Submitted:
12 May 2025
Posted:
12 May 2025
You are already at the latest version
Abstract
Keywords:
1. Introduction
2. Theory and Results
2.1. Double-Diffusion System with No Extra Source Terms
2.2. The Role of Possible Source Terms
-
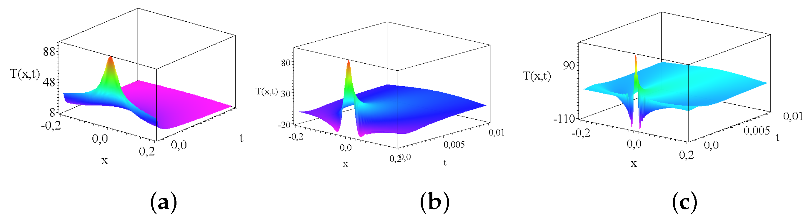
where the derived solutions are divergent for large s, these are the cyan and the gray lines on Fig 3a). If the first parameter of the Kummer’s M function is a negative integer then the function is a finite order polynomial in . A nice example is whereNote, that the first term on the right hand side is a constant, (Formally Kummer’s function of the first kind is equivalent to the generalized confluent hypergeometric series with the notation of 1.)The smaller the first negative parameter of the Kummer’s function the larger the power of the polynomial. Thank to the exponent the final temperature distribution will be decaying, but we will see that not this parameter regime will attract the largest interest among the solutions.
- the solution is constant on the whole axis, this is presented by the brown line.
- the solution is positive on the whole axis, and has a decay to zero at large s such solutions are plotted with pink and green lines. These are well-behaving solutions with a global maxima in the origin, and in this sense similar to Gaussian solutions.
-
the solutions has a maxima in the origin following quick oscillatory decay to zero with growing number of zero transitions as d growing. Black, blue and read curves present such solutions. Unfortunately, the defining series of the Kummer’s M function Equation (21) converges very slowly for highly oscillatory functions.In some sense these are the most interesting solutions.
3. Summary and Outlook
4. Appendix
Author Contributions
Funding
Data Availability Statement
Conflicts of Interest
References
- Ghez, R. Diffusion Phenomena; Dover Publication Inc: New York, 2001. [Google Scholar]
- Vogel, G. Adventure Diffusion; Springer: New York, 2019. [Google Scholar] [CrossRef]
- Bunde, A.; Caro, J.; Kärger, J.; Vogl, G. Diffusive Spreading in Nature, Technology and Society; Springer Cham: Berlin, 2018. [Google Scholar] [CrossRef]
- Thambynayagam, R. The Diffusion Handbook: Applied Solutions for Engineers; McGraw-Hill: New York, 2011. [Google Scholar]
- Latif, M. Heat Convection; Springer: Berlin, 2009. [Google Scholar] [CrossRef]
- Ashan, A. Convection and Conduction Heat Transfer; Intec: London, 2011. [Google Scholar] [CrossRef]
- Kovács, E. A class of new stable, explicit methods to solve the non-stationary heat equation. Numerical Methods for Partial Differential Equations 2021, 37, 2469–2489. [Google Scholar] [CrossRef]
- Bognár, G.; Rozgonyi, E. The local analytic solution to some nonlinear diffusion-reaction problems. WSEAS Trans. Math. 2008, 7, 382–395. [Google Scholar]
- Guedda, M.; Véron, L. Bifurcation phenomena associated to the p-Laplace operator. Trans. Amer. Math. Soc. 1988, 310, 419–431. [Google Scholar] [CrossRef]
- Schlichting, H.; Gersten, K. Boundary-layer theory; Springer-Verlag: Berlin Heidelberg New York, 2016. [Google Scholar] [CrossRef]
- Goluskin, D. Internally Heated Convection and Rayleigh-Bénard Convection; Springer: New York, 2015. [Google Scholar] [CrossRef]
- Wilford Zdunkowski, A.B. Dynamics of the Atmosphere: A Course in Theoretical Meteorology; Cambridge University Press: Cambridge, 2016. [Google Scholar] [CrossRef]
- Tartar, L. An Introduction to Navier Stokes Equation and Oceanography; Springer: New york, 2006. [Google Scholar] [CrossRef]
- John, H. Seinfeld, S.N.P. Atmospheric Chemistry and Physics, From Air Polution to Climate Change; Wiley-Interscience: New York, 1997. [Google Scholar]
- Lorenz, E.N. Deterministic Nonperiodic Flow. Journal of Atmospheric Sciences 1963, 20, 130–141. [Google Scholar] [CrossRef]
- Mátyás, L.; Barna, I.F. General Self-Similar Solutions of Diffusion Equation and Related Constructions. Romanian Journal of Physics 2022, 67, 101–117. [Google Scholar]
- Barna, I.F.; Mátyás, L. Analytic self-similar solutions of the Oberbeck–Boussinesq equations. Chaos, Solitons & Fractals 2015, 78, 249–255. [Google Scholar] [CrossRef]
- Barna, I.F.; Bognár, G.; Mátyás, L.; Hriczó, K. Self-similar analysis of the time-dependent compressible and incompressible boundary layers including heat conduction. Journal of Thermal Analysis and Calorimetry 2022, 147, 13625–13632. [Google Scholar] [CrossRef]
- Barna, I.F.; Mátyás, L. Diffusion Cascades and Mutually Coupled Diffusion Processes. Mathematics 2024, 12, 3298. [Google Scholar] [CrossRef]
- Baines, P.G.; Gill, A. On thermohaline convection with linear gradients. J. Fluid Mech 1969, 37, 289–306. [Google Scholar] [CrossRef]
- Garaud, P. Double-Diffusive Convection at Low Prandtl Number. Annual Review of Fluid Mechanics 2018, 50, 275–298. [Google Scholar] [CrossRef]
- Radko, T. The sub-microscale dynamics of double-diffusive convection. Journal of Fluid Mechanics 2024, 982. [Google Scholar] [CrossRef]
- Hu, C.; Yang, Y. Double-diffusive convection with gravitationally unstable temperature and concentration gradients in homogeneous and heterogeneous porous media. Journal of Fluid Mechanics 2024, 999, A62. [Google Scholar] [CrossRef]
- Siegmann, W.L.; Rubenfeld, L.A. A Nonlinear Model for Double-Diffusive Convection. SIAM Journal on Applied Mathematics 1975, 29, 540–557. [Google Scholar] [CrossRef]
- Vafai, K. Handbook of porous media; CRC Press: Boca Raton, 2000; chapter Mojtabi, A.; Charrier-Mojtabi, M.-C., Double-Diffusive Convection in Porous Media. [Google Scholar] [CrossRef]
- Radko, T. Double-Diffusive Convection; Cambridge University Press: Cambridge, 2013. [Google Scholar] [CrossRef]
- Alan Brandt, H.F. Double-Diffusive Convection; American Geophysical Union: New York, 1995. [Google Scholar] [CrossRef]
- Schmitt, R.W. Double Diffusion in Oceanography. Annual Review of Fluid Mechanics 2003, 26, 255–285. [Google Scholar] [CrossRef]
- Huppert, H.E.; Sparks, R.J. Double-Diffusive Convection Due to Crystallization in Magmas. Annual Review of Earth and Planetary Sciences 1984, 12, 11–37. [Google Scholar] [CrossRef]
- Leconte, J. .; Chabrier, G.. A new vision of giant planet interiors: Impact of double diffusive convection. A&A 2012, 540, A20. [Google Scholar] [CrossRef]
- Garaud, P. Double-Diffusive Convection at Low Prandtl Number. Annual Review of Fluid Mechanics 2018, 50, 275–298. [Google Scholar] [CrossRef]
- Mirouh, G.M.; Garaud, P.; Stellmach, S.; Traxler, A.L.; Wood, T.S. A NEW MODEL FOR MIXING BY DOUBLE-DIFFUSIVE CONVECTION (SEMI-CONVECTION). I. THE CONDITIONS FOR LAYER FORMATION. The Astrophysical Journal 2012, 750, 61. [Google Scholar] [CrossRef]
- Hughes, D.W.; Brummell, N.H. Double-diffusive Magnetic Layering. The Astrophysical Journal 2021, 922, 195. [Google Scholar] [CrossRef]
- Parsons, J.D.; Bush, J.W.M.; Syvitski, J.P.M. Hyperpycnal plume formation from riverine outflows with small sediment concentrations. Sedimentology 2001, 48, 465–478. [Google Scholar] [CrossRef]
- Davarpanah Jazi, S.; Wells, M.G. Enhanced sedimentation beneath particle-laden flows in lakes and the ocean due to double-diffusive convection. Geophysical Research Letters 2016, 43, 10,883–10,890. [Google Scholar] [CrossRef]
- Schmitt, R.W. The characteristics of salt fingers in a variety of fluid systems, including stellar interiors, liquid metals, oceans, and magmas. The Physics of Fluids 1983, 26, 2373–2377. [Google Scholar] [CrossRef]
- Turner, J.S. Double-Diffusive Phenomena. Annual Review of Fluid Mechanics 1974, 6, 37–54. [Google Scholar] [CrossRef]
- Turner, J.S. Multicomponent Convection. Annual Review of Fluid Mechanics 1985, 17, 11–44. [Google Scholar] [CrossRef]
- Debure, M.; Lassin, A.; Marty, N.; Claret, F.; Virgone, A.; Calassou, S.; Gaucher, E. Thermodynamic evidence of giant salt deposit formation by serpentinization: an alternative mechanism to solar evaporation. Scientific Reports 2019, 9, 11720. [Google Scholar] [CrossRef] [PubMed]
- Máthé, I.; Borsodi, A.K.; Tóth, E.M.; Felföldi, T.; Jurecska, L.; Krett, G.; Kelemen, Z.; Elekes, E.; Barkács, K.; Márialigeti, K. Vertical physico-chemical gradients with distinct microbial communities in the hypersaline and heliothermal Lake Ursu (Sovata, Romania). Extremophiles 2014, 18, 501–514. [Google Scholar] [CrossRef]
- Gyenge, L.; Erdo, K.; Albert, C.; Éva, L.; Salamon, R.V. The effects of soaking in salted blackurrant wine on the properties of cheese. Heliyon 2024, 10, e34060. [Google Scholar] [CrossRef]
- Stommel, H.; Arons, A.B.; Blanchard, D. An oceanographical curiosity: the perpetual salt fountain. Deep Sea Research 1956, 3, 152–153. [Google Scholar] [CrossRef]
- Stern, M.E. The “Salt-Fountain” and Thermohaline Convection. Tellus 1960, 12, 172–175. [Google Scholar] [CrossRef]
- Kunze, E. Limits on growing, finite-length salt fingers: A Richardson number constraint. Journal of Marine Research 1987, 45, 533–556. [Google Scholar] [CrossRef]
- Proctor, M.R.E.; Holyer, J.Y. Planform selection in salt fingers. Journal of Fluid Mechanics 1986, 168, 241–253. [Google Scholar] [CrossRef]
- Schmitt, R.W. The growth rate of super-critical salt fingers. Deep Sea Research Part A. Oceanographic Research Papers 1979, 26, 23–40. [Google Scholar] [CrossRef]
- Schmitt, R.W. The Ocean’s Salt Fingers. Scientific American, 1995, 5, 70–75. [Google Scholar] [CrossRef]
- Gregg, M. Mixing in the Thermohaline Staircase East of Barbados. In Small-Scale Turbulence and Mixing in the Ocean; Nihoul, J., Jamart, B., Eds.; Elsevier: Amsterdam, 1988. [Google Scholar] [CrossRef]
- Roquet, F.; Madec, G.; Brodeau, L.; Nycander, J. Defining a Simplified Yet “Realistic” Equation of State for Seawater. Journal of Physical Oceanography 2015, 45, 2564–2579. [Google Scholar] [CrossRef]
- Mátyás, L.; Barna, I.F. Self-similar and traveling wave solutions of diffusion equations with concentration dependent diffusion coefficients. Romanian Journal of Physics 2024, 69, 106. [Google Scholar] [CrossRef]
- Knight, G.; Georgiou, O.; Dettmann, C.P.; Klages, R. Dependence of chaotic diffusion on the size and position of holes. Chaos 2012, 22, 023132. [Google Scholar] [CrossRef]
- Sedov, L.I. Similarity and dimensional methods in mechanics; CRC Press: Boca Raton, 1993. [Google Scholar] [CrossRef]
- Olver, F.W.J.; Lozier, D.W.; Boisvert, R.F.; Clark, C.W. The NIST Handbook of Mathematical Functions; Cambridge University Press: New York, 2010. [Google Scholar]
- Ould Sidi, H.; Babatin, M.; Alosaimi, M.; Hendy, A.S.; Zaky, M.A. Simultaneous numerical inversion of space-dependent initial condition and source term in multi-order time-fractional diffusion models. Romanian Reports in Physics 2024, 76, 104. [Google Scholar] [CrossRef]






Disclaimer/Publisher’s Note: The statements, opinions and data contained in all publications are solely those of the individual author(s) and contributor(s) and not of MDPI and/or the editor(s). MDPI and/or the editor(s) disclaim responsibility for any injury to people or property resulting from any ideas, methods, instructions or products referred to in the content. |
© 2025 by the authors. Licensee MDPI, Basel, Switzerland. This article is an open access article distributed under the terms and conditions of the Creative Commons Attribution (CC BY) license (http://creativecommons.org/licenses/by/4.0/).