Submitted:
16 May 2025
Posted:
19 May 2025
You are already at the latest version
Abstract

Keywords:
1. Introduction
- synchronized: in this case, human operators and robots share the same workspace but at different times;
- coexistence: humans and robots can share the same workspace at the same time, but they do not interact;
- cooperation: humans and robots work in the same workspace at the same time, and they interact;
- collaboration: humans and robots interact to execute a task together.
- RQ1: Can stress, mental workload, and attention be objectively evaluated by an affordable and ergonomic device like the MN8?
- RQ2: Can acoustic signals denoting the cobot’s intention relieve stress and mental workload?
2. Materials and Methods
- the nasion and inion are used as anatomical landmarks;
- the total distance D between the landmarks is used to place the electrodes: the distances between electrodes are either 10% or 20% of D;
- the capital letters “F”, “T”, “C”, “P”, and “O” are used to denote frontal, temporal, central, parietal, and occipital lobes, respectively;
- on the right hemisphere are placed electrodes denoted by even numbers, whereas on the left hemisphere are placed electrodes denoted by odd numbers;
- A "Z" capital letter denotes electrodes placed in the midline.
2.1. The MN8 Device
- waves: Used to compute the cognitive workload → higher values are associated to a higher workload;
- waves: Used to determine the stress → lower values are associated to a higher stress;
- Low waves: Used to evaluate a moderate focus → higher values are associated with higher attention and cognitive load;
- High waves: Used to evaluate anxiety and stress → higher values are associated with higher anxiety or stress;
- waves: Not directly used in this research, but they might evaluate the cognitive workload when complex information is processed.
2.2. Exercises for Mental State Classification
2.3. The Proposed Protocol
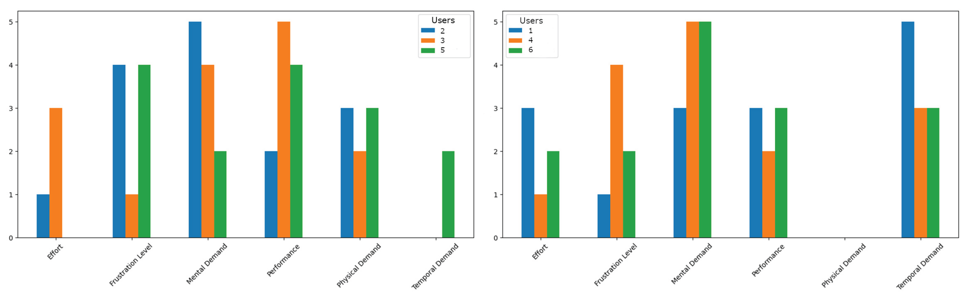
3. Results

4. Discussion
4.1. Limitations
5. Conclusions
Author Contributions
Funding
Institutional Review Board Statement
Informed Consent Statement
Data Availability Statement
Conflicts of Interest
Abbreviations
| BCI | Brain-computer interface |
| cobot | Collaborative robot |
| EDA | Electrodermal Activity |
| EEG | Electroencephalogram |
| EMG | Electromyogram |
| FFT | Fast Fourier transform |
| HRC | Human-robot collaboration |
| ISO | International Organization for Standardization |
| MDPI | Multidisciplinary Digital Publishing Institute |
| SART | Sustained attention to response task |
| SPR | Skin potential response |
References
- Müller, R.; Vette, M.; Geenen, A. Skill-based dynamic task allocation in Human-Robot-Cooperation with the example of welding application. Procedia Manuf. 2017, 11, 13–21. [Google Scholar] [CrossRef]
- ISO/TS 15066:2016 Robots and robotic devices — Collaborative robots. Available online: https://www.iso.org/standard/62996.html (accessed on 2 April 2025).
- Pacaux-Lemoine, M.P.; Flemisch, F. Layers of shared and cooperative control, assistance and automation. Cogn. Technol. Work. 2019, 21, 579–591. [Google Scholar] [CrossRef]
- Pacaux-Lemoine, M. P.; & Trentesaux, D. Ethical risks of human-machine symbiosis in industry 4.0: insights from the human-machine cooperation approach. IFAC-PapersOnLine 2019, 11, 19–24.
- Pacaux-Lemoine, M. P.; & Flemisch, F. Layers of Shared and Cooperative Control, assistance and automation. IFAC-PapersOnLine 2016, 49, 159–164.
- Schneemann, F.; Diederichs, F. Action prediction with the jordan model of human intention: A contribution to cooperative control. Cogn. Technol. Work. 2019, 21, 579–591. [Google Scholar] [CrossRef]
- The NASA Task Load Index (TLX) v. 1.0 Manual (1986): https://humansystems.arc.nasa.gov/groups/TLX/downloads/TLX.pdf (accessed on 2 April 2025).
- Lu, L.; Xie, Z.; Wang, H.; Li, L.; Xu, X. Mental stress and safety awareness during human-robot collaboration-Review. Applied ergonomics 2022, 105, 103832. [Google Scholar] [CrossRef] [PubMed]
- Arai, T.; Kato, R.; Fujita, M. Assessment of operator stress induced by robot collaboration in assembly. CIRP annals 2010, 59(1), 5–8. [Google Scholar] [CrossRef]
- Mariscal, M.A.; Ortiz Barcina, S.; García Herrero, S.; López Perea, E. M. Working with collaborative robots and its influence on levels of working stress. International Journal of Computer Integrated Manufacturing 2024, 37(7), 900–919. [Google Scholar] [CrossRef]
- Mridha, M.F.; Das, S.C.; Kabir, M.M.; Lima, A.A.; Islam, M.R.; Watanobe, Y. Brain-Computer Interface: Advancement and Challenges. Sensors 2021, 21, 5746. [Google Scholar] [CrossRef] [PubMed]
- The MN8 Emotiv device. Available online: https://www.emotiv.com/products/mn8 (accessed on 2 April 2025).
- Nayak C.S.; Anilkumar A.C. EEG Normal Waveforms. https://www.ncbi.nlm.nih.gov/books/NBK539805/ (accessed on 2 April 2025).
- Puma, S.; Matton, N.; Paubel, P.V.; Raufaste, E.; El-Yagoubi, R. Using theta and alpha band power to assess cognitive workload in multitasking environments. International journal of psychophysiology 2018, 123, 111–120. [Google Scholar] [CrossRef] [PubMed]
- Fernandez Rojas, R.; Debie, E.; Fidock, J.; Barlow, M.; Kasmarik, K.; Anavatti, S.; Garratt, M.; Abbass, H. Electroencephalographic workload indicators during teleoperation of an unmanned aerial vehicle shepherding a swarm of unmanned ground vehicles in contested environments. Frontiers in neuroscience 2020, 14, 40. [Google Scholar] [CrossRef] [PubMed]
- Homan, R.W.; Herman, J.; Purdy, P. Cerebral location of international 10-20 system electrode placement. Electroencephalography and Clinical Neurophysiology 1987, 66(4), 376–82. [Google Scholar] [CrossRef] [PubMed]
- Ackerman, E.; Strickland, E. Are You Ready for Workplace Brain Scanning?: Leveraging brain data will make workers happier and more productive, backers say. IEEE Spectrum 2022, 59(12), 46–52. [Google Scholar] [CrossRef]
- EmotivPro web page. Available online: https://www.emotiv.com/products/emotivpro (accessed on 2 April 2025).
- Bagheri, M.; Power, S.D. Simultaneous Classification of Both Mental Workload and Stress Level Suitable for an Online Passive Brain–Computer Interface. Sensors 2022, 22(2), 535. [Google Scholar] [CrossRef] [PubMed]
- Jun G.; Smitha, K.G. EEG based stress level identification». In Proceedings of the IEEE International Conference on Systems, Man, and Cybernetics (SMC), 2016, pp. 003270–-003274.
- Stroop, J.R. Studies of interference in serial verbal reactions. Journal of Experimental Psychology 1935, 18, 643–662. [Google Scholar] [CrossRef]
- Mohammadpour, M.; Mozaffari, S. Classification of EEG-based attention for brain computer interface. In Proceedings of the 3rd Iranian conference on intelligent systems and signal processing (ICSPIS), 2017, 34–37.
- Rizzo, R.; Knight, S.P.; Davis, J.R.; Newman, L.; Duggan, E.; Kenny, R.A.; Romero-Ortuno, R. Longitudinal study on sustained attention to response task (SART): Clustering approach for mobility and cognitive decline. Geriatrics 2022, 7(3), 51. [Google Scholar] [CrossRef] [PubMed]
- Smitha, K.G.; Xin, N.Y.; Lian, S.S.; Robinson, N. Classifying subjective emotional stress response evoked by multitasking using EEG. In Proceedings of IEEE International conference on systems, man, and cybernetics (SMC), 2017, 3036–3041.
- The Vise Web Site. Available online: https://www.thingiverse.com/thing:2064269 (accessed on 2 April 2025).
- e.DO Website. Available online: https://edo.cloud/ (accessed on 2 April 2025).





| Index | Cognitive behavior | Description |
|---|---|---|
| mental workload, focus, attention | waves amplitude grows for tasks requiring extended focus and attention | |
| mental workload, fatigue, and attention | waves amplitude grows when the user keeps their eyes closed; a growing power is associated with lower mental alertness and readiness | |
| mental workload, focus, and visual attention | waves amplitude grows when the user is focused and performs mental tasks; these waves also indicate visual attention | |
| mental effort, attention, and vigilance | this index has been used to denote readiness, commitment, mental focus, and cognitive workload | |
| workload, mental effort | this index is based on the assumption that grows when the user is relaxed and grows when the user is focused and aware | |
| work memory, attention, and drowsiness | this index is based on the assumption that when the readiness and the commitment grow, the waves power grows and the waves power decreases |
Disclaimer/Publisher’s Note: The statements, opinions and data contained in all publications are solely those of the individual author(s) and contributor(s) and not of MDPI and/or the editor(s). MDPI and/or the editor(s) disclaim responsibility for any injury to people or property resulting from any ideas, methods, instructions or products referred to in the content. |
© 2025 by the authors. Licensee MDPI, Basel, Switzerland. This article is an open access article distributed under the terms and conditions of the Creative Commons Attribution (CC BY) license (http://creativecommons.org/licenses/by/4.0/).