Preprint
Article

This version is not peer-reviewed.

In Vivo Regenerative Potential of Coprinus comatus in Pancreatic Tissue After Acute Stress with Chronic Consequences

A peer-reviewed article of this preprint also exists.

Submitted:

19 April 2025

Posted:

21 April 2025

You are already at the latest version

Abstract
The edible mushroom Coprinus comatus has a long history of use in metabolic diseases, which is increasingly documented by modern research. Due to its favorable nutritional composition, it was assumed this mushroom could accelerate tissue recovery after acutely induced damage with subsequent disturbance of primarily carbohydrate me-tabolism. To test this hypothesis, the alloxan diabetes model was used, where experi-mental animals' change in body weight and biochemical and histological indicators of recovery were monitored. Before performing the in vivo part, HPLC analysis of the C. comatus extract was carried out with subsequent in silico and in vitro tests. Comparing the animals treated with the mushroom in three different doses, no significant change in body weight was observed. Still, the change was also noticed in the lipid status and glycemia, with the dose-dependent beneficial effect. Morphometric analysis of pancre-atic tissue stained by immuno-histochemical methods showed that long-term treat-ment with C. comatus leads to increased numerical density, nuclear volume, and abso-lute number of beta cells of the islets of Langerhans, which suffered severe damage af-ter alloxan administration. Overall, C. comatus may contribute to faster tissue recovery after acute diabetic-relevant damage with chronic consequences.
Keywords: 
;  ;  ;  

1. Introduction

Coprinus comatus (O.F. Mull.) Pers. Agaricaceae is a mushroom whose pharmacological effects have been the subject of many preclinical studies in recent decades. Among the investigated pharmacological effects are hepatoprotective [1,2], nephroprotective [3], antimicrobial [4,5], antiobesity [6], but the most common is antidiabetic [4,7,8,9], which may stem from the antioxidant effect [10,11]. One of the reasons for the beneficial effect of this mushroom in metabolic diseases, such as diabetes, where lipid disorders also occur, may be a favorable nutritional composition in addition to carbohydrate metabolism disorders. C. comatus has an extremely high content of dietary fibers, proteins, and oligo-elements (selenium, zinc, and copper) and a low content of fats and simple sugars. At the same time, some samples also contain different forms of vitamin E. The fats found in the mushroom are mostly polyunsaturated, with a relatively high presence of omega-3 fatty acids [2,4,5,10,12]. In addition, many phenolic compounds have been identified in the C. comatus mushroom, which are primarily powerful antioxidants, and some of them are considered to have anti-diabetic effects [11,13,14]. It is interesting to note that in the studies that use the cultivated mushroom C. comatus, it is concluded that there is no difference in the nutritional and pharmacological properties compared to the mushroom samples collected from the wild. Even in some experiments, a more substantial effect of the cultivated mushroom is observed [2,5,10]. Looking comprehensively at the results of the mentioned research, it is assumed that C. comatus can help in the regeneration of tissue that is exposed to both acute and chronic stress [2,4].
As already stated, the antidiabetic effect is the most often attributed positive effect of the mushroom C. comatus, and on the other hand, alloxan is a substance that is still very frequently used to induce experimental diabetes [7,9,15,16]. Alloxan's mechanism of toxicity primarily involves the generation of reactive oxygen species that target pancreatic beta cells selectively. Still, it has also been shown to damage liver and kidney tissue to a certain degree. At first, alloxan-induced diabetes is very similar to human type 1 because it leads to selective damage to the insulin-producing cells of the islets of Langerhans. However, it is not entirely the same because after a certain time, recovery occurs [15,16]. Preclinical research is showing that pretreatment with certain substances can alleviate the toxicity of alloxan, presumably by increasing the body's antioxidant capacity [15,17]. It is also possible that the damage caused by oxidative stress and inflammation in the pancreatic tissue can be repaired by the use of substances with antioxidant, anti-inflammatory, and regenerative potential [4,18].
In previous years, there has been an increase in studies dealing with the plasticity of the pancreas as a mechanism of adaptation to stress. These studies point out that the recovery of the endocrine pancreas occurs when individual cells enter the trans-differentiation process, so alpha, gamma, and delta cells take on the characteristics of beta cells and begin to secrete insulin. It is discovered that within one cell line of the islets of Langerhans, there are cells with mixed phenotypic characteristics, which, in conditions of a lack of cells in other lines, can partially take over their role. It is even described that extra-islet cells, such as epithelial acinar and ductal cells, but also hepatocytes and intestinal epithelial cells have the potential to produce insulin and undergo trans-differentiation [19,20,21,22]. In addition to ELISA, RNA sequencing, and other biochemical and molecular methods, the process of trans-differentiation, i.e., maturation of insulin-producing cells, was observed by immunohistochemical analysis, which helps in locating cell migration and the formation of new cell sets [13,15,18,21]. Finally, it should not be ignored that in experimental diabetes, the remaining beta cells also undergo a replication process, thus trying to restore endocrine function. However, the tissue of the endocrine pancreas does not belong to highly regenerative tissues, such as epithelial ones, so beta cells need more time for maturation and favorable conditions to repair damage [20,21,23].
Considering the peculiarity of alloxan diabetes, it represents an appropriate experimental model for examining the regeneration of the pancreas after acute stress with chronic consequences. The antioxidant and regenerative potential of the C. comatus mushroom has been demonstrated in several preclinical studies, including our previous ones. Thus, our goal was to further examine the above-mentioned positive effects in a study on Wistar rats with alloxan diabetes, with an emphasis on the morphometric analysis of pancreatic tissue and to link it with biochemical parameters of recovery.

2. Results

The results of the HPLC-DAD analysis, employed to check the quantity of phenolic compounds in the sample of Coprinus comatus mushroom, are presented in Table 1. HPLC analysis of the aqueous extract of C. comatus showed the presence of chlorogenic acid as a principal phenolic constituent. Besides chlorogenic acid, caffeic acid and p-Coumaric acid were also identified, while other investigated phenolics presented in Table 1 were under the limit of detection (chromatograms are posted as Supplementary material 1).
We have conducted a molecular docking analysis to compare the binding affinities of ligands with reference compounds. Results are presented in Table 2. The binding energies of chlorogenic acid in complexes with alpha-glucosidase are almost equal to the binding energy of the reference compound (acarbose). Chlorogenic acid also has the highest negative value, compared to other ligands, in complexes with DPP4 and alpha-amylase. However, these affinities are lower in comparison to the reference compounds. The highest affinity of chlorogenic acid may be partly explained by its chemical structure, including the largest number of H bonds and its share in the overall docking score. The second-ranked ligand is caffeic acid with 3 OH, followed by p-coumaric and cinnamic acid with 2 and 1 hydroxyl groups, respectively. Slightly different results are observed in the case of DPP4, where p-coumaric acid ranked in second place, indicating that other interactions, in addition to H bonds, contribute to the overall docking score.
After in silico, we did the in vitro analysis of C. comatus extract (Table 3). By comparing the results obtained, it is evident that the aqueous extract of the mushroom C. comatus exhibits the least significant impact on α-amylase, with a (50% enzyme inhibition) IC50 value of 13629.74 µg/mL. The IC50 values for α-glucosidase and DPP-4 were 757.48 µg/mL and 1650.3075 µg/mL, respectively. Still, the inhibitory effects of C. comatus extract on all enzymes tested here are much lower than the positive controls, acarbose and sitagliptin. Although chlorogenic acid had a binding affinity for the investigated enzymes similar to sitagliptin/acarbose, the chlorogenic acid content in the mushroom extract was low, which might explain the lower inhibitory effects of C. comatus extract.
According to the body weight measurement results, 42-day treatment with C. comatus in all three studied doses is body weight neutral compared with same-length saline treatment in nondiabetic and diabetic animals (Table 4). Namely, at the end of the 42-day experiment, all groups of animals had body weight gain. Although the lowest body weight gain was in the control group of diabetic rats (42.67±8.48), this change was statistically insignificant in comparison with other diabetic groups (F (3, 20) = 2.066, p = 0.137) because of high intragroup variations. The change in body weight of diabetic animals was similar to that of healthy animals, regardless of the treatment. Namely, although the diabetic control group of animals (AloCON) had the lowest increase in body weight, that change did not achieve statistical significance.
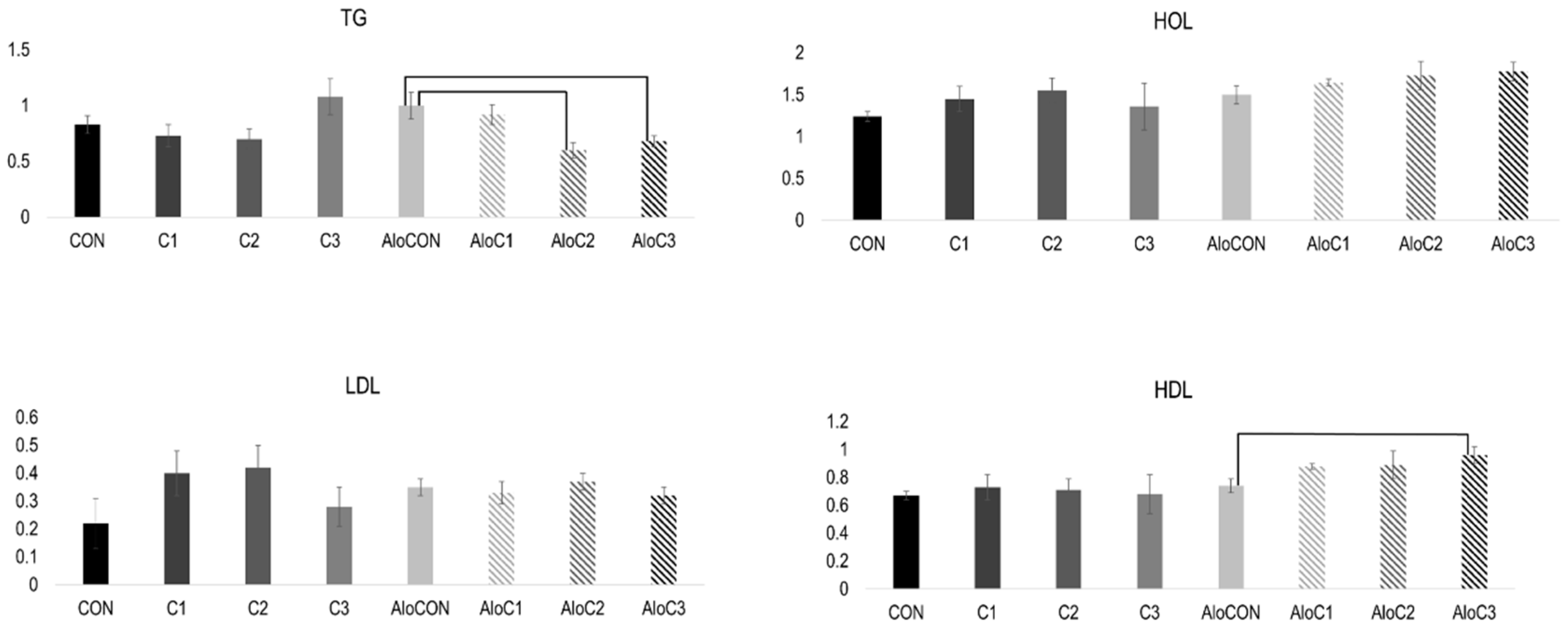
Results of the lipid status are presented in Figure 1. A Kruskal-Wallis test revealed a statistically significant difference in the TG values for the diabetic animal groups, X2 (3, n = 24) = 10.439, p = 0.015. Post-hoc comparisons using the Mann-Whitney U Test indicated a significant difference between AloCON and AloC2 groups (U = 2.000, z = -2.562, p = 0.009) and AloCON and AloC3 (U = 4.000, z = -2.342, p = 0.016). Bonferroni adjustment was used with an alpha level of 0.05/3 = 0.017 to determine the significance of AloCON and other groups of diabetic animals. There was a statistically significant difference at the p < 0.05 level in the HDL values for the diabetic animal groups (F (3, 20) = 5.242, p = 0.008).
At the beginning of the experiment, there were no differences in glycemia values (BG start) between groups of animals. However, there were changes at the end (BG end) of the 42-day treatment with the mushroom, so in the group of animals that received C. comatus in a dose of 1.67 g/kg (C2), a statistically significantly lower glycemic value was recorded compared to all other tested groups (F (3, 20) = 8.127, p = 0.001). Furthermore, the change in the glucose value after the oral glucose tolerance test (ΔBG) was not significant compared to the healthy animals (Table 5a).
The blood glucose values of the groups of animals before the application of alloxan (BG before) were not statistically significant, and comparing the experimental groups to each other, no change was observed even 48 hours after the application of alloxan (BG alo). However, there was a statistically significant difference at the p < 0.05 level in the blood glucose end-of-treatment (BG end) values for the diabetic animal groups (F (3, 20) = 5.296, p = 0.007). Additionally, there was a statistically significant difference at the p < 0.05 level (Table 5b) in the blood glucose change (ΔBG) values for the diabetic animal groups (F (3, 20) = 3.674, p = 0.029). In both cases, the group treated with C. comatus at the highest dose (AloC3) had significantly different values than those treated with saline (AloCON). Furthermore, bivariate Pearson’s test showed a statistically significant correlation between C. comatus dose and BG end, BG AUC, or ΔBG values of diabetic animals at the p < 0.01 level.
Pearson’s correlation coefficient of -0,635 shows a strong negative correlation between BG end and C. comatus dose. A moderate negative correlation was evident for BG AUC with Pearson’s coefficient of -0,527. Finally, for ΔBG, the coefficient was 0,578, which is a moderate positive correlation.
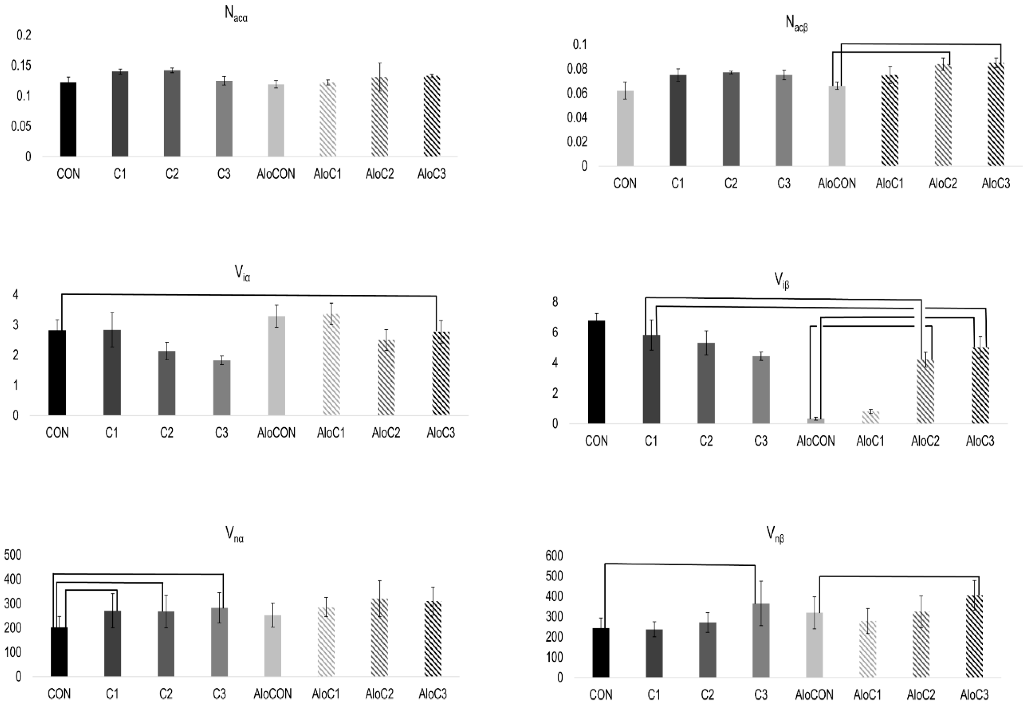
In Figure 2 the results of morphometric analysis of pancreas samples are presented. The numerical density of alpha cells (Nacα) is without differences between the examined groups of animals, both in healthy and diabetic ones. On the contrary, significantly higher values for numerical density of beta cells (Nacβ) were recorded in diabetic animals treated with the middle and highest dose compared to the AloCON group (F (3, 20) = 3.617, p = 0.031). Moreover, linear trend analysis revealed a positive relationship between the C. comatus dose and the numerical density of beta cells (Figure 2, p=0,005). A similar pattern was observed for the average volume values of alpha (V) and beta (V) islet fractions. There were no differences in the alpha fraction. At the same time, in beta, there was a statistically significantly higher volume value in the diabetic groups that received the medium and highest dose of C. comatus compared to the group treated with saline solution and the group with the lowest dose of the mushroom (F (3, 20) = 30.542, p < 0.001). Again, trend analysis indicated a positive relationship between the C. comatus dose and average volume values of beta islet fraction (Figure 2, p<0,001). Observing the nuclei of alpha and beta cells, it was evident that the average value of the corrected nuclear volume of alpha cells (V) of healthy animals in all three groups that received mushrooms was significantly higher compared to the control group (F (3, 20) = 15.697, p < 0.001). The same is observed in animals with diabetes, but without achieving statistical significance of the difference. The mean value of corrected beta cell nuclear volume (V), in both healthy and diabetic animals, was statistically significantly higher in the group treated with the highest dose of mushroom compared to the respective controls, CON (F (3, 20) = 15.697, p < 0.001) and AloCON (F (3, 20) = 30.542, p < 0.001).
The rest of the results of the morphometric analysis are presented in Figure 3. The difference in the volume densities of the exocrine (Vvegzo) and endocrine (Vvendo) parts is observed only when comparing the controls of healthy (CON) and diabetic (AloCON) animals to each other, where it can be seen that the control of healthy animals has significantly bigger endocrine part (t = ±3.453, p = 0.016). Finally, calculating the average values of the number of alpha and beta cells per islet, it can be seen that treatment with mushrooms in the medium and highest doses led to a statistically significant increase in the number of beta cells (Nβ) in diabetic animals compared to the respective control and the group with the lowest dose of C. comatus (F (3, 20) = 15.697, p < 0.001). Furthermore, linear trend analysis showed a positive relationship between the C. comatus dose and the number of beta cells (Figure 3, p<0,001).
Application of the mushroom alone (Figure 4 c-h; C1-C3 groups) did not change the cytoarchitectonics of the insulin (central) and glucagon (peripheral) cell compartments, which was the case for the control group (Figure 4 a, b; CON group) of animals as well. The islets in the AloCON group were, for the most part, cytoarchitectonically disturbed with the loss of the insulin compartment and a remnant of connective vascular tissue inside of it. In contrast, the glucagon cells along the "jagged" border with the exocrine part remained concentrated in multiple layers on the islets’ periphery (Figure 4 i, j). A similar pattern was evident in the group treated with the lowest dose of mushroom (Figure 4 k, l). In groups AloC2 and AloC3, after 42 days of the mushroom administration, a marked regeneration of the insulin compartment could be observed, which was characterized by the existence of large cells, a large nucleus, a prominent nucleolus, the cytoplasm of which was either slightly (asterisk) or significantly positive (arrow) for insulin (Figure 4 m, o). Many islets were characterized by almost complete restitution of the endocrine-exocrine border with a diffuse distribution of glucagon cells (also in the center of islets), a clear sign of a regenerative islet (Figure 4 n, p).

3. Discussion

In the past, plants were commonly believed to be the leading suppliers of phenolic compounds. However, recent discoveries have shown that mushrooms also contain a significant amount of phenolics, as supported by multiple studies that highlight the potent antioxidant properties of both cultivated and wild-growing mushrooms [2,4,11,13]. The antioxidant capacity of mushrooms closely aligns with their total phenolic content, suggesting that phenolics may be the primary contributors to the antioxidant activity observed in edible mushrooms. On the other hand, numerous studies documented in vitro antidiabetic activity of the same phenolic compounds, expressed as α-amylase, α-glucosidase, and dipeptidyl peptidase-4 enzyme inhibitory activity [8,14,28,29]. In the present study, HPLC-DAD analysis of the aqueous extract of C. comatus identified chlorogenic acid as a principal phenolic constituent and detected the presence of caffeic acid and p-Coumaric acid. This is in agreement with the results of Tešanović et al., who found chlorogenic acid as one of the main constituents of C. comatus fruiting body water extract [11]. Our previous studies of C. comatus phenolic profile identified p-Coumaric acid and caffeic acid in pure methanolic and 70% methanolic extracts, which are still in much lower quantities. Additionally, in those studies, by scanning mass spectra, we did not find chlorogenic acid, which was not the case for the water extract analysed here [2,10].
In silico methods effectively reduce the need for extensive high throughput screenings. Molecular docking is a widely employed in silico method in structure-based drug design due to its remarkable capability to accurately predict the conformation of small-molecule ligands within the designated target binding site [14,28,29,30]. A molecular docking analysis showed that According to the results of the docking study, chlorogenic acid has the highest affinity to all studied proteins, with the most pronounced effect in the case of alpha-glucosidase, where the affinity of chlorogenic acid is almost equal to that of the reference compound. Recent research has revealed that polyphenols possess stable chemical characteristics that effectively inhibit the enzymes α-glucosidase, α-amylase, and DPP4. It is particularly intriguing because polyphenol compounds offer a vast array of potential inhibitors, making them valuable resources for the development of functional foods and nutraceuticals aimed at treating diabetes mellitus [28,29,31]. Recently, a group of authors from Spain demonstrated that phenolic acids are involved in modulating the activity of sugar digestion enzymes and that the inhibitory effect depends on the chemical structure of phenolics, more precisely, the number of hydroxyl groups [28]. Furthermore, in silico molecular docking study of 14 phenolics from Qingke barley fresh noodles showed that chlorogenic acid and quercetin had better DPP-4 inhibitory effects than other compounds. It was demonstrated that chlorogenic acid and quercetin formed hydrogen and hydrophobic bonds in the active pocket area, which affected DPP-4 conformation and inactivated its enzymatic activity [31].
After in silico, we did the in vitro analysis of C. comatus extract, and found that the inhibitory effects of C. comatus extract on all enzymes tested were much lower than the positive controls, acarbose and sitagliptin. Although chlorogenic acid had a binding affinity for the investigated enzymes similar to sitagliptin/acarbose, the chlorogenic acid content in the mushroom extract was low, which might explain the lower inhibitory effects of C. comatus extract. However, one of the in vitro studies revealed the inhibitory effects of crude polysaccharides extracted from C. comatus on α-amylase activity. Authors found that with increased intracellular crude polysaccharides concentration in extract, its inhibitory effect on α-amylase also rises [32]. Moreover, the inhibitory effect of C. comatus methanolic extract was evaluated in the comparative analysis with five other edible and medicinal mushrooms: Agaricus blazei, Cordyceps militaris, Inonotus obliquus, Morchella conica, and Phellinus linteus. The analysis of enzyme inhibition revealed that C. comatus had the lowest IC50 value, approximately 714.45 µg/mL. In contrast, no inhibition of α-amylase was observed at the tested concentration with methanolic extracts of Morchella conica and Cordyceps militaris. In the case of α-glucosidase inhibition, Inonotus obliquus methanolic extract exhibited the most promising potential (220.31 µg/mL), and C. comatus achieved IC50 of 322.74 µg/mL, which is more than double better compared to our result [33]. Studies that focused on organic solvent extracts from various medicinal and edible mushrooms, such as methanol and hexane, demonstrated significantly higher inhibition of this enzyme than the current research. For certain mushroom species, including Chroogomphus rutilus, Leucopaxillus gentianeus, and Amanita ovoidea, the IC50 values for α-amylase were less than 100 µg/mL. Regarding α-glucosidase, the same study reported that Chroogomphus rutilus, Leucopaxillus gentianeus, and Amanita ovoidea mushroom extracts with organic solvents exhibited concentrations of around 500 µg/mL for 50% inhibition of this enzyme [34]. Furthermore, recent studies have highlighted various natural bioactive compounds, including alkaloids, flavonoids, terpenoids, and phenols, as well as plant extracts commonly used in traditional medicine such as green/white tea, citrus, berries, rosemary, and grapes, all of which have demonstrated DPP-4 inhibitory effects [31,35]. In addition, the previously mentioned study tested the effect of phenolics identified in Qingke barley fresh noodles on DPP-4 in vitro activity. In vitro enzyme activity inhibition assay showed that among the 14 phenolic compounds, chlorogenic acid had the lowest IC50 value, still more than a thousand times higher than positive control sitagliptin [31]. Nevertheless, certain phenolic compounds have the potential to exhibit significant inhibitory activity against the DPP-4 enzyme, and one of them is naringin, abundantly present in the peels of orange. Virtual docking study revealed tight binding of naringin to DPP-4, while in vitro inhibition assay showed better activity of naringin than sitagliptin [14]. Therefore, according to the results of our previous study, we expected that water as a solvent would contribute to a better extraction of phenolic compounds because in that study, by adding water to methanol, we obtained a higher concentration of phenolic compounds [2]. We further hypothesized that a higher content of phenolic compounds would significantly inhibit the enzymes responsible for carbohydrate metabolism in in vitro conditions, but this was not the case.
The present study found that a 42-day treatment with C. comatus does not affect body weight in nondiabetic and diabetic. In our study, the change in body weight of diabetic animals was similar to that of healthy animals, regardless of the treatment. Namely, although the diabetic control group of animals (AloCON) had the lowest increase in body weight, that change did not achieve statistical significance. In our previous study with chronic C. comatus treatment (42 days) of Wistar rats, there was no statistically significant difference in body weight change between control (saline) and mushroom-treated groups [2]. On the contrary, our study with 7-day administration of C. comatus found that such treatment resulted in a significantly lower increase in body weight compared to the control (saline) group [9]. Likewise, C. comatus extract demonstrated the ability to prevent the increase in fat mass and body weight in Sprague-Dawley rats fed a high-fat diet. Following a 5-week treatment with C. comatus, a significant reduction in body weight was observed in that study [6]. Additionally, other researchers pointed out that C. comatus significantly impacted the body mass of experimental mice. In a study conducted by Han and Liu, mice treated with C. comatus for ten days following alloxan administration exhibited a statistically significant increase in body weight compared to mice that received only saline [36]. Furthermore, Yu et al. demonstrated that the application of polysaccharides from C. comatus led to an increase in body mass among diabetic mice, in contrast to those that did not receive treatment, where such an effect was not observed [37]. Finally, in a study that examined whether there is a spontaneous recovery of animals exposed to alloxan, it was observed that two weeks after the application of alloxan, animals develop long-term diabetes, with differences in the body weight of healthy and diabetic animals, which was not evident in our study [15]. It is worth mentioning that all previously described studies differ in methodology, duration, or species from the present experiment. Thus, it is difficult to compare their results with ours.
We have found a statistically significant difference in the TG and HDL values for the diabetic animals. There is evidence that C. comatus exhibits an antiobesity effect and plays a role in adipogenesis. Results from the differentiation of preadipocytes into adipocytes indicate that C. comatus extract inhibits intracellular triglyceride accumulation in 3T3-L1 adipocytes, resulting in a significant reduction in triglyceride content. The MTT (3-[4,5-dimethylthiazol-2-yl]-2,5 diphenyl tetrazolium bromide) assay demonstrated that C. comatus extract did not affect the viability of 3T3-L1 adipocyte cells at high concentrations. Experimental assays revealed that C. comatus extract prevented adipocyte differentiation by exerting an antagonistic effect on PPARγ (Peroxisome Proliferator-Activated Receptor-gamma) compared to the control group [4,6]. In vivo experiments in obese high-fat diet-fed rats showed that treatment with C. comatus extract significantly reduced 32% of total serum triglycerides and 46% of total serum cholesterol levels. Additionally, the group treated with extract had a significant increase in high-density lipoprotein levels compared to the control group [4]. Although the animal model was different from ours, there is a similarity in the outcome regarding blood lipid analysis; diabetic animals treated with C. comatus had lower concentrations of total triglycerides and higher HDL cholesterol. Similarly, in a study that dealt with the antidiabetic effect of comatin, a substance isolated from C. comatus, it was shown that this active principle not only has a favorable impact on glycemia but also leads to a lowering of the concentration of total triglycerides [7]. Furthermore, research using a different model of diabetes pointed out that polysaccharides from C. comatus significantly lower total cholesterol and total triglycerides while increasing HDL cholesterol [3].
Another explanation for the impact of C. comatus on lipids may stem from its nutrient composition. Firstly, C. comatus typically contains low fat levels while exhibiting a high concentration of proteins. Secondly, its high fiber content, primarily non-digestible carbohydrates, further enhances its nutritional profile. Despite their low-fat content, mushrooms, including C. comatus, boast a notable percentage of essential fatty acids, such as linoleic acid, vital for human nutrition. Additionally, C. comatus contains various other essential fatty acids, including lauric, myristic, palmitic, oleic, α-linoleic, arachidonic, eicosatrienoic, eicosapentaenoic acids, among others. Furthermore, the balance between saturated and unsaturated fatty acids significantly influences lipid metabolism. Previous analysis revealed that C. comatus contains a higher proportion of unsaturated fats compared to saturated fats. Given its richness in linoleic, oleic, and ω-3 fatty acids, C. comatus could play a pivotal role in promoting positive outcomes in fat metabolism observed in laboratory animals [2,5,12].
Various models of diabetes in different animal species and strains have proven the antidiabetic potential of the C. comatus mushroom. Similar to the results of our previous study on Wistar rats with alloxan diabetes, a dose of 1.67 g/kg C. comatus did not lead to a significant difference in glycemia compared to the control that received a saline solution, with a note that the treatment lasted significantly shorter. However, in the present study, the highest dose of mushroom led to a statistically significant reduction in glycemia compared to the control [9]. The antidiabetic potential of C. comatus mushroom was also investigated in Wistar rats with streptozotocin-induced diabetes. Three varying doses of the ethanol extract from the fruiting body were administered daily for 14 days. Results revealed a dose-dependent impact on blood glucose levels, with the highest extract dose demonstrating the most pronounced effect. By the end of the experiment, blood sugar levels decreased by nearly 30% compared to baseline values. Furthermore, in vivo levels of DPP-4 were significantly reduced in animals treated with the extract compared to those treated with saline, resembling levels observed in healthy animals [8]. In the previously mentioned study, Kunming mice were treated for 60 days with polysaccharides isolated from C. comatus in three doses. In addition to the observed anti-diabetic effect of the applied treatment, a negative correlation between the applied dose and the blood sugar value of the animals was also shown, so the highest dose achieved the greatest effect. Moreover, it is possible that by regulating carbohydrate metabolism, the treatment led to a positive impact on lipid values [3].
Looking at the results of the histological analysis comprehensively, it can be said that the treatment with mushroom did not lead to visible toxic effects on the pancreatic tissue. In contrast, it improved the regeneration of the beta fraction of Langerhans islet cells destroyed by alloxan (Figure 4). Although there is evidence that the pancreas regenerates itself after damage caused by substances such as streptozotocin and alloxan, this recovery is thought to be temporary. Namely, it has been shown that after self-recovery at week 2, there is a continuous blood glucose rise in the following weeks [15], the fact evident from the glycemia results of the AloCON group here (Table 6b). In the present research, the 42-day treatment with C. comatus contributed to the recovery of diabetic animals, initially manifested by the relative normalization of glycemia and histological parameters of morphometric analysis. In our earlier research, we already pointed out the protective potential of the C. comatus mushroom. Namely, a qualitative analysis of pancreatic tissue showed that the islets of Langerhans of animals treated for seven days with C. comatus were less damaged compared to the control [9]. Furthermore, in a recent study with streptozotocin-induced diabetic Wistar rats, histological analysis proved the protective effect of C. comatus. Namely, classical H/E staining showed that with an increase in the dose of mushroom, there is a decrease in necrosis and inflammation and the dominance of normal pancreatic tissue [8]. The regenerative effect of C. comatus is indicated by Nowakowski et al. in the review paper, where the authors say that treatment with vanadium-enriched mushroom leads to histologically confirmed recovery of pancreatic beta cells in mice [4]. That certain substances, including drugs registered for the treatment of type 2 diabetes, can lead to the recovery of the endocrine part of the pancreas has been proven in several preclinical studies. Common to these studies is a methodology where the numerical and volume density of Langerhans islets were evaluated with the help of stereology and immunohistochemistry. Thus, in a study on Wistar rats with streptozotocin-induced diabetes, the influence of sinapic acid and ellagic acid, phenolic acids considered to have antidiabetic effects, was evaluated. Treatment of rats with a combination of these two substances led to an increase in the numerical density and volume of pancreatic beta cells, which positively affected blood sugar levels [13]. Additionally, the regenerative effect of semaglutide was demonstrated in research on C57BL/6 mice. Semaglutide led to an increase in cell proliferation and alpha and beta remodeling, which was accompanied by a decrease in pro-inflammatory markers and an improvement in the function of peroxisome proliferator-activated receptors (PPAR)-gamma, and ultimately, glycemic regulation [17]. A potential explanation for the success of the previously described treatments lies in the plasticity of pancreatic tissue. Namely, modern research indicates that adaptation of the pancreas to stress conditions, i.e., damage to beta cells, partly implies cellular trans-differentiation, respectively changing the role of other cells of the islet of Langerhans. Thus, it was discovered that pancreatic polypeptide (Ppy)-expressing γ-cells, but also alpha and delta cells experience changes in gene expression when the number of beta cells is reduced, so they begin to produce insulin [19]. The plasticity of the endocrine part of the pancreas is a mechanism of adaptation to acute stress. In contrast, under conditions of chronic stress, it is depleted, which is evident in type 1 diabetes [18]. There is even evidence that within the plasticity of the pancreas in diabetes, there could be a change in the cellular identity of the exocrine part, in acinar and ductal cells, which can eventually lead to the appearance of pancreatic carcinoma [32].
There are limitations to the current study. Firstly, alloxan diabetes cannot be fully translated into human diabetes. Although alloxan causes selective damage to beta cells that should correspond to type I diabetes in humans, alloxan does so chemically by producing free radicals. In contrast, in human type I diabetes, the damage is immune-mediated. Regardless, alloxan diabetes is still widely represented in research on potentially antidiabetic substances. Secondly, only one batch of C. comatus was used in the in vitro tests, and we saw the justification for that in that the same batch was used for the in vivo study. Additionally, in the in vitro studies of the antidiabetic effect, we did not compare the extracts obtained by different extraction methods because, as we stated earlier in the discussion, according to the results of our earlier studies, we expected that a higher content of phenolic compounds would contribute to a better antidiabetic effect. Finally, caution is necessary in interpreting the regenerative potential of all substances mentioned in the discussion, including C. comatus studied here. Thus, a more detailed examination of markers of pancreatic tissue plasticity, cellular dedifferentiation, and transdifferentiation is needed, which can undoubtedly be the direction of our future research on diabetes models.

4. Materials and Methods

4.1. Mushroom Samples and Extraction Procedure

The experiments utilized a Coprinus comatus (O. F. Müll.) Pers., prepared as a 100% powder from whole, cultivated mushrooms that were finely minced and lyophilized. This product is obtainable as a food supplement in Serbian pharmacies. Mushroom samples employed in the experiments were kept in desiccators and safeguarded from light exposure.
The extract was prepared in a dilution of 1:10 w:w (the ratio of dry matter of C. comatus mushroom to boiling water). The extraction was carried out using the standard method for 1 hour at 80 °C in a water bath, with control by a thermometer immersed in the water to keep the temperature constant. After an hour, the mixture was filtered with the help of filter paper, and the filtrate was retained and then transferred to a measuring vessel and frozen at -20 °C until lyophilization. Lyophilization was performed using a Christ Alpha 1-2 LD Freeze Dryer (Osterode am Harz, Germany) at -70 °C. After 24 hours, when the lyophilization was completed and the moisture was extracted from the sample, the mass of the vial with the sample was measured to obtain the exact mass of the lyophilized extract. Before each test, the extract was reconstituted according to the methods described below.

4.2. Chemicals

Formic acid, acetic acid, water high-performance liquid chromatography (HPLC) grade, ammonium acetate, methanol, dimethyl sulfoxide (DMSO), gallic acid, caffeic acid, trans-cinnamic acid, p-coumaric acid, chlorogenic acid, rosmarinic acid, ferulic acid, quercetin, rutin, quercitrin, potassium phosphate, reduced glutathione, Starch azure, porcine-origin α-amylase, α-glucosidase from Saccharomyces cerevisiae, p-nitrophenyl-α-D-glycoside, dipeptidyl peptidase (DPP)-4 enzyme, Gly-Pro-p-nitroanilide, and alloxan monohydrate were purchased from Merck (Darmstadt, Germany). Acarbose and urethane were obtained from Thermo Fisher Scientific (Waltham, USA) and sitagliptin phosphate monohydrate from J&K Scientific (San Jose, USA). All the other chemicals were of analytical grade and obtained from conventional sources.

4.3. HPLC Analysis of Phenolics

The examined extract underwent chemical characterization, and the selected compounds were quantified using a validated HPLC method [24]. Briefly, phenolic compounds were separated utilizing an Agilent Technologies 1100 liquid chromatographer equipped with a diode array detector (Agilent Technologies, Santa Clara, California, USA). Separation occurred on a reversed-phase Nucleosil C18 column (250 mm × 4.6 mm, 5 μm particle size; Agilent Technologies) under controlled conditions. The mobile phase, consisting of aqueous formic acid with ammonium acetate (solvent A) and methanol (solvent B), was delivered in a gradient mode. The injection volume and run time were standardized, and quantification was conducted using chemical standards of phenolics. Data analysis was performed using Agilent OpenLAB Control Panel v.A.01.05. Results were reported as micrograms per kilogram of dry extract.

4.4. In Silico Docking Study

The three-dimensional crystal structures of human dipeptidyl peptidase-4 (DPP4) in a complex with sitagliptin (PDB code: 1X70), human lysosomal alpha-glucosidase in complex with acarbose (PDB code: 5NN8), and human pancreatic alpha-amylase in complex with acarbose (PDB code: 3BAJ) which have been determined by X-ray diffraction at a resolution of 2.10 Å, 2.45 Å and 2.1 Å, respectively, were downloaded from the Protein Data Bank. Structures of ligands (cinnamic acid, p-coumaric acid, caffeic acid, and chlorogenic acid) in mol2 format were retrieved from the freely available SANCDB database https://sancdb.rubi.ru.ac.za/. Molecular Docking Analysis was performed using Molegro Virtual Docker (MVD) software, version 6.0, according to the previously published method [25]. The docking scores and H bond scores were compared with the standard compounds (sitagliptin for 1X70, acarbose for 5NN8, and 3BAJ).

4.5. Inhibition of α-Amylase Activity

The extract's ability to inhibit α-amylase was assessed following the protocol by [26]. Briefly, reaction mixtures comprising Starch azure®, different extract concentrations, and porcine-origin α-amylase were prepared. Controls lacked the extract. After 10 minutes of incubation, acetic acid was added to halt the reaction, followed by centrifugation and absorbance measurement at 595 nm wavelength using an Agilent UV/Vis 8453 spectrophotometer. Acarbose served as the positive control and all measurements were conducted in triplicate. The percentage of inhibition is calculated compared to the absorbance of reaction mixtures containing no extract (100% inhibition).

4.6. Inhibition of α-Glucosidase Activity

The ability of the tested extract to inhibit α-glucosidase activity was determined following the protocol by Kladar et al., 2017. The reaction mixtures contained potassium phosphate buffer (pH = 6.8), glutathione solution (reduced form), an α-glucosidase enzyme isolated from Saccharomyces cerevisiae (final enzyme activity in the mixture was 7.6 U/L), and p-nitrophenyl- α-D-glycoside, which was used as a substrate. After adding the tested extracts in two different concentrations and incubating at 37 °C for 20 minutes, the reaction was stopped with Na2CO3. The absorbances of the resulting solutions were measured at 405 nm wavelength using an Agilent UV/Vis 8453 spectrophotometer. Acarbose was used as a positive control and all measurements were performed in triplicate. The reaction mixture without the tested extract was considered to have 100% enzyme activity.

4.7. Inhibition of Dipeptidyl Peptidase (DPP)-4 Activity

The in vitro DPP-4 inhibition test involved three sets of test tubes, each performed in triplicate. Group I acted as the DPP-4 negative control, Group II as the DPP-4 + sitagliptin (positive control), and Group III as the DPP-4 + extract (test group). Sitagliptin phosphate monohydrate and the extract were dissolved in dimethyl sulfoxide and diluted with Tris buffer to a concentration of 10 mM/mL. DPP-4 human enzyme, with a final activity of 0.05 U/mL, was added to the assay mixtures, followed by incubation at 37 °C for 20 minutes. Subsequently, the chromogenic substrate Gly-Pro-p-nitroanilide was added, and substrate hydrolysis was monitored at 405 nm using an Agilent UV/Vis 8453 spectrophotometer. The activity was quantified as ΔA405 nm/min [14]. The reaction mixture without the tested extract was considered to have 100% enzyme activity.

4.8. Laboratory Animals

White Wistar laboratory rats, both male and female (three rats of each sex housed separately in cages for each group), weighing between 250 and 350 g and aged three months, were sourced from local animal facilities (Military Medical Academy, Belgrade, Serbia). The rats were kept in the UniProtect airflow cabinet (Ehret GmbH, Emmendingen, Germany) in standard Plexiglas cages, maintaining a constant room temperature of 22 ± 1°C, humidity of 55% ± 1.5%, and a standard 12-hour day/night cycle. Throughout the experiment, the rats had ad libitum access to tap water and standard pelleted laboratory rodent feed (Veterinary Institute Subotica, Serbia). Their health was monitored daily. The experimental procedures were conducted per the European Directive (2010/63/EU) for animal experiments, and they were reviewed and approved by the Ethics Committee for Protection and Welfare of Experimental Animals at the University of Novi Sad, Serbia (Approval No. III-2011-07).

4.9. Experimental Procedures

The antidiabetic properties of C. comatus were investigated using a rat model of alloxan-induced diabetes. After a week of adaptation before the experiments, 48 rats were randomly divided into eight groups (n = 6) as follows:
CON group—rats received saline per os (p.o.) (2 ml kg−1 day−1) for 42 days,
C1 group – rats received C. comatus p.o. (0.835 g kg−1 day−1) for 42 days,
C2 group – rats received C. comatus p.o. (1.67 g kg−1 day−1) for 42 days,
C3 group – rats received C. comatus p.o. (3.34 g kg−1 day−1) for 42 days.
AloCON group – diabetic rats received saline p.o. (2 ml kg−1 day−1) for 42 days,
AloC1 group – diabetic rats received C. comatus p.o. (0.835 g kg−1 day−1) for 42 days,
AloC2 group – diabetic rats received C. comatus p.o. (1.67 g kg−1 day−1) for 42 days,
AloC3 group – diabetic rats received C. comatus p.o. (3.34 g kg−1 day−1) for 42 days,
All animals were weighed before the administration of the first dose of the tested substances (BW start), then weekly until the final measurement on the last day of the experiment (BW end). Coprinus comatus treatment groups were administered an aqueous suspension of mushroom orally in three different doses using an intragastric probe for rats. An administered dose of 3.34 g kg−1 correlates approximately to one standard serving of 30 g dry-weight mushroom for the average person (60 kg), calculated using the Food and Drug Administration’s Human Equivalent Dose formula. The other two mushroom doses were half and a quarter of the previously mentioned dose. Control groups received an orally administered 2 ml kg−1 dose of isotonic saline using an intragastric probe for rats. On the last day of the experiment, animals were put under urethane anesthesia (5 ml kg−1 i.p. of 25% solution) and exsanguinated with intracardial punction. The blood was collected and centrifuged for 10 min at 3000 r.p.m. and 4°C to separate serum. The pancreas was also rapidly collected, rinsed with ice-cold saline, and transferred to 10% buffered formalin for histopathological examination.
The concentration of glucose in capillary blood, taken from the tail vein of rats, was determined with commercial kits on the Accu-chek Active device (Roche Basel, Switzerland). The blood glucose concentration of the experimental animals was measured around 10 AM, two hours after the first dose of mushroom or saline (BG start), and then every seven days until the end of the trial. The last blood glucose measurement was done two hours after the last dose of mushroom or saline (BG end). To determine the effect of treatment on blood sugar values as precisely as possible, the area under the blood glucose concentration curve (BG AUC) during the observed period was calculated using the trapezoidal method. All glycemic measurements were considered to calculate the area under the curve.
In the normoglycemic animals (without alloxan), the oral glucose tolerance test (OGTT) was performed by administering the aqueous glucose solution at 3 g/kg per animal. The OGTT was carried out on the last day of the treatment, two hours after administering the last dose of saline or C. comatus. Before applying the aqueous glucose solution, the starting point of glycemia was determined (BG end), and then, after 30 minutes, the glycemia value was measured again (BG OGTT).
Alloxan was used to induce permanent hyperglycemia in laboratory animals. Alloxan was dissolved in saline solution immediately before the application and was applied in a dose of 150 mg/kg intraperitoneally (i.p.) once [15]. Before the application of alloxan, starting glycemia was measured (BG before). After 48 hours from the application of alloxan, blood was sampled from the tail vein to confirm the diagnosis of diabetes (BG alo). Animals that had glycemia higher than 15 mmol/L were included in the study. All the other animals were euthanized according to the humane endpoint ethical principle.

4.10. Biochemical Parameters Analysis

The serum was used to analyze total triglycerides (TG), total cholesterol (HOL), high-density lipoprotein cholesterol (HDL), and low-density lipoprotein cholesterol (LDL). The serum concentrations of these lipids were measured according to clinical biochemistry standard spectrophotometric methods on a fully automated analyzer, Olympus AU400 (Hamburg, Germany).

4.11. Immunohistochemical Analysis

After a complete autopsy, pieces of the splenic region of the pancreas were separated and fixed in Boujen's fixative at 4 ºC for 24 hours. The tissue was then dehydrated, embedded in paraffin, and cut at a thickness of 5 μm for histological sections. Two adjacent tissue sections were taken from each mold, one for each immunohistochemical method. In the immunohistochemical tissue staining, the primary antibodies insulin Ab-6 (Lab Vision - Thermo Scientific), and glucagon Ab-1 (Lab Vision - Thermo Scientific) and the visualization system - UltraVision LP Detection System HRP Polymer & AEC Chromogen (Lab Vision - Thermo scientific) of the same manufacturer. After rehydrating the sections ("bringing them to water"), they were subjected to a retrieval reaction, which involved heating the sections in citrate buffer (pH 6.0) at 850W in a microwave oven for 20 minutes after which, followed by cooling the preparation for 30 minutes. After cooling, the sections were washed four times in buffer (TBS, pH7.4) and then, to eliminate non-specific background staining, incubated for 10-15 minutes in Hydrogen Peroxide Block (Lab Vision, TA-015-HP), washed four times in buffer and incubated for five minutes in Ultra V Block (Lab Vision TA-015-UB). After washing in the buffer, the appropriate primary antibody (insulin - ready to use, glucagon - diluted 1:100) was applied for 30 minutes at room temperature. The sections were then subjected to Primary Antibody Enhancer (Lab Vision, TL-015-PB) treatment for 20 minutes. After washing with buffer, the sections were subjected to HRP Polymer (Lab Vision, TL-015-PH) for thirty minutes. Visualization was performed using AEC Chromogen (Lab Vision, TA-015-SA). Basophilic structures were stained and contrasted using Mayer's hematoxylin, and the preparations were mounted using a water-based adhesive (Bio-Optica, Italy). The preparations were analyzed on a Leica DMLB (Leica, Germany) and photographed with a LeicaDC 100 (Leica, Germany) camera.

4.12. Morphometrical Analyses

A total of 96 adjacent sections (2 per animal sample) of the splenic region were used for morphometric analyses, 48 for insulin and 48 for glucagon. In each animal sample, 15-20 insulin-stained islets of Langerhans and the corresponding glucagon-stained islets in the adjacent section were examined at a magnification of x400 or x630, then photographed and analyzed using morphometrical formulas [17,27]. Islets were examined to estimate average values of numerical density of alpha and beta cells (NAcα and NAcβ); average volumes of alpha and beta islet fractions (V and V); average values of the corrected mean nuclear volume (V and V); volume density of the endocrine and exocrine part of the pancreas (Vvend and Vvegzo); average number of alpha and beta cells per islet (Nα and Nβ). Free Image Tool 3.0 and ImageJ software (National Institutes of Health, USA) were used for image processing (Supplementary Material 2).

4.13. Statistical Analysis

Statistical analysis was performed using IBM SPSS statistical software, version 26.0 (IBM Corp., Armonk, NY, USA). Data were reported as the mean ± standard deviation (s.d.) or standard error of the mean (SEM). Independent or paired samples T-test was used to compare the means of the two groups. A one-way analysis of variance (ANOVA) or Kruskal–Wallis test was employed to compare more than two experimental groups. Post hoc testing for ANOVA was performed using Tukey’s test. Mann–Whitney U test with or without Bonferroni correction was used for post hoc testing in the Kruskal–Wallis analysis. Correlation analysis was done using Pearson’s coefficient of linear correlation. Assessment of dose-dependent response was carried out by linear trend analysis. The difference between groups was considered statistically significant for a p-value less than 0.05 (p < 0.05).

5. Conclusions

This study demonstrated that a 42-day treatment restored both the number and function of insulin-secreting cells, as indicated by biochemical and histological analyses. Given these findings, further investigation should include in-depth spectrophotometric analysis of other potential bioactive compounds, beyond just phenolic compounds, in C. comatus, followed by in silico and in vitro studies, and ultimately validation in an in vivo model.

Supplementary Materials

The following supporting information can be downloaded at: Preprints.org, Figure S1: Chromatograms of selected phenolic compounds; Figure S2: Morphometrical analyses – example of Free Image Tool 3.0 and ImageJ software processing.

Author Contributions

N.S. and I.C. designed the study and performed the animal experiments and analysis; N.K. performed the HPLC and in vitro analysis; M.DJ. performed the in silico analysis; S.V., A.T.P., M.C. and M.S.K. analyzed the data and drafted the manuscript. A.R. drafted the article and designed the study. All authors approved the current version and take full responsibility for the information contained within the manuscript.

Funding

This research was supported by the Provincial Secretariat for Higher Education and Scientific Research of Vojvodina (Project No. 142-451-2574/2021-01).

Institutional Review Board Statement

The experimental procedures were conducted per the European Directive (2010/63/EU) for animal experiments, and they were reviewed and approved by the Ethics Committee for Protection and Welfare of Experimental Animals at the University of Novi Sad, Serbia (Approval No. III-2011-07).

Data Availability Statement

All data is available from the corresponding author on reasonable request.

Conflicts of Interest

The authors declare no conflicts of interest.

References

  1. Popović, M. , Vukmirović, S., Stilinović, N., Čapo, I., Jakovljević, V., 2010. Anti-Oxidative Activity of An Aqueous Suspension of Commercial Preparation of The Mushroom Coprinus comatus. Molecules 15, 4564–4571. [CrossRef]
  2. Stilinović, N. , Čapo, I., Vukmirović, S., Rašković, A., Tomas, A., Popović, M., Sabo, A., 2020. Chemical composition, nutritional profile and in vivo antioxidant properties of the cultivated mushroom Coprinus comatus. R. Soc. open sci. 7, 200900. [CrossRef]
  3. Gao, Z. , Kong, D., Cai, W., Zhang, J., Jia, L., 2021. Characterization and anti-diabetic nephropathic ability of mycelium polysaccharides from Coprinus comatus. Carbohydrate Polymers 251, 117081. [CrossRef]
  4. Nowakowski, P. , Naliwajko, S.K., Markiewicz-Żukowska, R., Borawska, M.H., Socha, K., 2020. The two faces of Coprinus comatus —Functional properties and potential hazards. Phytotherapy Research 34, 2932–2944. [CrossRef]
  5. Stojković, D. , Reis, F.S., Barros, L., Glamočlija, J., Ćirić, A., Van Griensven, L.J.I.D., Soković, M., Ferreira, I.C.F.R., 2013. Nutrients and non-nutrients composition and bioactivity of wild and cultivated Coprinus comatus (O.F.Müll.) Pers. Food and Chemical Toxicology 59, 289–296. [CrossRef]
  6. Park, H.J. , Yun, J., Jang, S.-H., Kang, S.N., Jeon, B.-S., Ko, Y.-G., Kim, H.-D., Won, C.-K., Kim, G.-S., Cho, J.-H., 2014. Coprinus comatus Cap Inhibits Adipocyte Differentiation via Regulation of PPARγ and Akt Signaling Pathway. PLoS ONE 9, e105809. [CrossRef]
  7. Ding, Z. , Lu, Y., Lu, Z., Lv, F., Wang, Y., Bie, X., Wang, F., Zhang, K., 2010. Hypoglycaemic effect of comatin, an antidiabetic substance separated from Coprinus comatus broth, on alloxan-induced-diabetic rats. Food Chemistry 121, 39–43. [CrossRef]
  8. Ratnaningtyas, N.I. , Hernayanti, H., Ekowati, N., Husen, F., 2022. Ethanol extract of the mushroom Coprinus comatus exhibits antidiabetic and antioxidant activities in streptozotocin-induced diabetic rats. Pharmaceutical Biology 60, 1126–1136. [CrossRef]
  9. Sabo, A. , Stilinovic, N., Vukmirovic, S., Bukumiric, Z., Capo, I., Jakovljevic, V., 2010. Pharmacodynamic action of a commercial preparation of the mushroom Coprinus comatus in rats. Phytotherapy Research 24, 1532–1537. [CrossRef]
  10. Stilinović, N. , Škrbić, B., Živančev, J., Mrmoš, N., Pavlović, N., Vukmirović, S., 2014. The level of elements and antioxidant activity of commercial dietary supplement formulations based on edible mushrooms. Food Funct. 5, 3170–3178. [CrossRef]
  11. Tešanović, K. , Pejin, B., Šibul, F., Matavulj, M., Rašeta, M., Janjušević, L., Karaman, M., 2017. A comparative overview of antioxidative properties and phenolic profiles of different fungal origins: fruiting bodies and submerged cultures of Coprinus comatus and Coprinellus truncorum. J Food Sci Technol 54, 430–438. [CrossRef]
  12. Zhang, Z. , Zhao, L., Qu, H., Zhou, H., Yang, H., Chen, H., 2022. Physicochemical characterization, adsorption function and prebiotic effect of chitin-glucan complex from mushroom Coprinus comatus. International Journal of Biological Macromolecules 206, 255–263. [CrossRef]
  13. Altındağ, F. , Rağbetli, M.Ç., Özdek, U., Koyun, N., Ismael Alhalboosi, J.K., Elasan, S., 2021. Combined treatment of sinapic acid and ellagic acid attenuates hyperglycemia in streptozotocin-induced diabetic rats. Food and Chemical Toxicology 156, 112443. [CrossRef]
  14. Parmar, H.S. , Jain, P., Chauhan, D.S., Bhinchar, M.K., Munjal, V., Yusuf, M., Choube, K., Tawani, A., Tiwari, V., Manivannan, E., Kumar, A., 2012. DPP-IV inhibitory potential of naringin: An in silico, in vitro and in vivo study. Diabetes Research and Clinical Practice 97, 105–111. [CrossRef]
  15. Fajarwati, I. , Solihin, D.D., Wresdiyati, T., Batubara, I., 2023. Self-recovery in diabetic Sprague Dawley rats induced by intraperitoneal alloxan and streptozotocin. Heliyon 9, e15533. [CrossRef]
  16. Ilić, V. , Vukmirović, S., Stilinović, N., Čapo, I., Arsenović, M., Milijašević, B., 2017. Insight into anti-diabetic effect of low dose of stevioside. Biomedicine & Pharmacotherapy 90, 216–221. [CrossRef]
  17. Marinho, T.D.S. , Martins, F.F., Cardoso, L.E.D.M., Aguila, M.B., Mandarim-de-Lacerda, C.A., 2022. Pancreatic islet cells disarray, apoptosis, and proliferation in obese mice. The role of Semaglutide treatment. Biochimie 193, 126–136. [CrossRef]
  18. Chen, C.-W. , Guan, B.-J., Alzahrani, M.R., Gao, Z., Gao, L., Bracey, S., Wu, J., Mbow, C.A., Jobava, R., Haataja, L., Zalavadia, A.H., Schaffer, A.E., Lee, H., LaFramboise, T., Bederman, I., Arvan, P., Mathews, C.E., Gerling, I.C., Kaestner, K.H., Tirosh, B., Engin, F., Hatzoglou, M., 2022. Adaptation to chronic ER stress enforces pancreatic β-cell plasticity. Nat Commun 13, 4621. [CrossRef]
  19. Perez-Frances, M. , Van Gurp, L., Abate, M.V., Cigliola, V., Furuyama, K., Bru-Tari, E., Oropeza, D., Carreaux, T., Fujitani, Y., Thorel, F., Herrera, P.L., 2021. Pancreatic Ppy-expressing γ-cells display mixed phenotypic traits and the adaptive plasticity to engage insulin production. Nat Commun 12, 4458. [CrossRef]
  20. Ruzittu, S. , Willnow, D., Spagnoli, F.M., 2020. Direct Lineage Reprogramming: Harnessing Cell Plasticity between Liver and Pancreas. Cold Spring Harb Perspect Biol 12, a035626. [CrossRef]
  21. Tritschler, S. , Theis, F.J., Lickert, H., Böttcher, A., 2017. Systematic single-cell analysis provides new insights into heterogeneity and plasticity of the pancreas. Molecular Metabolism 6, 974–990. [CrossRef]
  22. Aleixandre, A. , Gil, J.V., Sineiro, J., Rosell, C.M., 2022. Understanding phenolic acids inhibition of α-amylase and α-glucosidase and influence of reaction conditions. Food Chemistry 372, 131231. [CrossRef]
  23. Çayan, F. , Tel-Çayan, G., Deveci, E., Duru, M.E., 2021. HPLC–DAD characterization of phenolic profile and in vitro antioxidant, anticholinesterase, and antidiabetic activities of five mushroom species from Turkey. 3 Biotech 11, 273. [CrossRef]
  24. Rasouli, H. , Hosseini-Ghazvini, S.M.-B., Adibi, H., Khodarahmi, R., 2017. Differential α-amylase/α-glucosidase inhibitory activities of plant-derived phenolic compounds: a virtual screening perspective for the treatment of obesity and diabetes. Food Funct. 8, 1942–1954. [CrossRef]
  25. Tuersuntuoheti, T. , Pan, F., Zhang, M., Wang, Z., Han, J., Sun, Z., Song, W., 2022. Prediction of DPP-IV inhibitory potentials of polyphenols existed in Qingke barley fresh noodles: In vitro and in silico analyses. Food Processing Preservation 46. [CrossRef]
  26. Cao, H. , Ma, S., Guo, H., Cui, X., Wang, S., Zhong, X., Wu, Y., Zheng, W., Wang, H., Yu, J., Ma, L., Chun-chao, H., 2019. Comparative study on the monosaccharide compositions, antioxidant and hypoglycemic activities in vitro of intracellular and extracellular polysaccharides of liquid fermented Coprinus comatus. International Journal of Biological Macromolecules 139, 543–549. [CrossRef]
  27. Stojkovic, D. , Smiljkovic, M., Ciric, A., Glamoclija, J., Van Griensven, L., Ferreira, I.C.F.R., Sokovic, M., 2019. An insight into antidiabetic properties of six medicinal and edible mushrooms: Inhibition of α-amylase and α-glucosidase linked to type-2 diabetes. South African Journal of Botany 120, 100–103. [CrossRef]
  28. Deveci, E. , Çayan, F., Tel-Çayan, G., Duru, M.E., 2021. Inhibitory activities of medicinal mushrooms on α-amylase and α-glucosidase-enzymes related to type 2 diabetes. South African Journal of Botany 137, 19–23. [CrossRef]
  29. Yaribeygi, H. , Atkin, S.L., Sahebkar, A., 2019. Natural compounds with DPP-4 inhibitory effects: Implications for the treatment of diabetes. J of Cellular Biochemistry 120, 10909–10913. [CrossRef]
  30. Han C, Yuan J, Wang Y, Li L. Hypoglycemic activity of fermented mushroom of Coprinus comatus rich in vanadium. J Trace Elem Med Biol. 2006;20(3):191-6. [CrossRef] [PubMed]
  31. Yu, J. , Cui, P.-J., Zeng, W.-L., Xie, X.-L., Liang, W.-J., Lin, G.-B., Zeng, L., 2009. Protective effect of selenium-polysaccharides from the mycelia of Coprinus comatus on alloxan-induced oxidative stress in mice. Food Chemistry 117, 42–47. [CrossRef]
  32. Grimont, A. , Leach, S.D., Chandwani, R., 2022. Uncertain Beginnings: Acinar and Ductal Cell Plasticity in the Development of Pancreatic Cancer. Cellular and Molecular Gastroenterology and Hepatology 13, 369–382. [CrossRef]
  33. Salaj, N. , Kladar, N., Čonić, B.S., Jeremić, K., Barjaktarović, J., Hitl, M., Gavarić, N., Božin, B., 2020. Stabilization of sunflower and olive oils with savory (Satureja kitaibelii, Lamiaceae). J. Food Nutr. Res. 59.
  34. Pavlović, N. , Đanić, M., Stanimirov, B., Goločorbin-Kon, S., Stankov, K., Lalić-Popović, M., Mikov, M., 2019. In silico Discovery of Resveratrol Analogues as Potential Agents in Treatment of Metabolic Disorders. CPD 25, 3776–3783. [CrossRef]
  35. Kladar, N. , Mrđanović, J., Anačkov, G., Šolajić, S., Gavarić, N., Srđenović, B., Božin, B., 2017. Hypericum perforatum : Synthesis of Active Principles during Flowering and Fruitification—Novel Aspects of Biological Potential. Evidence-Based Complementary and Alternative Medicine 2017, 1–11.
Figure 1. Lipid status of animals treated for 42 days with C. comatus or saline (mean ± SEM; n=6; TG – total triglycerides (mmol/L); HOL – total cholesterol (mmol/L); HDL – high-density lipoprotein cholesterol (mmol/L); LDL – low-density lipoprotein cholesterol (mmol/L); line – p < 0.05).
Figure 1. Lipid status of animals treated for 42 days with C. comatus or saline (mean ± SEM; n=6; TG – total triglycerides (mmol/L); HOL – total cholesterol (mmol/L); HDL – high-density lipoprotein cholesterol (mmol/L); LDL – low-density lipoprotein cholesterol (mmol/L); line – p < 0.05).
Preprints 156537 g001
Figure 2. Morphometric analysis of numerical density (Nac; 10-2), average volume (Vi; 106), and corrected nuclear volume (Vn; 106) of α and β cells (mean ± SEM; n=6; line – p < 0.05).
Figure 2. Morphometric analysis of numerical density (Nac; 10-2), average volume (Vi; 106), and corrected nuclear volume (Vn; 106) of α and β cells (mean ± SEM; n=6; line – p < 0.05).
Preprints 156537 g002
Figure 3. Morphometric analysis of volume density of exocrine (Vvegzo) and endocrine (Vvendo) part, and number of α (Nα) and β (Nβ) cells per islet (mean ± SEM; n=6; line – p < 0.05).
Figure 3. Morphometric analysis of volume density of exocrine (Vvegzo) and endocrine (Vvendo) part, and number of α (Nα) and β (Nβ) cells per islet (mean ± SEM; n=6; line – p < 0.05).
Preprints 156537 g003
Figure 4. Immunohistochemical analysis of normoglycemic and diabetic (Alo) rats’ Langerhans islets after 42 days of treatment with C. comatus in three different doses (C1 – 0,835; C2 – 1,67; C3 – 3,34) or saline (CON).
Figure 4. Immunohistochemical analysis of normoglycemic and diabetic (Alo) rats’ Langerhans islets after 42 days of treatment with C. comatus in three different doses (C1 – 0,835; C2 – 1,67; C3 – 3,34) or saline (CON).
Preprints 156537 g004
Table 1. Contents of selected phenolic compounds in C. comatus extract.
Table 1. Contents of selected phenolic compounds in C. comatus extract.
Class of phenols Phenolic compound Content [µg/g]
Phenolic acids Gallic acid ND
Caffeic acid 12.88±0.64
trans-Cinnamic acid ND
p-Coumaric acid 6.51±0.65
Chlorogenic acid 25.48±1.27
Rosmarinic acid ND
Ferulic acid ND
Flavonoids Quercetin ND
Rutin ND
Quercitrin ND
ND – not detected; Values represent mean ± standard deviation of triplicate analysis.
Table 2. Molecular docking study of selected phenolics from C. comatus.
Table 2. Molecular docking study of selected phenolics from C. comatus.
1X70 (DPP4) 5NN8 (alpha-glucosidase) 3BAJ (alpha-amylase)
Compound MolDock Score (kcal/mol) H bond (kcal/mol) MolDock Score (kcal/mol) H bond (kcal/mol) MolDock Score (kcal/mol) H bond (kcal/mol)
Sitagliptin/ acarbose -152.99 -2.16 -88.60 -9.63 -157.24 -25.16
p-coumaric acid -90.07 -4.53 -63.21 -4.80 -70.92 -3.98
caffeic acid -80.72 -9.71 -67.35 -7.97 -81.29 -9.02
chlorogenic acid -130.90 -17.99 -88.40 -9.32 -98.22 -11.45
Table 3. Enzyme inhibition activity of C. comatus extract, acarbose, and sitagliptin expressed as IC50 (50% inhibition) values (µg/mL).
Table 3. Enzyme inhibition activity of C. comatus extract, acarbose, and sitagliptin expressed as IC50 (50% inhibition) values (µg/mL).
Samples Enzymes
α-amylase α-glucosidase DPP4
C. comatus 13629.74 ± 1026.67 757.48 ± 84.45 1650.31 ± 145.29
Acarbose 4.93 ± 0.46 42.87 ± 3.96 n.a.
Sitagliptin n.a. n.a. 0.02 ± 0.001
n.a. – not applicable.
Table 4. Body weights of rats treated for 42 days with C. comatus or saline (mean ± SEM; n=6; BW start – body weight before treatment; BW end – body weight on the last day of treatment; ΔBW – change of body weight).
Table 4. Body weights of rats treated for 42 days with C. comatus or saline (mean ± SEM; n=6; BW start – body weight before treatment; BW end – body weight on the last day of treatment; ΔBW – change of body weight).
Group BW start BW end ΔBW
CON 245.17±5.64 316.33±5.14 71.17±8.35
C1 258.67±11.86 349.50±18.84 90.83±7.56
C2 249.67±8.44 332.17±19.83 82.50±14.22
C3 265.50±12.71 342.17±19.11 76.67±7.31
AloCON 254.17±4.28 296.83±7.05 42.67±8.48
AloC1 263.17±11.58 355.67±26.24 92.50±14.89
AloC2 261.83±4.62 318.50±18.05 68.60±17.09
AloC3 263.67±10.69 337.50±26.60 73.83±16.40
Table 5a. Blood glucose values in normoglycemic animals after 42 days of treatment with C. comatus or saline (mean ± SEM; n=6).
Table 5a. Blood glucose values in normoglycemic animals after 42 days of treatment with C. comatus or saline (mean ± SEM; n=6).
Group BG start BG end BG AUC BG OGTT ΔBG
CON 7.93±0.12 6.72±0.16# 281.74±8.20 12.65±0.41 5.83±0.32
C1 7.80±0.19 6.28±0.23# 264.60±5.50 13.53±0.53 6.43±0.49
C2 7.55±0.13 5.48±0.20 287.64±3.45 12.23±0.74 5.60±0.62
C3 7.97±0.14 6.30±0.11# 277.73±4.92 14.20±0.42 7.15±0.39
# p < 0.05 vs C2; BG start – blood glucose before the treatment; BG end – blood glucose on the last day of the experiment; AUC – area under the curve; BG OGTT – blood glucose after oral glucose tolerance test; ΔBG - change of blood glucose level between BG OGTT and BG end.
Table 5b. Blood glucose values in diabetic animals after 42 days of treatment with C. comatus or saline (mean ± SEM; n=6).
Table 5b. Blood glucose values in diabetic animals after 42 days of treatment with C. comatus or saline (mean ± SEM; n=6).
Group BG before BG alo BG end1 BG AUC1 ΔBG1
AloCON 7.62±0.53 32.02±0.44 24.67±3.53 1116.79±72.42 7.35±3.22
AloC1 8.20±0.35 32.53±0.26 24.37±0.60 1081.85±35.29 8.17±0.51
AloC2 7.83±0.30 30.35±1.44 16.98±3.67 874.65±170.41 13.37±2.31
AloC3 7.00±0.13 27.86±2.38 11.30±2.21* 681.96±158.69 16.45±2.10*
BG before – blood * p < 0.05 vs AloCON; glucose before the application of alloxan; BG alo – blood glucose 48h after alloxan application; BG end – blood glucose on the last day of the experiment; AUC – area under curve; ΔBG – change of blood glucose level between BG alo and BG end; 1 a significant correlation p < 0.01.
Disclaimer/Publisher’s Note: The statements, opinions and data contained in all publications are solely those of the individual author(s) and contributor(s) and not of MDPI and/or the editor(s). MDPI and/or the editor(s) disclaim responsibility for any injury to people or property resulting from any ideas, methods, instructions or products referred to in the content.
Copyright: This open access article is published under a Creative Commons CC BY 4.0 license, which permit the free download, distribution, and reuse, provided that the author and preprint are cited in any reuse.
Prerpints.org logo

Preprints.org is a free preprint server supported by MDPI in Basel, Switzerland.

Subscribe

Disclaimer

Terms of Use

Privacy Policy

Privacy Settings

© 2026 MDPI (Basel, Switzerland) unless otherwise stated