Preprint
Article

This version is not peer-reviewed.

Essential Trace Elements (Copper and Zinc) in Three Species of Dolphins Stranded in the Croatian Part of the Adriatic Sea from 1995 to 2013

A peer-reviewed article of this preprint also exists.

Submitted:

28 April 2025

Posted:

29 April 2025

You are already at the latest version

Abstract
Trace elements are widely distributed in the environment and are considered essential when their deficiency leads to impaired biological function. This study aimed to quantify concentrations of two essential trace elements—copper (Cu) and zinc (Zn)—in the tissues of three toothed whale (Odontoceti) species: bottlenose (Tursiops truncatus), striped (Stenella coeruleoalba), and Risso’s dolphins (Grampus griseus) found deceased along the Croatian coast of the Adriatic Sea between 1995 and 2013. A total of 190 individuals were analyzed, comprising 159 bottlenose, 25 striped, and 6 Risso’s dolphins. Concentrations of Cu and Zn were determined in liver, muscle, kidney, skin, lung, spleen, and fat tissues using inductively coupled plasma optical emission spectrometry (ICP-OES). The highest Cu concentrations were observed in the liver and kidneys of bottlenose dolphins, followed by striped and Risso’s dolphins. Zn concentrations were highest in the skin of bottlenose and striped dolphins, whereas the liver exhibited the highest levels in Risso’s dolphins. In 14 bottlenose and 2 striped dolphins, Cu and Zn concentrations in liver tissue exceeded critical thresholds typically regulated by homeostatic mechanisms. Regression analysis indicated significant relationships between element concentrations and both body length and body mass. In addition, trace element concentrations were positively correlated across individuals within the same tissue type, as well as among different tissues within the same individual. Overall, Cu and Zn concentrations exhibited a declining trend over the studied period across all tissue types. These findings provide important baseline data for future ecotoxicological investigations and contribute to conservation strategies for cetacean populations inhabiting the Adriatic Sea.
Keywords: 
;  ;  ;  ;  ;  

Introduction

Following the Industrial Revolution, anthropogenic activities have significantly increased the release of various trace elements into the environment [1]. These elements are now widely distributed across ecosystems, and their presence in marine environments has become an area of growing scientific concern in recent decades [2].
Trace elements can be broadly classified into two categories: essential and non-essential. Essential trace elements are micronutrients required in small amounts quantities for the optimal functioning of biological systems. Deficiency in these elements can impair physiological processes, as they are involved in a wide range of biological functions, including enzyme activity, protein transport, hormonal regulation, and receptor site functionality [3]. Notable essential trace elements include iron (Fe), zinc (Zn), manganese (Mn), copper (Cu), cobalt (Co), and selenium (Se), among others [4].
Conversely, non-essential trace elements are generally considered non-toxic when present below specific threshold levels. However, exceeding these thresholds can result in toxicological effects that disrupt critical physiological functions. Examples include chromium, silicon, and nickel. As noted by Roy [3], non-essential elements can be further categorized into non-toxic and toxic subgroups. Increasing attention is being directed toward the potential endocrine-disrupting effects of certain trace elements on marine mammals. Elements such as arsenic, cadmium, cobalt, chromium, copper, mercury, lead, selenium, and vanadium have been shown to interfere with estrogen, androgen, and glucocorticoid receptor-mediated processes both in vivo and in vitro, even at environmentally relevant concentrations. Therefore, it is imperative to assess trace element contamination in marine mammal tissues to evaluate their potential biological impacts [5].
Marine mammals occupy apex trophic levels within marine food webs and, due to their long lifespans and ecological roles, are considered valuable bioindicators for monitoring spatial and temporal trends of environmental contaminants. Among them, the bottlenose dolphin (Tursiops truncatus) is particularly notable due to its widespread distribution, site fidelity to coastal habitats, well-documented life history, and demonstrated capacity for metal bioaccumulation, making it a suitable sentinel species for environmental monitoring [6]. In contrast, the striped dolphin (Stenella coeruleoalba) and Risso’s dolphin (Grampus griseus), also included in this study, are pelagic species that typically avoid shallow coastal waters. Given the biomagnification of metals through trophic transfer, top-level predators such as dolphins are likely to accumulate higher concentrations of trace elements. This trophic positioning, coupled with their ecological overlap with humans and shared dietary resources, underscores their relevance not only as indicators of marine ecosystem health but also as proxies for human exposure risk [7].
Numerous studies have investigated trace element accumulation in dolphins across various geographic regions, including Japan [8,9], Australia [10,11,12,13], New Zealand [14], and the Atlantic coast [6,15,16]. In the Mediterranean Sea, research has predominantly focused on populations along the French [17,18], Italian [19,201], and Israeli coasts [21,22]. The bioaccumulation of trace elements in marine mammal tissues is influenced by multiple factors, including geographic location, environmental contamination levels, age, and physiological condition of the individual [23].
The Adriatic Sea, a subregion of the Mediterranean, is home to a resident population of bottlenose dolphins (Tursiops truncatus), alongside occasional occurrences of other cetacean species [24]. Existing data on trace elements in dolphins from the Croatian part of the Adriatic are limited to few studies that focused primarily on non-essential trace elements in tissues of stranded bottlenose and striped dolphins as well as broader assessments of toxic element concentrations in these species and in Risso’s dolphins [25-30]. There are only two studies on the concentration of essential trace elements in the tissues of the mentioned dolphin species [31,32]. However, there remains a notable gap in comprehensive data encompassing a broader spectrum of trace elements. Establishing baseline concentrations of trace elements in cetacean tissues is critical for defining nutritional and toxicological reference values, enabling intra- and inter-regional comparisons, and facilitating linkage of contaminant burdens to observed mortality events.
The present study aimed to quantify concentrations of two essential trace elements—copper (Cu) and zinc (Zn)—in various tissues of dolphins stranded along the Croatian Adriatic coastline between 1995 and These elements were selected due to their essential biological roles and their potential to exert toxic effects at elevated concentrations [33]. The study also aimed to compare the obtained values with data from global cetacean populations.
This research contributes to the understanding of trace element dynamics in Adriatic dolphin populations, which have been under systematic observation for over three decades. Given that tissue samples are obtained post-mortem, often from stranded individuals, consistent monitoring of deceased specimens can serve as an important tool for tracking contaminant trends, evaluating animal health, and identifying the causes of unusual mortality events.

Materials and Methods

2.The Study Area and Sample Collection

Tissue samples were collected from a total of 190 dolphins found stranded and deceased along the Croatian coastline of the Adriatic Sea between 1995 and The specimens comprised 159 bottlenose dolphins (Tursiops truncatus), 25 striped dolphins (Stenella coeruleoalba), and 6 Risso’s dolphins (Grampus griseus) (Fig. 1).
As part of the post-mortem examination, a range of biological and morphometric data were recorded, including species, sex, body mass, total body length, and other standard external measurements. Age determination was conducted by preparing tooth samples according to the methodology outlined by Slooten, with age estimated through the enumeration of growth layer groups (GLGs) as described by Hohn et al. Individuals older than 7 years were classified as adults, based on criteria established by André et al. [34,35,36].
As summarized in Table 1, bottlenose dolphin samples were classified by sex (77 males, 81 females) and age (77 adults, 52 juveniles). Age and sex could not be determined for 30 and one bottlenose dolphins, respectively. Striped dolphins were categorized solely by sex due to missing age data, comprising 15 males and 10 females. The six Risso’s dolphin samples were all adults; sex was not specified owing to the limited sample size.
Tissue samples from these dolphins had previously been partly analyzed for copper concentrations using graphite furnace atomic absorption spectroscopy (GFAAS), as reported by Bilandžić et al. [31]. In the present study, those same specimens were reanalyzed to quantify copper levels using an advanced analytical method described later in the text.
For spatial analysis, the Croatian Adriatic was divided into two geographical regions—northern and southern—with a higher proportion of samples originating from the southern region. Mean (± standard deviation) body lengths and masses were as follows: bottlenose dolphins, 239.2 ± 53.9 cm and 150.5 ± 79.8 kg; striped dolphins, 191.5 ± 40.3 cm and 81.1 ± 15.4 kg; and Risso’s dolphins, 300.1 ± 10.6 cm and 258.8 ± 46.4 kg.
During necropsy, tissue samples were collected from various organs and tissues including muscle, liver, kidneys, spleen, lungs, blubber, and skin. Samples were stored in polyethylene bags and preserved at −20°C until further analysis.
Figure Geographical distribution of stranded cetaceans analyzed in this study, recorded along the Croatian Adriatic coastline between 1995 and RED- bottlenose dolphins (Tursiops truncatus), BLUE- striped dolphin (Stenella coeruleoalba), YELLOW- Risso dolphin (Grampus griseus)
Figure Geographical distribution of stranded cetaceans analyzed in this study, recorded along the Croatian Adriatic coastline between 1995 and RED- bottlenose dolphins (Tursiops truncatus), BLUE- striped dolphin (Stenella coeruleoalba), YELLOW- Risso dolphin (Grampus griseus)
Preprints 157546 g001
Table Summary of dolphin specimens stranded along the Croatian Adriatic coast between 1995 and 2013, categorized by species, sex, and age class (where available).
Table Summary of dolphin specimens stranded along the Croatian Adriatic coast between 1995 and 2013, categorized by species, sex, and age class (where available).
Samples N. Sex Age N.
(north)
N. (south) Mean body length (cm) Mean body weight (cm)
Tursiops truncatus 159 81F
77M
52 young
77 adult
68 91 239.2 ± 53.9 150.5 ± 79.8
Stenella coeruleoalba 25 10F
15M
- 4 21 191.5 ± 40.3 81.1 ± 15.4
Grampus griseus 6 - 6 adult 1 5 300.1 ± 10.6 258.8 ± 46.4

2.Sample Preparation and Trace Element Determination

Tissue samples (0.5 g) were digested using microwave-assisted digestion in Teflon vessels. The digestion mixture comprised 2.5 mL of nitric acid (65%), 1.0 mL of hydrogen peroxide (30%), and 3.0 mL of ultrapure water. Following digestion and cooling, each sample was diluted to a final volume of 50 mL with ultrapure water in a volumetric flask. Element concentrations were expressed in milligrams per kilogram (mg/kg) on a wet weight basis. For comparative purposes with data from other studies reported on a dry weight basis, values were converted to wet weight using a standard conversion factor of 0.25 [37].
Copper (Cu) and zinc (Zn) concentrations were quantified using an inductively coupled plasma optical emission spectrometer (ICP-OES), Model Optima 8000, equipped with an S10 autosampler (PerkinElmer, Waltham, MA, USA). Quality assurance and quality control (QA/QC) procedures included the use of analytical blanks, replicate measurements, and certified reference materials (CRMs), specifically DORM-4 and DOLT-5, obtained from the National Research Council (NRC) Institute for National Measurement Standards, Ottawa, Canada. The recovery rates for the CRMs, as well as the instrumental quantification limits for each element, are presented in Table 2.
Table Recovery percentages of certified reference materials (CRMs), along with the instrumental limits of detection (LOD) and quantification (LOQ) for each analyzed element.
Table Recovery percentages of certified reference materials (CRMs), along with the instrumental limits of detection (LOD) and quantification (LOQ) for each analyzed element.
LOD
(mg/kg)
LOQ
(mg/kg)
CRM Certified value
(mg/kg)
Measured value
(mg/kg)
Recovery
(%)
Cu 0.01 0.04 DORM-4 a 16.1 15.9±0.9 98.8
DOLT-5 b 35.4 35.0±2.4 98.9
Zn 0.015 0.051 DORM-4 a 52.4 52.2±3.2 99.6
DOLT-5 b 105.7 105.3±5.4 99.6
aDORM-4, Fish protein (NRC Institute for National Measurement Standards, Otawwa, Canada); bDOLT-5, Dogfish liver (NRC Institute for National Measurement Standards, Otawwa, Canada).

2.Statistical Analysis

All statistical analyses were performed using Stata version 13.1 (StataCorp, USA). For each trace element, descriptive statistics—including mean, standard deviation, median, minimum (m), and maximum (M) values—were calculated. The Shapiro-Wilk test was used to assess the normality of the data distribution for element concentrations across tissue types. Comparisons of element concentrations among the three dolphin species were conducted using the non-parametric Kruskal–Wallis test, and statistical significance was reported using p-values.
To investigate the linear relationships between the logarithm of element concentrations and independent variables such as body mass, body length, age, sex, sampling location, and year of discovery, linear regression analysis was employed. The regression model followed the equation: logc = logb*x + a, where c denotes the mass concentration of the element in the tissue [mg/kg], a is the constant intercept, log b is the slope of the line (regression coefficient), and x is the independent variable.
The tables presented in this study display the antilogarithmic values of the regression coefficients, denoted as b. These coefficients represent the extent of change in the mass concentration when the independent variable, x, undergoes a unit change. A value of b greater than 1 indicates an increase in concentration with the variable, while a value less than 1 suggests a decrease. To assess the relationships between element concentrations within the same tissue type across individuals, and between different tissues within the same individual, Spearman’s rank correlation coefficient was used. The strength of correlations was interpreted using a commonly accepted gradation scale (0.00 to 0.19 - very weak, 0.20 to 0.39 – weak, 0.40 to 0.59 – moderate, 0.60 to 0.79 - strong, and 0.80 to 1.0 - very strong).

Results

Concentrations of essential trace elements in the tissues of three dolphin species stranded along the Croatian coast of the Adriatic Sea between 1995 and 2013 are presented in Table Values are expressed as mean ± standard deviation (SD) on a wet weight basis. For comparative purposes, manganese concentrations previously determined in the same individuals and published by Đokić et al. [32] are included in the final column, allowing for comparison with copper and zinc concentrations.
Table Mean trace element concentrations (± standard deviation; mg kg-1 wet weight) in various tissues of stranded dolphins collected from the Croatian part of the Adriatic Sea.
Table Mean trace element concentrations (± standard deviation; mg kg-1 wet weight) in various tissues of stranded dolphins collected from the Croatian part of the Adriatic Sea.
Species Tissue (N) Cu (mean±SD) Zn (mean±SD) Mn (mean±SD) [32]
Tursiops truncatus muscle (150) 3.09±4.58 23.68±13.81 0.251±0.220
kidneys (150) 6.27±3.71 33.13±16.01 0.794±0.354
liver (147) 18.96±22.24 69.61±44.02 2.87±1.610
spleen (140) 2.80±2.11 30.80±16.49 0.533±0.340
lungs (143) 2.88±5.42 31.0±18.79 0.681±3.298
skin (49) 2.54±2.39 182.4±146.5 0.968±3.297
adipose tissue (90) 1.47±3.51 17.1±27.6 0.422±1.297
Stenella coeruleoalba muscle (24) 2.49±1.21 13.96±7.11 0.257±0.129
kidneys (24) 5.43±2.69 36.33±17.42 0.755±0.302
liver (24) 11.82±7.91 61.68±31.05 3.606±1.903
spleen (23) 2.08±1.04 28.45±15.93 0.385±0.169
lungs (23) 1.45±1.00 29.98±16.52 0.307±0.230
skin (4) 1.99±1.95 233.5±159.02 0.112±0.039
adipose tissue (13) 0.487±0.252 38.03±43.74 0.104±0.045
Grampus griseus muscle (6) 1.38±0.70 24.97±9.166 0.198±0.058
kidneys (6) 3.35±0.90 27.84±13.82 1.261±0.564
liver (6) 6.20±2.22 46.23±13.84 3.998±1.753
spleen (5) 1.56±0.29 24.48±3.649 0.642±0.279
lungs (5) 1.43±1.10 11.01±1.643 0.181±0.037
skin - - -
adipose tissue - - -

3.Copper Levels in the Tissues of Three Dolphin Species

In bottlenose dolphins, the highest copper (Cu) concentrations were observed in the following order: liver > kidney > muscle > lung > spleen. For striped dolphins, the order was liver > kidney > muscle > spleen > lung, while in Risso’s dolphins, the sequence was liver > kidney > spleen > lung > muscle. Statistically significant interspecific differences in Cu concentrations were detected in the liver (p = 0.0030), kidney (p = 0.0077), and lung (p = 0.0010), with bottlenose dolphins exhibiting the highest concentrations in all three tissues.
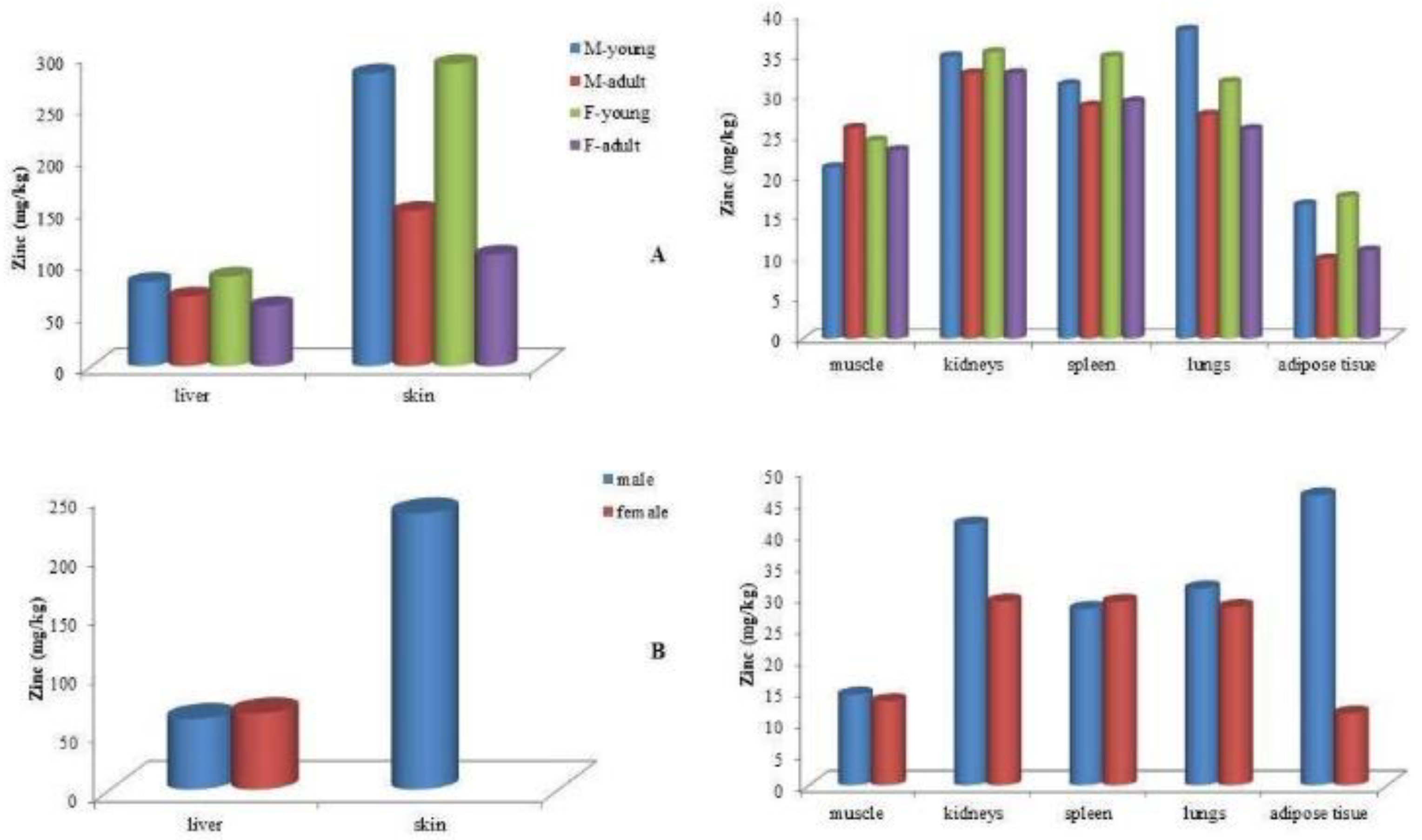
Analysis of Cu concentrations by age and sex within bottlenose dolphins revealed generally similar values across categories, with exceptions in liver and lung tissues. In the liver, adult males exhibited higher Cu concentrations than adult females (17.6 vs. 13.3 mg/kg, respectively). Conversely, among juveniles, females showed higher hepatic Cu levels than males (24.9 vs. 21.3 mg/kg). In lung tissue, juvenile males had elevated Cu concentrations compared to juvenile females (5.32 vs. 2.97 mg/kg, respectively; Fig. 2).
Figure Mean copper (Cu) concentrations (mg kg-1 wet weight) in tissues of bottlenose dolphins (Tursiops truncatus), categorized by sex and age class.
Figure Mean copper (Cu) concentrations (mg kg-1 wet weight) in tissues of bottlenose dolphins (Tursiops truncatus), categorized by sex and age class.
Preprints 157546 g002
The liver exhibited the highest copper (Cu) concentrations across all examined tissues, with bottlenose dolphins showing the greatest mean hepatic Cu level at 18.9 mg/kg wet weight (range: 0.001–178.9 mg/kg). Striped dolphins followed with a mean of 11.8 mg/kg (range: 0.001–38.2 mg/kg), while Risso’s dolphins exhibited the lowest hepatic Cu concentrations, averaging 6.20 mg/kg (range: 3.81–9.69 mg/kg). The highest individual Cu concentration was detected in the liver of a female bottlenose dolphin stranded near the island of Ist, reaching 178.86 mg/kg wet weight (Fig. 3).
Figure Individual copper (Cu) concentrations in the liver of bottlenose dolphins (Tursiops truncatus, DD) (A), striped dolphins (Stenella coeruleoalba, PD), and Risso’s dolphins (Grampus griseus, GD) (B), shown in comparison to established critical concentration thresholds.
Figure Individual copper (Cu) concentrations in the liver of bottlenose dolphins (Tursiops truncatus, DD) (A), striped dolphins (Stenella coeruleoalba, PD), and Risso’s dolphins (Grampus griseus, GD) (B), shown in comparison to established critical concentration thresholds.
Preprints 157546 g003

3.Zinc Levels in the Tissues of Three Dolphin Species

Zinc (Zn) concentrations in all examined tissues across the three dolphin species followed a consistent pattern: skin > liver > kidney > other organs (Table 2). The highest Zn concentrations in skin were observed in juvenile bottlenose dolphins, with mean values of 291.1 mg/kg in females and 281.7 mg/kg in males. In comparison, male striped dolphins exhibited slightly lower mean skin Zn concentrations (233.5 mg/kg). The lowest skin Zn levels were recorded in adult bottlenose dolphins, with 149.4 mg/kg in males and 107.3 mg/kg in females (Fig. 4).
The maximum Zn concentration (462.9 mg/kg) was detected in the skin of a female bottlenose dolphin of unknown age stranded near the island of Brač. Similarly high levels were measured in a 6-year-old female from open waters in the southern Adriatic (446.8 mg/kg).
Statistically significant interspecific differences in Zn concentrations were observed in muscle (p = 0.0001) and lung tissues (p = 0.0024). Risso’s dolphins exhibited the highest muscle Zn concentrations, while bottlenose dolphins had the highest levels in the lungs.
Regarding liver tissue, the highest mean Zn concentrations were found in juvenile bottlenose dolphins, with 86.1 mg/kg in females and 80.9 mg/kg in males. These values were followed by adult males (67.0 mg/kg) and adult females (57.9 mg/kg) (Fig. 4). In striped dolphins, liver Zn levels averaged 59.7 mg/kg in males and 64.5 mg/kg in females. The lowest mean liver Zn concentration (46.2 mg/kg) was observed in Risso’s dolphins.
Figure Mean zinc (Zn) concentrations (mg kg-1 wet weight) in tissues of bottlenose dolphins (Tursiops truncatus), categorized by sex and age class.
Figure Mean zinc (Zn) concentrations (mg kg-1 wet weight) in tissues of bottlenose dolphins (Tursiops truncatus), categorized by sex and age class.
Preprints 157546 g004
Zinc (Zn) concentrations in the liver exceeded the established homeostatic range in 33 individuals, comprising 29 bottlenose dolphins (18.4%) and 4 striped dolphins (16%) (Fig. 5). Among these, hepatic Zn concentrations surpassed the upper critical threshold of 100 mg/kg in 26 bottlenose dolphins (16.5%) and 3 striped dolphins (12%). Conversely, concentrations fell below the lower critical limit of 20 mg/kg in three bottlenose dolphins (1.9%) and one striped dolphin (4%).
Of the 12 dolphins diagnosed with congenital umbilical hernia as the cause of death, four individuals (33.3%) exhibited elevated hepatic Zn concentrations. In contrast, none of the individuals that died as a result of severe parasitic infestation presented with reduced Zn levels in the liver.
Figure Individual zinc (Zn) concentrations in the liver of bottlenose dolphins (Tursiops truncatus, DD) (A), striped dolphins (Stenella coeruleoalba, PD), and Risso’s dolphins (Grampus griseus, GD) (B), shown in comparison to established critical concentration thresholds.
Figure Individual zinc (Zn) concentrations in the liver of bottlenose dolphins (Tursiops truncatus, DD) (A), striped dolphins (Stenella coeruleoalba, PD), and Risso’s dolphins (Grampus griseus, GD) (B), shown in comparison to established critical concentration thresholds.
Preprints 157546 g005

3.Influence of biological and environmental variables on trace element concentrationss (regression analysis)

Regression analysis revealed that the year of stranding significantly influenced the concentrations of copper (Cu) and zinc (Zn) in dolphin tissues. A statistically significant inverse relationship was found between the year of stranding and Cu levels in the skin (p = 0.030, b = 0.604), as well as Zn concentrations in the kidney (p = 0.018, b = 0.977), liver (p = 0.024, b = 0.943), and spleen (p = 0.018, b = 0.945). These findings indicate a general temporal decline in trace element concentrations across the study period.
Geographic location also influenced trace element levels. Specifically, Cu concentrations in muscle tissue were significantly lower in dolphins stranded in southern regions compared to those from northern areas (p = 0.049, b = 0.803).
Age was found to be significantly associated with Cu levels in the lungs (p = 0.034, b = 0.968), with concentrations decreasing as age increased.
Body mass was inversely correlated with Cu concentrations in the kidney (p = 0.009, b = 0.997) and adipose tissue (p = 0.018, b = 0.986), as well as Zn levels in the kidney (p < 0.001, b = 0.996). In contrast, an increase in body length was associated with elevated Cu concentrations in the kidney (p = 0.033, b = 1.003) and adipose tissue (p = 0.046, b = 1.018).

3.Spearman's correlation

Spearman's rank correlation coefficient was employed to assess the relationships between trace element concentrations across different tissues, as well as within the same tissue in relation to species, sex, and age.
Strong positive correlations for copper (Cu) were observed between the kidney and spleen (rₛ = 0.6571; p < 0.05), spleen and adipose tissue (rₛ = 0.6595; p < 0.05), and lung and adipose tissue (rₛ = 0.6036; p < 0.05) across all three dolphin species. Similarly, zinc (Zn) showed strong positive correlations between the kidney and spleen (rₛ = 0.6370; p < 0.05), and between the kidney and lung (rₛ = 0.6134; p < 0.05). The strongest correlation in the dataset was observed between Cu concentrations in the spleen and lungs (rₛ = 0.8038; p < 0.05).
Moderate positive correlations were noted between Cu and Zn concentrations in the liver (rₛ = 0.5050; p < 0.05) and kidney (rₛ = 0.5639; p < 0.05), indicating a degree of co-accumulation or similar regulatory patterns for these elements in these tissues.
Sex-related differences in element distribution were also evident. In female dolphins, a strong correlation was found between Cu levels in the kidney and liver (rₛ = 0.6713; p < 0.05). Furthermore, a significant influence of sex was detected on the correlation between Cu and Zn concentrations in the kidneys of male bottlenose and striped dolphins (rₛ = 0.6179; p < 0.05).

Discussion

4.Copper

This study supports the well-established role of the liver as the principal organ for copper (Cu) accumulation in marine mammals [38]. Among the three species examined, bottlenose dolphins exhibited the highest hepatic Cu concentrations (mean: 18.9 mg/kg; range: 0.001–178.9 mg/kg), followed by striped dolphins (11.8 mg/kg) and Risso’s dolphins (6.20 mg/kg). These findings are consistent with previously observed patterns of trace element storage in cetaceans, where the liver serves as a key site for metal detoxification and regulation [39,40].
Table Reported copper (Cu) concentrations (mg kg-1 wet weight) in dolphin species from various regions of the Mediterranean Sea.
Table Reported copper (Cu) concentrations (mg kg-1 wet weight) in dolphin species from various regions of the Mediterranean Sea.
Species(number of individuals) muscle
(mg/kg)
kidneys
(mg/kg)
liver
(mg/kg)
spleen
(mg/kg)
lungs
(mg/kg)
skin
(mg/kg)
adipose tisue (mg/kg) Location/
period
Reference
Tursiops truncatus (2) 1.18* 6.55* 14.61* 1.23* 1.41* Ligurian sea /
1999. – 2002.
[20]
Tursiops truncatus (5) 0.97* 3.53* 3.65* French coast /
1978. – 1990.
[64]
Tursiops truncatus (17) 1.2 3.2 8.9 1.1 0.36 Israel / 1993. – 2001.
[22]
Tursiops truncatus (17) 1.1 3 11.4 Israel / 2004. – 2006.
[41]
Tursiops truncatus (12) 1.19* 4.26* 9.61* 0.93* Italian coast /
2000. – 2009.
[45]
Tursiops truncatus (7) 1.3* 4.25* 8* 2.25* 0.85* Corsica coast /
1993. – 1998.
[44]
Stenella coeruleoalba (6) 0.85 1.45 7.73 0.64 0.63 South Italy / 1987. [19]
Stenella coeruleoalba (10) 1.78 4.06 9.99 1.20 1.21 South Italy / 1991. [48]
Stenella coeruleoalba (12) 1.22* 3.42* 7.18* 1.09* Italian coast /
2000. – 2009.
[45]
Stenella coeruleoalba (3) 1.2* 3.26* 8.69* 1.03* 0.73* Ligurian sea /
1990. – 2001.
[20]
Stenella coeruleoalba (2) 0.98* 3.5* 4.625* French coast/1990. [64]
Stenella coeruleoalba (6) 1.4 2.8 9.7 2.1 0.8 Israel /1993. – 2001.
[22]
Stenella coeruleoalba (55) 1.35* 2.825* 8.425* 0.95* Mediterannean Sea France / 2002. – 2009
[51]
Stenella coeruleoalba (7) 1.9 4.4 11.8 0.88 Israel coast / 2006. – 2011. [42]
Stenella coeruleoalba (3) 1.68* 3.25* 7.93* 1.4* 0.8* Ligurian sea /1986. – 1990.[65]
Stenella coeruleoalba (39) 1.58* 4.01* 9.96* 1.01* Mediterannean Sea – Spain /2004. – 2009.
[85]
Stenella coeruleoalba (12 – 55) 1.57* median 3.6* median 5.5* median 0.63* median Tyrrhenian and Ligurian Sea / 1987. – 1994.[73]
Stenella coeruleoalba (12 – 55) 1.375* 4.115* 8.087* Strait of Gibraltar / 2012. – 2013.[77]
Stenella coeruleoalba (3) 1.95* 3.25* 5.25* 0.675* 1.125* Corsica coast /1993. – 1998.[44]
Grampus griseus (3) 0.8* 2.2* 2.58* 0.69* 0.78* Ligurian sea /1992. – 2004.[20]
Grampus griseus (3) 2.86 2.93 6.11 blood 0.85; stomach content 105 4.73 0.41 Israel / 1993. – 1999.
[21]
Grampus griseus (1) 0.76 2.81 6.49 0.45 Israel coast / 2010. [43]
Grampus griseus (2) 1.04* 3.15* 2.44* 0.53* Italian coast /2000. – 2009.[45]
Grampus griseus (3) 0.875* 2.425* 2.5* 0.675* 0.85* Corsica coast /1993. – 1998.[44]
*samples converted from dry weight to wet weight.

4.1.Copper Concentration Across Tissues

Liver: Hepatic Cu concentrations in bottlenose dolphins were notably higher than previously reported in the Mediterranean. For example, dolphins from the Ligurian Sea had values of 14.61 mg/kg (range: 5.45–23.78 mg/kg) [20], and those from Israel ranged from 1 to 30 mg/kg with a mean around 11.4–11.8 mg/kg [41,42]. The concentration observed in striped dolphins (11.8 mg/kg) also ranks among the highest in the Mediterranean, aligning with values off the Israeli coast [42], and exceeding typical levels (<10 mg/kg) found elsewhere. In Risso’s dolphins, hepatic Cu concentrations (6.20 mg/kg) were consistent with those from Israel (6.11 and 6.49 mg/kg) [21,43], but higher than in individuals from the Ligurian Sea (2.58 mg/kg) [20], Corsican coast (2.5 mg/kg) [44], and Italian coast (2.44 mg/kg) [45]. These interspecific differences may reflect dietary, physiological, and ecological variability among species [2,45].
Globally, hepatic Cu concentrations in bottlenose dolphins have shown considerable variability. Reported mean values include 10.78 mg/kg in South Carolina, USA (range: 1.17–78.98 mg/kg) [33], 21.18 mg/kg in southern Australia (range: 26.16–68 mg/kg) [12], and 17.75 mg/kg in Texas (range: 1.98–54.25 mg/kg) [46]. Exceptionally high concentrations have been reported in the Atlantic off the Portuguese coast, reaching up to 11,982 mg/kg (range: 4,756–30,636 mg/kg) [47].
Kidney: Significant interspecies differences in renal Cu levels were identified (p < 0.05). Bottlenose dolphins exhibited the highest kidney concentrations (6.26 mg/kg), followed by striped (5.43 mg/kg) and Risso’s dolphins (3.52 mg/kg). This pattern parallels hepatic Cu distribution. No significant differences were found across age or sex in bottlenose dolphins, though adult females showed the broadest range (0.001–31.3 mg/kg). In striped dolphins, males had slightly higher levels (6.05 mg/kg) than females (4.56 mg/kg). Compared with external populations, renal Cu levels in bottlenose dolphins matched those in the Ligurian Sea [20] but were lower than those from Texas (12 mg/kg) and southern Australia (7.35 mg/kg) [12,46]. Interestingly, kidney Cu in striped dolphins was consistently higher than in previous Mediterranean reports, suggesting possible regional differences in exposure or retention (see Table 5).
Lung: The highest pulmonary Cu level (61.9 mg/kg) was found in a young male bottlenose dolphin (mean: 2.88 mg/kg). Adult males, juveniles, and adult females showed similar values (~2–3 mg/kg). In contrast, striped and Risso’s dolphins had markedly lower lung Cu levels (mean: ~1.4–1.5 mg/kg). Bottlenose dolphin lung values were comparable to those from Corsica (2.25 mg/kg) [44] but exceeded most other Mediterranean values, generally <1 mg/kg, except in the Ligurian Sea (1.41 mg/kg) [20], southern Italy (1.20 mg/kg) [48], and central Italy (1.09 mg/kg) [45].
Spleen, skin and adipose tissue: Few data exist for these tissues in the Mediterranean. In this study, spleen Cu concentrations across all species exceeded previous records. In skin, bottlenose dolphins averaged 2.54 mg/kg (range: 0.17–15.4 mg/kg), exceeding values from Corsica (0.85 mg/kg) [44], Israel (1.1 mg/kg) [22], and comparable to Portugal (2.13 mg/kg) [49], but lower than the peak average reported in Israel (4.73 mg/kg) [21]. Striped dolphin skin Cu levels (1.99 mg/kg) also aligned with Atlantic data from Portugal (1.95 mg/kg) [49] and exceeded most Mediterranean values, aside from Israel (2.1 mg/kg) [22]. In adipose tissue, bottlenose dolphins (1.47 mg/kg) showed higher Cu concentrations than previously reported in Israel (0.36 mg/kg) [22]. Striped dolphins, however, exhibited lower fat Cu levels (0.49 mg/kg) than those reported in most other Mediterranean studies [19,22,42,48].

4.1.Age-Related Patterns

A pronounced age-related trend was observed. A newborn bottlenose dolphin from Apulia, Italy, showed an exceptionally high hepatic Cu concentration (80.65 mg/kg), in contrast to a juvenile (19.34 mg/kg) and an adult female (8.29 mg/kg) from the same region [50]. This decline with age mirrors patterns reported in striped dolphins from the French coast [51], suggesting a consistent trend across species and regions. Elevated hepatic Cu in neonates is well-documented and attributed to transplacental transfer, coupled with limited excretory ability during early development [8,52,53,54,55,56]. This accumulation may be facilitated by high foetal metallothionein expression, which aids Cu storage during gestation [57]. Since mammalian milk contains minimal Cu [58], prenatal accumulation is essential to support postnatal growth. Importantly, copper regulation in cetaceans is considered tightly maintained, with variation occurring primarily during early developmental stages [59,60,61].

4.1.Dietary Influence and Bioaccumulation:

Diet plays a central role in Cu accumulation [19,21,45,46]. Risso’s dolphins off Israel showed liver Cu levels reflecting high Cu in their preferred prey, cuttlefish (Sepia officinalis)—up to 1450 mg/kg [21]. Similarly, cephalopods from the stomachs of Corsican striped and Risso’s dolphins were Cu-rich [44]. In the Adriatic, bottlenose dolphins primarily consumed fish (e.g., Conger conger, Merluccius merluccius, Pagellus erythrinus) and squid (Loligo vulgaris)—recognized Cu sources in the region [62].

4.1.Toxicological Implications

Establishing reference values is essential to assess potential Cu toxicity. Law et al. [63] proposed a hepatic Cu range of 3–30 μg/g wet weight as physiologically regulated. Concentrations exceeding this range suggest impaired homeostatic control. In this study, several individuals—particularly young dolphins—exceeded the upper threshold, as illustrated in Figure 3, underscoring the need for further monitoring of vulnerable age groups and polluted habitats.
Table Reported copper (Cu) concentrations (mg kg-1 wet weight) in dolphin species from various geographic regions worldwide.
Table Reported copper (Cu) concentrations (mg kg-1 wet weight) in dolphin species from various geographic regions worldwide.
Species (number of individuals) muscle (mg/kg) kidneys
(mg/kg)
liver (mg/kg) skin
(mg/kg)
adipose tisue (mg/kg) Location/
period
Reference
Tursiops truncatus (2) 7 British Isles/1988. – 1989. [63]
Tursiops truncatus (2) 1.78* 5* 1.48* 0.78* Atlantic Ocean – Portugal / 1998. – 2002.[68]
Tursiops truncatus (16) 3.78* 4.35* 2.13* 0.78* Atlantic Ocean – Portugal / 2001. – 2008.[49]
Tursiops truncatus)(3) 6.91 Hawaiian Islands/1997. – 2013.[84]
Tursiops truncatus (2) 7.35 13.25 Australia / 1995. – 1996.[10]
Tursiops truncatus (34) 10.78 South Carolina / 1997.[33]
Tursiops truncatus (1) 2.5 1 West Wales / 1988[69]
Tursiops truncatus (11) 21.18 South Australia /1998. – 2004.
[12]
Tursiops truncatus (30) 12* 17.75* Texas / 1991. – 1992.[46]
Tursiops truncatus (13) 4* 6.25* Florida / 1991. – 1992.[46]
Tursiops truncatus (2) 4.570 Brazil / 2001. – 2010.[90]
Tursiops truncatus (25) 1.626 4.704 11.982 Atlantic Ocean / 2005. – 2013.[47]
Tursiops truncatus (15) 8.9* 0.81* South Carolina /2000. – 2008.[6]
Tursiops truncatus (75) 0.4* Florida / 2003. – 2005.[78]
Stenella coeruleoalba (2) 11 British Isles /1988. – 1989.[10]
Stenella coeruleoalba (19) 3.75* 6.25* 1.95* 0.6* Atlantic Ocean – Portugal / 2001. – 2008.[49]
Stenella coeruleoalba (1) 5.4 Coast of England and Wales / 1994. – 1996.[10]
Stenella coeruleoalba (6) 8.63 Hawaiian Islands /1997. – 2013.[84]
Stenella coeruleoalba (1) 2.1 0.52 West Wales / 1988.[69]
Stenella coeruleoalba (59) 2.04 3.13 8.09 Japan / 1977. – 1980.[66]
Stenella coeruleoalba (33) 8.45* Japan / 1977. – 1982.[8]
Stenella coeruleoalba (1) 8.35* Brazilian coast /1997. – 1999.[5]
*samples converted from dry weight to wet weight.

4.Zinc

4.2.Zinc Concentration Across Tissues

Liver: Hepatic Zn concentrations in bottlenose dolphins aligned with those reported in individuals from the Ligurian Sea [20] and the Italian coast [45]. Striped dolphins showed hepatic Zn levels comparable to those reported from the Italian [45] and Israeli coasts [42], with mean concentrations up to twice as high as in dolphins from southern Italy [19], the French coast [64], and the Corsican coast [44]. The concentrations in all three species examined in this study are consistent with values reported for various global locations, including the Atlantic coast of Portugal, Florida, Hawaii, South Carolina, Texas, Japan, and England.
Kidney: In kidney tissue, bottlenose and striped dolphins exhibited broader Zn concentration ranges than those documented in the Mediterranean. In bottlenose dolphins, renal Zn concentrations ranged from 0.03 to 92 mg/kg, while in striped dolphins, concentrations ranged from 23.1 to 109.8 mg/kg. In the Mediterranean region, the widest concentration range was observed in dolphins from the Israeli coast, where bottlenose dolphins had renal Zn values ranging from 13 to 30 mg/kg and striped dolphins from 17 to 51 mg/kg [22]. In the French coast, striped dolphins had a mean kidney Zn concentration of 34.88 mg/kg [64], aligning with this study’s mean of 36.3 mg/kg. Zn concentrations in Risso’s dolphins were consistent with findings from Israel [21,43], Italy [45], and Corsica [44].
Muscle and spleen: Muscle tissue of bottlenose dolphins showed a mean Zn concentration of 23.7 mg/kg, similar to individuals from the Ligurian Sea [20] and the Israeli coast [22,41], but approximately twice the levels found in individuals from the Italian [45] and Corsican coasts [44]. In striped dolphins, Zn concentrations in muscle ranged from 6.49 to 38.1 mg/kg, values that match those observed in the Ligurian Sea [65], Israeli coast [42], and French coast [51]. The highest range in the Mediterranean was recorded in striped dolphins from the Israeli coast (8.5–60.1 mg/kg, mean 23.2 mg/kg) [42]. Lower values were found in individuals from the Corsican coast (6 mg/kg) [44]. In Risso’s dolphins, muscle Zn levels reached 25.0 mg/kg in this study, double the values found in Italian specimens (10.25 mg/kg) [45], but lower than those reported in Israeli dolphins (68.8 mg/kg) [21].
In the spleen, Zn concentrations in striped dolphins were consistent with those reported for the Ligurian Sea [20,65] and Japan [66].

4.2.Factors Affecting Zinc Concentrations

Zn predominantly accumulates in the skin of marine mammals, a pattern consistent with its physiological roles in wound healing and photoprotection from ultraviolet radiation [67]. Aubail et al. [49] demonstrated that Zn concentrations are significantly higher in the upper adipose layer compared to the middle and deepest layers, further supporting its role in surface-level protection.
When comparing Zn concentrations in the skin of all three dolphin species, only individuals from the Israeli coast exhibited significantly higher values compared to other Mediterranean locations (Table 8). Zn concentrations in skin tissues from dolphins in this study were similar to those found in dolphins elsewhere (Table 9), with particularly high mean concentrations recorded in bottlenose dolphins (553.3 mg/kg; range: 336.3–1202 mg/kg) and striped dolphins (526 mg/kg; range: 252.3–1095 mg/kg) from the Portuguese Atlantic coast [49]. However, skin Zn levels in bottlenose dolphins from the same location but during a different period were much lower (mean: 45 mg/kg; range: 20–55.5 mg/kg) [68]. Similar temporal variations were observed in adipose tissue, where bottlenose dolphins had mean Zn values of 5.8 mg/kg between 1998–2002 and 52.5 mg/kg during 2001–2008 [49,68].
In the adipose tissue of bottlenose and striped dolphins from this study, Zn concentrations exceeded those recorded in other parts of the Mediterranean (Table 8). Additionally, Zn levels varied based on age and sex. Juvenile bottlenose dolphins exhibited higher concentrations than adults, with females showing mean levels of 17.5 mg/kg and males 16.5 mg/kg, compared to 10.8 mg/kg in adult females and 9.83 mg/kg in adult males. Comparable values were found in dolphins from West Wales and the Portuguese Atlantic coast [49,69].

4.2.Zinc Concentrations and Health Status

Elevated hepatic Zn concentrations have been linked to disease states in cetaceans. For instance, in coastal harbor porpoises (Phocoena phocoena), individuals that died from infectious diseases had significantly higher Zn levels in liver tissue than those that succumbed to physical trauma [70]. This suggests a possible redistribution or retention of Zn in response to infection, potentially due to its role in immune function.
Table Reported zinc (Zn) concentrations (mg kg-1 wet weight) in dolphin species from various regions of the Mediterranean Sea.
Table Reported zinc (Zn) concentrations (mg kg-1 wet weight) in dolphin species from various regions of the Mediterranean Sea.
Species(number of individuals) muscle
(mg/kg)
kidneys
(mg/kg)
liver
(mg/kg)
spleen
(mg/kg)
lungs
(mg/kg)
skin
(mg/kg)
adipose tisue (mg/kg) Location/
period
Reference
Tursiops truncatus (2) 21.5* 28.25* 66.38* 17.5* 21.75* Ligurian sea /1999. – 2002.[20]
Tursiops truncatus (5) 16.7* 23.81* 29.35* French coast /1978. – 1990.[64]
Tursiops truncatus (17) 21 18 44 432 10 Israel / 1993. – 2001.[22]
Tursiops truncatus (17) 20.8 24.9 49.5 Israel / 2004. – 2006.[41]
Tursiops truncatus (12) 12.363* 22.54* 62.41* 31.39* Italian coast /2000. – 2009.[45]
Tursiops truncatus (7) 12.25* 21* 30.75* 24.25* 116.75* Corsica coast /1993. – 1998.[44]
Stenella coeruleoalba (6) 7.15 15.22 24.65 22.65 5.09 South Italy / 1987. [19]
Stenella coeruleoalba (10) 12.88 27.71 55.22 28.53 17.03 South Italy / 1991. [48]
Stenella coeruleoalba (12) 10.591* 24.18* 58.745* 26.33* Italian coast /2000. – 2009.[45]
Stenella coeruleoalba (3) 12.92* 27.92* 53.92* 20.25* 27.75* Ligurian sea /1990. – 2001.[20]
Stenella coeruleoalba (2) 8.5* 34.88* 28.13* French coast/1990. [64]
Stenella coeruleoalba (6) 16 32 48 394 17 Israel /1993. – 2001.
[22]
Stenella coeruleoalba (55) 9.475* 23.55* 35.975* 26* Mediterannean Sea France / 2002. – 2009
[51]
Stenella coeruleoalba (7) 23.2 30.9 69 6.4 Israel coast / 2006. – 2011. [42]
Stenella coeruleoalba (3) 11* 26* 34.5* 24.5* 30.5* Ligurian sea /1986. – 1990.[65]
Stenella coeruleoalba (39) 16.15* 25.46* 46.43* 169.185* Mediterannean Sea – Spain /2004. – 2009.
[85]
Stenella coeruleoalba (12 – 55) 9.365* median 25.05* median 27.765* median 118.8* median Tyrrhenian and Ligurian Sea / 1987. – 1994.[73]
Stenella coeruleoalba (12 – 55) 9.4575* 28.41* 45.1135* Strait of Gibraltar / 2012. – 2013.[77]
Stenella coeruleoalba (3) 6* 24.25* 28* 28.75* 94* Corsica coast /1993. – 1998.[44]
Grampus griseus (3) 17.95* 22.5* 31* 13.875* 11.5* Ligurian sea /1992. – 2004.[20]
Grampus griseus (3) 68.8 32 36.2 1087 12.8 Israel / 1993. – 1999.
[21]
Grampus griseus (1) 18.2 24.2 53.51 10 Israel coast / 2010. [43]
Grampus griseus (2) 10.253* 24.604* 30.54* 11.26* Italian coast /2000. – 2009.[45]
Grampus griseus (3) 22* 21.75* 26.75* 19.25* 147* Corsica coast /1993. – 1998.[44]
*samples converted from dry weight to wet weight.
Table Reported zinc (Zn) concentrations (mg kg-1 wet weight) in dolphin species from various geographic regions worldwide.
Table Reported zinc (Zn) concentrations (mg kg-1 wet weight) in dolphin species from various geographic regions worldwide.
Species (number of individuals)) muscle (mg/kg) kidneys
(mg/kg)
liver (mg/kg) spleen (mg/kg) adipose tisue (mg/kg) skin
(mg/kg)
adipose tisue (mg/kg) Location/
period
Reference
Tursiops truncatus (2) 37 British Isles/1988. – 1989.[63]
Tursiops truncatus (2) 11.3* 38* 45* 5.8* Atlantic Ocean – Portugal / 1998. – 2002.[68]
Tursiops truncatus (16) 20.9* 42.8* 553.3* 52.5* Atlantic Ocean – Portugal / 2001. – 2008.[49]
Tursiops truncatus (3) 70.85 Hawaiian Islands
/ 1997.– 2013. [84]
Tursiops truncatus (2) 33 92.5 Australia / 1995. – 1996.[10]
Tursiops truncatus (34) 56.8 South Carolina / 1997.[33]
Tursiops truncatus (1) 11 20 West Wales /1988.[69]
Tursiops truncatus (11) 40.2 South Australia /1998. – 2004.[12]
Tursiops truncatus (13) 24* 72.5** Texas / 1991. – 1992.[46]
Tursiops truncatus (13) 19.5* 29.5* Florida / 1991. – 1992.[46]
Tursiops truncatus (2) 58.59 Brazil / 2001. – 2010.[90]
Tursiops truncatus (25) 12.6 25.987 52.929 Atlantic Ocean – Portugal/2005. – 2013.[47]
Tursiops truncatus (15) 58* 213.38* South Carolina / 2000. – 2008. [6]
Tursiops truncatus (74) 171.75* Florida / 2003. – 2005.[78]
Stenella coeruleoalba (2) 55.5 British Isles /1988. – 1989.[10]
Stenella coeruleoalba)(19) 27.03* 45* 526* 35.5* Atlantic Ocean – Portugal / 2001. – 2008.[49]
Stenella coeruleoalba (1) 37 Coast of England and Wales / 1994. – 1996. [10]
Stenella coeruleoalba (6) 46.56 Hawaiian Islands / 1997. – 2013.[84]
Stenella coeruleoalba (1) 11 16.5 West Wales / 1988.[69]
Stenella coeruleoalba (76) 11.4 30.0 43.7 21.5 20.7 227 5.66 Japan / 1977. – 1980.[86]
Stenella coeruleoalba (33) 32.25* Japan / 1977. – 1982.[8]
Stenella coeruleoalba (1) 71.75* Brazilian coast /1997. – 1999.[5]
Stenella coeruleoalba (59) 11.4 30.1 44.4 Japan/1977. – 1980.[66]
*samples converted from dry weight to wet weight.

4.Limit Concentrations of Copper and Zinc

Analysis of hepatic copper (Cu) and zinc (Zn) concentrations in 16 dolphin samples revealed values outside the physiologically regulated homeostatic ranges (Cu: 3–30 mg/kg; Zn: 20–100 mg/kg) [63]. Specifically, elevated or reduced concentrations were identified in 14 bottlenose dolphins (Tursiops truncatus)—representing 8.9% of the total bottlenose dolphin samples—and in 2 striped dolphins (Stenella coeruleoalba), comprising 8% of that species group.
Among the 14 bottlenose dolphins with values outside the normal range, 6 were males (42.9%) and 8 were females (57.1%). Both striped dolphins exhibiting abnormal values were males. In 12 of the 16 individuals—11 bottlenose dolphins and 1 striped dolphin—concentrations of both Cu and Zn exceeded the upper critical threshold. These 12 individuals were evenly distributed between sexes: 6 males and 6 females. All female dolphins in this subset were bottlenose dolphins; among the males, 5 were bottlenose and 1 was a striped dolphin. Notably, all 12 individuals exhibiting supra-physiological concentrations of both metals were found in the southern Adriatic Sea, suggesting potential spatial correlation with localized anthropogenic pollution sources, as previously reported [63].
Of the remaining four individuals, three dolphins (two bottlenose and one striped) exhibited hepatic Cu and Zn concentrations below the critical threshold values (Cu < 3 mg/kg; Zn < 20 mg/kg). One bottlenose dolphin displayed the lowest Cu concentration measured in this study (1.014 mg/kg), while simultaneously exhibiting the highest hepatic Zn concentration recorded (259.81 mg/kg), greatly exceeding the upper homeostatic range.
A positive correlation was observed between Cu and Zn concentrations in the liver, likely attributable to their co-binding affinity for metallothionein proteins [71,72,73]. Similar patterns were reported in a study on mass mortality events in Caspian seals (Phoca caspica), where certain individuals demonstrated elevated hepatic Zn levels concurrent with abnormally low Cu concentrations [74]. One potential mechanism involves dietary interference, whereby excessive Zn or iron intake disrupts intestinal Cu absorption through competitive inhibition at the mucosal level, resulting in hepatic Cu depletion [75].

4.Influnece of Spatio-Temporal Factors, Sex, Age and Morphometric Parameters on Trace Element Concentrations

Regression analysis revealed a statistically significant temporal trend in the concentrations of copper (Cu), manganese (Mn), and zinc (Zn) in dolphin tissues over the study period, indicating a general decrease in all three elements across years. These findings are consistent with the report by Zhou et al. [76], who observed temporal variations in trace element accumulation, including an increase in Cu concentrations in the muscle of common dolphins (Delphinus delphis) from the Atlantic coast of Portugal between 1995 and 1997, followed by a decrease in During that period, decreases in hepatic Zn and Cu, as well as renal Cu concentrations, were also documented. Mn levels in the liver fluctuated, while Zn concentrations in the kidney and muscle remained relatively stable [76]. Conversely, studies on the same species from the French Atlantic coast reported no significant differences in Cr, Cu, or Zn concentrations between 1977–1980 and 1984–1990 [64].
Data from the French Mediterranean coast indicated stable Cu and Zn concentrations in the tissues of striped dolphins between 2002 and 2009 [51]. Similarly, in the Eastern Mediterranean (Levantine Basin), no significant temporal variations in Cu, Mn, or Zn concentrations were detected in bottlenose dolphins between 2004–2006 [41] or 1994–2001 [22], nor in striped dolphins from Israel between 2001 and 2011 [42]. The exception was hepatic Mn, which was significantly higher in 2006–2011 compared to These findings support the notion that trace element pollution in the Mediterranean has either stabilized or declined over the past decade. However, as Wafo et al. [51] emphasized, a reduction in environmental inputs does not immediately translate into decreased concentrations within marine organisms due to the persistence and bioaccumulation properties of trace elements. A longer temporal frame of approximately two decades, as considered in this study, reveals a clearer trend of declining concentrations.
In contrast, a comparative study of hepatic Cu concentrations in striped dolphins from the western Mediterranean and the Atlantic Ocean reported no significant differences [77]. Regional variations in cobalt concentrations in the skin of bottlenose dolphins from Florida and South Carolina were documented by Stavros et al. [78], highlighting spatial variability. Although anthropogenic emissions of trace elements are lower in the Southern Hemisphere [79], higher concentrations have been observed in marine organisms from this region, including areas like the Southern Ocean and the South Pole, which are generally regarded as less contaminated [80]. These discrepancies suggest that tissue concentrations of trace elements do not necessarily mirror environmental contamination levels. Instead, the trace element content in marine mammal tissues is more strongly influenced by factors such as bioavailability and dietary intake [81,82,83].
Sex-related differences in trace element concentrations were not detected in this study for Cu or Zn in any tissue. However, consistent with earlier research, Mn concentrations in the kidney were significantly lower in females compared to males (p = 0.008, b = 0.850), a trend also noted by Monteiro et al. [59]. Other authors reported no influence of sex on trace element levels [77,84,76,85].
A significant correlation between age and trace element concentration was observed for Cu in the lung (p = 0.034, b = 0.968), with levels declining as individuals aged. Higher concentrations of Cu and Zn were found in juveniles, including foetuses and neonates, compared to adults. These findings align with previously published studies [5,6,51,66,78,84] and support the understanding that essential trace elements accumulate during periods of rapid tissue development and cellular differentiation. Elevated Cu and Zn levels in young individuals may reflect both increased physiological demand and limited excretion, particularly in foetal tissues [2].
Body length and mass significantly influenced the concentration of trace elements in various tissues, although no consistent pattern was evident across all elements. Specifically, Cu concentrations in the kidney and adipose tissue, and Mn in the kidney (p = 0.013, b = 0.998), liver, and adipose tissue, as well as Zn in the kidney, decreased with increasing body weight. Conversely, Cu concentrations in the kidney and adipose tissue increased with greater body length (p = 0.046, b = 1.018). These relationships suggest that metabolic regulation and transfer of essential elements have a more pronounced impact on trace element content in tissues than chronological age or cumulative environmental exposure [86].

4.Relationships Between Trace Element Concentrations

Numerous studies have reported positive correlations in the concentrations of identical trace elements across different tissues of marine mammals. Consistent with these findings, the present study demonstrated uniformly positive correlations between tissues for all examined elements, corroborating results from previous investigations [22,49,87].
Copper (Cu) and zinc (Zn) are essential trace elements involved in the structure and catalytic activity of numerous metalloenzymes. Their homeostasis is regulated by metallothioneins, a class of low-molecular-weight, cysteine-rich proteins with high binding affinity for divalent metal ions [88]. Given this shared regulatory mechanism, an antagonistic relationship between Cu and Zn might be expected, as suggested by earlier literature [89]. However, in this study, as in that of Lemos et al. [90], a statistically significant positive correlation was observed between Cu and Zn concentrations.
This finding suggests the presence of additional, yet unidentified, mechanisms that modulate the relationship between Cu and Zn in cetacean tissues. The observed correlations are likely mediated by complex interactions involving both biotic factors (e.g., diet, age, sex, physiological condition) and abiotic variables (e.g., geographic location, environmental contamination) rather than a direct biochemical antagonism [91-93]. Consequently, further targeted studies are necessary to elucidate the nature of these interactions and their potential physiological or ecological implications

Conclusions

This study assessed copper (Cu) and zinc (Zn) concentrations in 190 samples from stranded dolphins collected along the Croatian Adriatic coast between 1995 and When compared with data from other regions of the Mediterranean Sea, the concentrations of Cu and Zn in these specimens were generally elevated. Notably, Zn levels in the skin were consistent with existing findings that highlight the skin as a preferential site of Zn accumulation in marine mammals.
In 16 individuals, hepatic concentrations of Cu and Zn were found to be outside the homeostatically regulated range. Among these, 12 individuals—located exclusively in the southern Adriatic—exhibited Cu and Zn concentrations above the upper critical thresholds, suggesting localized environmental contamination as a likely source of exposure. These findings reinforce the utility of liver tissue as a biomarker of chronic trace metal exposure in marine mammals.
Temporal analysis revealed a statistically significant decline in trace element concentrations over the nearly two-decade study period. Among the various tissue types, liver and kidney exhibited the strongest positive correlations between Cu and Zn concentrations. This observation challenges the widely held notion of a strictly antagonistic relationship between these elements and instead suggests a possible synergistic or co-regulatory role in metabolic processes.
These results contribute important baseline data on trace element concentrations in three dolphin species from the Adriatic Sea. The study provides valuable insights into spatial, temporal, and biological factors influencing metal bioaccumulation in marine top predators. These findings have relevance for environmental monitoring and may inform future conservation strategies aimed at protecting cetacean populations in the Adriatic Sea.

Author Contributions

Conceptualization, M.Đ and N.B.; methodology, M.S. and M.Đ.; software, T.B. M.Ð. and M.B.; validation, M.S. and M.Ð.; formal analysis, M.Đ.; investigation, T.G. and M.Đ. (Martina Đuras); data curation, M.Đ., T.G., M.Đ. (Martina Đuras); writing—original draft preparation, M.Đ. and N.B.; writing—review and editing, T.B. and M.Đ (Martina Đuras).; visualization, M.S. and M.Ð.;supervision, M.Đ. All authors have read and agreed to the published version of the manuscript.

Funding

This research received no external funding.

Data Availability Statement

The original contributions presented in this study are included in the article. Further inquiries can be directed to the corresponding author.

Conflicts of Interest

The authors declare no conflicts of interest.

References

  1. Nriagu, J.O. A History of Global Metal Pollution. Science 1996, 272(5259), 223–224. [Google Scholar] [CrossRef]
  2. Das, K.; Debacker, V.; Pillet, S.; Bouquegneau, J. M. Heavy Metals in Marine Mammals. In Toxicology of Marine Mammals, 1st ed.; Vos, J.V., Bossart, G.D., Fournier, M., O’Shea, T., Eds.; Taylor and Francis Publishers: Washington, D.C., USA, 2003; Volume 1. [Google Scholar] [CrossRef]
  3. Roy, S.P. Overview of heavy metals and aquatic environment with notes on their recovery. The Ecoscan 2010, 4(2&3), 235–240. [Google Scholar]
  4. Apostoli, P. Elements in Environmental and Occupational Medicine. J. Chromatogr. B 2002, 778(1–2), 63–97. [Google Scholar] [CrossRef] [PubMed]
  5. Kunito, T.; Nakamura, S.; Ikemoto, T.; Anan, Y.; Kubota, R.; Tanabe, S.; Rosas, F.C.W.; Fillmann, G.; Readman, J.W. Concentration and Subcellular Distribution of Trace Elements in Liver of Small Cetaceans Incidentally Caught along the Brazilian Coast. Mar. Pollut. Bull. 2004, 49(7), 574–587. [Google Scholar] [CrossRef]
  6. Stavros, H.C.; Stolen, M.; Durden, W.N.; McFee, W.; Bossart, G.D.; Fair, P.A. Correlation and Toxicological Inference of Trace Elements in Tissues from Stranded and Free-Ranging Bottlenose Dolphins (Tursiops truncatus). Chemosphere 2011, 82(11), 1649–1661. [Google Scholar] [CrossRef]
  7. Bossart, G.D. Marine Mammals as Sentinel Species for Oceans and Human Health. Vet. Pathol. 2011, 48(3), 676–690. [Google Scholar] [CrossRef]
  8. Agusa, T.; Nomura, K.; Kunito, T.; Anan, Y.; Iwata, H.; Miyazaki, N.; Tatsukawa, R.; Tanabe, S. Interelement Relationships and Age-Related Variation of Trace Element Concentrations in Liver of Striped Dolphins (Stenella coeruleoalba) from Japanese Coastal Waters. Mar. Pollut. Bull. 2008, 57(6–12), 807–815. [Google Scholar] [CrossRef]
  9. Yasuda, Y.; Horai, S.; Itai, T.; Isobe, T.; Matsuishi, T.; Yamada, T.; Tajima, Y.; Takahashi, S.; Tanabe, S. A Comparative Study on Temporal Trends of Trace Elements in Harbor Porpoise (Phocoena phocoena) from Coastal Waters of North Japan. Interdiscip. Stud. Environ. Chem. 2012, 6, 151–159. [Google Scholar]
  10. Law, R.J.; Morris, R.J.; Allchin, C.R.; Jones, B.R.; Nicholson, M.D. Metals and Organochlorines in Small Cetaceans Stranded on the East Coast of Australia. Mar. Pollut. Bull. 2003, 46(9), 1206–1211. [Google Scholar] [CrossRef]
  11. Butterfield, N.; Gaylard, S. The Heavy Metal Status of South Australian Dolphins: An Overview. Environment Protection Authority, Adelaide, 2005.
  12. Lavery, T.J.; Butterfield, N.; Kemper, C.M.; Reid, R.J.; Sanderson, K. Metals and Selenium in the Liver and Bone of Three Dolphin Species from South Australia, 1988–Sci. Total Environ. 2008, 390(1), 77–85. [Google Scholar] [CrossRef]
  13. Lavery, T.J.; Kemper, C.M.; Sanderson, K.; Schultz, C.G.; Coyle, P.; Mitchell, J.G.; Seuront, L. Heavy Metal Toxicity of Kidney and Bone Tissues in South Australian Adult Bottlenose Dolphins (Tursiops aduncus). Mar. Environ. Res. 2009, 67(1), 1–7. [Google Scholar] [CrossRef] [PubMed]
  14. Stockin, K.A.; Law, R.J.; Duignan, P.J.; Jones, G.W.; Porter, L.; Mirimin, L.; Meynier, L.; Orams, M.B. Trace Elements, PCBs and Organochlorine Pesticides in New Zealand Common Dolphins (Delphinus sp.). Sci. Total Environ. 2007; 387, 1–3, 333–345. [Google Scholar] [CrossRef]
  15. Stavros, H.C., Bossart, G.D., Hulsey, T.C., & Fair, P.A. (2008). Trace element concentrations in blood of free-ranging bottlenose dolphins (Tursiops truncatus): influence of age, sex and location. Mar. Pollut. Bull. 56(2), 371–379. [CrossRef]
  16. Cáceres-Saez, I.; Ribeiro Guevara, S.; Dellabianca, N.A.; Goodall, R.N.; Cappozzo, H.L. Heavy Metals and Essential Elements in Commerson's Dolphins (Cephalorhynchus c. commersonii) from the Southwestern South Atlantic Ocean. Environ. Monit. Assess. 2013, 185(7), 5375–5386. [Google Scholar] [CrossRef]
  17. Frodello, J.P.; Viale, D.; Marchand, B. Metal Concentrations in the Milk and Tissues of a Nursing Tursiops truncatus Female. Mar. Pollut. Bull. 2002, 44(6), 551–554. [Google Scholar] [CrossRef] [PubMed]
  18. Lahaye, V.; Bustamante, P.; Law, R. J.; Learmonth, J.A.; Santos, M.B.; Boon, J.P.; Rogan, E.; Dabin, W.; Addink, M.; López, A.; Zuur, A.; Pierce, G.J.; Caurant, F. Biological and Ecological Factors Related to Trace Element Levels in Harbour Porpoises (Phocoena phocoena) from European Waters. Mar. Environ. Res. 2007, 64(3), 247–266. [Google Scholar] [CrossRef] [PubMed]
  19. Cardellicchio, N.; Giandomenico, S.; Ragone, P.; Di Leo, A. Tissue Distribution of Metals in Striped Dolphins (Stenella coeruleoalba) from the Apulian Coasts, Southern Italy. Mar. Environ. Res. 2000, 49(1), 55–66. [Google Scholar] [CrossRef]
  20. Capelli, R.; Das, K.; Pellegrini, R.D.; Drava, G.; Lepoint, G.; Miglio, C.; Minganti, V.; Poggi, R. Distribution of Trace Elements in Organs of Six Species of Cetaceans from the Ligurian Sea (Mediterranean), and the Relationship with Stable Carbon and Nitrogen Ratios. Sci. Total Environ. 2008, 390(2–3), 569–578. [Google Scholar] [CrossRef]
  21. Shoham-Frider, E.; Amiel, S.; Roditi-Elasar, M.; Kress, N. Risso's Dolphin (Grampus griseus) Stranding on the Coast of Israel (Eastern Mediterranean). Autopsy Results and Trace Metal Concentrations. Sci. Total Environ. 2002, 295(1–3), 157–166. [Google Scholar] [CrossRef]
  22. Roditi-Elasar, M.; Kerem, D.; Hornung, H.; Kress, N.; Shoham-Frider, E.; Goffman, O.; Spanier, E. Heavy metal levels in bottlenose and striped dolphins off the Mediterranean coast of Israel. Mar. Pollut. Bull. 2003, 46(4), 503–512. [Google Scholar] [CrossRef]
  23. Das, K.; Siebert, U.; Fontaine, M.; Jauniaux, T.; Holsbeek, L.; Bouquegneau, J.M. Ecological and Pathological Factors Related to Trace Metal Concentrations in Harbour Porpoises (Phocoena phocoena) from the North Sea and Adjacent Areas. Mar. Ecol. Prog. Ser. 2004, 281, 283–295. [Google Scholar] [CrossRef]
  24. Galov, A.; Lauc, G.; Nikolić, N.; Šatović, Z.; Gomerčić, T.; Đuras Gomerčić, M.; Kocijan, I.; Šeol, B.; Gomerčić, H. Records and Genetic Diversity of Striped Dolphins (Stenella coeruleoalba) from the Croatian Coast of the Adriatic Sea. Mar. Biodivers. Rec. 2009, 2, 1–6. [Google Scholar] [CrossRef]
  25. Pompe-Gotal, J.; Srebočan, E.; Gomerčić, H.; Prevendar Crnić, A. Mercury Concentrations in the Tissues of Bottlenose Dolphins (Tursiops truncatus) and Striped Dolphins (Stenella coeruleoalba) Stranded on the Croatian Adriatic Coast. Vet. Med.-Czech 2009, 54(12), 598–604. [Google Scholar] [CrossRef]
  26. Bilandžić, N.; Sedak, M.; Ðokić, M.; Ðuras Gomerčić, M.; Gomerčić, T.; Zadravec, M.; Benić, M.; Prevendar Crnić, A. Toxic Element Concentrations in the Bottlenose (Tursiops truncatus), Striped (Stenella coeruleoalba), and Risso's (Grampus griseus) Dolphins Stranded in Eastern Adriatic Sea. Bull. Environ. Contam. Toxicol. 2012, 89(3), 467–473. [Google Scholar] [CrossRef]
  27. Šuran, J.; Đuras, M.; Gomerčić, T.; Bilandžić, N.; Prevendar Crnić, A. Cadmium and Lead Concentrations in the Tissues of Bottlenose Dolphins (Tursiops truncatus) and Striped Dolphins (Stenella coeruleoalba) Stranded on the Croatian Adriatic Coast. Vet. Arhiv 2015, 85, 677–688. [Google Scholar]
  28. Bilandžić, N.; Sedak, M.; Đokić, M.; Đuras, M.; Gomerčić, T.; Benić, M.; Šimić, B. Concentration of Mercury and Selenium in Tissues of Five Cetacean Species from Croatian Coastal Waters. Arch. Biol. Sci. 2015, 67(4), 1377–1389. [Google Scholar] [CrossRef]
  29. Sedak, M.; Bilandžić, N.; Đokić, M.; Đuras, M.; Gomerčić, T.; Benić, M. Body Burdens and Distribution of Mercury and Selenium in Bottlenose, Striped and Risso's Dolphins along the Adriatic Coast: A 20-Year Retrospective. Mar. Pollut. Bull. 2022, 185, 114298. [Google Scholar] [CrossRef]
  30. Sedak, M.; Đokić, M.; Bilandžić, N.; Gomerčić, T.; Benić, M.; Zadravec, M.; Đuras, M. Cetacean Species Found Stranded along Croatian Coast of the Adriatic Sea as Bioindicators of Non-Essential Trace Elements in the Environment. Aquat. Toxicol. 2025, 279, 107206. [Google Scholar] [CrossRef]
  31. Bilandžić, N.; Đokić, M.; Sedak, M.; Đuras, M.; Gomerčić, T.; Benić, M. Copper Levels in Tissues of Dolphins Tursiops truncatus, Stenella coeruleoalba and Grampus griseus from the Croatian Adriatic Sea. Bull. Environ. Contam. Toxicol. 2016, 97, 367–373. [Google Scholar] [CrossRef]
  32. Đokić, M.; Bilandžić, N.; Sedak, M.; Đuras, M.; Gomerčić, T.; Benić, M.; Bolanča, T. Manganese Concentrations in Tissues and Skin of Three Dolphin Species Stranded in the Croatian Waters of the Adriatic Sea from 1995 to Bull. Environ. Contam. Toxicol. 2018, 100, 317–323. [Google Scholar] [CrossRef] [PubMed]
  33. Beck, K.M.; Fair, P.; McFee, W.; Wolf, D. Heavy Metals in Livers of Bottlenose Dolphins Stranded along the South Carolina Coast. Mar. Pollut. Bull. 1997, 34, 734–739. [Google Scholar] [CrossRef]
  34. Slooten, E. Age, Growth, and Reproduction in Hector's Dolphins. Can. J. Zool. 1991, 69(6), 1689–1700. [Google Scholar] [CrossRef]
  35. Hohn, A.A.; Scott, M.D.; Wells, R.S.; Sweeney, J.C.; Irvine, A.B. Growth Layers in Teeth from Known-Age, Free-Ranging Bottlenose Dolphins. Mar. Mammal Sci. 1989, 5, 315–342. [Google Scholar] [CrossRef]
  36. Andre, J.; Boudou, A.; Ribeyre, F.; Bernhard, M. Comparative Study of Mercury Accumulation in Dolphins (Stenella coeruleoalba) from French Atlantic and Mediterranean Coasts. Sci. Total Environ. 1991, 104(3), 191–209. [Google Scholar] [CrossRef] [PubMed]
  37. Becker, P.R.; Mackey, E.A.; Demiralp, R.; Suydam, R.; Early, G.; Koster, B. J.; Wise, S.A. Relationship of Silver with Selenium and Mercury in the Liver of Two Species of Toothed Whales (Odontocetes). Mar. Pollut. Bull. 1995, 30, 262–271. [Google Scholar] [CrossRef]
  38. Wagemann, R.; Muir, D. Concentrations of Heavy Metals and Organochlorines in Marine Mammals of Northern Waters: Overview and Evaluation. Can. Tech. Rep. Fish. Aquat. Sci. 1984, 1279, 1–97. [Google Scholar]
  39. Eisler, R. Copper. In Handbook of Chemical Risk Assessment, 1st ed.; Eisler, R., Ed.; Lewis Publishers: Boca Raton, USA, 2000; Volume 1, pp. 127–235. [Google Scholar] [CrossRef]
  40. O’Shea, T.J.; Moore, J.F.; Kochman, H.I. Contaminant Concentrations in Manatees in Florida. J. Wildl. Manage. 1984, 48(3), 741–748. [Google Scholar] [CrossRef]
  41. Shoham-Frider, E.; Kress, N.; Wynne, D.; Scheinin, A.; Roditi-Elsar, M.; Kerem, D. Persistent Organochlorine Pollutants and Heavy Metals in Tissues of Common Bottlenose Dolphin (Tursiops truncatus) from the Levantine Basin of the Eastern Mediterranean. Chemosphere 2009, 77(5), 621–627. [Google Scholar] [CrossRef]
  42. Shoham-Frider, E.; Goffman, O.; Harlavan, Y.; Kress, N.; Morick, D.; Roditi-Elasar, M.; Shefer, E.; Kerem, D. Trace Elements in Striped Dolphins (Stenella coeruleoalba) from the Eastern Mediterranean: A 10-Years Perspective. Mar. Pollut. Bull. 2016, 109(1), 624–632. [Google Scholar] [CrossRef]
  43. Shoham-Frider, E.; Kerem, D.; Roditi-Elasar, M.; Goffman, O.; Morick, D.; Yoffe, O.; Kress, N. Trace Elements in Tissues of Cetacean Species Rarely Stranded along the Israeli Mediterranean Coast. Mar. Pollut. Bull. 2014, 83(1), 376–382. [Google Scholar] [CrossRef]
  44. Frodello, J.P.; Marchand, B. Cadmium, Copper, Lead, and Zinc in Five Toothed Whale Species of the Mediterranean Sea. Int. J. Toxicol. 2001, 20(6), 339–343. [Google Scholar] [CrossRef]
  45. Bellante, A.; Sprovieri, M.; Buscaino, G.; Manta, D.S.; Buffa, G.; Di Stefano, V.; Bonanno, A.; Barra, M.; Patti, B.; Giacoma, C.; Mazzola, S. Trace Elements and Vanadium in Tissues and Organs of Five Species of Cetaceans from Italian Coasts. Chem. Ecol. 2009, 25, 311–323. [Google Scholar] [CrossRef]
  46. Meador, J.P.; Ernest, D.; Hohn, A.A.; Tilbury, K.; Gorzelany, J.; Worthy, G.; Stein, J.E. Comparison of Elements in Bottlenose Dolphins Stranded on the Beaches of Texas and Florida in the Gulf of Mexico over a One-Year Period. Arch. Environ. Contam. Toxicol. 1999, 36(1), 87–98. [Google Scholar] [CrossRef] [PubMed]
  47. Monteiro, S.S.; Torres, J.; Ferreira, M.; Marçalo, A.; Nicolau, L.; Vingada, J.V.; Eira, C. Ecological Variables Influencing Trace Element Concentrations in Bottlenose Dolphins (Tursiops truncatus, Montagu 1821) Stranded in Continental Portugal. Sci. Total Environ. 2016, 544, 837–844. [Google Scholar] [CrossRef] [PubMed]
  48. Cardellicchio, N.; Decataldo, A.; Di Leo, A.; Giandomenico, S. Trace Elements in Organs and Tissues of Striped Dolphins (Stenella coeruleoalba) from the Mediterranean Sea (Southern Italy). Chemosphere 2002, 49(1), 85–90. [Google Scholar] [CrossRef]
  49. Aubail, A.; Méndez-Fernandez, P.; Bustamante, P.; Churlaud, C.; Ferreira, M.; Vingada, J.V.; Caurant, F. Use of Skin and Blubber Tissues of Small Cetaceans to Assess the Trace Element Content of Internal Organs. Mar. Pollut. Bull. 2013, 76(1–2), 158–169. [Google Scholar] [CrossRef] [PubMed]
  50. Storelli, M.M.; Marcotrigiano, G.O. Environmental Contamination in Bottlenose Dolphin (Tursiops truncatus): Relationship between Levels of Metals, Methylmercury, and Organochlorine Compounds in an Adult Female, Her Neonate, and a Calf. Bull. Environ. Contam. Toxicol. 2000, 64(3), 333–340. [Google Scholar] [CrossRef]
  51. Wafo, E.; Risoul, V.; Schembri, T.; Lagadec, V.; Dhermain, F.; Mama, C.; Boissery, P.; Portugal, H. Methylmercury and Trace Element Distribution in the Organs of Stenella coeruleoalba Dolphins Stranded on the French Mediterranean Coast. Open Environ. Sci. 2014, 8, 35–48. [Google Scholar] [CrossRef]
  52. Fujise, Y.; Honda, K.; Tatsukawa, R.; Mishima, S. Tissue Distribution of Heavy Metals in Dall’s Porpoise in the Northwestern Pacific. Mar. Pollut. Bull. 1988, 19, 226–230. [Google Scholar] [CrossRef]
  53. Law, R.J.; Jones, B.R.; Baker, J.R.; Kennedy, S.; Milne, R.L.; Morris, R.J. Trace Metals in the Livers of Marine Mammals from the Welsh Coast and the Irish Sea. Mar. Pollut. Bull. 1992, 24, 296–304. [Google Scholar] [CrossRef]
  54. Law, R.J. Metals in Marine Mammals. In Environmental Contaminants in Wildlife: Interpreting Tissue Concentrations, 1st ed.; Beyer, W., Heinz, G., Redmon-Norwood, A., Eds.; CRC Lewis Publishers: Boca Raton, USA, 1996; pp. 357–376. [Google Scholar]
  55. Yang, J.; Kunito, T.; Anan, Y.; Tanabe, S.; Miyazaki, N. Total and Subcellular Distribution of Trace Elements in the Liver of a Mother–Fetus Pair of Dall’s Porpoises (Phocoenoides dalli). Mar. Pollut. Bull. 2004, 48, 1122–1129. [Google Scholar] [CrossRef]
  56. Lahaye, V.; Bustamante, P.; Dabin, W.; Churlaud, C.; Caurant, F. Trace Element Levels in Foetus-Mother Pairs of Short-Beaked Common Dolphins (Delphinus delphis) Stranded Along the French Coasts. Environ. Int. 2007, 33(8), 1021–1028. [Google Scholar] [CrossRef]
  57. Teigen, S.; Andersen, R.; Daae, H.; Skaare, J. Heavy Metal Content in Liver and Kidneys of Grey Seals (Halichoerus grypus) in Various Life Stages Correlated with Metallothionein Levels: Some Metal—Binding Characteristics of This Protein. Environ. Toxicol. Chem. 2009, 18, 2364–2369. [Google Scholar] [CrossRef]
  58. Robbins, D.T. Wildlife Feeding and Nutrition; Academic: San Diego, USA, 1983. [Google Scholar]
  59. Mackey, E.A.; Oflaz, R.; Epstein, M.S.; Buehler, B.; Porter, B.J.; Rowles, T.K.; Wise, S.A.; Becker, P.R. Elemental Composition of Liver and Kidney Tissues of Rough-Toothed Dolphins (Steno bredanensis). Arch. Environ. Contam. Toxicol. 2003, 44, 523–532. [Google Scholar] [CrossRef]
  60. Bellante, A.; Manta, D.S.; Traina, A.; Buscaino, G.; Buffa, G.; Barra, M.; Tamburrino, S.; Mazzola, S.; Sprovieri, M. Trace Elements in Tissues of Sperm Whales Stranded along the Italian Coast. Chem. Ecol. 2013, 29, 404–414. [Google Scholar] [CrossRef]
  61. Julshamn, K.; Andersen, A.; Ringdal, O.; Mørkøre, J. Trace Elements Intake in the Faroe Islands. I. Element Levels in Edible Parts of Pilot Whales (Globicephalus meleanus). Sci. Total Environ. 1987, 65, 53–62. [Google Scholar] [CrossRef]
  62. Poldan, I. Analysis of the Jaw (Cephalopoda) from the Stomachs of Bottlenose Dolphins (Tursiops truncatus) from the Adriatic Sea; Student Work, Faculty of Veterinary Medicine, University of Zagreb, 2004.
  63. Law, R.J.; Fileman, C.F.; Hopkins, A.D.; Baker, J.R.; Harwood, J.; Jackson, D.B.; Kennedy, S.; Martin, A.R.; Morris, R.J. Concentrations of Trace Metals in the Livers of Marine Mammals (Seals, Porpoises and Dolphins) from Waters Around the British Isles. Mar. Pollut. Bull. 1991, 22, 183–191. [Google Scholar] [CrossRef]
  64. Holsbeek, L.; Siebert, U.; Joiris, C.R. Heavy Metals in Dolphins Stranded on the French Atlantic Coast. Sci. Total Environ. 1998, 217(3), 241–249. [Google Scholar] [CrossRef]
  65. Capelli, R.; Drava, G.; De Pellegrini, R.; Minganti, V.; Poggi, R. Study of Trace Elements in Organs and Tissues of Striped Dolphins (Stenella coeruleoalba) Found Dead along the Ligurian Coasts (Italy). Adv. Environ. Res. 2000, 4, 31–34. [Google Scholar] [CrossRef]
  66. Honda, K.; Tatsukawa, R. Distribution of Cadmium and Zinc in Tissues and Organs, and Their Age-Related Changes in Striped Dolphins, Stenella coeruleoalba. Arch. Environ. Contam. Toxicol. 1983, 12(5), 543–550. [Google Scholar] [CrossRef]
  67. Emonet-Piccardi, N.; Richard, M.J.; Ravanat, J.L.; Signorini, N.; Cadet, J.; Béani, J.C. Protective Effects of Antioxidants against UVA-Induced DNA Damage in Human Skin Fibroblasts in Culture. Free Radic. Res. 1998, 29(4), 307–313. [Google Scholar] [CrossRef]
  68. Carvalho, M.L.; Pereira, R.A.; Brito, J. Heavy Metals in Soft Tissues of Tursiops truncatus and Delphinus delphis from the West Atlantic Ocean by X-Ray Spectrometry. Sci. Total Environ. 2002, 292(3), 247–254. [Google Scholar] [CrossRef]
  69. Morris, R.J.; Law, R.J.; Allchin, C.R.; Kelly, C.A.; Fileman, C.F. Metals and Organochlorines in Dolphins and Porpoises of Cardigan Bay, West Wales. Mar. Pollut. Bull. 1989, 20, 512–523. [Google Scholar] [CrossRef]
  70. Bennett, P.M.; Jepson, P.D.; Law, R.J.; Jones, B.R.; Kuiken, T.; Baker, J.R.; Rogan, E.; Kirkwood, J.K. Exposure to Heavy Metals and Infectious Disease Mortality in Harbour Porpoises from England and Wales. Environ. Pollut. 2001, 112(1), 33–40. [Google Scholar] [CrossRef]
  71. Noda, K.; Ichihashi, H.; Loughlin, T.R.; Baba, N.; Kiyota, M.; Tatsukawa, R. Distribution of Heavy Metals in Muscle, Liver and Kidney of Northern Fur Seal (Callorhinus ursinus) Caught off Sanriku, Japan and from the Pribilof Islands, Alaska. Environ. Pollut. 1995, 90(1), 51–59. [Google Scholar] [CrossRef] [PubMed]
  72. Watanabe, I.; Ichihashi, H.; Tanabe, S.; Amano, M.; Miyazaki, N.; Petrov, E.A.; Tatsukawa, R. Trace Element Accumulation in Baikal Seal (Phoca sibirica) from Lake Baikal. Environ. Pollut. 1996, 94(2), 169–179. [Google Scholar] [CrossRef]
  73. Monaci, F.; Borrel, A.; Leonzio, C.; Marsili, L.; Calzada, N. Trace Elements in Striped Dolphins (Stenella coeruleoalba) from the Western Mediterranean. Environ. Pollut. 1998, 99(1), 61–68. [Google Scholar] [CrossRef] [PubMed]
  74. Anan, Y.; Kunito, T.; Ikemoto, T.; Kubota, R.; Watanabe, I.; Tanabe, S.; Miyazaki, N.; Petrov, E.A. Elevated Concentrations of Trace Elements in Caspian Seals (Phoca caspica) Found Stranded during the Mass Mortality Events in Arch. Environ. Contam. Toxicol. 2002, 42(3), 354–362. [Google Scholar] [CrossRef]
  75. Davis, G.K. Microelement Interactions of Zinc, Copper, and Iron in Mammalian Species. Ann. N. Y. Acad. Sci. 1980, 355, 130–139. [Google Scholar] [CrossRef]
  76. Zhou, J.L.; Salvador, S.M.; Liu, Y.P.; Sequeira, M. Heavy Metals in the Tissues of Common Dolphins (Delphinus delphis) Stranded on the Portuguese Coast. Sci. Total Environ. 2001, 273(1–3), 61–76. [Google Scholar] [CrossRef]
  77. Rojo-Nieto, E.; Fernández-Maldonado, C. Assessing trace elements in striped dolphins from the Strait of Gibraltar: Clues to link the bioaccumulation in the westernmost Mediterranean Sea area and nearest Atlantic Ocean. Chemosphere 2017, 170, 41–50. [Google Scholar] [CrossRef]
  78. Stavros, H.C.; Bossart, G.D.; Hulsey, T.C.; Fair, P.A. Trace Element Concentrations in Skin of Free-Ranging Bottlenose Dolphins (Tursiops truncatus) from the Southeast Atlantic Coast. Sci. Total Environ. 2007, 388(1–3), 300–315. [Google Scholar] [CrossRef]
  79. Pacyna, J.M.; Pacyna, E.G. An Assessment of Global and Regional Emissions of Trace Metals to the Atmosphere from Anthropogenic Sources Worldwide. Environ. Rev. 2001, 9(4), 269–298. [Google Scholar] [CrossRef]
  80. Bargagli, R. Trace Metals in Antarctic Organisms and the Development of Circumpolar Biomonitoring Networks. Rev. Environ. Contam. Toxicol. 2001, 171, 53–110. [Google Scholar] [CrossRef]
  81. Kubota, R.; Kunito, T.; Tanabe, S. Arsenic Accumulation in the Liver Tissue of Marine Mammals. Environ. Pollut. 2001, 115(2), 303–312. [Google Scholar] [CrossRef] [PubMed]
  82. Watanabe, I.; Kunito, T.; Tanabe, S.; Amano, M.; Koyama, Y.; Miyazaki, N.; Petrov, E.A.; Tatsukawa, R. Accumulation of Heavy Metals in Caspian Seals (Phoca caspica). Arch. Environ. Contam. Toxicol. 2002, 43(1), 109–120. [Google Scholar] [CrossRef]
  83. Yoshitome, R.; Kunito, T.; Ikemoto, T.; Tanabe, S.; Zenke, H.; Yamauchi, M.; Miyazaki, N. Global Distribution of Radionuclides (^137Cs and ^40K) in Marine Mammals. Environ. Sci. Technol. 2003, 37(20), 4597–4602. [Google Scholar] [CrossRef] [PubMed]
  84. Hansen, A.M.; Bryan, C.E.; West, K.L.; Jensen, B.A. Trace Element Concentrations in Liver of 16 Species of Cetaceans Stranded on Pacific Islands from 1997 through Arch. Environ. Contam. Toxicol. 2015, 70, 75–95. [Google Scholar] [CrossRef]
  85. Borrell, A.; Clusa, M.; Aguilar, A.; Drago, M. Use of Epidermis for the Monitoring of Tissular Trace Elements in Mediterranean Striped Dolphins (Stenella coeruleoalba). Chemosphere 2015, 122, 288–294. [Google Scholar] [CrossRef]
  86. Honda, K.; Tatsukawa, R.; Itano, K.; Miyazaki, N.; Fujiyama, T. Heavy Metal Concentrations in Muscle, Liver, and Kidney Tissue of Striped Dolphin, Stenella coeruleoalba, and Their Variations with Body Length, Weight, Age, and Sex. Agric. Biol. Chem. 1983, 47, 1219–1228. [Google Scholar] [CrossRef]
  87. Agusa, T.; Nomura, K.; Kunito, T.; Anan, Y.; Iwata, H.; Tanabe, S. Accumulation of Trace Elements in Harp Seals (Phoca groenlandica) from Pangnirtung in the Baffin Island, Canada. Mar. Pollut. Bull. 2011, 63(5-12), 489–499. [Google Scholar] [CrossRef]
  88. Muir, D.C.; Wagemann, R.; Grift, N.P.; Norstrom, R.J.; Simon, M.; Lien, J. Organochlorine Chemical and Heavy Metal Contaminants in White-Beaked Dolphins (Lagenorhynchus albirostris) and Pilot Whales (Globicephala melaena) from the Coast of Newfoundland, Canada. Arch. Environ. Contam. Toxicol. 1988, 17(5), 613–629. [Google Scholar] [CrossRef]
  89. Koury, J.C.; Donangelo, C.M. Zinco, Estresse Oxidativo e Atividade Física. Rev. Nutr. 2003, 16, 433–441. [Google Scholar] [CrossRef]
  90. Lemos, L.S.; de Moura, J.F.; Hauser-Davis, R.A.; de Campos, R.C.; Siciliano, S. Small Cetaceans Found Stranded or Accidentally Captured in Southeastern Brazil: Bioindicators of Essential and Non-Essential Trace Elements in the Environment. Ecotoxicol. Environ. Saf. 2013, 97, 166–175. [Google Scholar] [CrossRef] [PubMed]
  91. Kunito, T.; Watanabe, I.; Yasunaga, G.; Fujise, Y.; Tanabe, S. Using Trace Elements in Skin to Discriminate the Populations of Minke Whales in Southern Hemisphere. Mar. Environ. Res. 2002, 53(2), 175–197. [Google Scholar] [CrossRef] [PubMed]
  92. Ciesielski, T.M.; Pastukhov, M.V.; Fodor, P.; Bertenyi, Z.; Namieśnik, J.; Szefer, P. Relationships and Bioaccumulation of Chemical Elements in the Baikal Seal (Phoca sibirica). Environ. Pollut. 2006, 139(2), 372–384. [Google Scholar] [CrossRef]
  93. Griesel, S.; Mundry, R.; Kakuschke, A.; Fonfara, S.; Siebert, U.; Prange, A. Mineral Elements and Essential Trace Elements in Blood of Seals of the North Sea Measured by Total-Reflection X-Ray Fluorescence Analysis. Spectrochim. Acta, Part B 2006, 61, 1158–1165. [Google Scholar] [CrossRef]
Disclaimer/Publisher’s Note: The statements, opinions and data contained in all publications are solely those of the individual author(s) and contributor(s) and not of MDPI and/or the editor(s). MDPI and/or the editor(s) disclaim responsibility for any injury to people or property resulting from any ideas, methods, instructions or products referred to in the content.s
Copyright: This open access article is published under a Creative Commons CC BY 4.0 license, which permit the free download, distribution, and reuse, provided that the author and preprint are cited in any reuse.
Prerpints.org logo

Preprints.org is a free preprint server supported by MDPI in Basel, Switzerland.

Subscribe

Disclaimer

Terms of Use

Privacy Policy

Privacy Settings

© 2026 MDPI (Basel, Switzerland) unless otherwise stated