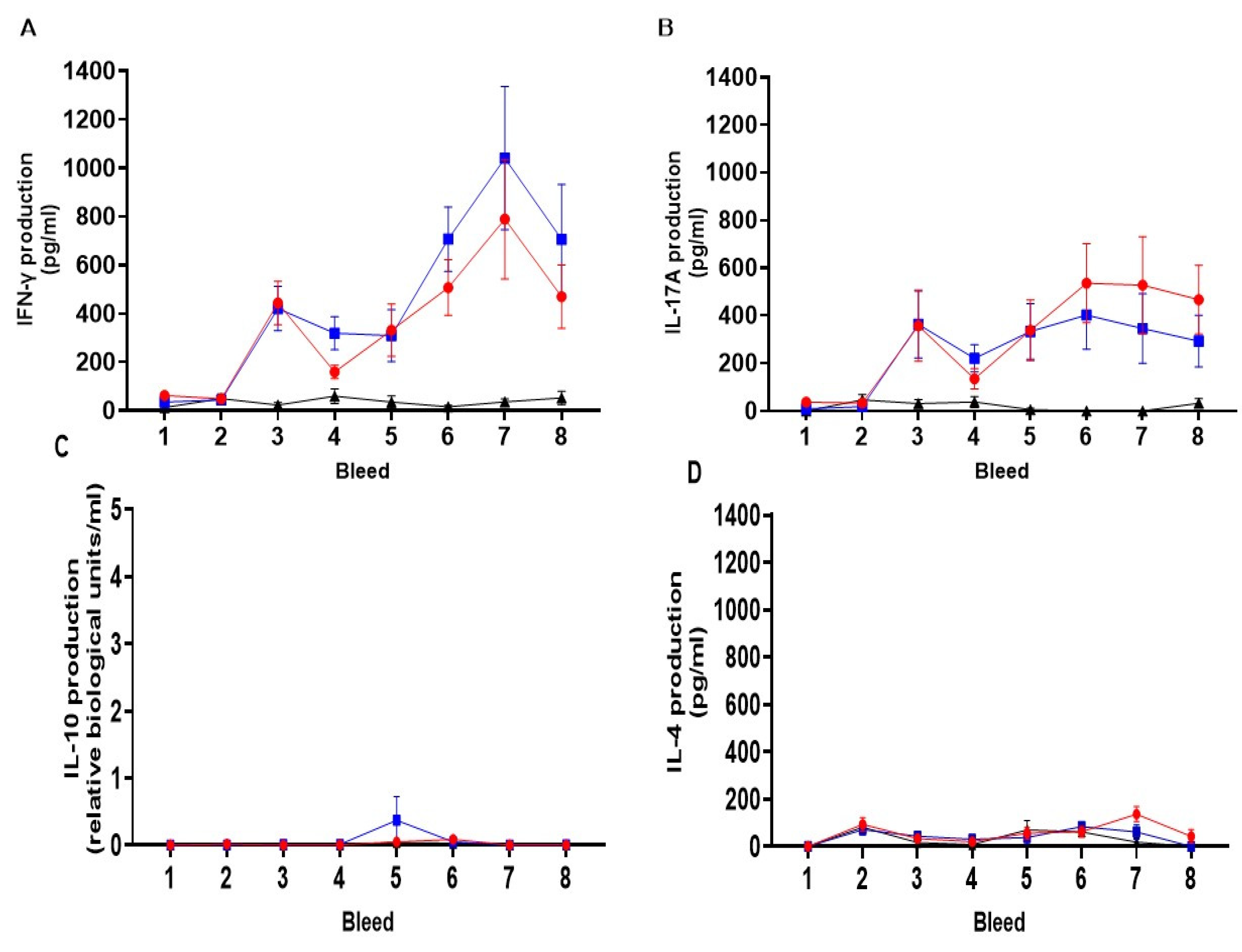
23 May 2025
You are already at the latest version
Abstract
Keywords:
1. Introduction
2. Materials and Methods
2.1. Project Overview
2.2. Production and Evaluation of the Recombinant Modified Orf Virus Encoding the ompA Gene of C. abortus (mORFV-ompA)
2.3. Production of the Recombinant Modified Maedi Visna Virus Encoding the ompA Gene of C. abortus (mMVV-ompA)
2.4. Evaluation of mMVV-ompA
2.4.1. Detection of Protein Expression
2.4.2. Determination of mMVV-ompA Vector Titre
2.5. Experimental Animals and Ethics Statement
2.6. Selection of Sheep for the Immunogencity Studies
2.7. Preparation and Administration of the ompA Virus Vaccines and Blood Sample Schedules for Immunogenicity Studies A and B
2.8. Serological Responses to C. abortus MOMP
2.9. Cellular Analysis
2.10. Assessment of Humoral Responses to ORFV
2.11. Statistical Analyses
3. Results
3.1. Confirmation of ompA Gene mRNA/MOMP Protein from Vaccine Constructs In Vitro
3.2. Screening of Antigen Reactivity to MOMP in Sheep Cohort for Study A
3.2.1. Antibody Responses to MOMP
3.2.2. Screening of Sheep Cohort for Assignment of Vaccine and Control Groups by Evaluation of Cellular Baseline Responses to Concanavalin A and Recall Responses to Chlamydial Antigens
3.3. Humoral and Cellular Antigen-Driven Responses to MOMP Following Immunisation with ompA vaccines
3.3.1. Anti-MOMP IgG Responses
3.3.2. Cellular IFN-γ Responses Following Vaccine-Delivered ompA
3.4. Evaluation of mORFV-ompA Inactivation
3.5. Comprehensive Immunogenicity Evaluation of Live and Inactivated mORFV-ompA In Vivo in Sheep
3.5.1. Screening of Sheep Cohort for the Comprehensive Immunogenicity Study B Comparing Live and Inactivated mORFV-ompA
3.5.2. Humoral Responses to MOMP in ORFV-ompA Immunisation Study B
3.5.3. Cellular Immune Responses
3.5.4. Cellular Immune Responses to the MOMP Antigen in Sheep Following Immunisation with mORFV-ompA
3.5.5. Humoral Responses to the Vaccine Backbone, ORFV
4. Discussion
5. Conclusions
Supplementary Materials
Author Contributions
Funding
Institutional Review Board Statement
Informed Consent Statement
Data Availability Statement
Acknowledgments
Conflicts of Interest
References
- Draper, S.J.; Heeney, J.L. Viruses as vaccine vectors for infectious diseases and cancer. Nat Rev Microbiol 2010, 8, 62-73. [CrossRef]
- Ghattas, M.; Dwivedi, G.; Lavertu, M.; Alameh, M.G. Vaccine Technologies and Platforms for Infectious Diseases: Current Progress, Challenges, and Opportunities. Vaccines (Basel) 2021, 9. [CrossRef]
- Yong, L.; Hutchings, C.; Barnes, E.; Klenerman, P.; Provine, N.M. Distinct Requirements for CD4(+) T Cell Help for Immune Responses Induced by mRNA and Adenovirus-Vector SARS-CoV-2 Vaccines. European journal of immunology 2025, 55, e202451142. [CrossRef]
- Condit, R.C.; Williamson, A.-L.; Sheets, R.; Seligman, S.J.; Monath, T.P.; Excler, J.-L.; Gurwith, M.; Bok, K.; Robertson, J.S.; Kim, D.; et al. Unique safety issues associated with virus-vectored vaccines: Potential for and theoretical consequences of recombination with wild type virus strains. Vaccine 2016, 34, 6610-6616. [CrossRef]
- McCann, N.; O’Connor, D.; Lambe, T.; Pollard, A.J. Viral vector vaccines. Curr Opin Immunol 2022, 77, 102210. [CrossRef]
- Wang, H.; Tian, J.; Zhao, J.; Zhao, Y.; Yang, H.; Zhang, G. Current Status of Poultry Recombinant Virus Vector Vaccine Development. Vaccines 2024, 12. [CrossRef]
- Entrican, G.; Bredell, H.; Charlier, J.; Cunningham, A.F.; Jarvis, M.A.; Wood, P.R.; Wren, B.W.; Hope, J.C. Opportunities and challenges for the adoption of novel platform technologies to develop veterinary bacterial vaccines. Vaccine 2025, 54, 127117. [CrossRef]
- Health, S.-I.I.R.C.o.A. Global Veterinary Vaccinology Research and Innovation Landscape Survey Report; 2022.
- Confer, A.W.; Ayalew, S. The OmpA family of proteins: Roles in bacterial pathogenesis and immunity. Veterinary Microbiology 2013, 163, 207-222. [CrossRef]
- Olsen, A.W.; Rosenkrands, I.; Holland, M.J.; Andersen, P.; Follmann, F. A Chlamydia trachomatis VD1-MOMP vaccine elicits cross-neutralizing and protective antibodies against C/C-related complex serovars. NPJ Vaccines 2021, 6, 58. [CrossRef]
- Entrican, G.; Wheelhouse, N.; Wattegedera, S.R.; Longbottom, D. New challenges for vaccination to prevent chlamydial abortion in sheep. Comp Immunol. Microbiol. Infect. Dis 2012, 35, 271-276. [CrossRef]
- Desclozeaux, M.; Robbins, A.; Jelocnik, M.; Khan, S.A.; Hanger, J.; Gerdts, V.; Potter, A.; Polkinghorne, A.; Timms, P. Immunization of a wild koala population with a recombinant Chlamydia pecorum Major Outer Membrane Protein (MOMP) or Polymorphic Membrane Protein (PMP) based vaccine: New insights into immune response, protection and clearance. PloS one 2017, 12, e0178786. [CrossRef]
- Tan, T.W.; Herring, A.J.; Anderson, I.E.; Jones, G.E. Protection of sheep against Chlamydia psittaci infection with a subcellular vaccine containing the major outer membrane protein. Infection and immunity 1990, 58, 3101-3108. [CrossRef]
- Mercer, A.A.; Norihito, U.A.; Sonja-Maria, F.B.; Hofmann, K.; Fraser, K.M.; Bateman, T.; Fleming, S.B. Comparative analysis of genome sequences of three isolates of Orf virus reveals unexpected sequence variation. Virus Research 2006, 116, 146-158. [CrossRef]
- Haig, D.M.; McInnes, C.J. Immunity and counter-immunity during infection with the parapoxvirus orf virus. Virus research 2002, 88, 3-16. [CrossRef]
- Travieso, T.; Li, J.; Mahesh, S.; Mello, J.; Blasi, M. The use of viral vectors in vaccine development. NPJ Vaccines 2022, 7, 75. [CrossRef]
- Moss, B. Poxvirus DNA replication. Cold Spring Harbor perspectives in biology 2013, 5. [CrossRef]
- Pincha, M.; Sundarasetty, B.S.; Stripecke, R. Lentiviral vectors for immunization: an inflammatory field. Expert Rev Vaccines 2010, 9, 309-321. [CrossRef]
- Shaw, A.; Cornetta, K. Design and Potential of Non-Integrating Lentiviral Vectors. Biomedicines 2014, 2, 14-35. [CrossRef]
- Iglesias, M.C.; Frenkiel, M.P.; Mollier, K.; Souque, P.; Despres, P.; Charneau, P. A single immunization with a minute dose of a lentiviral vector-based vaccine is highly effective at eliciting protective humoral immunity against West Nile virus. J Gene Med 2006, 8, 265-274. [CrossRef]
- García-Nicolás, O.; Ricklin, M.E.; Liniger, M.; Vielle, N.J.; Python, S.; Souque, P.; Charneau, P.; Summerfield, A. A Japanese Encephalitis Virus Vaccine Inducing Antibodies Strongly Enhancing In Vitro Infection Is Protective in Pigs. Viruses 2017, 9. [CrossRef]
- Gallinaro, A.; Borghi, M.; Bona, R.; Grasso, F.; Calzoletti, L.; Palladino, L.; Cecchetti, S.; Vescio, M.F.; Macchia, D.; Morante, V.; et al. Integrase Defective Lentiviral Vector as a Vaccine Platform for Delivering Influenza Antigens. Frontiers in immunology 2018, 9, 171. [CrossRef]
- Grasso, F.; Negri, D.R.; Mochi, S.; Rossi, A.; Cesolini, A.; Giovannelli, A.; Chiantore, M.V.; Leone, P.; Giorgi, C.; Cara, A. Successful therapeutic vaccination with integrase defective lentiviral vector expressing nononcogenic human papillomavirus E7 protein. Int J Cancer 2013, 132, 335-344. [CrossRef]
- Coutant, F.; Sanchez David, R.Y.; Félix, T.; Boulay, A.; Caleechurn, L.; Souque, P.; Thouvenot, C.; Bourgouin, C.; Beignon, A.S.; Charneau, P. A nonintegrative lentiviral vector-based vaccine provides long-term sterile protection against malaria. PloS one 2012, 7, e48644. [CrossRef]
- Kim, J.H.; Sohn, H.J.; Lee, J.; Yang, H.J.; Chwae, Y.J.; Kim, K.; Park, S.; Shin, H.J. Vaccination with lentiviral vector expressing the nfa1 gene confers a protective immune response to mice infected with Naegleria fowleri. Clinical and vaccine immunology: CVI 2013, 20, 1055-1060. [CrossRef]
- Mortazavidehkordi, N.; Fallah, A.; Abdollahi, A.; Kia, V.; Khanahmad, H.; Najafabadi, Z.G.; Hashemi, N.; Estiri, B.; Roudbari, Z.; Najafi, A.; et al. A lentiviral vaccine expressing KMP11-HASPB fusion protein increases immune response to Leishmania major in BALB/C. Parasitol Res 2018, 117, 2265-2273. [CrossRef]
- Karponi, G.; Kritas, S.; Petridou, E.; Papanikolaou, E. Efficient Transduction and Expansion of Ovine Macrophages for Gene Therapy Implementations. Vet Sci 2018, 5. [CrossRef]
- Braun, M.J.; Clements, J.E.; Gonda, M.A. The visna virus genome: evidence for a hypervariable site in the env gene and sequence homology among lentivirus envelope proteins. J Virol 1987, 61, 4046-4054. [CrossRef]
- McLean, R.K. Development of a novel lentiviral vaccine vector and characterisation of in vitro immune responses. The University of Edinburgh, 2018.
- Longbottom, D.; Livingstone, M.; Aitchison, K.D.; Imrie, L.; Manson, E.; Wheelhouse, N.; Inglis, N.F. Proteomic characterisation of the Chlamydia abortus outer membrane complex (COMC) using combined rapid monolithic column liquid chromatography and fast MS/MS scanning. PloS one 2019, 14, e0224070. [CrossRef]
- Livingstone, M.; Aitchison, K.; Palarea-Albaladejo, J.; Ciampi, F.; Underwood, C.; Paladino, A.; Chianini, F.; Entrican, G.; Wattegedera, S.R.; Longbottom, D. Protective Efficacy of Decreasing Antigen Doses of a Chlamydia abortus Subcellular Vaccine Against Ovine Enzootic Abortion in a Pregnant Sheep Challenge Model. Vaccines (Basel) 2025, 13. [CrossRef]
- Deane, D.; McInnes, C.J.; Percival, A.; Wood, A.; Thomson, J.; Lear, A.; Gilray, J.; Fleming, S.; Mercer, A.; Haig, D. Orf virus encodes a novel secreted protein inhibitor of granulocyte-macrophage colony-stimulating factor and interleukin-2. J Virol 2000, 74, 1313-1320. [CrossRef]
- Griffiths, D.J.M., Rebecca Kathryn. Small ruminant lentivirus vector. World patent application WO2020225150A1 patent. 2020.
- Ballandras-Colas, A.; Chivukula, V.; Gruszka, D.T.; Shan, Z.; Singh, P.K.; Pye, V.E.; McLean, R.K.; Bedwell, G.J.; Li, W.; Nans, A.; et al. Multivalent interactions essential for lentiviral integrase function. Nature communications 2022, 13, 2416. [CrossRef]
- Clapham, P.R.; McKnight, A.; Weiss, R.A. Human immunodeficiency virus type 2 infection and fusion of CD4-negative human cell lines: induction and enhancement by soluble CD4. J Virol 1992, 66, 3531-3537. [CrossRef]
- Reed, L.J.; Muench, H. A simple method of estimating fifty per cent endpoints. 1938.
- Percie du Sert, N.; Hurst, V.; Ahluwalia, A.; Alam, S.; Avey, M.T.; Baker, M.; Browne, W.J.; Clark, A.; Cuthill, I.C.; Dirnagl, U.; et al. The ARRIVE guidelines 2.0: updated guidelines for reporting animal research. J Physiol 2020, 598, 3793-3801. [CrossRef]
- SRUC. Premium Sheep & Goat Health Scheme. Available online: https://www.sruc.ac.uk/business-services/veterinary-laboratory-services/premium-sheep-goat-health-scheme/ (accessed on 13/05/2025).
- Wilson, K.; Livingstone, M.; Longbottom, D. Comparative evaluation of eight serological assays for diagnosing Chlamydophila abortus infection in sheep. Vet Microbiol 2009, 135, 38-45. [CrossRef]
- Wattegedera, S.R.; Livingstone, M.; Maley, S.; Rocchi, M.; Lee, S.; Pang, Y.; Wheelhouse, N.M.; Aitchison, K.; Palarea-Albaladejo, J.; Buxton, D.; et al. Defining immune correlates during latent and active chlamydial infection in sheep. Veterinary research 2020, 51, 75. [CrossRef]
- McKeever, D.J.; Reid, H.W.; Inglis, N.F.; Herring, A.J. A qualitative and quantitative assessment of the humoral antibody response of the sheep to orf virus infection. Vet Microbiol 1987, 15, 229-241. [CrossRef]
- Donachie, W.a.J., G.E. The use of ELISA to detect antibodies to Pasteurella haemolytica A2 and Mycoplasma ovipneumoniae in sheep with experimental chronic pneumonia. In The ELISA: Enzyme Linked Immunosorbent Assay in Veterinary Research and Diagnosis, Wardley, R.C.a.C., J.R., Ed.; MArtinus Nijhoff: The Hague/Boston/London, 1982; pp. 102-110.
- Benjamini, Y.; Hochberg, Y. Controlling the False Discovery Rate: A Practical and Powerful Approach to Multiple Testing. J. R. Stat. Soc. B 1995, 57, 289-300. [CrossRef]
- R Core Team. The R Project for Statistical Computing. Available online: https://www.r-project.org (accessed on 08 October 2024).
- Huang, H.S.; Tan, T.W.; Buxton, D.; Anderson, I.E.; Herring, A.J. Antibody response of the ovine lymph node to experimental infection with an ovine abortion strain of Chlamydia psittaci. Vet Microbiol 1990, 21, 345-351. [CrossRef]
- Longbottom, D.; Russell, M.; Dunbar, S.M.; Jones, G.E.; Herring, A.J. Molecular cloning and characterization of the genes coding for the highly immunogenic cluster of 90-kilodalton envelope proteins from the Chlamydia psittaci subtype that causes abortion in sheep. Infection and immunity 1998, 66, 1317-1324. [CrossRef]
- Livingstone, M.; Entrican, G.; Wattegedera, S.; Buxton, D.; McKendrick, I.J.; Longbottom, D. Antibody responses to recombinant protein fragments of the major outer membrane protein and polymorphic outer membrane protein POMP90 in Chlamydophila abortus-infected pregnant sheep. Clin. Diagn. Lab Immunol 2005, 12, 770-777.
- Gorrell, M.D.; Brandon, M.R.; Sheffer, D.; Adams, R.J.; Narayan, O. Ovine lentivirus is macrophagetropic and does not replicate productively in T lymphocytes. J Virol 1992, 66, 2679-2688. [CrossRef]
- Ryan, S.; Tiley, L.; McConnell, I.; Blacklaws, B. Infection of dendritic cells by the Maedi-Visna lentivirus. J Virol 2000, 74, 10096-10103. [CrossRef]
- Amann, R.; Rohde, J.; Wulle, U.; Conlee, D.; Raue, R.; Martinon, O.; Rziha, H.J. A new rabies vaccine based on a recombinant ORF virus (parapoxvirus) expressing the rabies virus glycoprotein. J Virol 2013, 87, 1618-1630. [CrossRef]
- Jha, R.; Srivastava, P.; Salhan, S.; Finckh, A.; Gabay, C.; Mittal, A.; Bas, S. Spontaneous secretion of interleukin-17 and -22 by human cervical cells in Chlamydia trachomatis infection. Microbes and infection / Institut Pasteur 2011, 13, 167-178. [CrossRef]
- Mathew, M.; Waugh, C.; Beagley, K.W.; Timms, P.; Polkinghorne, A. Interleukin 17A is an immune marker for chlamydial disease severity and pathogenesis in the koala (Phascolarctos cinereus). Developmental and comparative immunology 2014, 46, 423-429. [CrossRef]
- Olsen, A.W.; Rosenkrands, I.; Jacobsen, C.S.; Cheeseman, H.M.; Kristiansen, M.P.; Dietrich, J.; Shattock, R.J.; Follmann, F. Immune signature of Chlamydia vaccine CTH522/CAF®01 translates from mouse-to-human and induces durable protection in mice. Nature communications 2024, 15, 1665. [CrossRef]
- Proctor, J.; Stadler, M.; Cortes, L.M.; Brodsky, D.; Poisson, L.; Gerdts, V.; Smirnov, A.I.; Smirnova, T.I.; Barua, S.; Leahy, D.; et al. A TriAdj-Adjuvanted Chlamydia trachomatis CPAF Protein Vaccine Is Highly Immunogenic in Pigs. Vaccines (Basel) 2024, 12. [CrossRef]
- Entrican, G.; Francis, M.J. Applications of platform technologies in veterinary vaccinology and the benefits for one health. Vaccine 2022, 40, 2833-2840. [CrossRef]
- De Meyst, A.; Aaziz, R.; Pex, J.; Braeckman, L.; Livingstone, M.; Longbottom, D.; Laroucau, K.; Vanrompay, D. Prevalence of New and Established Avian Chlamydial Species in Humans and Their Psittacine Pet Birds in Belgium. Microorganisms 2022, 10. [CrossRef]
- Reemers, S.; Peeters, L.; van Schijndel, J.; Bruton, B.; Sutton, D.; van der Waart, L.; van de Zande, S. Novel Trivalent Vectored Vaccine for Control of Myxomatosis and Disease Caused by Classical and a New Genotype of Rabbit Haemorrhagic Disease Virus. Vaccines (Basel) 2020, 8. [CrossRef]
- Pagallies, F.; Labisch, J.J.; Wronska, M.; Pflanz, K.; Amann, R. Efficient and scalable clarification of Orf virus from HEK suspension for vaccine development. Vaccine: X 2024, 18, 100474. [CrossRef]
- Eilts, F.; Labisch, J.J.; Orbay, S.; Harsy, Y.M.J.; Steger, M.; Pagallies, F.; Amann, R.; Pflanz, K.; Wolff, M.W. Stability studies for the identification of critical process parameters for a pharmaceutical production of the Orf virus. Vaccine 2023, 41, 4731-4742. [CrossRef]
- Lothert, K.; Pagallies, F.; Eilts, F.; Sivanesapillai, A.; Hardt, M.; Moebus, A.; Feger, T.; Amann, R.; Wolff, M.W. A scalable downstream process for the purification of the cell culture-derived Orf virus for human or veterinary applications. J Biotechnol 2020, 323, 221-230. [CrossRef]







Disclaimer/Publisher’s Note: The statements, opinions and data contained in all publications are solely those of the individual author(s) and contributor(s) and not of MDPI and/or the editor(s). MDPI and/or the editor(s) disclaim responsibility for any injury to people or property resulting from any ideas, methods, instructions or products referred to in the content. |
© 2025 by the authors. Licensee MDPI, Basel, Switzerland. This article is an open access article distributed under the terms and conditions of the Creative Commons Attribution (CC BY) license (http://creativecommons.org/licenses/by/4.0/).