Submitted:
01 May 2025
Posted:
06 May 2025
You are already at the latest version
Abstract
Keywords:
1. Introduction
2. Materials and Methods
2.1. Study Population
2.2. Assessment of MetS Severity Z Score (MetS-Z Score)
2.3. Physical and Laboratory Assessments
2.4. The Serum Endocan and Soluble Cell Adhesion Molecules (sCAMs) ICAM-1, VCAM-1 Concentrations Measurement
2.5. Statistical Analysis
3. Results
3.1. Demographic Information of the Research Cohorts
| Parametreler | Control n:50 |
MetS n:120 |
P |
|---|---|---|---|
| Gender (F/M) | 22/28 | 53/67 | 0.201 |
| Age (years) | 42.0±6.76 | 45.6±8.42 | 0.586 |
| BMI (kg/m2) | 23.8±2.68 | 29.3±4.75 | 0.001 |
| WHR | 0.782±0.061 | 0.835±0.086 | 0.022 |
| WHtR | 0.415±0.037 | 0.528±0.057 | 0.001 |
| Glucose (mg/dL) | 89±2.15 | 112±3.28 | 0.002 |
| Insulin (μIU/mL) | 8.21 [6.58-9.81] | 10.5 [8.96-13.7] | 0.006* |
| HOMA-IR | 1.52 [0.918-2.53] | 2.38 [1.14-3.81] | 0.019* |
| TG (mg/dL) | 95.0 [71-128] | 188 [167-221] | 0.0001* |
| TC (mg/dL) | 172 [159-188] | 241 [220-269] | 0.0001* |
| HDL-C (mg/dL) | 59 [48-65] | 48 [37-56] ᵃ | 0.025* |
| LDL-C (mg/dL) | 50.0 [43.0-60.0] | 53 [47-59] | 0.0001* |
| SBP (mmHg) | 110 [105-120] | 120 [110-130] ᵃ | 0.028* |
| DBP (mmHg) | 70 [70-80] | 80 [70-85] | 0.258* |
| MetS-Z Score | -3.41 [-4.41-(-2.88)] | 2.16 [1.88-3.64] | 0.0001* |
| Main Groups | Sub Groups | ||||||
|---|---|---|---|---|---|---|---|
| MetS-Z Scores Tertiles | |||||||
| Control (n:50) |
MetS (n:120) |
P | 1 (n:40) 1.18 [0.952-1.26] |
2 (n:40) 1.75 [1.40-2.01] |
3 (n:40) 2.21 [2.09-3.50] |
P | |
| Endothelial factors | |||||||
| Endocan, ng/L | 68.8 (58.0-75.8) | 150 (86.4-176) | 0.0001 | 98.2 (83.0-105) | 125 (112-132)a | 168 (147-198)a, b | 0.0001* |
| sICAM-1, ng/mL | 157 (128-169) | 327 (211-810) | 0.003 | 188 (179-253) | 262 (307-510)a,b | 586 (447-745)a, b | 0.0001* |
| sVCAM-1, ng/mL | 7.24 (5.11-9.45) | 17.1 (12.1-25.9) | 0.001 | 10.0 (9.11-12.6) | 18.1 (16.1-20.0)a,b | 29.9 (22.3-41.5)a,b | 0.0001* |
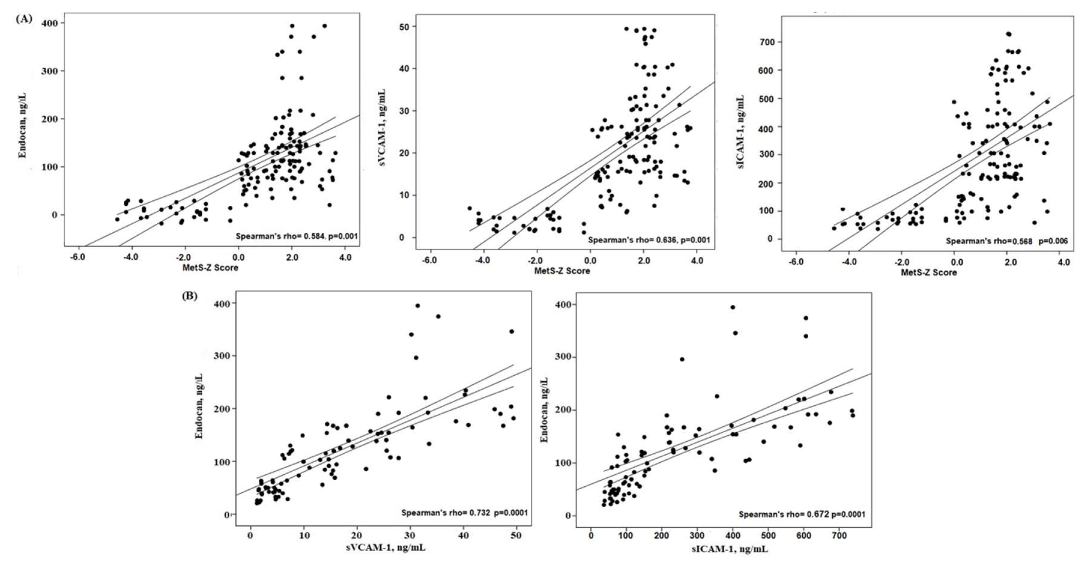
3.2. Correlation Between Ox-LDL, SCORE2 and Other Parameters


4. Discussion
5. Conclusions
Author Contributions
Funding
Institutional Review Board Statement
Informed Consent Statement
Data Availability Statement
Acknowledgments
Conflicts of Interest
Abbreviations
| BMI | Body mass index |
| CVD | Cardiovascular disease |
| DBP | Diastolic blood pressure |
| Endocan | Endothelial-specific molecule 1 |
| FBG | fasting blood glucose |
| HDL-C | high-density lipoprotein-cholesterol |
| HOMA-IR | homeostatic model assessment for insulin resistance |
| LDL-C | low-density lipoprotein-cholesterol |
| MetS | Metabolic syndrome |
| MetS-Z | MetS severity z score |
| SBP | Systolic blood pressure |
| TC | total cholesterol |
| TG | triglyceride |
| WHR | waist to hip ratio |
| WHtR | waist to-height ratio |
References
- Shin, D.; Kongpakpaisarn, K.; Bohra, C. Trends in the prevalence of metabolic syndrome and its components in the United States 2007–2014. Int. J. Cardiol. 2018; 259, 216–219. [CrossRef]
- Beltrán-Sánchez, H.; Harhay, M. O.; Harhay, M. M.; McElligott, S. Prevalence and trends of metabolic syndrome in the adult US population, 1999–2010. J. Am. Coll. Cardiol. 2013; 62(8), 697–703. [CrossRef]
- Lee, A. M.; Gurka, M. J.; DeBoer, M. D. A metabolic syndrome severity score to estimate risk in adolescents and adults: current evidence and future potential. Expert Rev Cardiovasc Ther. 2016; 14(4), 411-413. [CrossRef]
- Das, D.; Shruthi, N. R.; Banerjee, A.; Jothimani, G.; Duttaroy, A. K.; Pathak, S.. Endothelial dysfunction, platelet hyperactivity, hypertension, and the metabolic syndrome: molecular insights and combating strategies. Front. in Nutr. 2023; 10, 1221438. [CrossRef]
- Kaur, R.; Kaur, M.; Singh, J. Endothelial dysfunction and platelet hyperactivity in type 2 diabetes mellitus: molecular insights and therapeutic strategies. Cardiovasc Diabetol. 2018; 17, 121. [CrossRef]
- Du, Z.; Qin, Y. Dyslipidemia and Cardiovascular Disease: Current Knowledge, Existing Challenges, and New Opportunities for Management Strategies. J Clin Med. 2023 ;12, 363. [CrossRef]
- Holewijn, S.; den Heijer, M.; Swinkels, D.W.; Stalenhoef, A.F.; de Graaf, J. The metabolic syndrome and its traits as risk factors for subclinical atherosclerosis. J Clin Endocrinol Metab. 2009, 94, 2893-9. [CrossRef]
- Krüger-Genge, A.; Blocki, A.; Franke, R.-P.; Jung, F. Vascular Endothelial Cell Biology: An Update. Int. J. Mol. Sci. 2019, 20, 4411. [CrossRef]
- Balta, S.; Mikhailidis, D.P.; Demirkol, S.; Ozturk, C.; Celik, T.; Iyisoy, A. Endocan: A novel inflammatory indicator in cardiovascular disease? Atherosclerosis. 2015, 243, 339-43. [CrossRef]
- Kali, A.; Shetty, K.S. Endocan: a novel circulating proteoglycan. Indian J Pharmacol. 2014, 46, 579-83. [CrossRef]
- Beltrán-Sánchez, H.; Harhay, M.O.; Harhay, M.M.; McElligott S. Prevalence and trends of metabolic syndrome in the adult U.S. population, 1999-2010. J Am Coll Cardiol. 2013, 62(8):697-703. [CrossRef]
- Gurka, M. J.; Lilly, C. L.; Oliver, M. N.; DeBoer, M. D. An examination of sex and racial/ethnic differences in the metabolic syndrome among adults: a confirmatory factor analysis and a resulting continuous severity score. Metabolism. 2014 63(2), 218-225. [CrossRef]
- Gurka, M. J.; DeBoer, M. D.; Filipp, S. L.; Khan, J. Z.; Rapczak, T. J.; Braun, N. D.; Hanson, K. S.; Barnes, C. P. MetS Calc: Metabolic Syndrome Severity Calculator. 2019. [CrossRef]
- Leitzmann, M.F.; Moore, S.C; Koster A.; Harris, T.B.; Park Y.; Hollenbeck, A.; Schatzkin, A. Waist circumference as compared with body-mass index in predicting mortality from specific causes. PLoS One. 2011; 6:e18582. [CrossRef]
- Ma, W.Y.; Yang, C.Y; Shih, S.R.; Hsieh, H.J.; Hung, C.S.; Chiu, F.C.; Lin, M.S; Liu, P.H.; Hua, C.H.; Hsein, Y.C.; Chuang, L.M.; Lin, J.W.; Wei, J.N.; Li, H.Y. Measurement of Waist Circumference: midabdominal or iliac crest? Diabetes Care. 2013, 36,1660-6. [CrossRef]
- Klisic, A.; Patoulias, D. The Role of Endocan in Cardiometabolic Disorders. Metabolites. 2023, 8;13, 640. [CrossRef]
- Ozer Yaman, S.; Balaban Yucesan, F.; Orem, C.; Vanizor Kural, B.; Orem, A. Elevated Circulating Endocan Levels Are Associated with Increased Levels of Endothelial and Inflammation Factors in Postprandial Lipemia. J. Clin. Med. 2023, 12, 1267. [CrossRef]
- Sági, B.; Vas, T.; Gál, C.; Horváth-Szalai, Z.; Kőszegi, T.; Nagy, J.; Csiky, B.; Kovács, T.J. The Relationship between Vascular Biomarkers (Serum Endocan and Endothelin-1), NT-proBNP, and Renal Function in Chronic Kidney Disease, IgA Nephropathy: A Cross-Sectional Study. Int. J. Mol. Sci. 2024, 25, 10552. [CrossRef]
- Lin, L.Y.; Chang, T.T.; Leu, H.B.; Huang, C.C; Wu, T.C.; Chou, R.H.; Huang, P.H.; Yin, W.H.; Tseng, W.K.; Wu, Y.W.; Lin, T.H.; Yeh, H.I.; Chang, K.C.; Wang, J.H.; Wu, C.C.; Chen, J.W.. Novel prognostic impact and cell specific role of endocan in patients with coronary artery disease. Clin Res Cardiol, 2024, . [CrossRef]
- Chen, J.; Jiang, L.; Yu, X.H.; Hu, M.; Zhang Y.K.; Liu, X.; He, P.; Ouyang, X. Endocan: A Key Player of Cardiovascular Disease. Front Cardiovasc Med. 2022, 5;8:798699. [CrossRef]
- Kose, M.; Emet, S.;Akpinar, T.S.; Kocaaga, M.; Cakmak, R.; Akarsu, M.; Yuruyen, G.; Arman, Y.; Tukek, T. Serum Endocan Level and the Severity of Coronary Artery Disease: A Pilot Study. Angiology. 2015, 66(8):727-31. [CrossRef]
- Wang, X.S.; Yang, W.; Luo, T.; Wang, J.M.; Jing, Y.Y. Serum endocan levels are correlated with the presence and severity of coronary artery disease in patients with hypertension. Genet Test Mol Biomarkers. 2015, 19(3):124-7. [CrossRef]
- Aparci, M.; Isilak, Z.; Uz, O.;, Yalcin, M.; Kucuk, U. Endocan and Endothelial Dysfunction. Angiology. 2015;66(5):488-489. [CrossRef]
- Chee, Y.J.; Dalan, R.; Cheung, C. The Interplay Between Immunity, Inflammation and Endothelial Dysfunction. Int. J. Mol. Sci. 2025, 26, 1708. [CrossRef]
- Milošević, N.; Rütter, M.; David, A. Endothelial cell adhesion molecules-(un) Attainable targets for nanomedicines. Frontiers in medical technology, 2022, 4, 846065. [CrossRef]
- Gaudet, A.; Portier, L.; Mathieu, D.; Hureau, M.; Tsicopoulos, A.; Lassalle, P.; De Freitas, C. N. Cleaved endocan acts as a biologic competitor of endocan in the control of ICAM-1-dependent leukocyte diapedesis. J Leukoc Biol. 2020 May;107(5):833-841. [CrossRef]
- Wang, X.; He B. Endothelial dysfunction: molecular mechanisms and clinical implications. Med. Comm. 2024, 5, e651. [CrossRef]
- Medina-Leyte, D.J.; Zepeda-García, O.; Domínguez-Pérez, M.; González-Garrido, A.; Villarreal-Molina, T.; Jacobo-Albavera, L. Endothelial Dysfunction, Inflammation and Coronary Artery Disease: Potential Biomarkers and Promising Therapeutical Approaches. Int. J. Mol. Sci. 2021, 22, 3850. [CrossRef]
- Medina-Leyte, D.J.; Zepeda-García, O.; Domínguez-Pérez, M.; González-Garrido, A.; Villarreal-Molina, T.; Jacobo-Albavera, L. Endothelial Dysfunction, Inflammation and Coronary Artery Disease: Potential Biomarkers and Promising Therapeutical Approaches. Int. J. Mol. Sci. 2021, 22, 3850. [CrossRef]
- Pawlak, K.; Mysliwiec, M.; Pawlak, D. Endocan--the new endothelial activation marker independently associated with soluble endothelial adhesion molecules in uraemic patients with cardiovascular disease. Clin Biochem. 2015, 48, 425-30. [CrossRef]
- Mercantepe F, Baydur Sahin S, Cumhur Cure M, Karadag Z. Relationship Between Serum Endocan Levels and Other Predictors of Endothelial Dysfunction in Obese Women. Angiology. 2023, 74, 948-957. [CrossRef]
Disclaimer/Publisher’s Note: The statements, opinions and data contained in all publications are solely those of the individual author(s) and contributor(s) and not of MDPI and/or the editor(s). MDPI and/or the editor(s) disclaim responsibility for any injury to people or property resulting from any ideas, methods, instructions or products referred to in the content. |
© 2025 by the authors. Licensee MDPI, Basel, Switzerland. This article is an open access article distributed under the terms and conditions of the Creative Commons Attribution (CC BY) license (http://creativecommons.org/licenses/by/4.0/).