Submitted:
14 May 2025
Posted:
15 May 2025
You are already at the latest version
Abstract
Keywords:
1. Introduction
2. Materials and Methods
2.1. Study Population
2.2. Active Stand
2.3. Adverse Health Outcomes
2.4. Instrumentation
2.5. Signal Acquisition, Synchronization and Preprocessing
2.6. Statistical Parametric Mapping
2.7. Statistical Analyses
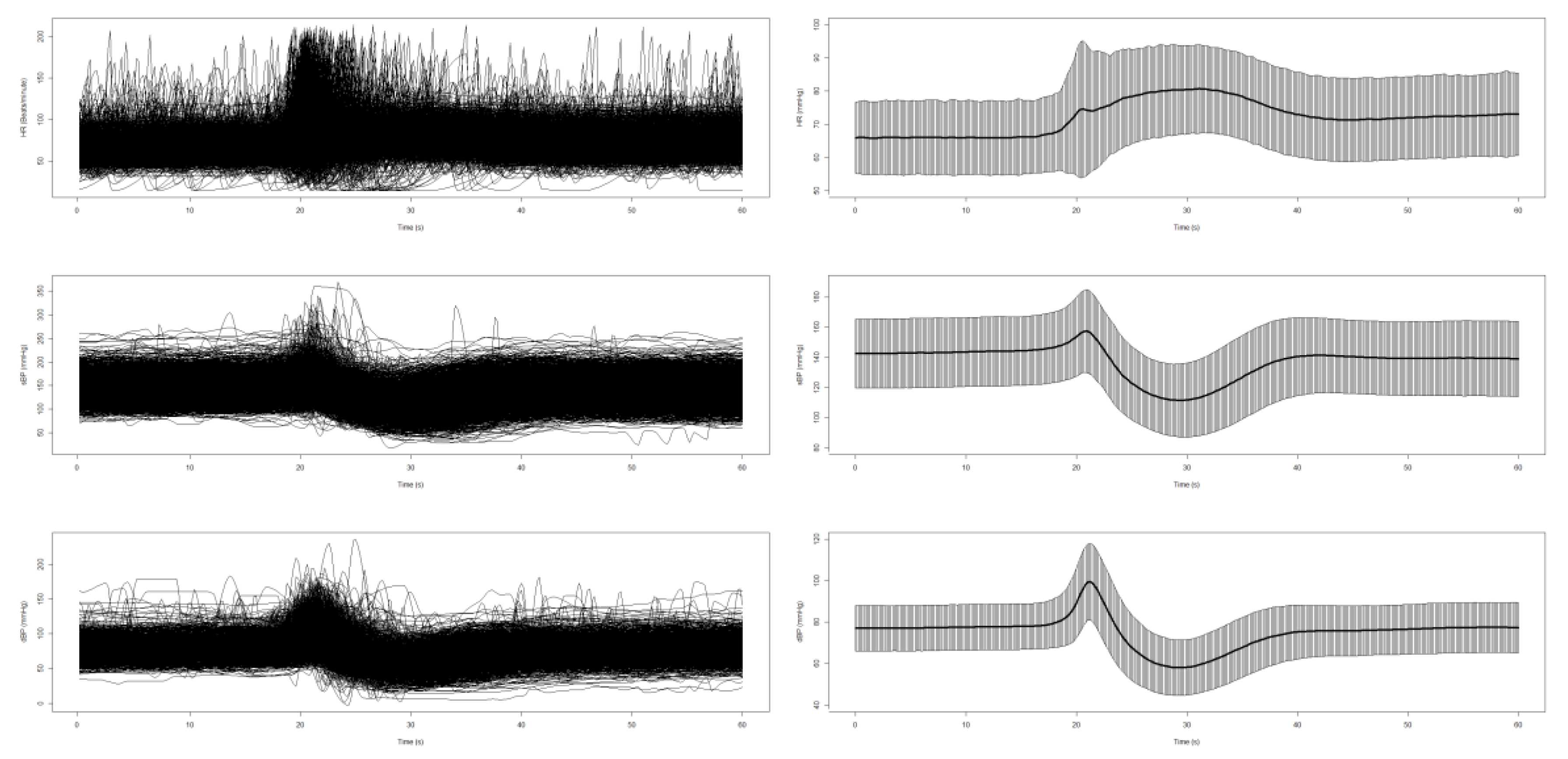
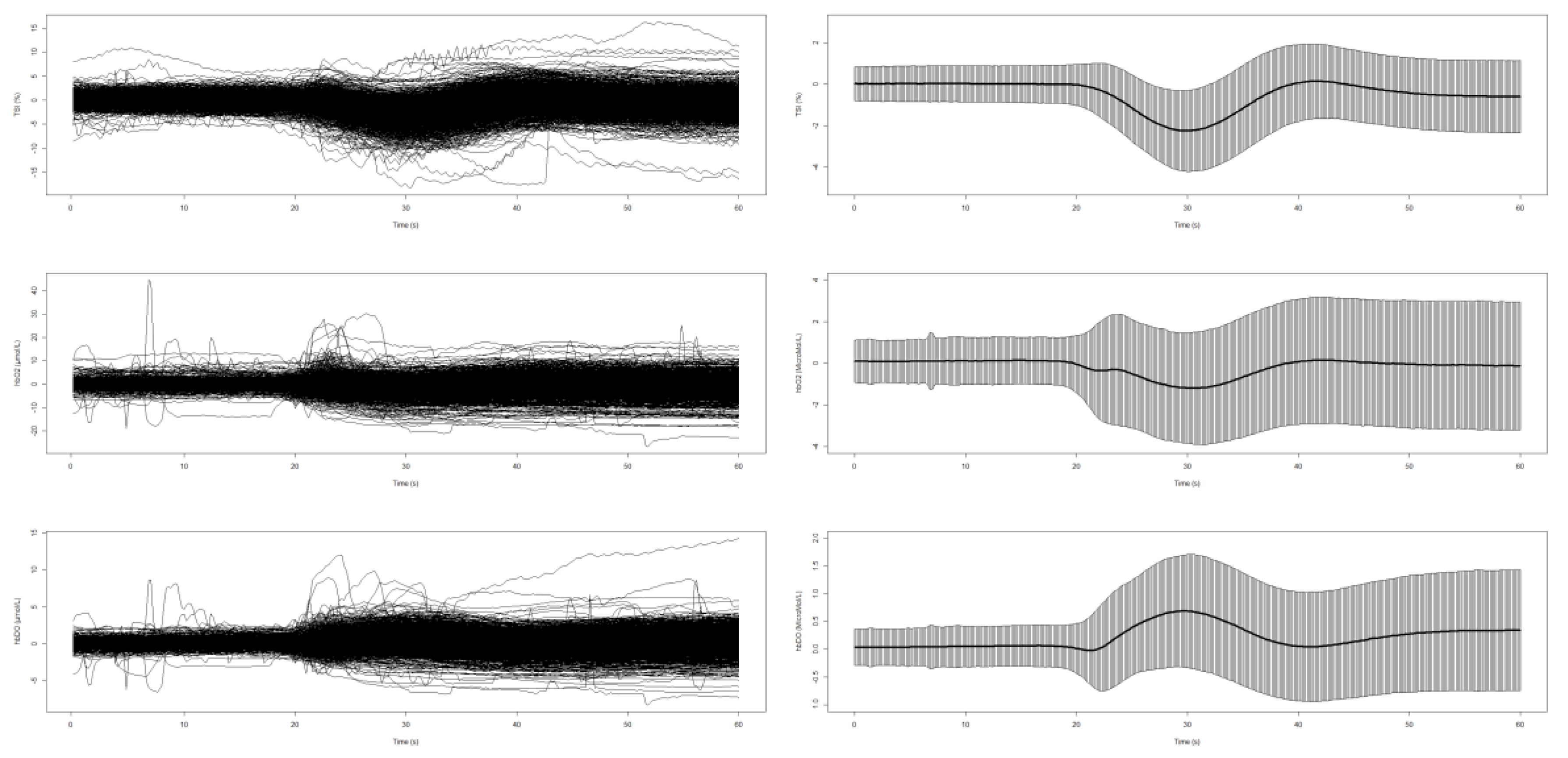
3. Results
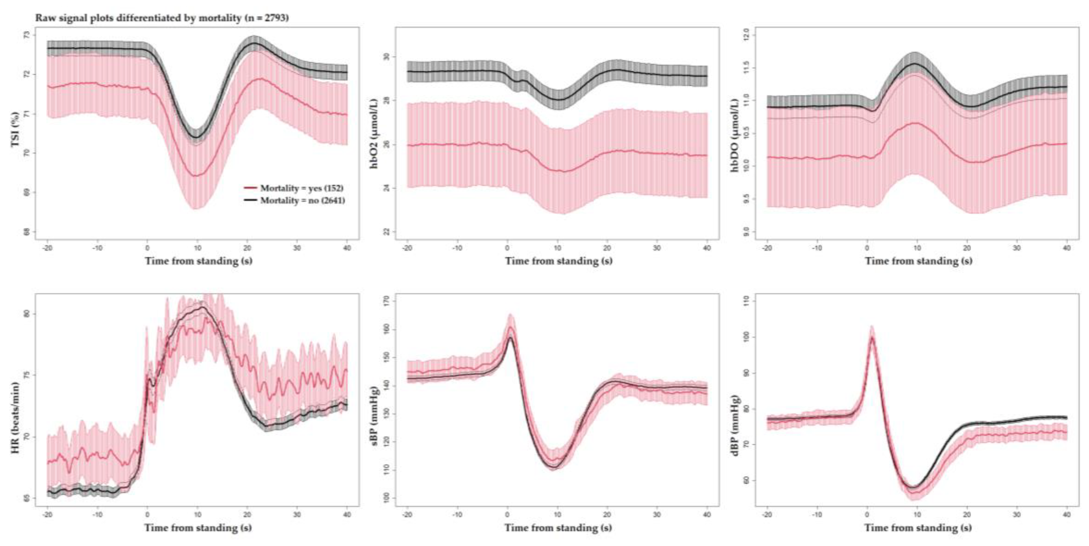
- OI. TSI captured OI only in the pre-processed data, around 10 seconds post-stand, while neither pre-processed nor raw hbO2 or hbDO effectively captured OI. HR also showed no significant capture of OI in either form. sBP in the pre-processed data showed significant regions between 10 and 40 seconds after standing, whereas raw sBP effectively captured OI throughout the entire (pre-stand and post-stand) period. dBP showed brief significance in the last 5 seconds when pre-processed, but raw dBP was effective in capturing OI throughout the entire duration of the test.
- Future falls. No clear differences were observed between fallers and non-fallers across any of the six AS signals, whether pre-processed or raw.
- Mortality. For mortality, none of the pre-processed NIRS signals showed clear discrimination, while raw hbO2 effectively captured mortality throughout both the pre-stand and post-stand periods. The pre-processed HR distinguished mortality around 10 seconds post-stand, and pre-processed sBP showed brief significance around 20 and 30 seconds post-stand. Pre-processed dBP displayed clear significance in the continuous period after 10 seconds of standing. In contrast, raw HR and sBP did not differentiate mortality, although raw dBP continued to show significant discrimination in periods following 10 seconds of standing.
4. Discussion
5. Conclusions
Author Contributions
Funding
Institutional Review Board Statement
Informed Consent Statement
Data Availability Statement
Acknowledgments
Conflicts of Interest
References
- Tzeng, Y.C. and P.N. Ainslie, Blood pressure regulation IX: cerebral autoregulation under blood pressure challenges. Eur J Appl Physiol 2014, 114, 545–59. [Google Scholar] [CrossRef] [PubMed]
- Harms, M.P.; et al. Orthostatic tolerance, cerebral oxygenation, and blood velocity in humans with sympathetic failure. 2000, 31, 1608–1614. [Google Scholar] [CrossRef] [PubMed]
- Stewart, J.M. , Common syndromes of orthostatic intolerance. Pediatrics 2013, 131, 968–80. [Google Scholar] [CrossRef] [PubMed]
- Freeman, R.; et al. Consensus statement on the definition of orthostatic hypotension, neurally mediated syncope and the postural tachycardia syndrome. 2011, 161, 46. [Google Scholar]
- Garner, R. and J.N. Baraniuk, Orthostatic intolerance in chronic fatigue syndrome. Journal of Translational Medicine 2019, 17, 185. [Google Scholar] [CrossRef]
- Lewis, N.C.; et al. Impact of hypocapnia and cerebral perfusion on orthostatic tolerance. J Physiol 2014, 592, 5203–19. [Google Scholar] [CrossRef]
- Stewart, J.M. , Mechanisms of sympathetic regulation in orthostatic intolerance. J Appl Physiol (1985) 2012, 113, 1659–68. [Google Scholar] [CrossRef]
- Best, C.; et al. Interaction of somatoform and vestibular disorders. J Neurol Neurosurg Psychiatry 2006, 77, 658–64. [Google Scholar] [CrossRef]
- Nozawa, I.; et al. Psychosomatic aspects of patients complaining of dizziness or vertigo with orthostatic dysregulation. Auris Nasus Larynx 1998, 25, 33–8. [Google Scholar] [CrossRef]
- Hockin, B.C.D.; et al. Evaluating the Impact of Orthostatic Syncope and Presyncope on Quality of Life: A Systematic Review and Meta-Analysis. Frontiers in Cardiovascular Medicine 2022, 9. [Google Scholar] [CrossRef]
- Finucane, C.; et al. A practical guide to active stand testing and analysis using continuous beat-to-beat non-invasive blood pressure monitoring. Clin Auton Res 2019, 29, 427–441. [Google Scholar] [CrossRef] [PubMed]
- Lehmann, N.; et al. Brain activation during active balancing and its behavioral relevance in younger and older adults: a Functional Near-Infrared Spectroscopy (fNIRS) study. Frontiers in aging neuroscience 2022, 14, 828474. [Google Scholar] [CrossRef] [PubMed]
- Mol, A.; et al. Determinants of orthostatic cerebral oxygenation assessed using near-infrared spectroscopy. Autonomic Neuroscience 2022, 238, 102942. [Google Scholar] [CrossRef]
- Ferrari, M. L. Mottola, and V. Quaresima, Principles, techniques, and limitations of near infrared spectroscopy. Can J Appl Physiol 2004, 29, 463–87. [Google Scholar] [CrossRef] [PubMed]
- Strangman, G.; et al. A quantitative comparison of simultaneous BOLD fMRI and NIRS recordings during functional brain activation. Neuroimage 2002, 17, 719–31. [Google Scholar] [CrossRef]
- Aaslid, R.; et al. Cerebral autoregulation dynamics in humans. Stroke 1989, 20, 45–52. [Google Scholar] [CrossRef]
- Novak, V.; et al. Hypocapnia and cerebral hypoperfusion in orthostatic intolerance. Stroke 1998, 29, 1876–81. [Google Scholar] [CrossRef]
- Highton, D. C. Elwell, and M. Smith, Noninvasive cerebral oximetry: is there light at the end of the tunnel? Curr Opin Anaesthesiol 2010, 23, 576–81. [Google Scholar] [CrossRef]
- Tachtsidis, I.; et al. Relationship between brain tissue haemodynamics, oxygenation and metabolism in the healthy human adult brain during hyperoxia and hypercapnea. Adv Exp Med Biol 2009, 645, 315–20. [Google Scholar]
- Monaghan, A.; et al. Orthostatic Intolerance in Adults Reporting Long COVID Symptoms Was Not Associated With Postural Orthostatic Tachycardia Syndrome. Front Physiol 2022, 13, 833650. [Google Scholar] [CrossRef]
- Pogue, B.W. and M.S. Patterson, Review of tissue simulating phantoms for optical spectroscopy, imaging and dosimetry. J Biomed Opt 2006, 11, 041102. [Google Scholar] [CrossRef] [PubMed]
- Ferrari, M. and V. Quaresima, A brief review on the history of human functional near-infrared spectroscopy (fNIRS) development and fields of application. Neuroimage 2012, 63, 921–35. [Google Scholar] [CrossRef] [PubMed]
- Robertson, A.D.; et al. Exercise intensity modulates the change in cerebral blood flow following aerobic exercise in chronic stroke. Exp Brain Res 2015, 233, 2467–75. [Google Scholar] [CrossRef] [PubMed]
- Smith, K.J. and P.N. Ainslie, Regulation of cerebral blood flow and metabolism during exercise. Exp Physiol 2017, 102, 1356–1371. [Google Scholar] [CrossRef]
- Huppert, T.J.; et al. HomER: a review of time-series analysis methods for near-infrared spectroscopy of the brain. Appl Opt 2009, 48, D280–98. [Google Scholar] [CrossRef]
- Ishii, Y.; et al. The Changes in Concentration of Cerebral Oxygenated Hemoglobin During Single Event-Related Japanese Shiritori Task in Patients With Major Depression Disorder: Comparison With Healthy Subjects. Front Psychiatry 2021, 12, 709771. [Google Scholar] [CrossRef]
- Koenraadt, K.L.; et al. Cortical control of normal gait and precision stepping: an fNIRS study. Neuroimage 2014, 85 Pt 1, 415–22. [Google Scholar] [CrossRef]
- Durduran, T.; et al. Diffuse optical measurement of blood flow, blood oxygenation, and metabolism in a human brain during sensorimotor cortex activation. Opt Lett 2004, 29, 1766–8. [Google Scholar] [CrossRef]
- Tisdall, M.M.; et al. Near-infrared spectroscopic quantification of changes in the concentration of oxidized cytochrome c oxidase in the healthy human brain during hypoxemia. J Biomed Opt 2007, 12, 024002. [Google Scholar] [CrossRef]
- Mol, A.; et al. Sensitivity and reliability of cerebral oxygenation responses to postural changes measured with near-infrared spectroscopy. Eur J Appl Physiol 2019, 119, 1117–1125. [Google Scholar] [CrossRef]
- Murkin, J.M. and M. Arango, Near-infrared spectroscopy as an index of brain and tissue oxygenation. Br J Anaesth 2009, 103 Suppl 1, i3–13. [Google Scholar] [CrossRef]
- Yoshitani, K.; et al. Effects of Hemoglobin Concentration, Skull Thickness, and the Area of the Cerebrospinal Fluid Layer on Near-infrared Spectroscopy Measurements. Anesthesiology 2007, 106, 458–462. [Google Scholar] [CrossRef]
- Adler, R.J. and J.E. Taylor, Random Fields and Geometry. 2009: Springer New York.
- Penny, W.D.; et al. Statistical Parametric Mapping: The Analysis of Functional Brain Images. 2011: Academic Press.
- Maguire, F.; et al. One-Dimensional Statistical Parametric Mapping Identifies Impaired Orthostatic Cerebrovascular and Cardiovascular Response in Frailty Index. J Gerontol A Biol Sci Med Sci 2021, 76, 885–892. [Google Scholar] [CrossRef] [PubMed]
- Xue, F.; et al. Were Frailty Identification Criteria Created Equal? A Comparative Case Study on Continuous Non-Invasively Collected Neurocardiovascular Signals during an Active Standing Test in the Irish Longitudinal Study on Ageing (TILDA). Sensors 2024, 24, 442. [Google Scholar] [CrossRef] [PubMed]
- Where are we now? [cited 2024 29 March]; Available from: https://tilda.tcd.ie/about/where-are-we-now/.
- Knight, S.P.; et al. Associations between Neurocardiovascular Signal Entropy and Physical Frailty. Entropy (Basel) 2020, 23. [Google Scholar] [CrossRef] [PubMed]
- Ward, M.; et al. Linking death registration and survey data: Procedures and cohort profile for The Irish Longitudinal Study on Ageing (TILDA) [version 2; peer review: 3 approved]. HRB Open Research 2020, 3. [Google Scholar]
- Cho, J. , Current status and prospects of health-related sensing technology in wearable devices. Journal of Healthcare Engineering 2019. [Google Scholar] [CrossRef]
- Parati, G.; et al. Comparison of finger and intra-arterial blood pressure monitoring at rest and during laboratory testing. Hypertension 1989, 13(6 Pt 1), 647–55. [Google Scholar] [CrossRef]
- Schutte, A.E.; et al. Validation of the Finometer device for measurement of blood pressure in black women. J Hum Hypertens 2004, 18, 79–84. [Google Scholar] [CrossRef]
- Cortese, L.; et al. Performance Assessment of a Commercial Continuous-Wave Near-Infrared Spectroscopy Tissue Oximeter for Suitability for Use in an International, Multi-Center Clinical Trial. Sensors 2021, 21. [Google Scholar] [CrossRef]
- Scholkmann, F.; et al. A review on continuous wave functional near-infrared spectroscopy and imaging instrumentation and methodology. Neuroimage 2014, 85 Pt 1, 6–27. [Google Scholar] [CrossRef]
- Pham, T.; et al. Quantitative measurements of cerebral blood flow with near-infrared spectroscopy. Biomed Opt Express 2019, 10, 2117–2134. [Google Scholar] [CrossRef] [PubMed]
- Ferrari, M. M. Muthalib, and V. Quaresima, The use of near-infrared spectroscopy in understanding skeletal muscle physiology: recent developments. Philos Trans A Math Phys Eng Sci 2011, 369, 4577–90. [Google Scholar]
- Boas, D.A.; et al. Twenty years of functional near-infrared spectroscopy: introduction for the special issue. Neuroimage 2014, 85 Pt 1, 1–5. [Google Scholar] [CrossRef]
- Kröger, H. I. Donner, and G. Skiello, Influence of a new virostatic compound on the induction of enzymes in rat liver. Arzneimittelforschung 1975, 25, 1426–9. [Google Scholar] [PubMed]
- Newman, L.; et al. Age and sex differences in frontal lobe cerebral oxygenation in older adults-Normative values using novel, scalable technology: Findings from the Irish Longitudinal Study on Ageing (TILDA). Arch Gerontol Geriatr 2020, 87, 103988. [Google Scholar] [CrossRef] [PubMed]
- Klem, G.H.; et al. The ten-twenty electrode system of the International Federation. The International Federation of Clinical Neurophysiology. Electroencephalogr Clin Neurophysiol Suppl 1999, 52, 3–6. [Google Scholar]
- O'Connor, J.D.; et al. Impact of Standing Speed on the Peripheral and Central Hemodynamic Response to Orthostasis: Evidence From the Irish Longitudinal Study on Ageing. Hypertension 2020, 75, 524–531. [Google Scholar] [CrossRef]
- Duggan, E. S.P. Knight, and R. Romero-Ortuno, Relationship between sarcopenia and orthostatic blood pressure recovery in older falls clinic attendees. Eur Geriatr Med 2023. [Google Scholar] [CrossRef]
- Pataky, T.C. , One-dimensional statistical parametric mapping in Python. Comput Methods Biomech Biomed Engin 2012, 15, 295–301. [Google Scholar] [CrossRef]
- Schuermans, J.; et al. Proximal Neuromuscular Control Protects Against Hamstring Injuries in Male Soccer Players: A Prospective Study With Electromyography Time-Series Analysis During Maximal Sprinting. Am J Sports Med 2017, 45, 1315–1325. [Google Scholar] [CrossRef] [PubMed]
- Alizadeh, S. and K. Mattes, How anterior pelvic tilt affects the lower extremity kinematics during the late swing phase in soccer players while running: A time series analysis. Hum Mov Sci 2019, 66, 459–466. [Google Scholar] [CrossRef] [PubMed]
- Sánchez-Sixto, A. J.J. McMahon, and P. Floría, Verbal instructions affect reactive strength index modified and time-series waveforms in basketball players. Sports Biomech 2024, 23, 211–221. [Google Scholar] [CrossRef] [PubMed]
- Pataky, T.C. , rft1d: Smooth One-Dimensional Random Field Upcrossing Probabilities in Python. Journal of Statistical Software 2016, 71, 1–22. [Google Scholar] [CrossRef]
- Pataky, T.C.; et al. On the validity of statistical parametric mapping for nonuniformly and heterogeneously smooth one-dimensional biomechanical data. Journal of Biomechanics 2019, 91, 114–123. [Google Scholar] [CrossRef]
- Friedrich, J.O.; et al. Mortality As a Measure of Treatment Effect in Clinical Trials Recruiting Critically Ill Patients. Crit Care Med 2023, 51, 222–230. [Google Scholar] [CrossRef]
- Drake, S.A.; et al. When falls become fatal-Clinical care sequence. PLoS One 2021, 16, e0244862. [Google Scholar] [CrossRef]
- Benvenuto, L.J. and L.R. Krakoff, Morbidity and Mortality of Orthostatic Hypotension: Implications for Management of Cardiovascular Disease. American Journal of Hypertension 2011, 24, 135–144. [Google Scholar] [CrossRef]
- Salinet, A.S.M. T.G. Robinson, and R.B. Panerai, Effects of cerebral ischemia on human neurovascular coupling, CO2 reactivity, and dynamic cerebral autoregulation. Journal of Applied Physiology 2015, 118, 170–177. [Google Scholar] [CrossRef]
- Manley, G.; et al. Hypotension, hypoxia, and head injury: frequency, duration, and consequences. Arch Surg 2001, 136, 1118–23. [Google Scholar] [CrossRef]
- Seo, D.E.; et al. Effect of hypoxia on mortality and disability in traumatic brain injury according to shock status: A cross-sectional analysis. Am J Emerg Med 2019, 37, 1709–1715. [Google Scholar] [CrossRef] [PubMed]
- Spaite, D.W.; et al. The Effect of Combined Out-of-Hospital Hypotension and Hypoxia on Mortality in Major Traumatic Brain Injury. Annals of Emergency Medicine 2017, 69, 62–72. [Google Scholar] [CrossRef] [PubMed]
- Kim, S. M. Lee, and Y.K. Choi, The Role of a Neurovascular Signaling Pathway Involving Hypoxia-Inducible Factor and Notch in the Function of the Central Nervous System. Biomol Ther (Seoul) 2020, 28, 45–57. [Google Scholar] [CrossRef] [PubMed]
- Cui, C.; et al. Cerebral Hypoxia-Induced Molecular Alterations and Their Impact on the Physiology of Neurons and Dendritic Spines: A Comprehensive Review. Cell Mol Neurobiol 2024, 44, 58. [Google Scholar] [CrossRef]
- Longhitano, Y.; et al. Cerebral Autoregulation in Non-Brain Injured Patients: A Systematic Review. Front Neurol 2021, 12, 732176. [Google Scholar] [CrossRef]
- Rutan, G.H.; et al. Mortality associated with diastolic hypertension and isolated systolic hypertension among men screened for the Multiple Risk Factor Intervention Trial. Circulation 1988, 77, 504–14. [Google Scholar] [CrossRef]
- Hoogen, P.C.W.v.d.; et al. The Relation between Blood Pressure and Mortality Due to Coronary Heart Disease among Men in Different Parts of the World. New England Journal of Medicine 2000, 342, 1–8. [Google Scholar] [CrossRef]
- Taylor, B.C. T.J. Wilt, and H.G. Welch, Impact of diastolic and systolic blood pressure on mortality: implications for the definition of "normal". J Gen Intern Med 2011, 26, 685–90. [Google Scholar] [CrossRef]
- Siddiqi, T.J.; et al. Association of low diastolic blood pressure with cardiovascular outcomes and all-cause mortality: A meta-analysis. Current Problems in Cardiology 2024, Part C), 102131. [Google Scholar] [CrossRef]
- Ungar, A.; et al. Low diastolic ambulatory blood pressure is associated with greater all-cause mortality in older patients with hypertension. J Am Geriatr Soc 2009, 57, 291–6. [Google Scholar] [CrossRef]
- Wang, Z.; et al. Association of low diastolic blood pressure with all-cause death among US adults with normal systolic blood pressure. J Clin Hypertens (Greenwich) 2023, 25, 326–334. [Google Scholar] [CrossRef] [PubMed]
- Wieling, W.; et al. Diagnosis and treatment of orthostatic hypotension. Lancet Neurol 2022, 21, 735–746. [Google Scholar] [CrossRef] [PubMed]
- Ricci, F. R.D. Caterina, and A. Fedorowski, Orthostatic Hypotension. Journal of the American College of Cardiology 2015, 66, 848–860. [Google Scholar] [CrossRef] [PubMed]
- Moloney, D.; et al. Clinical clustering of eight orthostatic haemodynamic patterns in The Irish Longitudinal Study on Ageing (TILDA). Age Ageing 2021, 50, 854–860. [Google Scholar] [CrossRef]
- Ward, R.E.; et al. Interrelated Neuromuscular and Clinical Risk Factors That Contribute to Falls. The Journals of Gerontology: Series A 2019, 74, 1526–1532. [Google Scholar] [CrossRef]
- Minta, K.; et al. Differences in fall-related characteristics across cognitive disorders. Front Aging Neurosci 2023, 15, 1171306. [Google Scholar] [CrossRef]
- Vaishya, R. and A. Vaish, Falls in Older Adults are Serious. Indian J Orthop 2020, 54, 69–74. [Google Scholar] [CrossRef]
- Tinetti, M.E.; et al. A Multifactorial Intervention to Reduce the Risk of Falling among Elderly People Living in the Community. New England Journal of Medicine 1994, 331, 821–827. [Google Scholar] [CrossRef]
- Hopewell, S.; et al. Multifactorial and multiple component interventions for preventing falls in older people living in the community. Cochrane Database Syst Rev 2018, 7, Cd012221. [Google Scholar] [CrossRef]
- Montero-Odasso, M.; et al. World guidelines for falls prevention and management for older adults: a global initiative. Age and Ageing 2022, 51. [Google Scholar] [CrossRef]
- Pérez-Denia, L.; et al. Cerebral Oxygenation Responses to Standing in Young Patients with Vasovagal Syncope. J Clin Med 2023, 12. [Google Scholar] [CrossRef] [PubMed]
- Willis, S.J.; et al. Changes in Muscle and Cerebral Deoxygenation and Perfusion during Repeated Sprints in Hypoxia to Exhaustion. Front Physiol 2017, 8, 846. [Google Scholar] [CrossRef]
- Kharraziha, I.; et al. Cerebral Oximetry in Syncope and Syndromes of Orthostatic Intolerance. Front Cardiovasc Med 2019, 6, 171. [Google Scholar] [CrossRef] [PubMed]
- Roffe, C.; et al. Effect of Routine Low-Dose Oxygen Supplementation on Death and Disability in Adults With Acute Stroke: The Stroke Oxygen Study Randomized Clinical Trial. JAMA 2017, 318, 1125–1135. [Google Scholar] [CrossRef] [PubMed]
- Vold, M.L.; et al. Low oxygen saturation and mortality in an adult cohort: the Tromsø study. BMC Pulm Med 2015, 15, 9. [Google Scholar] [CrossRef]
- Diehl, J.W.; et al. Cerebral Oximetry for Detecting High-mortality Risk Patients with Cryptococcal Meningitis. Open Forum Infectious Diseases 2018, 5. [Google Scholar] [CrossRef]
- Nichols, T. and S. Hayasaka, Controlling the familywise error rate in functional neuroimaging: a comparative review. Stat Methods Med Res 2003, 12, 419–46. [Google Scholar] [CrossRef]
- Silver, M. G. Montana, and T.E. Nichols, False positives in neuroimaging genetics using voxel-based morphometry data. NeuroImage 2011, 54, 992–1000. [Google Scholar] [CrossRef]
- Woo, C.W. A. Krishnan, and T.D. Wager, Cluster-extent based thresholding in fMRI analyses: pitfalls and recommendations. Neuroimage 2014, 91, 412–9. [Google Scholar] [CrossRef]
- Pérez-Denia, L.; et al. Increased multimorbidity is associated with impaired cerebral and peripheral hemodynamic stabilization during active standing. Journal of the American Geriatrics Society 2022, 70, 1973–1986. [Google Scholar] [CrossRef]












Disclaimer/Publisher’s Note: The statements, opinions and data contained in all publications are solely those of the individual author(s) and contributor(s) and not of MDPI and/or the editor(s). MDPI and/or the editor(s) disclaim responsibility for any injury to people or property resulting from any ideas, methods, instructions or products referred to in the content. |
© 2025 by the authors. Licensee MDPI, Basel, Switzerland. This article is an open access article distributed under the terms and conditions of the Creative Commons Attribution (CC BY) license (http://creativecommons.org/licenses/by/4.0/).
