Submitted:
30 April 2025
Posted:
02 May 2025
You are already at the latest version
Abstract
Keywords:
1. Introduction
2. Models and Experimental Procedure
2.1. Four-Plate Set Up
2.1.1. Blockage effect
2.1.2. Measurement Procedure
2.2. Six-plate set up
3. Results
3.1. Isolated tilted panel
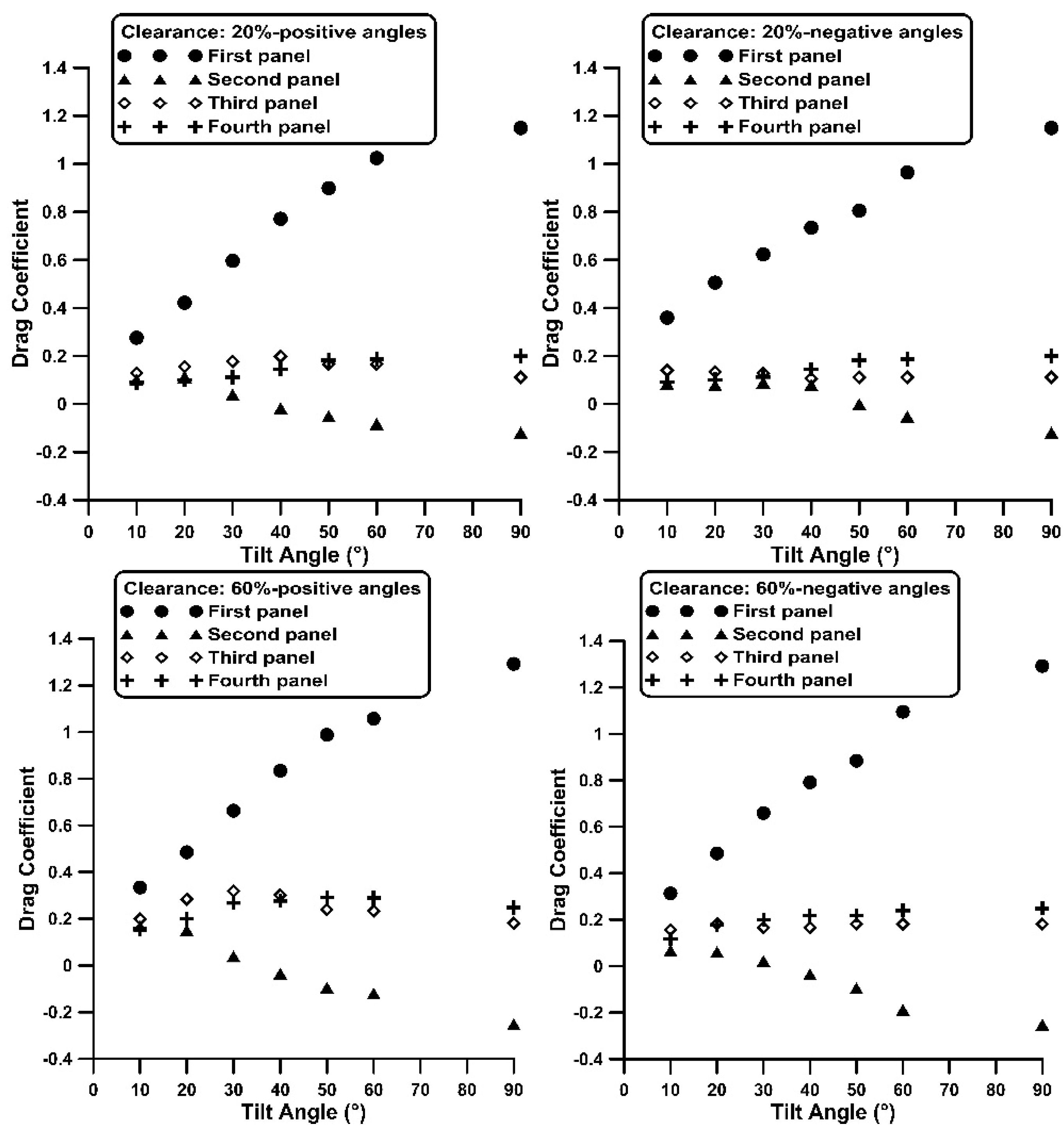
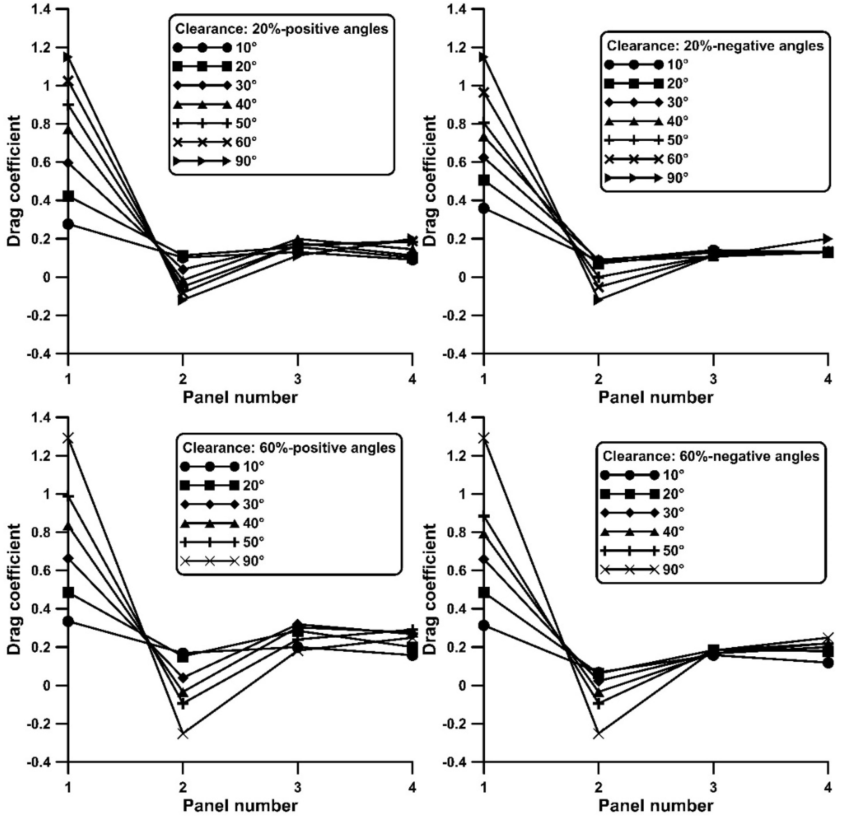
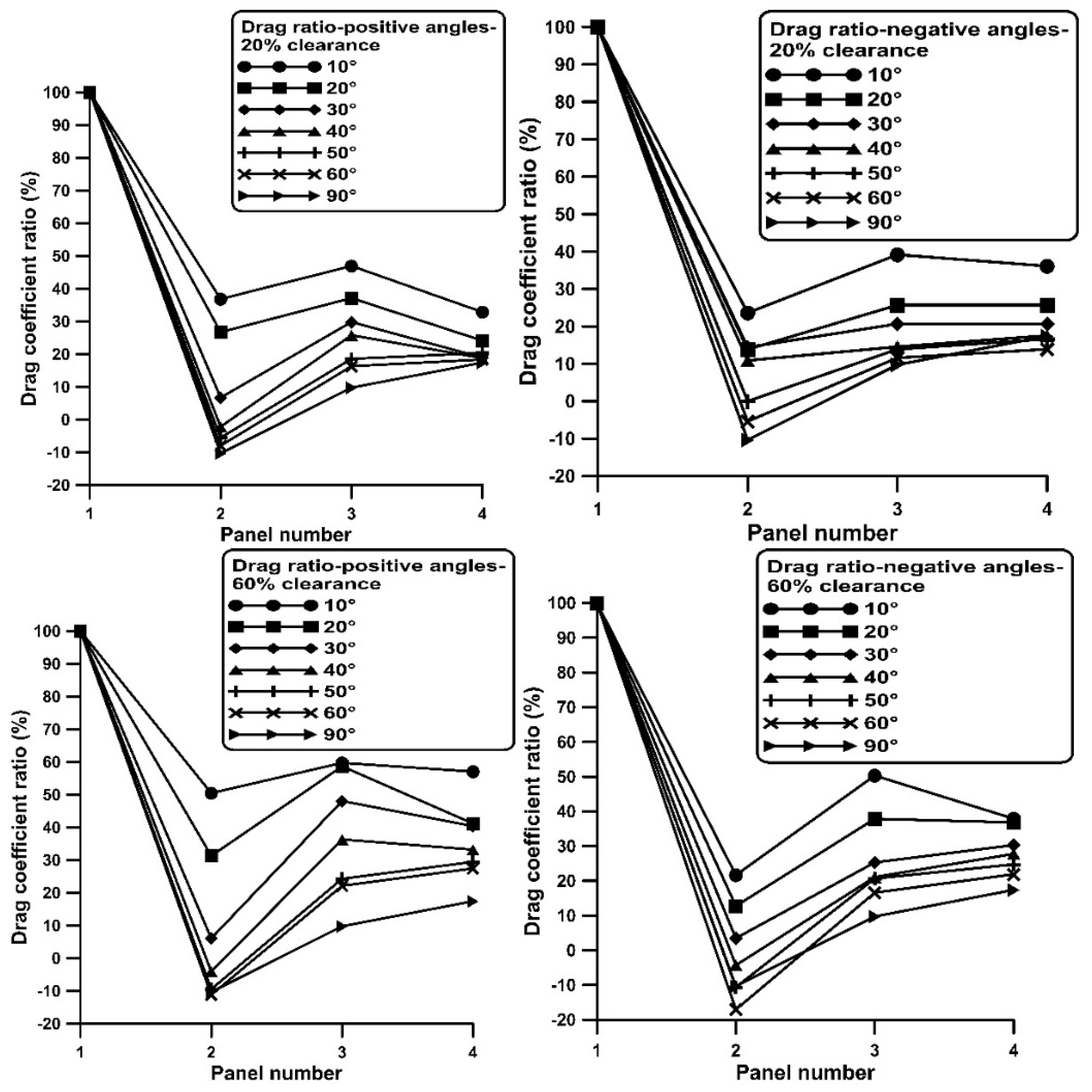
3.2. Four plates in tandem-Drag measurements
3.3. Six plates in tandem-Pressure measurements
4. Discussion
5. Limitations of Present Work
6. Conclusions
Author Contributions
Funding
Data Availability Statement
Acknowledgments
Conflicts of Interest
References
- World Solar investment report 2023. https://isolaralliance.org/uploads/docs/1885d3247cb1a2c5c86d9bf1599a66.pdf. Accessed 10 April 2025.
- Aly, A.M., Bitsuamlak, G. Aerodynamics of ground-mounted solar panels: test model scale effects. J. Wind Eng. Ind. Aerodyn. 2013, 123, 250–260. [CrossRef]
- Aly, A.M. On the evaluation of wind loads on solar panels: The scale issue. Solar Energy, 2016, 135, 423-434. [CrossRef]
- Khaled, M.F, Aly, A.M. Assessing aerodynamic loads on low rise buildings considering Reynolds number and turbulence effects: a review. Advances in Aerodynamics, 2022, 4 (24), 1-33. [CrossRef]
- Warsido, W.P, Bitsuamlak, G.T, Barata, J., Chowdhury, A. G. Influence of spacing parameters on the wind loading of solar array. Journal of Fluids and Structures, 2014, 48, 295–315. [CrossRef]
- Ginger, J.D., Bodhinayake, G. G., Ingham, S. Wind Loads on Ground Mounted Solar Panels. James Cook University. Technical Report N. 64. ISBN 978-0-9954471-9-6, 2019.
- Wittwer, A.R., Podestá, J.M., Castro, H.G., Mroginski, J.L., Marighetti, J.O., De Bortoli, M.E., Paz, R.R., Mateo, F. Wind loading and its effects on photovoltaic modules: An experimental–Computational study to assess the stress on structures. Solar Energy, 2022, 240, 315-328. [CrossRef]
- Ortiz, X., Rival, D., Wood, D. Forces and moments on flat plates of small aspect ratio with application to PV wind loads and small wind turbine blades. Energies, 2015, 8, 2438-2453. [CrossRef]
- Jubayer, C.M, Hangan, H. A numerical approach to the investigation of wind loading on an array of ground mounted solar photovoltaic (PV) panels. J. Wind Eng. Ind. Aerodyn. 2016, 153, 60–70. [CrossRef]
- Shademan, M., Naghib-Lahouti, A. Effects of aspect ratio and inclination angle on aerodynamic loads of a flat plate. Advances in Aerodynamics, 2020, 2 (14), 1-23. [CrossRef]
- Choi, S.M., Lee, G.R., Park, C.D., Cho, S.H., Lim, B.J. Wind load on the solar panel array of a floating photovoltaic system under extreme hurricane conditions. Sustainable Energy Technologies and Assessments, 2021, 48, 101616. [CrossRef]
- Ai, Y., Zhou, L., Tse, K.T., Zhang, H. Interference and ground effects on flow past two inclined flat plates in tandem arrangement. Ocean Engineering, 2023, 270, 113653. [CrossRef]
- Bao, T., Li, Z., Pu, O., Yang, Y., Huang B., Wu, H. Field measurement-based research on wind pressure interference effects of tracking photovoltaic arrays. J. Wind Eng. Ind. Aerodyn 2025, 257, 105971. [CrossRef]
- Pieris, S. Aerodynamics of finite-span inclined flat plates in ground proximity. PhD dissertation, University of Waterloo. Ontario, Canada, 2023. https://hdl.handle.net/10012/19853.
- Rojewski, A., Bartoszewicz, J. Numerical analysis of influence of the wing in ground effect on aircraft lift coefficient and on car downforce coefficient. Journal of Mechanical and Transport Engineering, 2017, 69 (2). [CrossRef]
- Lee T., Lu, A., Tremblay-Dionne V. Experimental study of aerodynamics and wingtip vortex of a rectangular wing in flat ground effect. ASME Journal of Fluids Engineering, 2019, 14 (11), 111108. [CrossRef]
- Taleghani, A.S., Ghajar, A. Aerodynamic characteristics of a delta wing aircraft under ground effect. Frontiers in Mechanical Engineering, 2024, 10, 1355711. [CrossRef]
- Ginger, J.D., Bodhinayake, G. G., Ingham, S. Wind Loads on Ground Mounted Solar Panels. James Cook University. Technical Report N. 64. ISBN 978-0-9954471-9-6, 2019.
- Tieleman, H.W. Wind tunnel simulation of wind loading on low-rise structures: a review. J. Wind Eng. Ind. Aerodyn. 2003, 91, 1627-1649. [CrossRef]
- Larose, G.L., D’Auteuil, A. On the Reynolds number sensitivity of the aerodynamics of bluff bodies with sharp edges. J. Wind Eng. Ind. Aerodyn., 2006, 94, 365-376. [CrossRef]
- Bailey, S.C.C., Hultmark, M., Monty, J.P, Alfredsson, P.H et al. Obtaining accurate mean velocity measurements in high Reynolds number turbulent boundary layers using Pitot tubes. Journal of Fluid Mechanics, 2013, 715, 642-670. [CrossRef]
- White, F.M. Fluid Mechanics. Textbook. 4th edition, McGraw-Hill. ISBN: 0071168486, 1999.
- Barlow, J.B., Rae, W.H., Pope, A. Low speed wind tunnel testing. 3rd edition. John Wiley & Sons, Inc. ISBN: 978-0-471-55774-6, 1999.
- Maskell, E.C. A theory of the blockage effects on bluff bodies and stalled wings. Aeronautical Research Council. Reports and Memoranda No. 3400, 1963.
- Okamoto, M., Azuma, A. Aerodynamic characteristics at low Reynolds numbers for wings of various planforms. AIAA Journal, 2011, 49 (6), 1135-1150. [CrossRef]
- Miller, R., Zimmerman, D. Wind loads on flat plate photovoltaic array fields. Phase II Final Report. U.S. Department of Energy. DOE/JPL/954833-2, 1979.
- Shademan M., Barron R.M., Balachandar R., Hangan H. Numerical simulation of wind loading on ground-mounted solar panels at different flow configurations. Can. J. Civ. Eng. 2014, 41, 728–738. [CrossRef]
- Hoerner, SF. Fluid Dynamic Drag. USA Library on Congress. Catalog Card Number 64-19666, 1965.














Disclaimer/Publisher’s Note: The statements, opinions and data contained in all publications are solely those of the individual author(s) and contributor(s) and not of MDPI and/or the editor(s). MDPI and/or the editor(s) disclaim responsibility for any injury to people or property resulting from any ideas, methods, instructions or products referred to in the content. |
© 2025 by the authors. Licensee MDPI, Basel, Switzerland. This article is an open access article distributed under the terms and conditions of the Creative Commons Attribution (CC BY) license (http://creativecommons.org/licenses/by/4.0/).