Submitted:
12 May 2025
Posted:
12 May 2025
You are already at the latest version
Abstract
Keywords:
1. Introduction
2. Materials and Methods
2.1. Crude Oil
2.2. Aqueous Phase
2.3. Emulsions Preparation
2.4. Bottle Tests Measurements
2.5. Interfacial Tension (IFT) Measurements
2.6. Interfacial Dilatational Rheology Measurements
2.7. Shear Rheology Measurements
2.8. Pulsed Field Gradient Nuclear Magnetic Resonance (PFG-NMR) Measurements
3. Results and Discussion
3.1. Salinity Effect
3.1.1. Emulsions Generation
3.1.2. Bottle Tests
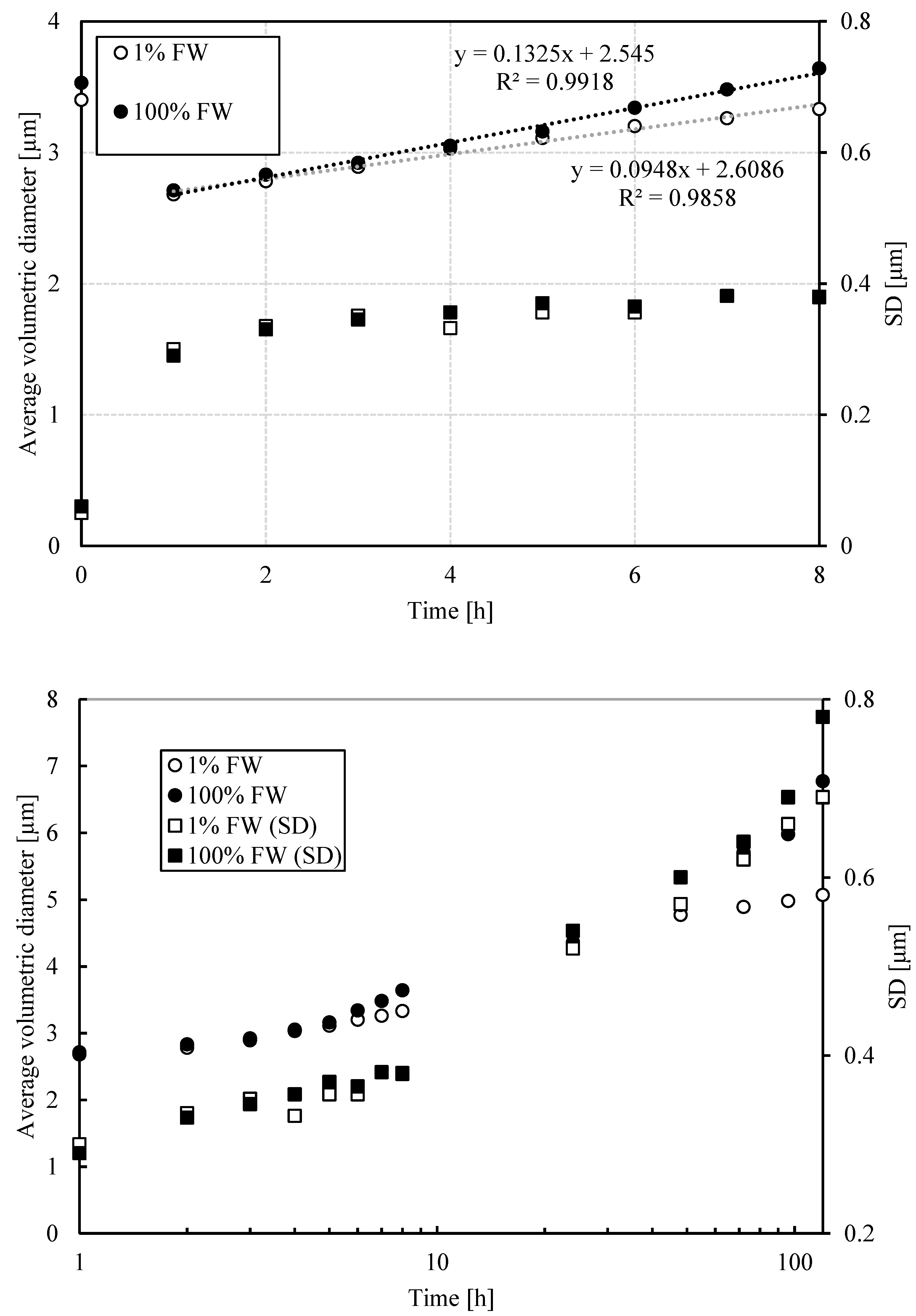
3.1.3. DSD by PFG-NMR
3.1.4. Interfacial Properties
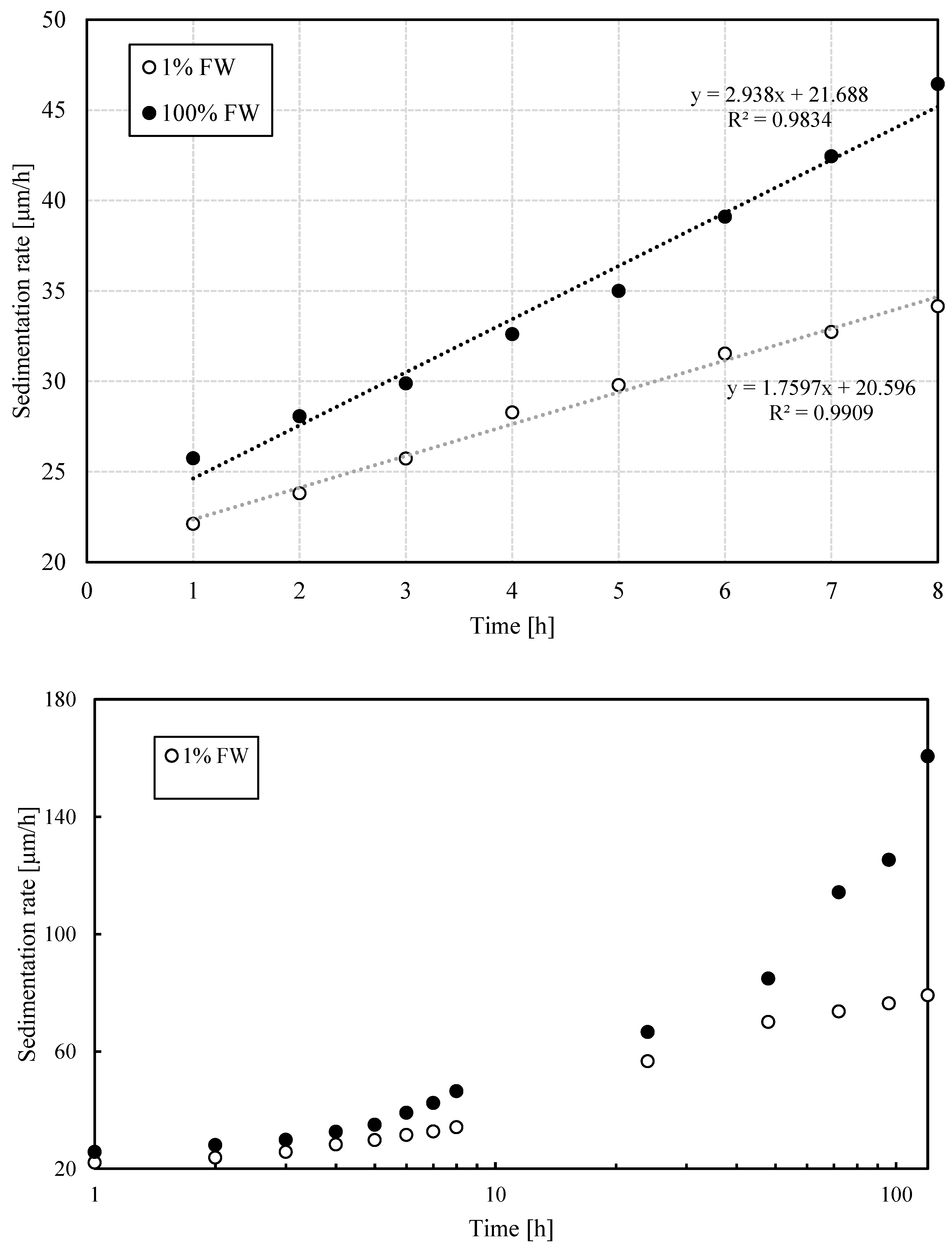
3.1.5. Estimation of Sedimentation, Flocculation and Coalescence Rates
3.2. Temperature Effect
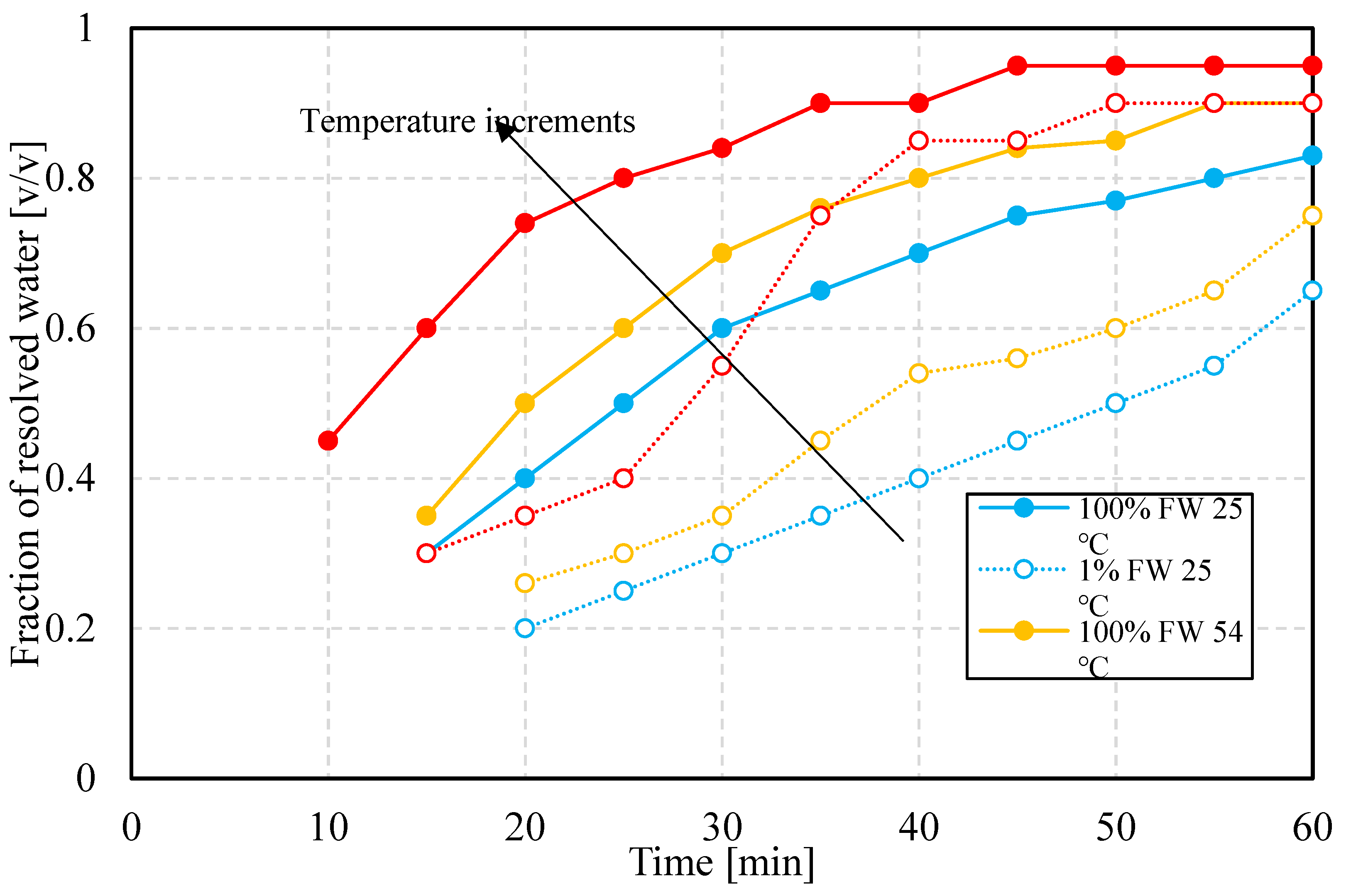
3.2.1. Bottle Tests
3.2.2. Interfacial Properties

4. Conclusions
- A comprehensive stability analysis of W/O emulsions prepared with the Sacha crude oil was conducted to elucidate emulsion breakdown controls under conditions established in this research. The resulting emulsions are more resilient at lower salinity. This is the first time that emulsions with oil originated from this basin have been analyzed in this context in the open literature, to the best of our knowledge.
- Emulsions, regardless of aqueous-phase salinity, are more stable at lower temperatures. This is explained by the formation of less viscoelastic water-oil interfaces, as viscoelastic modulus results show. This in turn indicates that lower salinity favors interfacial viscoelasticity.
- The effectiveness of the phase-separation process at higher-salinity of the aqueous phase could be explained based on an increased density contrast between water and oil, which favors the sedimentation rate, accompanied by a relative increase in the coalescence rate, as results here showed.
Author Contributions
Funding
Acknowledgments
Conflicts of Interest
Abbreviations
| W/O | water-in-oil (W/O) |
| O/W | Oil-in-Water |
| DSD | droplet-size distribution |
| TD-NMR | Time-Domain Nuclear Magnetic Resonance |
| ODG | Oscillating drop generator |
| FW | Formation water |
| TDS | Total Dissolved Solids |
| IFT | Interfacial tension |
| IFVE | interfacial viscoelasticity |
| PFG-NMR | Pulsed Field Gradient Nuclear Magnetic Resonance |
| SD | Standard deviation |
| EDL | Electrical double layer |
References
- Kim, Y.H.; Wasan, D.T.; Breen, P.J. A study of dynamic interfacial mechanisms for demulsification of water-in-oil emulsions. Colloids Surf. A 1995, 95, 235–247. [Google Scholar] [CrossRef]
- Liu, J.; Liu, S.; He, Y.; Zhong, L.; Hao, T.; Liu, Y.; Wang, P.; Gao, P.; Guo, Q. Experimental study of produced fluid emulsification during water/steam flooding for heavy oil recovery. ENERG FUEL 2022, 36, 14838–14851. [Google Scholar] [CrossRef]
- Maaref, S.; Ayatollahi, S. The effect of brine salinity on water-in-oil emulsion stability through droplet size distribution analysis: A case study. J. Disper. Sci. Technol. 2018, 39, 721–733. [Google Scholar] [CrossRef]
- Liu, J.; Zhong, L.; Lyu, C.; Liu, Y.; Zhang, S. W/O emulsions generated by heavy oil in porous medium and its effects in reemulsification. Fuel 2022, 310, 12344. [Google Scholar] [CrossRef]
- Alvarado, V.; Wang, X.; Moradi, M. Stability Proxies for water in oil emulsions.and implications in aqueous-based enhanced oil recovery. Energies 2011, 4, 1058–1086. [Google Scholar] [CrossRef]
- Pal, N.; Alzahid, Y.; AlSofi, A.; Ali, M.; Hoteit, H. Review on microemulsions for conformance improvement technology: fundamentals, design considerations and perspectives. ENERG FUEL 2023, 37, 858–875. [Google Scholar] [CrossRef]
- Rocha, J.; Baydak, E.; Yarranton, H.; Sztukowski, D.; Ali-Marcano, V.; Gong, L.; Shi, C.; Zeng, H. Role of aqueous phase chemistry, interfacial film properties, and surface coverage in stabilizing water-in-bitumen emulsions. ENERG FUEL 2016, 30, 5240–5252. [Google Scholar] [CrossRef]
- Dimitrova, T.D.; Leal-Calderon, F.J. Forces between emulsion droplets stabilized with Tween 20 and proteins. Langmuir 1999, 15, 8813–8821. [Google Scholar] [CrossRef]
- Tian, Y.; Zhou, J.; He, C.; He, L.; Li, X.; Sui, H. The formation, stabilization, and separation of oil-water emulsions: a review. Processes 2022, 10, 738. [Google Scholar] [CrossRef]
- Fajun, Z.; Zhexi, T.; Zhongqi, Y.; Hongzhi, S.; Yanping, W.; Yufei, Z. Research status and analysis of stabilization mechanisms and demulsification methods of heavy oil emulsions. Energy Sci. Eng. 2020, 8, 4158–4175. [Google Scholar] [CrossRef]
- Hu, Y.; Ting, Y.; Hu, J.; Hsieh, S. Techniques and methods to study functional characteristics of emulsions systems. JFDA 2017, 25, 16–26. [Google Scholar] [CrossRef]
- Dickinson, E. Strategies to control and inhibit the flocculation of protein-stabilized oil-in-water emulsions. FOOD HYDROCOLLOID. 2019, 96, 209–223. [Google Scholar] [CrossRef]
- Dinh, H.; Carreras, E.; Schmitt, V.; Lequeux, F. Coalescence in concentrated emulsions: theoretical predictions and comparision with experimental bottle test behavior. Soft Matter, 2020, 16, 10301–10309. [Google Scholar] [CrossRef]
- Abdulredha, M.; Hussain, S.; Abdullah, L. Overview on petroleum emulsions, formation, influence and demulsification treatment techniques. Arab. J. Chem. 2020, 13, 3403–3428. [Google Scholar] [CrossRef]
- Russ, J.C. Image analysis of food microstructure. CRC Press: Boca Raton, FL, USA, 2004.
- Alade, O.; Mahmoud, M.; Al Shehri, D.; Sultan, A. Rapid determination of emulsion stability using turbidity measurement incorporating artificial neural network (ANN): experimental validation using video/optical microscopy and kinetic modeling. ACS Omega 2021, 6, 5910–5920. [Google Scholar] [CrossRef] [PubMed]
- Manickam, S.; Sivakumar, K.; Pang, C. Investigations on the generation of oil-in-water (O/W) nanoemulsions trough the combination of ultrasound and microchannel. Ultrason. Sonochem. 2020, 69, 105258. [Google Scholar] [CrossRef]
- Marques, D.; White, R. The digitalization of bottle tests nuclear magnetic resonance evaluation of emulsion stability. J. Pet. Technol. 2020, 7, 40–42. [Google Scholar] [CrossRef]
- Mansoori, G.; Vazquez, D.; Shariaty-Niassar, M. Polidispersity of heavy organics in crude oils and their role in oil well fouling. J. Pet. Sci. Eng. 2007, 58, 375–390. [Google Scholar] [CrossRef]
- Tian, Y.; Zhou, J.; He, C.; He, L.; Li, X.; Sui, H. The formation, stabilization, and separation of oil-water emulsions: a review. Processes 2022, 10, 738. [Google Scholar] [CrossRef]
- Khadem, B.; Parrott, A.; Nordon, A.; Sheibat-Othman, N. Low field high resolution PFG-NMR to predict the size distribution of inner droplets in double emulsions. Eur. J. Lipid. Sci. Technol 2021, 123, 2000193. [Google Scholar] [CrossRef]
- Garcia, B.; Saraji, S. Transient interfacial rheology and polar component dynamics at oil-brine interfaces. Colloids Surf. A: Physicochem. Eng. Asp. 2021, 624, 126773. [Google Scholar] [CrossRef]
- Sarmas-Farfan, J.; Medina-Rodriguez, B.; Alvarado, V. Dynamic stability of a crude oil/brine interface: effect of anion type. Fuel 2023, 335, 127002. [Google Scholar] [CrossRef]
- Song, X.; Shi, P.; Duan, M.; Fang, S.; Ma, Y. Investigation of demulsification efficiency in water-in-crude oil emulsions using dissipative particle dynamics. RSC Adv. 2015, 5, 62971. [Google Scholar] [CrossRef]
- Moradi, M.; Alvarado, V. Influence of Aqueous-Phase Ionic Strength and Composition on the Dynamics of Water–Crude Oil Interfacial Film Formation. ENERG FUEL 2016, 30, 9170–9180. [Google Scholar] [CrossRef]
- Hoyer, P.; Carvalho, M.S. , Alvarado, V. Snap-off in Constricted Capillary with Elastic Interface. Phys. Fluids. 2016, 28, 012104. [Google Scholar] [CrossRef]
- Hoyer, P.; Alvarado, V. Stability of liquid bridge with elastic interface. RSC Adv 2017, 7, 49344–49352. [Google Scholar] [CrossRef]









| Crude Oil Sample | Density [g/ml] | Viscosity [cP] | Asphaltene content [% m/m] |
| Campo Sacha | 0.9136 | 53.20 | 8.65 |
| Brines | Composition [ppm] | Density [g/ml] | pH | ||||
| NaCl | NaHCO3 | CaCl2 | MgCl2 | TDS* | |||
| 100% FW | 13 195 | 370 | 637 | 321 | 14 523 | 1.0087 | 6.38 |
| 1% FW | 132 | 4 | 6 | 3 | 145 | 0.9972 | 6.89 |
Disclaimer/Publisher’s Note: The statements, opinions and data contained in all publications are solely those of the individual author(s) and contributor(s) and not of MDPI and/or the editor(s). MDPI and/or the editor(s) disclaim responsibility for any injury to people or property resulting from any ideas, methods, instructions or products referred to in the content. |
© 2025 by the authors. Licensee MDPI, Basel, Switzerland. This article is an open access article distributed under the terms and conditions of the Creative Commons Attribution (CC BY) license (http://creativecommons.org/licenses/by/4.0/).