Preprint
Article

This version is not peer-reviewed.

Machine-Learning-Based Optimal Feed Rate Determination in Machining: Integrating GA-Calibrated Cutting Force Modeling and Vibration Analysis

A peer-reviewed article of this preprint also exists.

Submitted:

09 May 2025

Posted:

09 May 2025

You are already at the latest version

Abstract
Machining efficiency and stability are crucial for achieving high-quality manufacturing outcomes. One of the primary challenges in machining is the suppression of chatter, which negatively impacts surface finish, tool longevity, and overall process reliability. This study proposes a machine learning-based approach to optimize feed rate in ma-chining operations by integrating a genetic algorithm (GA)-calibrated cutting force model with vibration analysis. A theoretical cutting force dataset is generated under varying machining conditions, followed by frequency-domain analysis using Fast Fourier Trans-form (FFT) to identify feed rates that minimize chatter. These optimal feed rates are then used to train an Extreme Gradient Boosting (XGBoost) regression model, with Bayesian optimization employed for hyperparameter tuning. The trained model achieves an R² score of 0.7887, indicating strong prediction accuracy. To verify the model's effectiveness, robotic milling experiments were conducted using a UR10e manipulator. Surface quality evaluations showed that the model-predicted feed rates consistently resulted in better surface finish and reduced chatter effects compared to conventional settings. These find-ings validate the model's ability to enhance machining performance and demonstrate the practical value of integrating simulated dynamics and machine learning for data-driven parameter optimization in robotic systems.
Keywords: 
;  ;  ;  

1. Introduction

In modern manufacturing, robotic arms play a crucial role in adaptive production systems. However, due to their structural compliance, these robotic arms often experience significant chatter vibrations, which can adversely affect machining stability and precision. Addressing this issue is essential to ensure high productivity and accuracy in automated machining environments. Force-controlled end-effectors have been shown to mitigate these vibrations and improve machining performance [1]. Additionally, recent studies have proposed novel disturbance compensation methods, integrating reaction force observers and extremum-seeking algorithms to enhance machining robustness and precision [2].
Machining efficiency and stability are critical for achieving high productivity and precision. One of the key challenges in machining processes is the mitigation of chatter, an unstable vibration phenomenon that adversely affects surface finish, tool life, and dimensional accuracy. To address this issue, researchers have extensively investigated chatter suppression methods, including process damping, spindle speed optimization, and adaptive control techniques [3]. Among these, optimizing the feed rate has gained significant attention due to its direct impact on cutting forces, stability, and machining efficiency.
Cutting force modeling plays a fundamental role in understanding machining dynamics and predicting process stability. Classical analytical models, such as those based on mechanistic and empirical approaches, have been widely used to estimate cutting forces under various conditions [4]. However, these models often require extensive experimental calibration and may not generalize well to complex machining environments. To enhance predictive accuracy, genetic algorithms (GA) have been employed to calibrate cutting force models by optimizing stiffness and damping parameters at chatter frequencies, providing a more reliable representation of machining dynamics [5]. Recent advancements in machine learning-based cutting force models have shown improved prediction accuracy, as demonstrated by Vaishnav et al., who developed a hybrid approach integrating mechanistic and neural network models [6].
Once a validated cutting force model is established, it becomes possible to analyze the influence of feed rate variations on chatter intensity under different axial and radial depths of cut. Previous studies have demonstrated that optimizing feed rate can significantly improve machining stability by shifting the system away from unstable operating regions [7]. Kiswanto et al. further emphasized the importance of spindle speed, feed rate, and machining time on surface roughness and burr formation in micro-milling operations [8]. In addition, the work by J. Li et al. explored the application of mechanistic cutting force models specifically for robotic deburring, highlighting the interplay between robot compliance and process dynamics [9].
Nevertheless, determining the optimal feed rate for a given machining condition remains a complex task due to the nonlinear interactions between cutting parameters and process stability. Recent research has emphasized the need for integrated data-driven and physics-informed approaches. For instance, K. Guo et al. proposed an active contact force actuator design for chatter suppression in robotic milling, demonstrating improved machining stability through active force control [10]. Similarly, X.-B. Qin et al. introduced a continuous feed rate scheduling strategy synchronized with spindle speed variations, effectively reducing chatter while enhancing productivity [11]. These advancements underscore the growing role of intelligent control and adaptive scheduling in machining optimization.
Moreover, the study by I. Oleaga et al. presented a machine learning-based approach for chatter prediction in heavy-duty milling operations, validating the potential of predictive analytics to anticipate instability before defects occur [12]. Such frameworks, which integrate empirical modeling, machine learning, and sensor feedback, form a promising foundation for enhancing machining autonomy, robustness, and real-time adaptability in robotic manufacturing systems.
Traditional regression models often struggle to accurately capture these nonlinear dependencies, making it difficult to develop reliable predictive models for machining optimization. To address this challenge, machine learning techniques have been extensively explored for predictive modeling in machining. Various algorithms, including support vector machines (SVM), regression models, and ensemble learning approaches, have been employed to model and optimize machining parameters effectively [13]. Among these, gradient boosting algorithms have demonstrated superior performance in machining parameter optimization due to their ability to handle complex, nonlinear relationships. XGBoost (Extreme Gradient Boosting), introduced by Chen & Guestrin [14], has been widely recognized for its effectiveness in capturing intricate nonlinear dependencies in regression problems. Unlike traditional regression models, XGBoost leverages an ensemble of decision trees, improving predictive accuracy through iterative learning and regularization. Its ability to handle nonlinearities makes it particularly well-suited for machining optimization, where process dynamics are influenced by multiple interacting parameters.
In this study, XGBoost is employed to predict the optimal feed rate under varying machining conditions by integrating cutting force dynamics with data-driven modeling. This approach allows for real-time feed rate optimization, minimizing chatter risks while enhancing machining efficiency. Compared to conventional empirical methods, XGBoost offers superior generalization to unseen machining conditions, reducing the reliance on extensive experimental trials. The primary objective of this study is to develop an XGBoost-based approach for feed rate optimization in machining. The methodology involves constructing a GA-calibrated cutting force model, analyzing the impact of feed rate on chatter intensity, and training an XGBRegressor model to predict optimal feed rates for given machining conditions. By integrating cutting dynamics with machine learning, this research aims to enhance machining efficiency and stability while reducing the need for time-consuming experimental validations.
The remainder of this paper is organized as follows: Section 2 describes the development of the cutting force model, detailing its calibration using genetic algorithms and its application for cutting force prediction. Section 3 presents the methodology for training and validating the XGBRegressor model to determine the optimal feed rate under varying machining conditions. Section 4 summarizes the key findings, discusses the implications of the results, and suggests potential directions for future research.

2. Force Modeling for Machining Stability Analysis

The experimental setup for the cutting force modeling process is illustrated in Figure 1. In this study, a voice-coil-motor-driven active end-effector is mounted on the flange of the UR10e manipulator, enabling precise control of the cutting spindle's position along the x-axis via the SERVOTRONIX CDHD2 servo drive. Three sets of experiments are conducted at feed rates of 2 mm/s, 3 mm/s, and 4 mm/s, with force data captured using an ATI-9105 force/torque sensor.
To model the instantaneous milling force of the measured system, Kienzle's exponential model is employed [15,16], which is expressed as
F m = K m b h β   m t , n , a   1
, where F t , F n , and F a are the instantaneous milling forces in the tangential, normal, and axial directions, respectively. Here, b represents the axial depth of cut, h is the instantaneous chip thickness, and K t , K n , and K a are the empirical parameters corresponding to each force direction. The exponent β is a common empirical parameter shared across all three force components.
The helix angle of the milling cutter can be approximated using a multiple straight-tooth model, as illustrated in Figure 2. Across the axial direction, the cutter is discretized into multiple thin slices, each with a thickness of d b . Consequently, the milling force acting on each slice can be expressed as follows:
d F x i j = K t d b h i j β sin ϕ i j K n d b h i j β cos ϕ i j  
d F y i j = K n d b h i j β sin ϕ i j + K t d b h i j β cos ϕ i j  
d F z i j = K a d b h i j β  
, in which d ϕ = d b tan γ r 1 is the angular increment, γ denotes the helix angle. The instantaneous chip thickness is given by
h i j = f t sin ϕ i j + n t τ n t  
, where i = 1,2 , N t represents the tooth index of the endmill, j = 1,2 , round ( b / d b ) is the slice index, f t = 60 f / Ω N t is the feed per tooth in m/tooth, f is the linear feed rate in m/s, Ω is the spindle speed in rpm, N t is the number of teeth per revolution. The terms n t τ and n ( t ) correspond to the previous and current surface vibrations due to regenerative chatter. Finally, the immersion angle for each slice is given by
ϕ i j = ϕ 11 + 2 π N t i + d ϕ  
The instantaneous milling force is then determined by summing the contributions from (2), (3), and (4), expressed as:
F q = i = 1 N t j = 1 round b d b d F q i j   q x , y , z  
, where d F m i j = 0 if ϕ i j < ϕ s or ϕ i j > ϕ e . Here, ϕ s = π cos 1 r a r 1 and ϕ e = π denote the entry and exit angles, respectively, under down-milling conditions, where a represents the radial depth of cut.
To determine the empirical parameters of the exponential model, a genetic algorithm (GA) is employed to optimize the fit between the measured force data and the instantaneous milling force computed using (7). The objective function utilized in the optimization process expressed as:
E θ = i = 1 N j = 1 3 F i j m e a s F i j p r e d θ 2  
, where θ represents the model parameters being optimized, F i j m e a s is the measured cutting force at the sample index i along force component j ( j { X ,   Y , Z } ), F i j p r e d θ is the predicted
cutting force computed using the current model parameters and N is the total number of data samples. This function minimizes the sum of squared errors (SSE) between the measured and predicted forces, ensuring an optimal parameter fit for accurate cutting force modeling. The detailed GA settings are provided in Table 1 In this approach, surface vibrations are modeled using a two-degree-of-freedom spring-damper-mass system, as illustrated in Figure 3, which computes the displacement of the tool tip caused by the vibration modes of the robotic system.
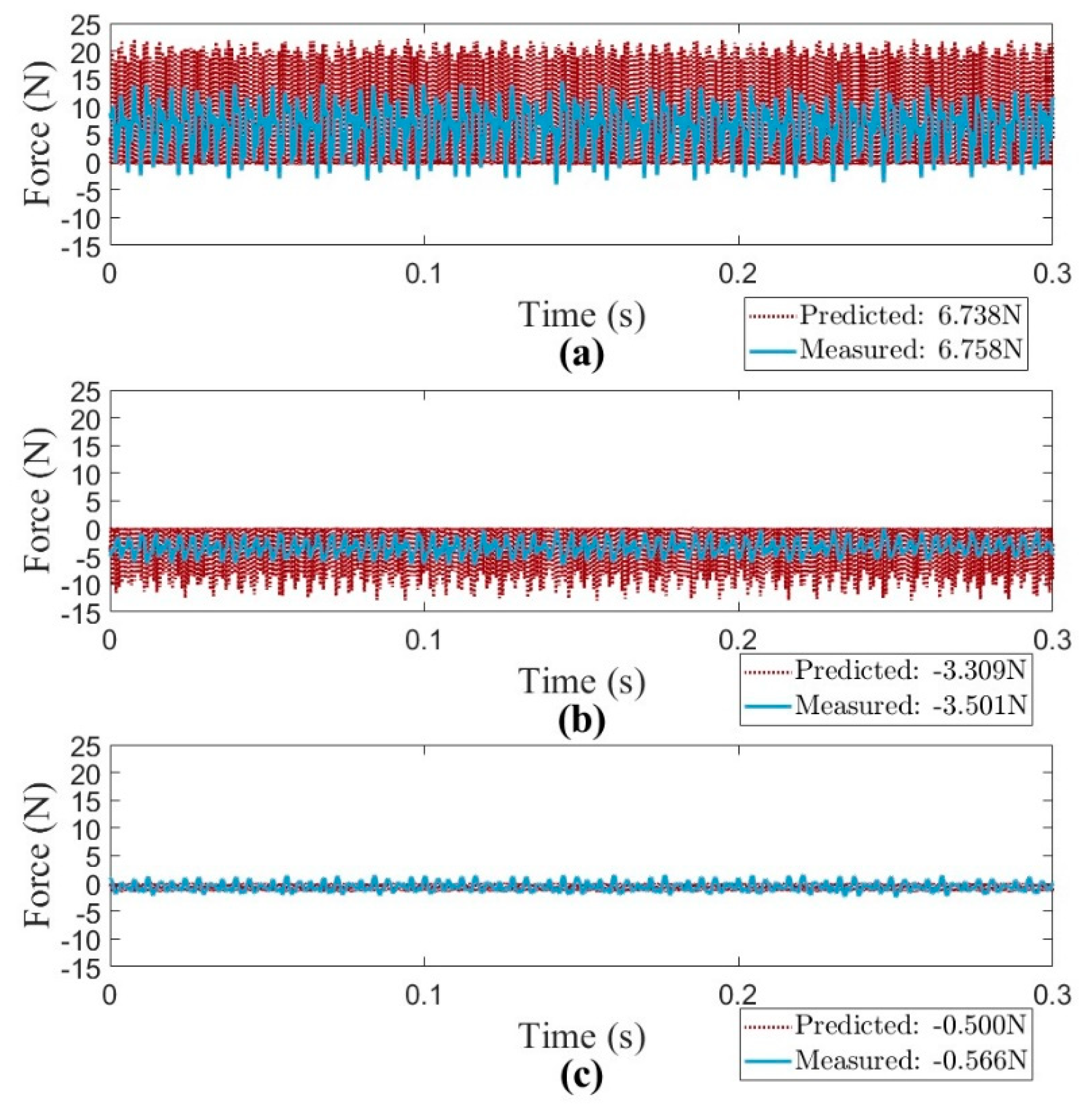
The fitted results are presented in Figure 4 and Figure 5, where the identified parameters are K t = 5 . 7051 × 10 6 , K n = 4.5984 × 10 6 , K a = - 4.81485 × 10 5 , and β = 0.4723 . Additionally, the dominant vibration modes of the robotic milling system are observed at approximately 250 Hz and 750 Hz, with a tooth passing frequency of 1000 Hz (i.e., Ω = 15000 rpm and N t = 4 ). The stiffness and damping ratios for the two vibration modes are summarized in Table 2. As shown in Figure 4, the mean force values are accurately predicted, demonstrating the model’s reliability. Furthermore, the frequency responses in Figure 5 indicate that the proposed model effectively captures the system dynamics, making it suitable for machine learning-based data acquisition. It is important to note that the measured amplitude at the tooth-passing frequency is affected by the force/torque sensor’s built-in post filter (cutoff frequency around 1200 Hz), which results in a lower measured amplitude compared to the predicted forces.

3. Machine Learning Based Feed Rate Prediction

The previous chapter introduced the development of a cutting force model that provides a theoretical basis for understanding machining dynamics. In this chapter, we leverage this model to generate a comprehensive dataset of cutting force values under varying machining conditions. This dataset, constructed using a data-driven approach, serves as the foundation for frequency analysis using Fast Fourier Transform (FFT) and the subsequent development of a machine learning model to predict the optimal feed rate that minimizes chatter and enhances machining stability.

3.1. Data Generation and Frequency Analysis

Using the cutting force model developed in Chapter 2, this study generates theoretical cutting force data by employing a data-driven methodology. The dataset is constructed by systematically varying machining parameters, including axial depth of cut (1.5 mm to 2.0 mm, with an increment of 0.05 mm), radial depth of cut (0.5 mm to 1.5 mm, with an increment of 0.05 mm), and feed rate (2 mm/s to 4 mm/s, with an increment of 0.1 mm/s). By systematically adjusting these parameters, a dataset representing a wide range of machining conditions is constructed. This extensive dataset is essential for training a neural network model capable of predicting optimal feed rates under different machining conditions.
For each combination of machining parameters, cutting force predictions are computed. However, not all generated data is directly used for neural network training. Only the data corresponding to stable machining conditions, identified through FFT-based magnitude minimization, is chosen for training the neural network.
To determine the optimal feed rate for stable machining, the generated cutting force data undergoes Fast Fourier Transform (FFT) analysis. The FFT conversion allows for the identification of dominant frequency components in the cutting force signals. According to the principles of machining chatter, chatter vibrations occur at multiples of the spindle speed frequency. By analyzing the magnitude of these frequency components, the feed rate corresponding to the lowest vibration magnitude is selected as the optimal feed rate for each machining condition. In an ideal machining process without chatter, the primary frequency component in the FFT spectrum should concentrate at the tooth passing frequency:
f c = N f s  
, where N is the number of cutter teeth and f s is the spindle speed frequency. This frequency represents the periodic force fluctuations caused by the tool engaging with the workpiece. The spindle speed frequency, f s represents the number of spindle rotations per second and is calculated as:
f s = Ω r p m × 2 π 60 r a d s × 1 2 π  
, where Ω is the spindle speed in revolutions per minute (RPM). This fundamental frequency serves as a reference for identifying chatter frequencies and their harmonics in the FFT spectrum.
However, when chatter occurs, additional frequency components appear at integer multiples of the spindle speed:
f c = n f s ,   n = 1 ,   2 ,   3 ,  
These additional peaks indicate unstable cutting conditions and are indicative of chatter-induced vibrations.
To identify the optimal feed rate, the FFT spectrum is analyzed by evaluating the combined magnitude of frequency components at the first, second, and third harmonics of the spindle speed. Specifically, the total magnitude within a ± 20 % range around each harmonic frequency n f s (where n = 1 ,   2 ,   3 ) is computed as:
M t o t a l = n = 1 3 f = n f s × 0.8 n f s × 1.2 M f  
, where M ( f ) represents the magnitude of the frequency component at frequency f .
For each set of machining parameters, the FFT spectrum is examined, and the feed rate that minimizes M t o t a l is identified as the optimal feed rate, as it corresponds to the most stable cutting condition with the least chatter influence. The process iterates through all machining conditions, storing the optimal feed rate associated with each axial and radial depth of cut.

3.2. Data Preparation and Feature Engineering

To determine the optimal feed rate that minimizes machining instability, this study employs XGBoost regression, a powerful machine learning algorithm designed for handling nonlinear relationships. The model predicts the optimal feed rate v based on specific machining conditions, enabling efficient and automated feed rate selection.
Following frequency analysis, only data corresponding to stable machining conditions—where chatter vibrations are minimized—are selected for model training. This ensures that the regression model is trained exclusively on machining conditions that yield optimal feed rates for chatter suppression.
The dataset used for training is derived from theoretical cutting force model simulations, systematically varying machining parameters across a range of conditions. The dataset consists of a total of 232 data points, each containing key machining parameters and their corresponding optimal feed rate values. The input features include axial depth of cut ( a ) and radial depth of cut ( b ).
To enhance the model’s ability to capture nonlinear relationships between machining parameters and feed rate, feature engineering is performed: Quadratic terms ( a 2 , b 2 ) are introduced to account for second-order interactions that influence machining stability and chatter behavior.
Once feature engineering is complete, the dataset is split into training (80%) and test (20%) subsets, ensuring the model’s ability to generalize across different machining conditions. This structured dataset enables the XGBoost regression model to accurately predict optimal feed rates under varying cutting conditions.

3.3. Bayesian Optimization for Hyperparameter Tuning

To enhance the predictive accuracy of the XGBoost model, Bayesian optimization is employed for hyperparameter tuning. Unlike traditional grid search or random search methods, Bayesian optimization utilizes a probabilistic model to efficiently explore the hyperparameter space and identify the best combination with fewer iterations [16].
The optimization process focuses on maximizing the model’s coefficient of determination ( R ² score):
R 2 = 1 y i y ^ i 2 y i y ¯ 2  
, where y i represents the actual (ground truth) values, y ^ i represents the predicted values, and y ¯ is the means of the actual values. The numerator is the Residual Sum of Squares (RSS), quantifying the error between actual and predicted values, while the denominator is the Total Sum of Squares (TSS), reflecting overall variance in the data. A higher R 2 indicates better model performance and prediction accuracy.
Bayesian optimization is a sequential model-based optimization (SMBO) technique that efficiently optimizes expensive-to-evaluate functions. Unlike brute-force approaches, it builds a probabilistic surrogate model of the objective function and selects new sample points based on an acquisition function, balancing exploration (searching new areas) and exploitation (refining known good areas). Mathematically, the black-box function f ( x ) , where x represents hyperparameters, is modeled using a Gaussian Process (GP):
f x ~ G P m x , k x , x '
, where m ( x ) is the mean function, representing the excepted value of f ( x ) and k ( x , x ' ) is the covariance function, defining the relationship between points x and x ' .
The next sample point is determined using an acquisition function a ( x ) , which quantifies the utility of sampling at x . Common choices include:
Expected Improvement (EI): Selects points with the highest expected improvement:
I x = E max f x f x * , 0  
, where f ( x * ) is the best observed function value so far.
Upper Confidence Bound (UCB): Balances exploration and exploitation:
U C B x = μ x κ σ x  
, where μ x is the predicted mean from the Gaussian Process, σ x is the standard deviation (uncertainty) and κ is a trade-off factor.
Probability of Improvement (PI): Selects points with the highest probability of improvement:
P I x = P f x > f x *  
By iteratively updating the GP model and selecting new points via the acquisition function, Bayesian optimization efficiently finds the best hyperparameters with minimal function evaluations. To achieve optimal predictive performance, Bayesian optimization fine-tunes the following key hyperparameters in XGBoost:
  • Tree-based Parameters:
  • Number of estimators: Controls the number of boosting rounds, which is set to 201.
  • Tree depth: Determines the complexity of individual trees, which is set to 13.
  • Learning rate: Regulates the step size of updates to avoid overfitting, which is set to 0.2055.
  • Regularization and Sampling Controls:
  • Subsample ratio: Defines the fraction of training data used in each boosting iteration, which is set to 0.7319.
  • Column sampling ratio: Determines how many features are used per tree, which is set to 0.6199.
  • and L2 regularization: Prevents overfitting by penalizing overly complex models, with values set to 0.0284 and 0.5773, respectively.
The Bayesian optimization process begins with an exploration phase, where 300 random trials are conducted to sample a diverse range of hyperparameter combinations. This is followed by 500 additional iterations, where an acquisition function intelligently selects the most promising configurations based on previous evaluations. Ultimately, the process identifies the optimal set of hyperparameters that maximizes the R² score, ensuring the best predictive performance for feed rate estimation while maintaining computational efficiency.

3.4. Model Training and Evaluation

After identifying the optimal hyperparameters through Bayesian optimization, the XGBoost regression model is trained on the refined dataset to predict the optimal feed rate
v , minimizing machining instability. The model’s performance is evaluated using R ² score, Root Mean Squared Error (RMSE) and Mean Absolute Error (MAE) to assess how well the predicted values align with the actual values in the test dataset.
The trained XGBoost model achieves an R ² score of 0.7887, demonstrating a strong correlation between predicted and actual feed rates, as shown in Figure 6. Additionally, the model attains an RMSE of 0.2689 and an MAE of 0.2134, indicating high predictive accuracy. These results confirm that the model effectively captures the nonlinear relationships between machining parameters and optimal feed rates, making it a reliable tool for feed rate optimization.
By integrating cutting force dynamics with machine learning, this approach provides a data-driven solution for feed rate optimization, eliminating the need for extensive empirical trials and enhancing machining stability and efficiency. Future improvements could involve incorporating additional machining parameters and refining feature engineering techniques to achieve even higher predictive accuracy.

4. Experimental Validation of Predicted Feed Rate

To verify the effectiveness of the proposed machine learning-based feed rate prediction model in practical robotic machining applications, validation experiments were conducted using a UR10e robotic arm equipped with a voice-coil-motor-driven active end-effector and an ATI-9105 force/torque sensor. The purpose of the experiment was to determine whether the feed rate predicted by the model could effectively reduce chatter-induced surface irregularities in a real-world setup.
The workpiece used in this experiment was a rectangular block of S45C carbon steel with dimensions of 50 mm × 20 mm × 13.5 mm. The machining tests were carried out using
a fixed axial depth of cut of 1.8 mm and a radial depth of cut of 0.9 mm. Figure 7 illustrates the machining setup, highlighting the relative orientations of the axial, radial, and feed directions on the surface of the workpiece during the cutting process. Under these controlled conditions, four feed rates were evaluated:
2.0 mm/s (baseline low feed)
2.6 mm/s (moderate empirical setting)
2.7 mm/s (predicted optimal by XGBoost model)
3.0 mm/s (higher conventional setting
Surface integrity was evaluated using two standard metrics:
Pt (maximum peak-to-valley height), which is sensitive to sudden tool deflections and chatter marks.
Ra (arithmetic average roughness), commonly used to characterize surface finish.
Figure 8 presents the surface profiles measured using a contact-type surface profilometer for each tested feed rate. These profiles reveal topographical variations across a 4 mm span of the machined surface. Notably, the profile corresponding to the predicted optimal feed rate of 2.7 mm/s exhibits the most consistent trajectory, with relatively gentle peak-to-valley transitions and minimal chatter-induced irregularities. In contrast, the 2.0 mm/s condition shows pronounced undulations, while the 3.0 mm/s condition exhibits sharper peaks, indicating increased dynamic instability.
The numerical results are summarized in Table 3, which compares the Pt and Ra values obtained at each feed rate. The 2.7 mm/s feed rate yielded the lowest Pt value of 19.493 µm, indicating superior dynamic stability. In comparison, feed rates of 2.0 mm/s, 2.6 mm/s, and 3.0 mm/s produced Pt values of 24.858 µm, 22.723 µm, and 21.649 µm, respectively, corresponding to reductions of:
  • ↓ 21.6% compared to 2.0 mm/s
  • ↓ 19.9% compared to 2.6 mm/s
  • ↓ 9.9% compared to 3.0 mm/s
While the Ra value corresponding to the predicted feed rate of 2.7 mm/s (0.94 µm) was slightly higher than that of 3.0 mm/s, both values remained well below the 1 µm threshold, which is commonly considered acceptable for high-quality surface finishes. As such, the small difference in Ra is not deemed critical in assessing machining performance. In contrast, Pt, which captures peak-to-valley deviations and is more sensitive to chatter-induced defects, was significantly lower at 2.7 mm/s. Therefore, Pt is adopted as the primary indicator of surface quality in this study, and the 2.7 mm/s feed rate is validated as achieving an optimal balance between surface consistency and dynamic stability.
These findings demonstrate that the predicted feed rate not only improves quantitative surface metrics such as Pt, but also visually suppresses chatter effects, as confirmed by the smoother, more uniform surface textures observed in the profilometer data.
The successful validation of the predicted feed rate highlights the practical value of combining genetic algorithm-calibrated cutting force modeling with XGBoost regression. By learning the nonlinear relationships between process parameters and chatter-prone regions, the model provides data-driven, actionable recommendations that reduce the need for trial-and-error tuning in robotic machining systems.
Furthermore, the results confirm that machine learning models trained on theoretically simulated data can achieve high fidelity when applied to real experimental settings. This method is beneficial in robotic machining, as it saves time and resources by avoiding extensive empirical data collection. The integration of simulation-based data generation, vibration analysis, and supervised learning thus provides a robust framework for intelligent, adaptive manufacturing.

5. Conclusions

This study presents a machine-learning-based methodology for feed rate optimization in machining, integrating GA-calibrated cutting force modeling with vibration analysis. By leveraging a theoretical cutting force dataset and employing FFT-based frequency analysis, relatively stable machining conditions are identified, enabling the determination of optimal feed rates. The proposed XGBoost regression model, trained using these optimal feed rates, effectively captures the nonlinear relationships between machining parameters and chatter suppression. Bayesian optimization further enhances model performance by fine-tuning hyperparameters, resulting in an R² score of 0.7887. The findings demonstrate that this approach provides a reliable, data-driven solution for feed rate determination, eliminating the need for exhaustive experimental trials. The trained model can provide practical machining parameter recommendations, offering guidance on optimal feed rates to minimize chatter and improve process stability. This methodology was experimentally validated using a UR10e robotic arm setup, where the predicted feed rate achieved the lowest Pt value and exhibited the smoothest surface profile, confirming the model’s practical effectiveness. Future research can enhance this framework by incorporating additional machining parameters, real-time sensor data, and adaptive control strategies to improve predictive robustness and generalization capabilities.

Author Contributions

Conceptualization, Yu-Peng Yeh and Han-Hao Tsai; Data curation, Yu-Peng Yeh; Formal analysis, Yu-Peng Yeh; Funding acquisition, Jen-Yuan Chang; Methodology, Yu-Peng Yeh and Han-Hao Tsai; Software, Yu-Peng Yeh and Han-Hao Tsai; Supervision, Jen-Yuan Chang; Validation, Yu-Peng Yeh; Writing – original draft, Yu-Peng Yeh; Writing – review & editing, Jen-Yuan Chang.

Funding

This research was funded by National Science and Technology Council of Taiwan, grant number NSTC 113-2218-E-007-025

Institutional Review Board Statement

Not applicable.

Informed Consent Statement

Not applicable.

Data Availability Statement

The original contributions presented in the study are included in the article, further inquiries can be directed to the corresponding author.

Conflicts of Interest

The authors declare no conflicts of interest.

Abbreviations

The following abbreviations are used in this manuscript:
GA Genetic Algorithm
FFT Fast Fourier Transform
XGBoost eXtreme Gradient Boosting
Pt Peak-to-valley height
Ra Arithmetic Average Roughness
R 2 Coefficient of Determination
RMSE Root Mean Squared Error
MAE Mean Absolute Error
GP Gaussian Process
EI Expected Improvement
UCB Upper Confidence Bound
PI Probability of Improvement
SMBO Sequential Model-Based Optimization
SVM Support Vector Machine

References

  1. H.-H. Tsai, Y.-C. Lin, and J.-Y. J. Chang. Automated Robotic Deburring Utilizing Active Force-controlled End-effector. International Journal of iRobotics 2023, 6, 1–7. [Google Scholar]
  2. H.-H. Tsai and J.-Y. Chang, "An Adaptive Disturbance Compensation Method for Force-Sensorless Control Systems Applied to Robotic Milling," Available at SSRN 5123468.
  3. Y. Altintas and M. Weck. Chatter stability of metal cutting and grinding. CIRP annals 2004, 53, 619–642. [Google Scholar] [CrossRef]
  4. E. Budak, "Analytical models for high performance milling. Part I: Cutting forces, structural deformations and tolerance integrity," International Journal of Machine Tools and Manufacture, vol. 46, no. 12-13, pp. 1478-1488, 2006.
  5. M. L. Campomanes and Y. Altintas, "An improved time domain simulation for dynamic milling at small radial immersions," J. Manuf. Sci. Eng., vol. 125, no. 3, pp. 416-422, 2003.
  6. S. Vaishnav, A. S. Vaishnav, A. Agarwal, and K. Desai, "Machine learning-based instantaneous cutting force model for end milling operation," Journal of Intelligent Manufacturing, vol. 31, pp. 1353-1366, 2020.
  7. G. Quintana and J. Ciurana, "Chatter in machining processes: A review," International Journal of Machine Tools and Manufacture, vol. 51, no. 5, pp. 363-376, 2011.
  8. G. Kiswanto, D. G. Kiswanto, D. Zariatin, and T. Ko, "The effect of spindle speed, feed-rate and machining time to the surface roughness and burr formation of Aluminum Alloy 1100 in micro-milling operation," Journal of Manufacturing Processes, vol. 16, no. 4, pp. 435-450, 2014.
  9. J. Li et al., “Integrated monitoring and intelligent control in the machining process of hybrid robot,” in Advances in Mechanism and Machine Science and Engineering in China, Y. Chen e et al., Eds. Singapore: Springer, 2025.
  10. K. Guo et al., “Chatter suppression in robotic milling using active contact force actuator,” J. Manuf. Process., vol. 133, pp. 118–129, 2025.
  11. X.-B. Qin et al., “Chatter suppression with productivity improvement by scheduling a C³ continuous feedrate to match spindle speed variation,” Mech. Syst. Signal Process., vol. 188, Art. no. 110021, 2023.
  12. I. Oleaga et al., “A machine-learning based solution for chatter prediction in heavy-duty milling machines,” Measurement, vol. 128, pp. 34–44, 2018.
  13. T. Chen and C. Guestrin, "Xgboost: A scalable tree boosting system," in Proceedings of the 22nd acm sigkdd international conference on knowledge discovery and data mining, 2016, pp. 785-794.
  14. Miller, G., R. A. Irani, and M. Ahmadi, The application of mechanistic cutting force models for robotic deburring. The International Journal of Advanced Manufacturing Technology, 2021, 115(1): p. 199-212.
  15. Schmitz, T. and K. Smith, Machining Dynamics: Frequency Response to Improved Productivity, 2019.
  16. J. Snoek, H. J. Snoek, H. Larochelle, and R. P. Adams, "Practical bayesian optimization of machine learning algorithms," Advances in neural information processing systems, vol. 25, 2012.
Figure 1. Experimental Setup for cutting force modeling.
Figure 1. Experimental Setup for cutting force modeling.
Preprints 158957 g001
Figure 2. Unrolled geometry of the cutter with a helix angle.
Figure 2. Unrolled geometry of the cutter with a helix angle.
Preprints 158957 g002
Figure 3. Schematic plot of the two-degree-of-freedom spring-damper-mass system.
Figure 3. Schematic plot of the two-degree-of-freedom spring-damper-mass system.
Preprints 158957 g003
Figure 4. Comparison of measured and predicted milling forces using the proposed force model in (a) the x-direction, (b) the y-direction, and (c) the z-direction. ( f = 3   m m / s )
Figure 4. Comparison of measured and predicted milling forces using the proposed force model in (a) the x-direction, (b) the y-direction, and (c) the z-direction. ( f = 3   m m / s )
Preprints 158957 g004
Figure 5. Frequency response comparison of measured and predicted forces at different feed rates: (a) 2 mm/s, (b) 3 mm/s, and (c) 4 mm/s.
Figure 5. Frequency response comparison of measured and predicted forces at different feed rates: (a) 2 mm/s, (b) 3 mm/s, and (c) 4 mm/s.
Preprints 158957 g005
Figure 6. Actual vs. Predicted Feed Rate with XGBoost Regression.
Figure 6. Actual vs. Predicted Feed Rate with XGBoost Regression.
Preprints 158957 g006
Figure 7. Figure 7. Orientation of feed, radial, and axial directions on the workpiece surface.
Figure 7. Figure 7. Orientation of feed, radial, and axial directions on the workpiece surface.
Preprints 158957 g007
Figure 8. Figure 8. Surface profiles measured by contact-type profilometer under different feed rates.
Figure 8. Figure 8. Surface profiles measured by contact-type profilometer under different feed rates.
Preprints 158957 g008
Table 1. General Setting of Genetic Algorithm
Table 1. General Setting of Genetic Algorithm
Parameter Value
Representation (Genotype) Continuous
Population Size 200
Selection Method Roulette
Crossover Method Scattered crossover
Crossover Rate 0.8
Mutation Method Adaptive feasible mutation
Survivor Size 0.05 × Population size
Convergence Criteria Average   relative   change   over   50   Generations   <   10 4
Table 2. Table 2. The stiffness and damping ratios for the two vibration modes
Table 2. Table 2. The stiffness and damping ratios for the two vibration modes
Mode Stiffness   ( N / m ) Damping ratio
Mode 1 8.649 × 10 6 0.01569
Mode 2 6.250 × 10 6 0.00005
Table 3. Table 3. Surface finish metrics (Pt and Ra) under different feed rates.
Table 3. Table 3. Surface finish metrics (Pt and Ra) under different feed rates.
Feed rate 2.7(mm/s) 2.6(mm/s) 3.0(mm/s) 2.0(mm/s)
Pt (μm) 19.49 24.34 21.64 24.84
Ra (μm) 0.94 1.09 0.85 2.39
Disclaimer/Publisher’s Note: The statements, opinions and data contained in all publications are solely those of the individual author(s) and contributor(s) and not of MDPI and/or the editor(s). MDPI and/or the editor(s) disclaim responsibility for any injury to people or property resulting from any ideas, methods, instructions or products referred to in the content.
Copyright: This open access article is published under a Creative Commons CC BY 4.0 license, which permit the free download, distribution, and reuse, provided that the author and preprint are cited in any reuse.
Prerpints.org logo

Preprints.org is a free preprint server supported by MDPI in Basel, Switzerland.

Subscribe

Disclaimer

Terms of Use

Privacy Policy

Privacy Settings

© 2026 MDPI (Basel, Switzerland) unless otherwise stated