Submitted:
07 May 2025
Posted:
07 May 2025
You are already at the latest version
Abstract
Keywords:
1. Introduction
2. Materials and Methods
2.1. Materials
2.2. Synthesis of Mn-Doped MAPbBr3 NCs
2.3. Surface Passivation
2.4. Preparation of NC Superlattice
2.5. Characterizations
3. Results and Discussion
3.1. Structural Characterization of Mn-doped MAPbBr3 NCs
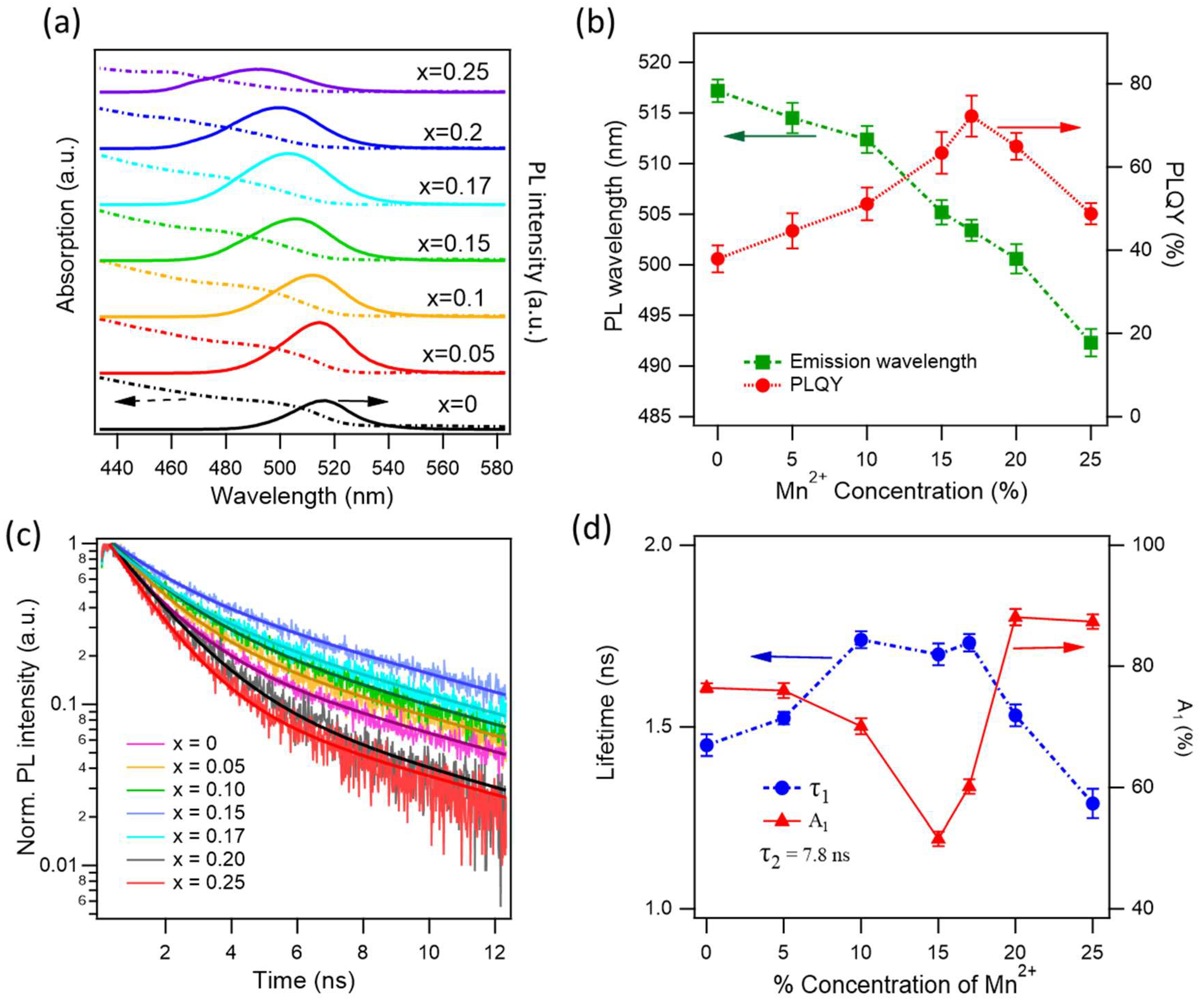
3.2. Optical Characterization of Mn-Doped MAPbBr3 NCs
3.3. Optical Stability of Mn-Doped MAPbBr3 NCs
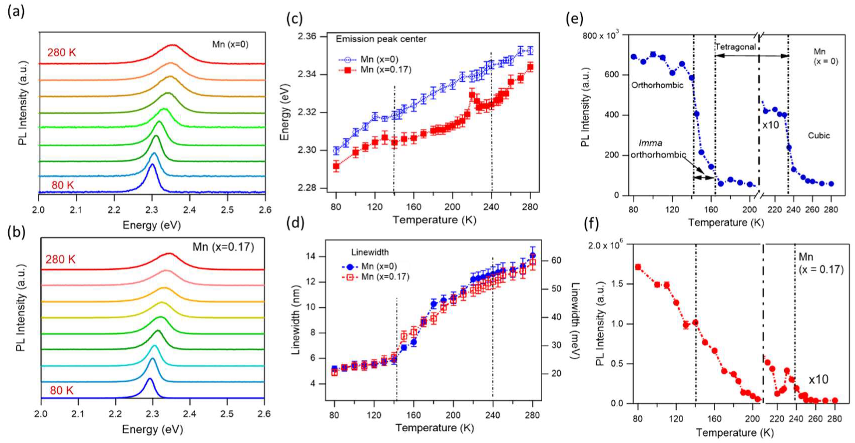
3.4. Optical Properties at Low Temperature and Crystal Phase Transitions
3.5. Superlattice Formation of xMn-MAPbBr3 NCs
4. Conclusions
Author Contributions
Data Availability Statement
Conflicts of Interest
References
- Hassan, Y.; Song, Y.; Pensack, R. D.; Abdelrahman, A. I.; Kobayashi, Y.; Winnik, M. A.; Scholes, G. D. Structure-Tuned Lead Halide Perovskite Nanocrystals. Advanced Materials 2016, 28, 566–573. [Google Scholar] [CrossRef] [PubMed]
- Malgras, V.; Tominaka, S.; Ryan, J. W.; Henzie, J.; Takei, T.; Ohara, K.; Yamauchi, Y. Observation of Quantum Confinement in Monodisperse Methylammonium Lead Halide Perovskite Nanocrystals Embedded in Mesoporous Silica. J Am Chem Soc 2016, 138, 13874–13881. [Google Scholar] [CrossRef]
- Droseros, N.; Longo, G.; Brauer, J. C.; Sessolo, M.; Bolink, H. J.; Banerji, N. Origin of the Enhanced Photoluminescence Quantum Yield in MAPbBr3 Perovskite with Reduced Crystal Size. ACS Energy Lett 2018, 3, 1458–1466. [Google Scholar] [CrossRef]
- Zhu, C.; Boehme, S. C.; Feld, L. G.; Moskalenko, A.; Dirin, D. N.; Mahrt, R. F.; Stöferle, T.; Bodnarchuk, M. I.; Efros, A. L.; Sercel, P. C.; Kovalenko, M. V.; Rainò, G. Single-Photon Superradiance in Individual Caesium Lead Halide Quantum Dots. Nature 2024, 626, 535–541. [Google Scholar] [CrossRef]
- Chiba, T.; Kido, J. Lead Halide Perovskite Quantum Dots for Light-Emitting Devices. J. Mater. Chem. C 2018, 6, 11868–11877. [Google Scholar] [CrossRef]
- Li, Y.-F.; Chou, S.-Y.; Huang, P.; Xiao, C.; Liu, X.; Xie, Y.; Zhao, F.; Huang, Y.; Feng, J.; Zhong, H.; Sun, H.-B.; Pei, Q. Stretchable Organometal-Halide-Perovskite Quantum-Dot Light-Emitting Diodes. Advanced Materials 2019, 31, 1807516. [Google Scholar] [CrossRef]
- Zou, T.; Liu, X.; Qiu, R.; Wang, Y.; Huang, S.; Liu, C.; Dai, Q.; Zhou, H. Enhanced UV-C Detection of Perovskite Photodetector Arrays via Inorganic CsPbBr3 Quantum Dot Down-Conversion Layer. Adv Opt Mater 2019, 7, 1801812. [Google Scholar] [CrossRef]
- Jia, D.; Chen, J.; Zhuang, R.; Hua, Y.; Zhang, X. Inhibiting Lattice Distortion of CsPbI 3 Perovskite Quantum Dots for Solar Cells with Efficiency over 16.6%. Energy Environ Sci 2022, 15, 4201–4212. [Google Scholar] [CrossRef]
- Jia, D.; Chen, J.; Qiu, J.; Ma, H.; Yu, M.; Liu, J.; Zhang, X. Tailoring Solvent-Mediated Ligand Exchange for CsPbI3 Perovskite Quantum Dot Solar Cells with Efficiency Exceeding 16.5%. Joule 2022, 6, 1632–1653. [Google Scholar] [CrossRef]
- Jia, D.; Chen, J.; Zhuang, R.; Hua, Y.; Zhang, X.; Jia, D.; Chen, J.; Zhang, X.; Zhuang, R.; Hua, Y. Antisolvent-Assisted In Situ Cation Exchange of Perovskite Quantum Dots for Efficient Solar Cells. Advanced Materials 2023, 35, 2212160. [Google Scholar] [CrossRef]
- Huang, C.-Y.; Zou, C.; Mao, C.; Corp, K. L.; Yao, Y.-C.; Lee, Y.-J.; Schlenker, C. W.; Jen, A. K. Y.; Lin, L. Y. CsPbBr3 Perovskite Quantum Dot Vertical Cavity Lasers with Low Threshold and High Stability. ACS Photonics 2017, 4, 2281–2289. [Google Scholar] [CrossRef]
- Chen, L.-J.; Dai, J.-H.; Lin, J.-D.; Mo, T.-S.; Lin, H.-P.; Yeh, H.-C.; Chuang, Y.-C.; Jiang, S.-A.; Lee, C.-R. Wavelength-Tunable and Highly Stable Perovskite-Quantum-Dot-Doped Lasers with Liquid Crystal Lasing Cavities. ACS Appl Mater Interfaces 2018, 10, 33307–33315. [Google Scholar] [CrossRef]
- Utzat, H.; Sun, W.; Kaplan, A. E. K.; Krieg, F.; Ginterseder, M.; Spokoyny, B.; Klein, N. D.; Shulenberger, K. E.; Perkinson, C. F.; Kovalenko, M. V.; Bawendi, M. G. Coherent Single-Photon Emission from Colloidal Lead Halide Perovskite Quantum Dots. Science (1979) 2019, 363. [Google Scholar] [CrossRef] [PubMed]
- Zhu, C.; Marczak, M.; Feld, L.; Boehme, S. C.; Bernasconi, C.; Moskalenko, A.; Cherniukh, I.; Dirin, D.; Bodnarchuk, M. I.; Kovalenko, M. V.; Raino, G. Room-Temperature, Highly Pure Single-Photon Sources from All-Inorganic Lead Halide Perovskite Quantum Dots. Nano Lett 2022, 22, 3751–3760. [Google Scholar] [CrossRef]
- Kirakosyan, A.; Yun, S.; Yoon, S.-G.; Choi, J. Surface Engineering for Improved Stability of CH3NH3PbBr3 Perovskite Nanocrystals. Nanoscale 2018, 10, 1885–1891. [Google Scholar] [CrossRef] [PubMed]
- Mosconi, E.; Umari, P.; De Angelis, F. Electronic and Optical Properties of MAPbX3 Perovskites (X = I, Br, Cl): A Unified DFT and GW Theoretical Analysis. Phys. Chem. Chem. Phys. 2016, 18, 27158–27164. [Google Scholar] [CrossRef]
- Dai, S.-W.; Hsu, B.-W.; Chen, C.-Y.; Lee, C.-A.; Liu, H.-Y.; Wang, H.-F.; Huang, Y.-C.; Wu, T.-L.; Manikandan, A.; Ho, R.-M.; Tsao, C.-S.; Cheng, C.-H.; Chueh, Y.-L.; Lin, H.-W. Perovskite Quantum Dots with Near Unity Solution and Neat-Film Photoluminescent Quantum Yield by Novel Spray Synthesis. Advanced Materials 2018, 30, 1705532. [Google Scholar] [CrossRef]
- Xu, K.; Vickers, E. T.; Rao, L.; Lindley, S. A.; Allen, A. C.; Luo, B.; Li, X.; Zhang, J. Z. Synergistic Surface Passivation of CH3NH3PbBr3 Perovskite Quantum Dots with Phosphonic Acid and (3-Aminopropyl)Triethoxysilane. Chemistry – A European Journal 2019, 25, 5014–5021. [Google Scholar] [CrossRef] [PubMed]
- Ahmed, G. H.; Yin, J.; Bakr, O. M.; Mohammed, O. F. Successes and Challenges of Core/Shell Lead Halide Perovskite Nanocrystals. ACS Energy Lett 2021, 6, 1340–1357. [Google Scholar] [CrossRef]
- Lu, Y.; Alam, F.; Shamsi, J.; Abdi-Jalebi, M. Doping Up the Light: A Review of A/B-Site Doping in Metal Halide Perovskite Nanocrystals for Next-Generation LEDs. Journal of Physical Chemistry C 2024, 128, 10084–10107. [Google Scholar] [CrossRef]
- Ricciarelli, D.; Meggiolaro, D.; Belanzoni, P.; Alothman, A. A.; Mosconi, E.; De Angelis, F. Energy vs Charge Transfer in Manganese-Doped Lead Halide Perovskites. ACS Energy Lett 2021, 6, 1869–1878. [Google Scholar] [CrossRef] [PubMed]
- Vargas, B.; Reyes-Castillo, D. T.; Coutino-Gonzalez, E.; Sánchez-Aké, C.; Ramos, C.; Falcony, C.; Solis-Ibarra, D. Enhanced Luminescence and Mechanistic Studies on Layered Double-Perovskite Phosphors: Cs4Cd1- XMnxBi2Cl12. Chemistry of Materials 2020, 32, 9307–9315. [Google Scholar] [CrossRef]
- Wei, Z.; Liao, W. Q.; Tang, Y. Y.; Li, P. F.; Shi, P. P.; Cai, H.; Xiong, R. G. Discovery of an Antiperovskite Ferroelectric in [(CH 3 ) 3 NH] 3 (MnBr 3 )(MnBr 4 ). J Am Chem Soc 2018, 140, 8110–8113. [Google Scholar] [CrossRef]
- Hu, Y.; Zhang, X.; Yang, C.; Li, J.; Wang, L. Fe2+ Doped in CsPbCl3 Perovskite Nanocrystals: Impact on the Luminescence and Magnetic Properties. RSC Adv 2019, 9, 33017–33022. [Google Scholar] [CrossRef] [PubMed]
- Ferro, S. M.; Wobben, M.; Ehrler, B. Rare-Earth Quantum Cutting in Metal Halide Perovskites-a Review. Materials Horizons 2021, 1072–1083. [Google Scholar] [CrossRef]
- Zeng, M.; Artizzu, F.; Liu, J.; Singh, S.; Locardi, F.; Mara, D.; Hens, Z.; Van Deun, R. Boosting the Er3+1.5 Μm Luminescence in CsPbCl3Perovskite Nanocrystals for Photonic Devices Operating at Telecommunication Wavelengths. ACS Appl Nano Mater 2020, 3, 4699–4707. [Google Scholar] [CrossRef]
- Wang, W.; Song, S.; Lv, P.; Li, J.; Cao, B.; Liu, Z. Thermally Stable Rare-Earth Eu3+-Doped CsPbCl3 Perovskite Quantum Dots with Controllable Blue Emission. J Lumin 2023, 260, 119894. [Google Scholar] [CrossRef]
- Milstein, T. J.; Kroupa, D. M.; Gamelin, D. R. Picosecond Quantum Cutting Generates Photoluminescence Quantum Yields Over 100% in Ytterbium-Doped CsPbCl3 Nanocrystals. Nano Lett 2018, 18, 3792–3799. [Google Scholar] [CrossRef]
- Kroupa, D. M.; Roh, J. Y.; Milstein, T. J.; Creutz, S. E.; Gamelin, D. R. Quantum-Cutting Ytterbium-Doped CsPb(Cl1–XBrx)3 Perovskite Thin Films with Photoluminescence Quantum Yields over 190%. ACS Energy Lett 2018, 3, 2390–2395. [Google Scholar] [CrossRef]
- Kim, B.-J.; Fabbri, E.; Abbott, D. F.; Cheng, X.; Clark, A. H.; Nachtegaal, M.; Borlaf, M.; Castelli, I. E.; Graule, T.; Schmidt, T. J. Functional Role of Fe-Doping in Co-Based Perovskite Oxide Catalysts for Oxygen Evolution Reaction. J Am Chem Soc 2019, 141, 5231–5240. [Google Scholar] [CrossRef]
- Pan, G.; Bai, X.; Yang, D.; Chen, X.; Jing, P.; Qu, S.; Zhang, L.; Zhou, D.; Zhu, J.; Xu, W.; Dong, B.; Song, H. Doping Lanthanide into Perovskite Nanocrystals: Highly Improved and Expanded Optical Properties. Nano Lett 2017, 17, 8005–8011. [Google Scholar] [CrossRef] [PubMed]
- Zheng, B.; Fan, J.; Chen, B.; Qin, X.; Wang, J.; Wang, F.; Deng, R.; Liu, X. Rare-Earth Doping in Nanostructured Inorganic Materials. Chem Rev 2022, 122, 5519–5603. [Google Scholar] [CrossRef]
- Xu, K.; Vickers, E. T.; Luo, B.; Allen, A. C.; Chen, E.; Roseman, G.; Wang, Q.; Kliger, D. S.; Millhauser, G. L.; Yang, W.; Li, X.; Zhang, J. Z. First Synthesis of Mn-Doped Cesium Lead Bromide Perovskite Magic Sized Clusters at Room Temperature. Journal of Physical Chemistry Letters 2020, 11, 1162–1169. [Google Scholar] [CrossRef]
- Lin, C. Q.; Liu, M. L.; Yang, Z.; Wang, H.; Pan, C. Y. Mn2+ Doped CsPbBr3 Perovskite Quantum Dots with High Quantum Yield and Stability for Flexible Array Displays. J Solid State Chem 2023, 327, 124295. [Google Scholar] [CrossRef]
- Parobek, D.; Roman, B. J.; Dong, Y.; Jin, H.; Lee, E.; Sheldon, M.; Son, D. H. Exciton-to-Dopant Energy Transfer in Mn-Doped Cesium Lead Halide Perovskite Nanocrystals. Nano Lett 2016, 16, 7376–7380. [Google Scholar] [CrossRef]
- Liu, Y.; Jiang, Y.; Xu, Z.; Li, L.; Zhang, D.; Zheng, W.; Liang, D.; Zheng, B.; Liu, H.; Sun, X.; Zhu, C.; Lin, L.; Zhu, X.; Duan, H.; Yuan, Q.; Wang, X.; Wang, S.; Li, D.; Pan, A. Magnetic Doping Induced Strong Circularly Polarized Light Emission and Detection in 2D Layered Halide Perovskite. Adv Opt Mater 2022, 10. [Google Scholar] [CrossRef]
- Guria, A. K.; Dutta, S. K.; Adhikari, S. Das; Pradhan, N. Doping Mn2+ in Lead Halide Perovskite Nanocrystals: Successes and Challenges. ACS Energy Lett 2017, 2, 1014–1021. [Google Scholar] [CrossRef]
- Gao, D.; Qiao, B.; Xu, Z.; Song, D.; Song, P.; Liang, Z.; Shen, Z.; Cao, J.; Zhang, J.; Zhao, S. Postsynthetic, Reversible Cation Exchange between Pb2+ and Mn2+ in Cesium Lead Chloride Perovskite Nanocrystals. The Journal of Physical Chemistry C 2017, 121, 20387–20395. [Google Scholar] [CrossRef]
- Travis, W.; Glover, E. N. K.; Bronstein, H.; Scanlon, D. O.; Palgrave, R. G. On the Application of the Tolerance Factor to Inorganic and Hybrid Halide Perovskites: A Revised System. Chem. Sci. 2016, 7, 4548–4556. [Google Scholar] [CrossRef]
- Manser, J. S.; Christians, J. A.; Kamat, P. V. Intriguing Optoelectronic Properties of Metal Halide Perovskites. Chem Rev 2016, 116, 12956–13008. [Google Scholar] [CrossRef]
- Liu, W.; Lin, Q.; Li, H.; Wu, K.; Robel, I.; Pietryga, J. M.; Klimov, V. I. Mn2+-Doped Lead Halide Perovskite Nanocrystals with Dual-Color Emission Controlled by Halide Content. J Am Chem Soc 2016, 138, 14954–14961. [Google Scholar] [CrossRef] [PubMed]
- Chen, D.; Zhou, S.; Fang, G.; Chen, X.; Zhong, J. Fast Room-Temperature Cation Exchange Synthesis of Mn-Doped CsPbCl3 Nanocrystals Driven by Dynamic Halogen Exchange. ACS Appl Mater Interfaces 2018, 10, 39872–39878. [Google Scholar] [CrossRef]
- Parobek, D.; Roman, B. J.; Dong, Y.; Jin, H.; Lee, E.; Sheldon, M.; Son, D. H. Exciton-to-Dopant Energy Transfer in Mn-Doped Cesium Lead Halide Perovskite Nanocrystals. Nano Lett 2016, 16, 7376–7380. [Google Scholar] [CrossRef]
- Zhou, S.; Zhu, Y.; Zhong, J.; Tian, F.; Huang, H.; Chen, J.; Chen, D. Chlorine-Additive-Promoted Incorporation of Mn2+ Dopants into CsPbCl3 Perovskite Nanocrystals. Nanoscale 2019, 11, 12465–12470. [Google Scholar] [CrossRef]
- Huang, G.; Wang, C.; Xu, S.; Zong, S.; Lu, J.; Wang, Z.; Lu, C.; Cui, Y. Postsynthetic Doping of MnCl2 Molecules into Preformed CsPbBr3 Perovskite Nanocrystals via a Halide Exchange-Driven Cation Exchange. Advanced Materials 2017, 29, 1700095. [Google Scholar] [CrossRef]
- Boehme, S. C.; Bodnarchuk, M. I.; Burian, M.; Bertolotti, F.; Cherniukh, I.; Bernasconi, C.; Zhu, C.; Erni, R.; Amenitsch, H.; Naumenko, D.; Andrusiv, H.; Semkiv, N.; John, R. A.; Baldwin, A.; Galkowski, K.; Masciocchi, N.; Stranks, S. D.; Rainò, G.; Guagliardi, A.; Kovalenko, M. V. Strongly Confined CsPbBr3 Quantum Dots as Quantum Emitters and Building Blocks for Rhombic Superlattices. ACS Nano 2023, 17, 2089–2100. [Google Scholar] [CrossRef] [PubMed]
- Bartel, C. J.; Sutton, C.; Goldsmith, B. R.; Ouyang, R.; Musgrave, C. B.; Ghiringhelli, L. M.; Scheffler, M. New Tolerance Factor to Predict the Stability of Perovskite Oxides and Halides. Sci Adv 2019, 5. [Google Scholar] [CrossRef] [PubMed]
- Shi, D.; Adinolfi, V.; Comin, R.; Yuan, M.; Alarousu, E.; Buin, A.; Chen, Y.; Hoogland, S.; Rothenberger, A.; Katsiev, K.; Losovyj, Y.; Zhang, X.; Dowben, P. A.; Mohammed, O. F.; Sargent, E. H.; Bakr, O. M. Low Trap-State Density and Long Carrier Diffusion in Organolead Trihalide Perovskite Single Crystals. Science (1979) 2015, 347, 519–522. [Google Scholar] [CrossRef]
- Saidaminov, M. I.; Abdelhady, A. L.; Murali, B.; Alarousu, E.; Burlakov, V. M.; Peng, W.; Dursun, I.; Wang, L.; He, Y.; MacUlan, G.; Goriely, A.; Wu, T.; Mohammed, O. F.; Bakr, O. M. High-Quality Bulk Hybrid Perovskite Single Crystals within Minutes by Inverse Temperature Crystallization. Nature Communications 2015 6:1 2015, 6, 1–6. [Google Scholar] [CrossRef]
- Biswas, A.; Bakthavatsalam, R.; Kundu, J. Efficient Exciton to Dopant Energy Transfer in Mn2+-Doped (C4H9NH3)2PbBr4 Two-Dimensional (2D) Layered Perovskites. Chemistry of Materials 2017, 29, 7816–7825. [Google Scholar] [CrossRef]
- Zhou, G.; Jiang, X.; Molokeev, M.; Lin, Z.; Zhao, J.; Wang, J.; Xia, Z. Optically Modulated Ultra-Broad-Band Warm White Emission in Mn2+-Doped (C6H18N2O2)PbBr4 Hybrid Metal Halide Phosphor. Chemistry of Materials 2019, 31, 5788–5795. [Google Scholar] [CrossRef]
- Dutta, A.; Behera, R. K.; Deb, S.; Baitalik, S.; Pradhan, N. Doping Mn(II) in All-Inorganic Ruddlesden–Popper Phase of Tetragonal Cs2PbCl2I2 Perovskite Nanoplatelets. J Phys Chem Lett 2019, 10, 1954–1959. [Google Scholar] [CrossRef]
- Kirberger, M.; Yang, J. J. Structural Differences Between Pb2+- and Ca2+-Binding Sites in Proteins: Implications with Respect to Toxicity. J Inorg Biochem 2008, 102, 1901. [Google Scholar] [CrossRef]
- Dutta, S.; Yang, L.; Liu, S. Y.; Liu, C. M.; Liaw, L. J.; Som, S.; Mohapatra, A.; Sankar, R.; Lin, W. C.; Chao, Y. C. Impact of Co2+ on the Magneto-Optical Response of MAPbBr3: An Inspective Study of Doping and Quantum Confinement Effect. Materials Today Physics 2022, 27, 100843. [Google Scholar] [CrossRef]
- Moj, K.; Owsiński, R.; Robak, G.; Gupta, M. K.; Scholz, S.; Mehta, H. Measurement of Precision and Quality Characteristics of Lattice Structures in Metal-Based Additive Manufacturing Using Computer Tomography Analysis. Measurement 2024, 231, 114582. [Google Scholar] [CrossRef]
- Jiang, M. C.; Pan, C. Y. Research on the Stability of Luminescence of CsPbBr3 and Mn:CsPbBr3 PQDs in Polar Solution. RSC Adv 2022, 12, 15420–15426. [Google Scholar] [CrossRef] [PubMed]
- Lin, C. C.; Xu, K. Y.; Wang, D.; Meijerink, A. Luminescent Manganese-Doped CsPbCl3 Perovskite Quantum Dots. Scientific Reports 2017, 7, 1–10. [Google Scholar] [CrossRef]
- Liu, Y.; Zhao, Y.; Zhu, Y.; Zhan, Y.; Matras-Postolek, K.; Yang, P. Ion Exchange Derived CsPbBr3:Mn Nanocrystals with Stable and Bright Luminescence towards White Light-Emitting Diodes. Mater Res Bull 2022, 153, 111915. [Google Scholar] [CrossRef]
- Chen, B.; Jiang, C.; Wang, Y.; Du, L. Investigation for Structural and Electronic Properties of Mn-Doped Perovskite at Different Doping Concentrations. Comput Mater Sci 2025, 252, 113782. [Google Scholar] [CrossRef]
- Du, L.; An, J.; Katayama, T.; Duan, M.; Shi, X. P.; Wang, Y.; Furube, A. Photogenerated Carrier Dynamics of Mn2+ Doped CsPbBr3 Assembled with TiO2 Systems: Effect of Mn Doping Content. Journal of Chemical Physics 2024, 160, 164713. [Google Scholar] [CrossRef]
- Trinh, C. T.; Minh, D. N.; Ahn, K. J.; Kang, Y.; Lee, K. G. Verification of Type-A and Type-B-HC Blinking Mechanisms of Organic–Inorganic Formamidinium Lead Halide Perovskite Quantum Dots by FLID Measurements. Scientific Reports 2020 10:1 2020, 10, 1–8. [Google Scholar] [CrossRef]
- Hu, F.; Yin, C.; Zhang, H.; Sun, C.; Yu, W. W.; Zhang, C.; Wang, X.; Zhang, Y.; Xiao, M. Slow Auger Recombination of Charged Excitons in Nonblinking Perovskite Nanocrystals without Spectral Diffusion. Nano Lett 2016, 16, 6425–6430. [Google Scholar] [CrossRef] [PubMed]
- Lee, S. M.; Moon, C. J.; Lim, H.; Lee, Y.; Choi, M. Y.; Bang, J. Temperature-Dependent Photoluminescence of Cesium Lead Halide Perovskite Quantum Dots: Splitting of the Photoluminescence Peaks of CsPbBr3 and CsPb(Br/I)3 Quantum Dots at Low Temperature. Journal of Physical Chemistry C 2017, 121, 26054–26062. [Google Scholar] [CrossRef]
- Woo, H. C.; Choi, J. W.; Shin, J.; Chin, S. H.; Ann, M. H.; Lee, C. L. Temperature-Dependent Photoluminescence of CH3NH3PbBr3 Perovskite Quantum Dots and Bulk Counterparts. Journal of Physical Chemistry Letters 2018, 9, 4066–4074. [Google Scholar] [CrossRef] [PubMed]
- Varshni, Y. P. Temperature Dependence of the Energy Gap in Semiconductors. Physica 1967, 34, 149–154. [Google Scholar] [CrossRef]
- Meloni, S.; Palermo, G.; Ashari-Astani, N.; Grätzel, M.; Grätzel, G.; Rothlisberger, U. Valence and Conduction Band Tuning in Halide Perovskites for Solar Cell Applications. Journal of Materials Chemistry A 2016. [Google Scholar] [CrossRef]
- Manser, J. S.; Christians, J. A.; Kamat, P. V. Intriguing Optoelectronic Properties of Metal Halide Perovskites. 2016. Chem. Rev. 2016, 116, 12956–13008. [Google Scholar] [CrossRef]
- Wolf, C.; Kim, J. S.; Lee, T. W. Structural and Thermal Disorder of Solution-Processed CH3NH3PbBr3 Hybrid Perovskite Thin Films. ACS Appl Mater Interfaces 2017, 9, 10344–10348. [Google Scholar] [CrossRef]
- Yang, B.; Ming, W.; Du, M.-H.; Keum, J. K.; Puretzky, A. A.; Rouleau, C. M.; Huang, J.; Geohegan, D. B.; Wang, X.; Xiao, K.; Perovskites Yang, O. B.; Yang, B.; Keum, J. K.; Puretzky, A. A.; Rouleau, C. M.; Geohegan, D. B.; Xiao, K.; Ming, W.; Du, M.; Wang, X.; Huang, J. Real-Time Observation of Order-Disorder Transformation of Organic Cations Induced Phase Transition and Anomalous Photoluminescence in Hybrid Perovskites. Advanced Materials 2018, 30, 1705801. [Google Scholar] [CrossRef]
- López, C. A.; Martínez-Huerta, M. V.; Alvarez-Galván, M. C.; Kayser, P.; Gant, P.; Castellanos-Gomez, A.; Fernández-Díaz, M. T.; Fauth, F.; Alonso, J. A. Elucidating the Methylammonium (MA) Conformation in MAPbBr3 Perovskite with Application in Solar Cells. Inorg Chem 2017, 56, 14214–14219. [Google Scholar] [CrossRef]
- Abia, C.; López, C. A.; Cañadillas-Delgado, L.; Fernández-Diaz, M. T.; Alonso, J. A. Crystal Structure Thermal Evolution and Novel Orthorhombic Phase of Methylammonium Lead Bromide, CH3NH3PbBr3. Sci Rep 2022, 12, 1–14. [Google Scholar] [CrossRef] [PubMed]
- Rainò, G.; Becker, M. A.; Bodnarchuk, M. I.; Mahrt, R. F.; Kovalenko, M. V.; Stöferle, T. Superfluorescence from Lead Halide Perovskite Quantum Dot Superlattices. Nature 2018 563:7733 2018, 563, 671–675. [Google Scholar] [CrossRef] [PubMed]





Disclaimer/Publisher’s Note: The statements, opinions and data contained in all publications are solely those of the individual author(s) and contributor(s) and not of MDPI and/or the editor(s). MDPI and/or the editor(s) disclaim responsibility for any injury to people or property resulting from any ideas, methods, instructions or products referred to in the content. |
© 2025 by the authors. Licensee MDPI, Basel, Switzerland. This article is an open access article distributed under the terms and conditions of the Creative Commons Attribution (CC BY) license (http://creativecommons.org/licenses/by/4.0/).