Submitted:
09 May 2025
Posted:
12 May 2025
You are already at the latest version
Abstract
Keywords:
1. Introduction
2. Materials and Methods
2.1. Description of Study Site
2.2. Description of the Land Cover Maps Used as Source Data
2.3. Global Methodological Framework
2.4. Definition of the Human Disturbance Coefficient (HDC)
2.5. Description of the Nine Evaluation Criteria for the Human Disturbance Coefficient (HDC)
- Degradation and Loss of Vegetation
- Pressure on Biodiversity
- Greenhouse Gas (GHG) Emissions
- Air Pollution
- Soil Erosion
- Degradation of Soil Productivity and Properties
- Soil Pollution
- Water Pollution
- Reduction of Water Resources
2.6. Definition of Scores for the 9 HDC Evaluation Criteria
2.7. Weighting of HDC Evaluation Criteria
2.8. Justification of Criteria Scores for Each Land Cover Class
- Natural land cover types
- Surface water
- Semi-natural land cover
- Agricultural land cover
- Artificial land cover
2.9. Spatial Aggregation for LESI Determination
2.10. HDC and LESI Mapping
3. Results
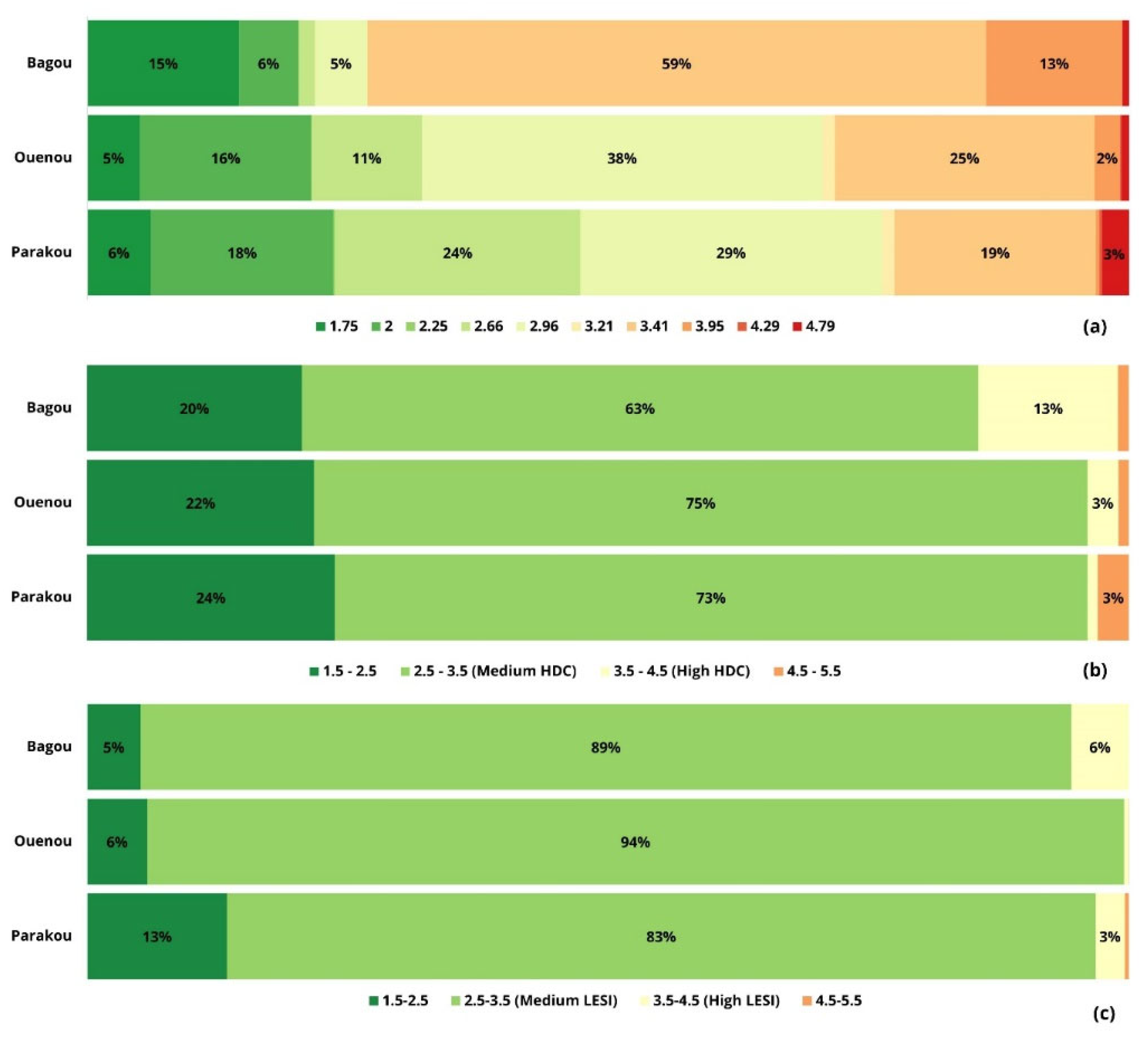
3.1. Human Disturbance Coefficient
3.2. Spatial Variation of Human Disturbance Coefficient
3.3. LESI Maps
4. Discussion
5. Conclusions
Author Contributions
Funding
Data Availability Statement
Acknowledgments
Conflicts of Interest
References
- Godfray, H.C.J.; Beddington, J.R.; Crute, I.R.; Haddad, L.; Lawrence, D.; Muir, J.F.; Pretty, J.; Robinson, S.; Thomas, S.M.; Toulmin, C. Food security: the challenge of feeding 9 billion people. Science 2010, 327, 812–818. [Google Scholar] [CrossRef] [PubMed]
- Hall, C.; Dawson, T.; Macdiarmid, J.; Matthews, R.; Smith, P. The impact of population growth and climate change on food security in Africa: looking ahead to 2050. IJAS 2017, 15, 124–135. [Google Scholar] [CrossRef]
- Dirzo, R.; Raven, P.H. Global state of biodiversity and loss. Annu. Rev. Environ. Resour. 2003, 28, 137–167. [Google Scholar] [CrossRef]
- Burney, J.A.; Davis, S.J.; Lobell, D.B. Greenhouse gas mitigation by agricultural intensification. PNAS 2010, 107, 12052–12057. [Google Scholar] [CrossRef] [PubMed]
- Tilman, D.; Fargione, J.; Wolff, B.; D'antonio, C.; Dobson, A.; Howarth, R.; Schindler, D.; Schlesinger, W.H.; Simberloff, D.; Swackhamer, D. Forecasting agriculturally driven global environmental change. Science 2001, 292, 281–284. [Google Scholar] [CrossRef]
- Sachs, J.; Remans, R.; Smukler, S.; Winowiecki, L.; Andelman, S.J.; Cassman, K.G.; Castle, D.; DeFries, R.; Denning, G.; Fanzo, J. Monitoring the world's agriculture. Nature 2010, 466, 558–560. [Google Scholar] [CrossRef]
- Latruffe, L.; Diazabakana, A.; Bockstaller, C.; Desjeux, Y.; Finn, J.; Kelly, E.; Ryan, M.; Uthes, S. Measurement of sustainability in agriculture: a review of indicators. Stud. Agric. Econ. 2016, 118, 123–130. [Google Scholar] [CrossRef]
- Rosnoblet, J.; Girardin, P.; Weinzaepflen, E.; Bockstaller, C. Analysis of 15 years of agriculture sustainability evaluation methods. In Proceedings of the 9th ESA Congress, Warsaw, Poland, 2006; 01/01/2006; pp. 707–708. [Google Scholar]
- Bockstaller, C.; Guichard, L.; Keichinger, O.; Girardin, P.; Galan, M.-B.; Gaillard, G. Comparison of methods to assess the sustainability of agricultural systems. A review. Agron. Sustain. Dev. 2009, 29, 223–235. [Google Scholar] [CrossRef]
- Burke, M.; Driscoll, A.; Lobell, D.B.; Ermon, S. Using satellite imagery to understand and promote sustainable development. Science 2021, 371, eabe8628. [Google Scholar] [CrossRef]
- Onojeghuo, A.O.; Blackburn, G.A.; Huang, J.; Kindred, D.; Huang, W. Applications of satellite ‘hyper-sensing’in Chinese agriculture: Challenges and opportunities. Int. J. Appl. Earth Obs. Geoinf 2018, 64, 62–86. [Google Scholar] [CrossRef]
- Hunt, M.L.; Blackburn, G.A.; Rowland, C.S. Monitoring the sustainable intensification of arable agriculture: the potential role of earth observation. Int. J. Appl. Earth Obs. Geoinf. 2019, 81, 125–136. [Google Scholar] [CrossRef]
- Weiss, M.; Jacob, F.; Duveiller, G. Remote sensing for agricultural applications: A meta-review. Remote Sens. Environ. 2020, 236, 111402. [Google Scholar] [CrossRef]
- Sukopp, H. Dynamik und konstanz in der flora der bundesrepublik deutschland. Schr.reihe Veg.kd 1976, 10, 9–27. [Google Scholar]
- Hoy, C.W. Agroecosystem health, agroecosystem resilience, and food security. J Environ Stud Sci 2015, 5, 623–635. [Google Scholar] [CrossRef]
- Yu, D.; Wang, D.; Li, W.; Liu, S.; Zhu, Y.; Wu, W.; Zhou, Y. Decreased landscape ecological security of peri-urban cultivated land following rapid urbanization: An impediment to sustainable agriculture. Sustainability 2018, 10, 394. [Google Scholar] [CrossRef]
- Wang, Z.; Yu, Q.; Guo, L. Quantifying the impact of the grain-for-green program on ecosystem health in the typical agro-pastoral ecotone: A case study in the Xilin Gol league, Inner Mongolia. Int. J. Environ. Res. Public Health 2020, 17, 5631. [Google Scholar] [CrossRef]
- Wang, L.; Zhou, Y.; Li, Q.; Xu, T.; Wu, Z.; Liu, J. Application of three deep machine-learning algorithms in a construction assessment model of farmland quality at the county scale: Case study of Xiangzhou, Hubei Province, China. Agriculture 2021, 11, 72. [Google Scholar] [CrossRef]
- Walz, U.; Stein, C. Indicators of hemeroby for the monitoring of landscapes in Germany. J. Nat. Conserv. 2014, 22, 279–289. [Google Scholar] [CrossRef]
- Andre, M. Landscape ecological consequences of the (sub) urbanization process in an African city: Lubumbashi (Democratic Republic of Congo). Universite de Liege, Belgium, 2016.
- Fushita, A.T.; dos Santos, J.E.; Rocha, Y.T.; Zanin, E.M. Historical land use/cover changes and the hemeroby levels of a bio-cultural landscape: past, present and future. JGIS 2017, 9, 576. [Google Scholar] [CrossRef]
- Jasinavičiūtė, A.; Veteikis, D. Assessing landscape instability through land-cover change based on the hemeroby index (Lithuanian example). Land 2022, 11, 1056. [Google Scholar] [CrossRef]
- Tian, Y.; Liu, B.; Hu, Y.; Xu, Q.; Qu, M.; Xu, D. Spatio-temporal land-use changes and the response in landscape pattern to hemeroby in a resource-based city. 2020, 9, 20. 9.
- Sukopp, H. Der Einfluss des Menschen auf die vegetation. 1969, 17, 360-371.
- Fehrenbach, H.; Grahl, B.; Giegrich, J.; Busch, M. Hemeroby as an impact category indicator for the integration of land use into life cycle (impact) assessment. Int J Life Cycle Assess 2015, 20, 1511–1527. [Google Scholar] [CrossRef]
- Zhou, Y.; Ning, L.; Bai, X. Spatial and temporal changes of human disturbances and their effects on landscape patterns in the Jiangsu coastal zone, China. Ecol. Indic. 2018, 93, 111–122. [Google Scholar] [CrossRef]
- Wang, W.; Li, X.; Lv, H.; Tian, Y. What Are the Correlations between Human Disturbance, the Spatial Pattern of the Urban Landscape, and Eco-Environmental Quality? 2023, 15, 1171.
- IGN, B. Limites des départements du Bénin. 2018.
- Ganglo, J.; Henrix, F. Etat de la Recherche Forestière au Bénin-Bilan et Perspectives. In Proceedings of the XII World Forestly Congress, Québec city, Canada, 2003. 09/21-28/2003. [Google Scholar]
- Aholoukpè, H.; Amadji, G.; Koussihouèdé, H. Chapitre 5. Stocks de carbone dans les sols des zones agro-écologiques du Bénin. In Carbone des sols en Afrique, T. Chevallier, T. M. Razafimbelo, L. Chapuis-Lardy, Brossard, M., Eds.; IRD Édition: Marseille, 2020; pp. 101–112. [Google Scholar]
- Chadare, F.J.; Fanou Fogny, N.; Madode, Y.E.; Ayosso, J.O.G.; Honfo, S.H.; Kayodé, F.P.P.; Linnemann, A.R.; Hounhouigan, D.J. Local agro-ecological condition-based food resources to promote infant food security: a case study from Benin. Food Security 2018, 10, 1013–1031. [Google Scholar] [CrossRef]
- PAPA/INRAB. Caractérisation et évaluation des milieux homogènes des zones agroécologiques du Bénin; CRA-Agonkanmey: Benin, 2017; p. 326. [Google Scholar]
- Stéphane, D.; Laurence, D.; Raffaele, G.; Valérie, A.; Eloise, R. Land cover maps of Antananarivo (capital of Madagascar) produced by processing multisource satellite imagery and geospatial reference data. Data Br 2020, 31, 105952. [Google Scholar] [CrossRef]
- Quintero, I.; Daza-Cruz, Y.X.; León-Sicard, T. Main Agro-Ecological Structure: An Index for Evaluating Agro-Biodiversity in Agro-Ecosystems. Sustainability 2022, 14, 13738. [Google Scholar] [CrossRef]
- Vodouhe, F.G.; Zoundji, G.C.; Yarou, H.; Yabi, J.A. Analyse des impacts environnementaux, sociaux et économiques des modes de production de Coton Conventionnel et Biologique au Bénin. Eur. Sci. J. 2019, 15. [Google Scholar] [CrossRef]
- Tittonell, P. Assessing resilience and adaptability in agroecological transitions. Agric. Syst. 2020, 184, 102862. [Google Scholar] [CrossRef]
- Hosonuma, N.; Herold, M.; De Sy, V.; De Fries, R.S.; Brockhaus, M.; Verchot, L.; Angelsen, A.; Romijn, E. An assessment of deforestation and forest degradation drivers in developing countries. Environ. Res. Lett. 2012, 7, 044009. [Google Scholar] [CrossRef]
- Putz, F.E.; Redford, K.H. The importance of defining ‘forest’: Tropical forest degradation, deforestation, long-term phase shifts, and further transitions. Biotropica 2010, 42, 10–20. [Google Scholar] [CrossRef]
- Baulcombe, D.; Crute, I.; Davies, B.; Dunwell, J.; Gale, M.; Jones, J.; Pretty, J.; Sutherland, W.; Toulmin, C. Reaping the benefits: science and the sustainable intensification of global agriculture; The Royal Society: London, 2009. [Google Scholar]
- Lawson, S.; MacFaul, L. Illegal logging and related trade: Indicators of the global response; Chatham House London: London, 2010. [Google Scholar]
- Jaureguiberry, P.; Titeux, N.; Wiemers, M.; Bowler, D.E.; Coscieme, L.; Golden, A.S.; Guerra, C.A.; Jacob, U.; Takahashi, Y.; Settele, J. The direct drivers of recent global anthropogenic biodiversity loss. Sci. Adv. 2022, 8, eabm9982. [Google Scholar] [CrossRef]
- Wang, G.; Han, Q. Assessment of the relation between land use and carbon emission in Eindhoven, the Netherlands. J Environ Manage 2019, 247, 413–424. [Google Scholar] [CrossRef] [PubMed]
- Lamb, W.F.; Wiedmann, T.; Pongratz, J.; Andrew, R.; Crippa, M.; Olivier, J.G.; Wiedenhofer, D.; Mattioli, G.; Al Khourdajie, A.; House, J. A review of trends and drivers of greenhouse gas emissions by sector from 1990 to 2018. Environ. Res. Lett. 2021, 16, 073005. [Google Scholar] [CrossRef]
- Yoro, K.O.; Daramola, M.O. CO2 emission sources, greenhouse gases, and the global warming effect. In Advances in carbon capture, Mohammad Reza, R., Mohammad, F., Mohammad, A.M., Eds.; Woodhead Publishing: Iran, 2020; pp. 3–28. [Google Scholar]
- TRACE, C. Climate TRACE Emissions Inventory v4.1.0. Available online: https://climatetrace. 2025. [Google Scholar]
- Singh, P.; Yadav, D. Link between air pollution and global climate change. In Global climate change. In Global climate change, Suruchi, S., Pardeep, S., S., R., K.K., S., Eds.; Elsevier: India, 2021; pp. 79–108. [Google Scholar]
- Kampa, M.; Castanas, E. Human health effects of air pollution. Environ. Pollut. 2008, 151, 362–367. [Google Scholar] [CrossRef] [PubMed]
- Popescu, F.; Ionel, I. Anthropogenic air pollution sources. In Air quality, Kumar, A., Ed.; Intechopen: London, 2010; pp. 1–22. [Google Scholar]
- Lal, R. Soil erosion impact on agronomic productivity and environment quality. Crit. Rev. Plant Sci. 1998, 17, 319–464. [Google Scholar] [CrossRef]
- Dugué, P. Intervenir sur l'environnement des exploitations. La gestion des ressources naturelles : l'aménagement des zones cultivées et la lutte contre l'érosion. In Mémento de l'agronome, CIRAD, G., Ed.; CIRAD: France-MAE. Montpellier, 2002; pp. 239–255. [Google Scholar]
- Karlen, D.L. Productivity. In Encyclopedia of Soils in the Environment, Hillel, D., Ed.; Elsevier: Oxford, 2005; pp. 330–336. [Google Scholar]
- Blevins, R.L.; Frye, W.W. Conservation Tillage: An Ecological Approach to Soil Management. In Advances in Agronomy, Sparks, D.L., Ed.; Academic Press: USA, 1993; Volume 51, pp. 33–78. [Google Scholar]
- Mueller, L.; Schindler, U.; Mirschel, W.; Shepherd, T.G.; Ball, B.C.; Helming, K.; Rogasik, J.; Eulenstein, F.; Wiggering, H. Assessing the productivity function of soils. In Sustainable Agriculture, Lichtfouse, E., Hamelin, M., Navarrete, M., Debaeke, P., Eds.; Springer: Dordrecht, 2011; Volume 2, pp. 743–760. [Google Scholar]
- Bhattacharyya, R.; Ghosh, B.N.; Mishra, P.K.; Mandal, B.; Rao, C.S.; Sarkar, D.; Das, K.; Anil, K.S.; Lalitha, M.; Hati, K.M. Soil degradation in India: Challenges and potential solutions. Sustainability 2015, 7, 3528–3570. [Google Scholar] [CrossRef]
- Mondal, S.; Mishra, J.S.; Poonia, S.P.; Kumar, R.; Dubey, R.; Kumar, S.; Verma, M.; Rao, K.K.; Ahmed, A.; Dwivedi, S. Can yield, soil C and aggregation be improved under long-term conservation agriculture in the eastern Indo-Gangetic plain of India? Eur. J. Soil Sci. 2021, 72, 1742–1761. [Google Scholar] [CrossRef]
- Mirsal, I.A. Soil pollution; Springer: Germany, 2008. [Google Scholar]
- AMAP. Assessment Report: Arctic Pollution Issues. 1998.
- Basosi, R.; Spinelli, D.; Fierro, A.; Jez, S. Mineral nitrogen fertilizers: environmental impact of production and use. In Fertilizers: Components, Uses in Agriculture and Environmental Impacts, Fernando, L.-V., Fabián, F.-L., Eds.; NOVA Publishers: New York, 2014; pp. 3–43. [Google Scholar]
- Xie, Z.-j.; Ye, C.; Li, C.-h.; Shi, X.-g.; Shao, Y.; Qi, W. The global progress on the non-point source pollution research from 2012 to 2021: a bibliometric analysis. Environ Sci Eur 2022, 34, 121. [Google Scholar] [CrossRef]
- Mohammadi, A.A.; Zarei, A.; Esmaeilzadeh, M.; Taghavi, M.; Yousefi, M.; Yousefi, Z.; Sedighi, F.; Javan, S. Assessment of heavy metal pollution and human health risks assessment in soils around an industrial zone in Neyshabur, Iran. Biol Trace Elem Res 2020, 195, 343–352. [Google Scholar] [CrossRef]
- Veldkamp, T. Water scarcity at the global and regional scales: unravelling its dominant drivers in historical and future time periods. PhD, Vrije Universiteit Amsterdam, Netherlands, 2017.
- Leijnse, M.; Bierkens, M.F.; Gommans, K.H.; Lin, D.; Tait, A.; Wanders, N. Key drivers and pressures of global water scarcity hotspots. Environ. Res. Lett. 2024, 19, 054035. [Google Scholar] [CrossRef]
- Mabhaudhi, T.; Chibarabada, T.; Modi, A. Water-food-nutrition-health nexus: Linking water to improving food, nutrition and health in Sub-Saharan Africa. Int. J. Environ. Res. Public Health 2016, 13, 107. [Google Scholar] [CrossRef]
- Rao, C.S.; Kareemulla, K.; Krishnan, P.; Murthy, G.; Ramesh, P.; Ananthan, P.; Joshi, P. Agro-ecosystem based sustainability indicators for climate resilient agriculture in India: A conceptual framework. Ecol. Indic. 2019, 105, 621–633. [Google Scholar] [CrossRef]
- Hountondji, Y.-C.; Gaoué, O.G.; Sokpon, N.; Ozer, P. Analyse écogéographique de la fragmentation du couvert végétal au nord Bénin: paramètres dendrométriques et phytoécologiques comme indicateurs in situ de la dégradation des peuplements ligneux. Geo-Eco-Trop 2013, 37. [Google Scholar]
- Imorou, I.T.; Arouna, O.; Zakari, S.; Djaouga, M.; Thomas, O.; Kinmadon, G. Évaluation de la déforestation et de la dégradation des forêts dans les aires protégées et terroirs villageois du bassin cotonnier du Bénin. In Proceedings of the Conférence OSFACO: Des images satellites pour la gestion durable des territoires en Afrique, Cotonou, Benin, 2019. 03/13-15/2019. [Google Scholar]
- Liu, Y.; Goodrick, S.; Heilman, W. Wildland fire emissions, carbon, and climate: Wildfire–climate interactions. For. Ecol. Manag. 2014, 317, 80–96. [Google Scholar] [CrossRef]
- Kim, D.-G.; Thomas, A.D.; Pelster, D.; Rosenstock, T.S.; Sanz-Cobena, A. Greenhouse gas emissions from natural ecosystems and agricultural lands in sub-Saharan Africa: synthesis of available data and suggestions for further research. Biogeosciences 2016, 13, 4789–4809. [Google Scholar] [CrossRef]
- Oloukoia, J.; Mamab, V.J.; Houssouc, C.S. Satellite Data-Based Analysis Of Vegetation Fires In The Central Region Of Benin Republic. 2017, 5. 5.
- Knorr, W.; Dentener, F.; Lamarque, J.-F.; Jiang, L.; Arneth, A. Wildfire air pollution hazard during the 21st century. Atmos. Chem. Phys. 2017, 17, 9223–9236. [Google Scholar] [CrossRef]
- Elliot, W.J.; Page-Dumroese, D.; Robichaud, P.R. The effects of forest management on erosion and soil productivity. In Proceedings of the Soil Quality and Erosion Interaction, Keystone, Colorado; 07/ 07 /1996 1996; pp. 195–208. [Google Scholar]
- Kooiman, A. The Factor C: Relations between Landcover and Landuse, and Aspects of Soil Erosion, Specifically for the Upper Komering Catchment, South Sumatra, Indonesia. 1987.
- Calder, I.; Hofer, T.; Vermont, S.; Warren, P. Towards a new understanding of forests and water. Unasylva. 2007, 58, 3–10. [Google Scholar]
- Vörösmarty, C.J.; McIntyre, P.B.; Gessner, M.O.; Dudgeon, D.; Prusevich, A.; Green, P.; Glidden, S.; Bunn, S.E.; Sullivan, C.A.; Liermann, C.R. Global threats to human water security and river biodiversity. Nature 2010, 467, 555–561. [Google Scholar] [CrossRef]
- Houelome, T.M.A.; Adandedjan, D.; Chikou, A.; Toko, I.I.; Bonou, C.; Youssao, I.; Laleye, P. Evaluation de la qualité des eaux des ruisseaux du cours moyen de la rivière Alibori par l’étude des macroinvertébrés benthiques dans le bassin cotonnier du Bénin (Afrique de l’Ouest). 2016, 10, 2461-2476.
- Houelome, T.M.A.; Adandedjan, D.; Chikou, A.; Toko, I.I.; Koudenoukpo, C.; Bonou, C.; Youssao, I.; Laleye, P. Inventaire et caractéristiques faunistiques des macroinvertébrés de la rivière Alibori dans le bassin cotonnier du Bénin IJIAS 2017, 21, 433-448. 21.
- Adechian, S.A.; Baco, M.N.; Akponikpe, I.; Toko, I.I.; Egah, J.; Affoukou, K. Les pratiques paysannes de gestion des pesticides sur le maïs et le coton dans le bassin cotonnier du Bénin. VertigO 2015, 15. [Google Scholar] [CrossRef]
- Follin, J.-C.; Deat, M. Le rôle des facteurs techniques dans l’accroissement des rendements en culture cotonnière. 1999, 14-23.
- Agbohessi, P.T.; Toko, I.I.; Ouédraogo, A.; Jauniaux, T.; Mandiki, S.; Kestemont, P. Assessment of the health status of wild fish inhabiting a cotton basin heavily impacted by pesticides in Benin (West Africa). Sci Total Environ 2015, 506, 567–584. [Google Scholar] [CrossRef]
- Epule, E.T.; Peng, C.; Mafany, N.M. Methane emissions from paddy rice fields: strategies towards achieving a win-win sustainability scenario between rice production and methane emission reduction. JSD 2011, 4, 188. [Google Scholar] [CrossRef]
- Gao, Y.; Jia, J.; Lu, Y.; Sun, K.; Wang, J.; Wang, S. Carbon transportation, transformation, and sedimentation processes at the land-river-estuary continuum. Fundam Res 2022. [Google Scholar] [CrossRef] [PubMed]
- Chanu, T.N.; Nag, S.K.; Koushlesh, S.K.; Devi, M.S.; Das, B.K. Greenhouse Gas Emission from Inland Open Water Bodies and Their Estimation Process—An Emerging Issue in the Era of Climate Change. 13. [CrossRef]
- Hessou, H.K.; Aïtondji, A.L.; Bio, A.; Djego, G.J.; Tente, B.A. Phytodiversité du sous-bois des plantations de Tectona grandis Lf au Sud de la République du Bénin: état de conservation et perspectives. Afr. sci. 2020, 16, 127–141. [Google Scholar]
- Amanoudo, M.; Wedjangnon, A.; Dossou, J.; Ouinsavi, C.I. Caracterisation des pratiques culturales et de gestion des plantations d’anacardiers (Anacardium occidentale l.) au Benin. Agron. Afr. 2022, 34, 69–79. [Google Scholar]
- Abi, A.; Zountchegnon, L.; Djossa, B.; Rudant, J.-P. Contribution des écosystèmes de plantation d’anacardier à la séquestration du stock de carbone dans la zone soudano-guinéenne du Centre-Bénin à partir des images sentinel-2a. Afr. sci. 2023, 23, 56–71. [Google Scholar]
- Zoundji, C.C.; Houngnandan, P.; Dedehouanou, H.; Toukourou, F. Determinants of soybean [Glycine max (L.) Merrill] production system in Benin. J. Exp. Biol. Agric. Sci. 2015, 3, 430–439. [Google Scholar] [CrossRef]
- DSA. Evolution de la production végétale par commune de 1995 en 2022. Available online: https://dsa.agriculture.gouv.bj/statistics/vegetale (accessed on 30/03/2023).
- Gouda, A.I.; Toko, I.I.; Salami, S.D.; Richert, M.; Scippo, M.L.; Kestemont, P.; Schiffers, B. Pratiques phytosanitaires et niveau d'exposition aux pesticides des producteurs de coton du nord du Bénin. Cah. Agric. 2018, 27, 65002. [Google Scholar] [CrossRef]
- Hermann, M.B.; Moumouni, I.; Mere, S.B.J.T.O. Contribution à l’amélioration des pratiques paysannes de production durable de coton (Gossypium hirsutum) au Bénin: cas de la commune de Banikoara. IJBCS 2015, 9, 2401–2413. [Google Scholar] [CrossRef]
- Wonka, E. Flächenstatistik und Datengrundlagen nach regionalstatistischen Rastereinheiten in Österreich. In Flächennutzungsmonitoring [I]: Konzepte-Indikatoren-Statistik, Meinel, G., Schumacher, U., Eds.; Shaker: Aachen, 2009; pp. 155–175. [Google Scholar]
- Pieterse, E. Building with ruins and dreams: some thoughts on realising integrated urban development in South Africa through crisis. Urban studies 2006, 43, 285–304. [Google Scholar] [CrossRef]
- Anderson, P.; Brown-Luthango, M.; Cartwright, A.; Farouk, I.; Smit, W. Brokering communities of knowledge and practice: Reflections on the African Centre for Cities’ CityLab programme. Cities 2013, 32, 1–10. [Google Scholar] [CrossRef]
- Parnell, S.; Walawege, R. Sub-Saharan African urbanisation and global environmental change. Glob. Environ. Change 2011, 21, S12–S20. [Google Scholar] [CrossRef]
- dos Santos, J.S.; Dodonov, P.; Oshima, J.E.F.; Martello, F.; de Jesus, A.S.; Ferreira, M.E.; Silva-Neto, C.M.; Ribeiro, M.C.; Collevatti, R.G. Landscape ecology in the Anthropocene: an overview for integrating agroecosystems and biodiversity conservation. PECON 2021, 19, 21–32. [Google Scholar] [CrossRef]
- Niño, L.; Jaramillo, A.; Villamizar, V.; Rangel, O. Geomorphology, Land-Use, and Hemeroby of Foothills in Colombian Orinoquia: Classification and Correlation at a Regional Scale. Pap. Appl. Geogr 2023, 9, 295–314. [Google Scholar] [CrossRef]
- Marshall, E. Agricultural landscapes: field margin habitats and their interaction with crop production. J. Crop Improv. 2004, 12, 365–404. [Google Scholar] [CrossRef]
- Garçon, R.; Houdant, B.; Garavaglia, F.; Mathevet, T.; Paquet, E.; Gailhard, J. Expertise humaine des prévisions hydrométéorologiques et communication de leurs incertitudes dans un contexte décisionnel. LHB 2009, 71–80. [Google Scholar] [CrossRef]
- Agarski, B.; Budak, I.; Kosec, B.; Hodolic, J. An approach to multi-criteria environmental evaluation with multiple weight assignment. Environ Model Assess 2012, 17, 255–266. [Google Scholar] [CrossRef]






| Data type | Spatial resolution (m) | Collection time |
|---|---|---|
| SPOT 6/7 | 1.5 m | 21 and 27 October 2022 |
| Sentinel-2 | 10 m | Time series from 01/01/2022 to 31/12/2022 |
| SRTM | 30 m | 2000 |
| Land cover type | Bagou | Ouenou | Parakou | |||
|---|---|---|---|---|---|---|
| (km²) | (%) | (km²) | (%) | (km²) | (%) | |
| Forest and Riparian | 3,95 | 0,16 | 22,99 | 0,92 | 113,25 | 4,53 |
| Woody Savannah | 138,88 | 5,55 | 388,67 | 15,53 | 325,57 | 13,01 |
| Deciduous Savannah | 364,28 | 14,56 | 126,48 | 5,06 | 152,08 | 6,08 |
| Water | 0,78 | 0,03 | 0,13 | 0,01 | 3,93 | 0,16 |
| Other Tree Crops (Teck) | 13,33 | 0,53 | 26,91 | 1,08 | 27,12 | 1,08 |
| Fruit Tree Crops (Cashew, Mango) | 24,96 | 1,00 | 238,08 | 9,52 | 562,20 | 22,47 |
| Leguminous/Oleaginous (Soja) | 126,24 | 5,05 | 961,98 | 38,45 | 724,37 | 28,95 |
| Cereals | 1485,99 | 59,41 | 623,15 | 24,91 | 483,62 | 19,33 |
| Roots/Tubers | 0,03 | 0,001 | 30,47 | 1,20 | 29,97 | 1,20 |
| Cotton | 326,30 | 13,05 | 61,60 | 2,46 | 8,31 | 0,33 |
| Bare Soil | 1,06 | 0,04 | 2,97 | 0,12 | 6,62 | 0,26 |
| Built-up Surfaces | 15,56 | 0,62 | 18,50 | 0,74 | 64,93 | 2,60 |
| Total | 2501,36 | 100 | 2501,93 | 100 | 2501,97 | 100 |
| Criteria | Score 1 (No intensity) |
Score 3 (Moderate) |
Score 5 (High) |
Score 7 (Maximum) |
|---|---|---|---|---|
| Degradation of vegetation | No degradation of the initial natural vegetation | Replacement of the original natural vegetation by tree plantations | Replacement of the original natural vegetation by intensive crops | Total disappearance of all forms of vegetation |
| Pressures on biodiversity | No pressure | Moderate intensity of the various pressures on biodiversity | High intensity of the various pressures on biodiversity | Total disappearance of all forms of animal and plant life |
| Greenhouse gas emissions | No emissions | Comparable to intensive agriculture | Comparable to that of an urban area with more than 10,000 inhabitants / km² | Comparable to an industrial zone using thermal energy |
| Air pollution | No pollution | |||
| Soil erosion | No erosion | Sheet erosion | Sheet and rill erosion | Sheet, rill and gully erosion |
| Degradation of soil productivity and characteristics | No degradation | Soil with a reduction in organic matter, loose, and with diversified plant cover | Soil devoid of organic matter, moderately compact, with little plant cover | Soil devoid of organic matter, compact, with no plant cover |
| Soil pollution | No pollution | Moderate-intensity pollution linked to urban or low-intensity agricultural activity | High-intensity pollution linked to intensive urban or agricultural activity | Extremely intense pollution linked to industrial discharges |
| Water pollution | No pollution | |||
| Reduction of water resources | No reduction in the water resources available to humans and ecosystems | Moderately problematic reduction in water resources available to humans and ecosystems | Highly problematic reduction in water resources available to humans and ecosystems | Extremely problematic reduction in water resources available to humans and ecosystems |
| Environmental systems | Land cover type | Criteria weights |
|---|---|---|
| Hydrosphere | Water pollution | 0.125 |
| Reduction of water resources | 0.125 | |
| Pedosphere | Soil pollution | 0.083 |
| Soil erosion | 0.083 | |
| Degradation of soil productivity | 0.083 | |
| Atmosphere | Air pollution | 0.125 |
| Greenhouse gases emissions | 0.125 | |
| Biosphere | Vegetation degradation | 0.125 |
| Pressures on biodiversity | 0.125 |
| Criteria | Weight | FR | WS | DS | WA | TC | FTC | LO | CER | RT | COT | BS | BUS |
|---|---|---|---|---|---|---|---|---|---|---|---|---|---|
| Degradation of vegetation | 0,125 | 2 | 2 | 2 | 1 | 3 | 3 | 4 | 4 | 4 | 5 | 6 | 6 |
| Pressures on biodiversity | 0,125 | 3 | 3 | 3 | 4 | 5 | 5 | 5 | 5 | 5 | 5 | 6 | 6 |
| Greenhouse gas emissions | 0,125 | 3 | 3 | 2 | 2 | 2 | 2 | 2 | 3 | 3 | 3 | 2 | 4 |
| Air pollution | 0,125 | 3 | 3 | 2 | 2 | 2 | 2 | 2 | 3 | 3 | 3 | 2 | 4 |
| Soil erosion | 0,083 | 1 | 1 | 1 | 1 | 3 | 3 | 4 | 4 | 4 | 4 | 6 | 6 |
| Degradation of soil productivity and characteristics | 0,083 | 1 | 1 | 1 | 1 | 3 | 3 | 4 | 4 | 4 | 4 | 6 | 6 |
| Soil pollution | 0,083 | 1 | 1 | 1 | 4 | 2 | 2 | 2 | 3 | 2 | 5 | 5 | 5 |
| Water pollution | 0,125 | 1 | 1 | 1 | 4 | 2 | 2 | 2 | 3 | 2 | 5 | 5 | 5 |
| Reduction of water resources | 0,125 | 2 | 2 | 2 | 1 | 2 | 2 | 2 | 2 | 2 | 2 | 2 | 2 |
| Human Disturbance Coefficient (HDC) | 2,00 | 2,00 | 1,75 | 2,25 | 2,66 | 2,66 | 2,96 | 3,41 | 3,21 | 3,95 | 4,29 | 4,79 | |
Disclaimer/Publisher’s Note: The statements, opinions and data contained in all publications are solely those of the individual author(s) and contributor(s) and not of MDPI and/or the editor(s). MDPI and/or the editor(s) disclaim responsibility for any injury to people or property resulting from any ideas, methods, instructions or products referred to in the content. |
© 2025 by the authors. Licensee MDPI, Basel, Switzerland. This article is an open access article distributed under the terms and conditions of the Creative Commons Attribution (CC BY) license (http://creativecommons.org/licenses/by/4.0/).
