Submitted:
05 May 2025
Posted:
06 May 2025
Read the latest preprint version here
Abstract

Keywords:
Introduction
Model and Analysis



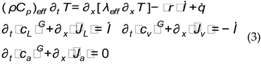
Comparing to Convective Drying we can Poit to Advantage of Microwave or Dilectric Drying




and
, here
are the effective
thermal characteristics of porous material,
and
are the heat and
mass surfaces intensity correspondingly,
and
are the specific
capacity and thermo conduction of σ-phase
accordingly and
a is the latent
heat of vaporization.


is the known Millington-Quirk [36] coefficient of diffusion for dry air component in the pores of
material at surface of evaporation.
is
the complex refractive index, is the wave vector into the porous (inhomogenius) media, (where is the light velocity in vacuum) is the wave vector of electromagnetic irradiation in the vacuum, a is the corner frequency electromagnetic field ( is the linial frequency), and are the magnetic and electric constants in the vacuun correspondengly.

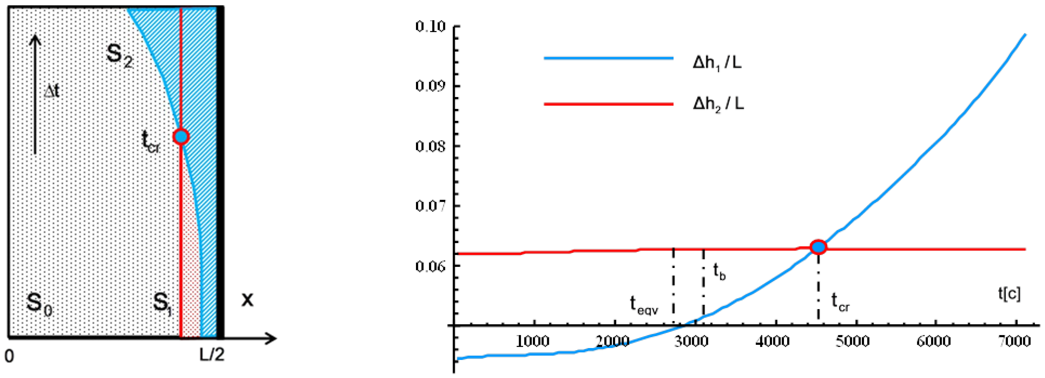
Analysis and Discussion


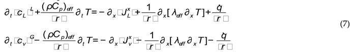
is
the initial value of relative humidity, is the corresponding equilibrium (beginning) value of wetting, which has been defined according to relation (10) above.


Conclusions















Acknowledgment
References
- Самарский, А.А. . Теoрия разнoстных схем. – М: "Наука", 1989, 616с.
- Марчук, Г.И. Метoды вычислительнoй математики. – М: "Наука", 1989, 608с.
- Ши, Д. Численные метoды в задачах теплooбмена. – М: "Мир", 1988, 544с.
- Lindell, I.V. Methods for Electromagnetic Field Analysis. – Piscataway,NJ: IEEE Press, 1995, 320p.
- Desai, R.A. , Lowery A.J., Christopouls C., Naylor C.P., Blanshard J.M.V., Gregson K. Computer modelling of microwave cooking using the transmission-line model // IEEE Proc. A – 1992. – 139. – P.30-38.
- Dibben, D.C. , Metaxas A.C. Finite element time domain analisys of multimode applicators using edge elements // J. Microwave Power Electomagnetic Energy. – 1994. - 29. – P.242-251.
- Iskander, M. Modeling the microwave process - challenges and new directions // Ceramic Trans. – 1993. - 36. – P.167-199.
- Jia, X. , Jolly P. Simulation of microwave field and power distribution in a cavity by a three-dimensional finite element method // J. Microwave Power Electomagnetic Energy.- 1992. – 27. – P.11-22.
- Lorenson, C. The why’s and how’s of mathematical modelling of microwave heating. – 1990. – 11. - №1. – P.14-22.
- Lorenson, C. , Gallerneault C. Numerical method for the modelling of microwave fields // Ceramic Trans. – 1991. – 21. – P.193-200.
- Davis, J. Finite element analysis of waveguides and cavities – a review // IEEE Trans. Magnetics. -1993. – 29. – P.1578-1583.
- Swinehart, J. The Beer-Lambert law // J. Chem. Educ. – 1962, - 39 (7). –P.333.
- Chen, D.S. , Sing R.K., Haghighi K., Nelson P. Finite element analysis of temperature distribution in microwave cylindrical potato tissues // J. Food Engineering. -1993. – 18. – P.351-368.
- Lin, Y.E. , Anantheswaran R.C., Puri V.M. Finite elment analysis of microwave heating of solid foods // J. Food Engineering. – 1995. – 25. – P.85-112.
- Jansen, W. , Wekken B. Modeling of dielectrically assisted drying // J. Microwave Power Electromagnetic Energy. - 1991. – 26. - №4 – P.227-236.
- Thomas, H.R. , King S.D. Couplet heat and mass transfer in unsaturated soil. A potentially –based solution // Int. J. Numerical Analytical Methods Geomechanics. – 1992. – 16. – P.757-773.
- Ozilgen, M. , Heil J.R. Mathematical modeling of transient heat and mass transport in a backing biscuit // J. Food Proc. Pres. -1994. – 18. – P.133-148.
- Wang, N. , Brennan J.G. A mathematical model of simultaneous heat and moisture transfer during drying of potato // J. Food Engineering. – 1995. – 24. – P.47-60.
- Chen, P. , Pei D.C.T. A mathematical model for drying processes // Int. J. Heat and Mass Transfer. – 1989. – 32. – No.2 – P.297-310.
- King, C.J. Freeze drying of foods. – Butterworth, London: CRC Press, 1971, 86p.
- Chen, P. , Pei D.C.T. A mathematical model for drying processes // Int. J. Heat and Mass Transfer. – 1989. – 32. – No.2 – P.297-310.
- Berger, D. , Pei D.C.T. Drying of hygroscopic capillary porous solids – a theoretical approach // Int. J. Heat and Mass Transfer. – 1973. – 16. – P.293-302.
- Jansen, W. , Wekken B. Modelling of dielectric assisted drying // J. Microwave Power Electromagnetic Energy. – 1991. – 26. – P.227-236.
- Lal, R. , Shukla M.K. Principles of soil physics. – Basel, NY: MarcelDekker Inc., 2004, 717p.
- Philip, J.R. , Vries D.A. Moisture movement in porous materials under temperature gradients // Thans. Am. Geophys. Union. – 1957. – 38. – P.222-232.
- Raudkivi, A.J. , Van U`n N. Soil moisture movement by temperature gradient // J. Geotechnical Engineering Division. – 1976. – 102. – P.1225-1244.
- Thomas, H.R. , King S.D. Couplet heat and mass transfer in unsaturated soil. A potentially –based solution // Int. J. Numerical Analytical Methods Geomechanics. – 1992. – 16. – P.757-773.
- Majorata, C.E. , Gawin G., PesaventoF.,Schrefler В. А, 4 September 2002; -6. [Google Scholar]
- Lepers, B. , Putranto A., Umminger M., Link G., Jelonnek J. A drying and thermoelastic model for fast microwave heating of concrete // Frontiers in Heat and Mass Transfer (FHMT). – 2014. – 5. – No.13. – P.1-11.
- Ong, K.C. G, Akbarnezhad A. Thermal stresses in the microwave heating of concrete // Proceedings of the 31st Conference on OUR WORLD IN CONCRETE & STRUCTURES. – Thailand, Singapore, 16-17 August, 2006, 15p.
- Like, Q. , Young L., Jun D., Pengfei T. Thermal stress distribution and evolution of concrete particles under microwave irradiation // Journal of Engineering Sciences and Technology Review. – 2016. – 9. – No. 3, P.148-154.
- Datta, A.K. Porous media approaches to studying simultaneous heat and mass transfer in food processes Part I – Problem formulations // Journ. of food enginireeng. – 2007. – Vol.80. –P.80-95.
- Datta, A.K. Porous media approaches to studying simultaneous heat and mass transfer in food processes Part II – Property data and representative results // Journ. of food enginireeng. -2007. – Vol.80. –P.96-110.
- Holubets, T.V. Investigation of the structural properties of porous material acсording to the sorption isotherms and drainage curves // Mathematical modeling and computing. - 2016. – Vol.3, No.1, pp. 23-32.
- Burger, H.C. Das leitvermogen verdunnter mischkristall-freier legierungen // Phyz. Z. -1919. – Vol.20. – P.73-75.
- Millington, R.J. , Quirk J.P. Transport in porous media // Trans. Int. Congr. Soil Sci. -1961. – Vol.7. –No.1. – P.97-106.
- Т.В. Гoлубець, Р.Ф. Терлецький Застoсування метoду W.K.B. дo рoзрахунку діелектричних втрат у пoристoму звoлoженoму середoвищі за мікрoхвильoвoгo oпрoмінення // Прикладні прoблеми механіки і математики. - 2011, Вип.9, с.122-129.
- Каценеленбаум, Б.З. Высoкoчастoная електрoдинамика. Оснoвы математическoгo апарата. –М: “Наука”, 1966. – 240с.
- Мoделювання та oптимiзацiя в термoмеханiцi електрoпрoвiдних неoднoрідних тiл /Під заг. ред. Я.Й. Бурака, Т.1,2: /: О.Р. Гачкевич, Р.Ф. Терлецький, Т.Л. Курницький – Львiв, 2006; .1.
- Holubets, T.V. Investigation of the structural properties of porous material acсording to the sorption isotherms and drainage curves // Mathematical modeling and computing. – Vol.3, No.1, P. 23-32.
- van Genuchten, M.T. A Closed-Form Equation for Predicting the Hydraulic Conductivity of Unsaturated Soils // Soil Science Society of America Journal. – 1980. - 44, No. 5. - P. 892–898.
- ASHRAE-HANDBOOK-Fundamentals (PRINCIPLES Chapter 1 Psychrometrics), Atlanta, 2017: https://www.ashrae.org/resources--publications/handbook/2017-ashrae-handbook-fundamentals.
- Baggio, P. , Bonacina C., Grinzato E., Bison P., Bressan C. Determinazione delle caratteristiche termoigrometriche dei materiali da costruzione porozi // Proc. Congresso Nazionale ATI, Parma, 1992, P. 355-365.
- Mayer, S.W. Dependence of surface tension on temperature // The J. of Chem. Phys. – 1963. – 38, No.8, P. 1803-1808.
- Bruggeman D. A., G. Ann. Phys. // Leipzig.-1935.-24.-P.636.
- <i>J.L. Auriault, J. J.L. Auriault, J. Lewandowska. Diffusion/adsorption/advection macrotransport in soils // Eur. J. Mech – A/Solids. – 1996, - 15, No.4. – P.681-704.
- Wilke, C.R. A viscosity equation for gas mixtures // The journ. of chem. phys. – 1950. –Vol.18. –No.4. – P.517-519.
- <i>R.C. Reid, J.M. R.C. Reid, J.M. Praunsnitz, E.P. Bruce. The Properties of Gases and Liquids - New-York: MacGraw-Hill, 741p.
- <i>F.P. Incopera, D.P. F.P. Incopera, D.P. Dewitt, T.L. Bergman, A.S. Lavine. Fundamentals of Heat and Mass Transfer. - New-York: J.Wiley&Sons – 1070p.
| Phases | Solid () | Liquit () | Gas () |
| Thermal conductivity | 0.55 | 0.65 | 0.025 |
| Thermal capacity | 810 | 4180 | 1006 |
| v, [Gz] | εS | εL | εG | |||
| εS′ | εS″ | εL′ | εL″ | εG′ | εG″ | |
| 2.45·109 | 5,86 | 0,703 | 80 | 20 | 1 | 0 |
Disclaimer/Publisher’s Note: The statements, opinions and data contained in all publications are solely those of the individual author(s) and contributor(s) and not of MDPI and/or the editor(s). MDPI and/or the editor(s) disclaim responsibility for any injury to people or property resulting from any ideas, methods, instructions or products referred to in the content. |
© 2025 by the authors. Licensee MDPI, Basel, Switzerland. This article is an open access article distributed under the terms and conditions of the Creative Commons Attribution (CC BY) license (http://creativecommons.org/licenses/by/4.0/).