Submitted:
16 April 2025
Posted:
17 April 2025
You are already at the latest version
Abstract
Keywords:
1. Introduction
2. Method
3. Sedimentary Characteristics
3.1. Characteristics of Shallow Water Delta
3.1.1. Characteristics of the Underwater Distributary Channel Sand Body are Exhibited by Sedimentary Structures
3.1.2. Frequent Fluctuations in Shallow Water Bodies and Lacustrine Environments
3.1.3. The Vertical Development Characteristics of (Underwater) Distributary Channel in one Stage
3.2. Two Provenance Systems
3.2.1. Heavy Mineral Assemblage
- Category A Heavy Mineral Assemblage
- Category B Heavy Mineral Assemblage
3.2.2. Maps of Sedimentary Single Factors
3.3. Characteristics of Sedimentary sand Body
4. Petrologic and Reservoir Characteristics
4.1. Petrologic Characteristics
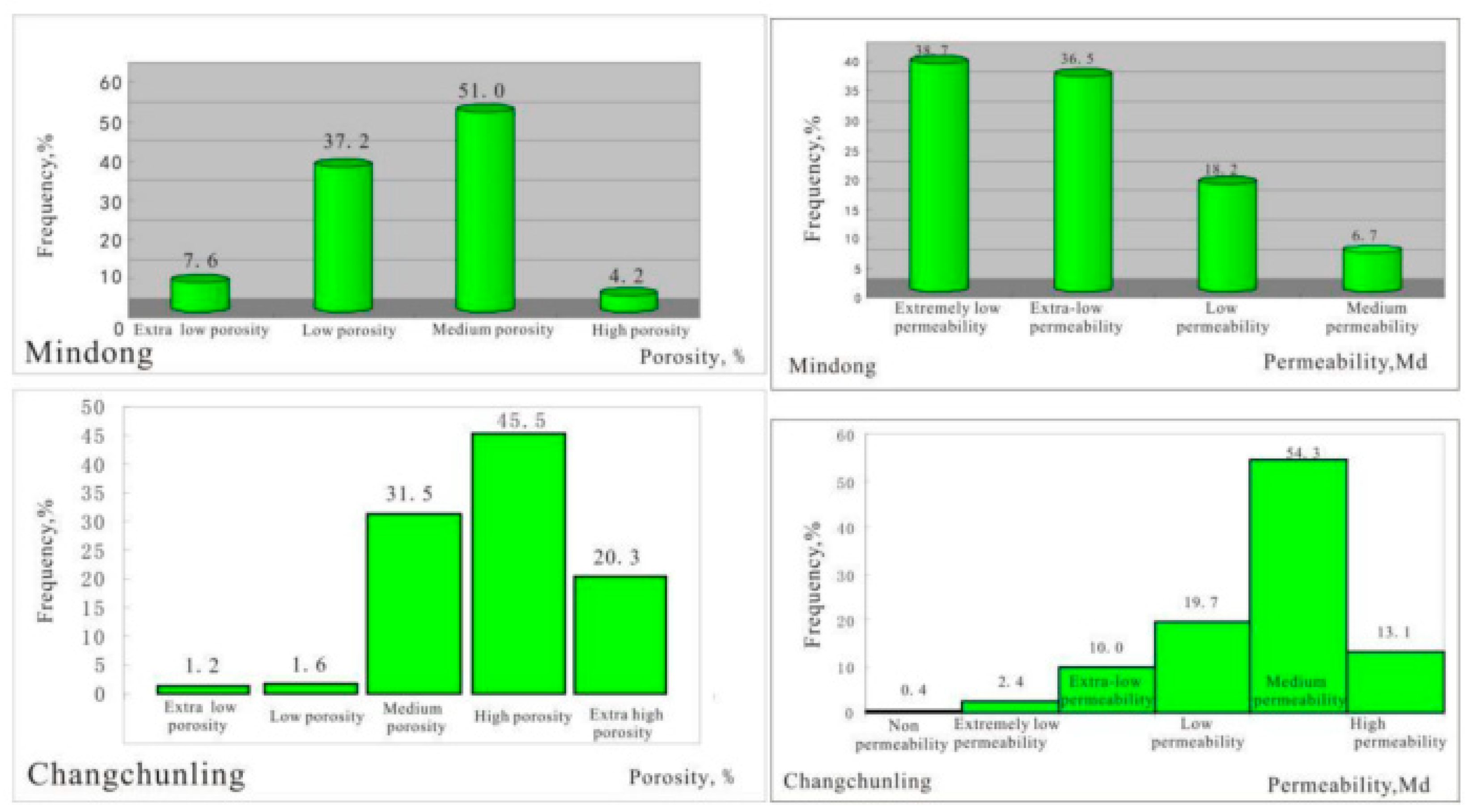
4.2. Reservoir Characteristics
5. Impact of Sedimentary and Diagenesis on Reservoir Quality
5.1. Control of Sedimentary Environment on Reservoir Quality
5.2. Influence of Diagenesis on Reservoir
5.2.1. Compaction
5.2.2. Cementation
5.2.3. Dissolution
6. Advantageous Reservoir
6.1. Chang107-Chang104-Chang 52 Well Area
6.2. Fu155-Fu161-Fu157 Well Area
6.3. Min103-Min31 Well Area
7. Conclusions
Funding
Acknowledgements
References
- C. Page Chamberlain, Xiaoqiao Wan, Stephan. Graham, Alan R. Carroll, Amalia C. Doebbert, Bradley B. Sageman, Peter Blisniuk, Malinda L. Kent-Corson, Zhou Wang, Wang Chengshan, 2013. Stable isotopic evidence for climate and basin evolution of the Late Cretaceous Songliao basin, China, Palaeogeography, Palaeoclimatology, Palaeoecology 385, 106-124. [CrossRef]
- Chen, Fangwen, Lu, Shuangfang, Liu, Haiying, Huang, Wenbiao, Xu, Yunting, Wu, Zaiyu, 2011. A Discuss on Hydrocarbon Accumulation in Changchunling Anticline Belt, Northern Songliao Basin, Geological Review. May. 57(3), 379-386 (In Chinese with English abstract).
- Chen, Fangwen, Lu, Shuangfang, Liu, Haiying, Huang, Wenbiao, Xu, Yunting, Wu, Zaiyu, 2011. A Discuss on Hydrocarbon Accumulation in Changchunling Anticline Belt, Northern Songliao Basin, Geological Review. May. 57(3), 379-386 (In Chinese with English abstract).
- Cheng, R., Wang, G., Wang, P., Gao, Y., 2009. Uppermost Cretaceous sediments: Sedimentary microfacies and sedimentary environment evolution of Sifangtai Formation and Mingshui Formation in SKIn. Earth Science Frontiers 16 (6), 85-95 (in Chinese with English abstract).
- Dutton, S.P., Loucks, R.G., 2010. Diagenetic controls on evolution of porosity and permeability in lower Tertiary Wilcox sandstones from shallow to ultradeep (200-6700 m) burial, Gulf of Mexico Basin, U.S.A. Mar. Pet. Geol. 27, 69-81.
- Donaldson, A.C.,1974. Pennsylvanian sedimentation of central Appalachians, special papers. Geol. Soc. Am. 148, 47-48.
- El-Ghali, M.A.K., Morad, S., Mansurbeg, H., Caja, M.A., Ajdanlijsky, G., Ogle, N., AlAasm, I., Sirat, M., 2009a. Distribution of diagenetic alterations within depositional facies and sequence stratigraphic framework of fluvial sandstones: evidence from the Petrohan Terrigenous Group, Lower Triassic, NW Bulgaria. Mar.Pet. Geol. 26, 1212-1227. [CrossRef]
- Engebretson D C,Cox A, Gordan R G. Relative motions betweeen oceanic and continental Society of America Special Paper, 1985, 206: 1-60.
- Faerseth, R. B. (1996). Interaction of Permo-Triassic and Jurassic extensional fault-blocks during the development of the northern North Sea. Journal of the Geological Society of London, 153, 931-944. [CrossRef]
- Feng Congjun, Bao Zhidong, Yang Ling, Si Xiong, Xu Guibin, Han Xiong, 2014. Reservoir architecture and remaining oil distribution of deltaic front underwater distributary channel, Petroleum Exploration and Development. Jun. 41(3), 323-330 (In Chinese with English abstract).
- Feng, J.L., Cao, J., Hu, K., Peng, X.Q., Chen, Y., Wang, Y.F., Wang, M., 2013. Dissolution and its impacts on reservoir formation in moderately to deeply buried strata of mixed siliciclastic-carbonate sediments, northwestern Qaidam Basin, northwest China. Mar. Pet. Geol. 39, 124-137.
- Feng, Z.Q., Jia, C.Z., Xie, X.N., Zhang, S., Feng, Z.H., Timothy, A.C., 2010. Tectonostratigraphic units and stratigraphic sequences of the nonmarine Songliao Basin, northeast China. Basin Research 22, 79-95.
- Feng, Congjun, Bao, Zhijun, Dai, Chunming, Zhang, Zhaoqian, 2015. Superimposition patterns of underwater distributary channel sands in deltaic front and its control on remaining oil distribution: a case study from K1q4 in J19 block,Fuyu oilfield, Oil&Gas Geology. Feb. 36(1), 128-135 (In Chinese with English abstract).
- Goodchild, M.W., Whitaker, J.C.M., 1986. A petrographic study on the Rotliegendes sandstone reservoir (Lower Permian) in the Rough gas field. Clay Minerals 21, 459-477. [CrossRef]
- Houseknecht D W.Assessing the relative importance of compaction processes and cementation to reduction of porosity in sandstones[J]. AAPG Bulletin,1987,71(6):633-642.
- Huang, Wei, Wu, Haibo, Shi, Lizhi, Wang, Shibo, Wang, Zhuozhuo, 2012. Oil and gas source and reservoir characteristic of Fuyu Reservoir of Chaochang area in north Songliao Basin, Journal of Central South University (Science and Technology). Jan. 43(1), 238-248 (In Chinese with English abstract).
- Horne, J.C., Ferm, J.C., Caruccio, F.T., Baganz, B.P., 1976. Depositional models in coal exploration and mine planning in appalachian region. AAPG Bull. 62 (12), 2379-2411.
- Jinlai Feng, Jian Cao, Kai Hu, Xiaoqun Peng, Yan Chen, Yanfei Wang, Mu Wang, 2013. Dissolution and its impacts on reservoir formation in moderately to deeply buried strata of mixed siliciclasticecarbonate sediments, northwestern Qaidam Basin, northwest China, Marine and Petroleum Geology 39, 124-137.
- Jingzhe Li, Shasha Liu, Jinliang Zhang, Zhongli Fan, Zhongqiang Sun, Ming Zhang, Yong Yuan, Penghui Zhang, 2015. Architecture and facies model in a non-marine to shallow-marine setting with continuous base-level rise: An example from the Cretaceous Denglouku Formation in the Changling Depression, Songliao Basin, China, Marine and Petroleum Geology 68, 381-393. [CrossRef]
- J.M. Ajdukiewicz, R. Larese, How clay grain coats inhibit quartz cement and preserve porosity in deeply buried sandstones: observations and experiments, AAPG Bull. 96 (11) (2011) 2091-2119. [CrossRef]
- Kelai Xi, Yingchang Cao, Jens Jahren Rukai Zhu, Knut Bjørlykke, Beyene Girma Haile Lijing Zheng, Helge Hellevang, 2015. Diagenesis and reservoir quality of the Lower Cretaceous Quantou Formation tight sandstones in the southern Songliao Basin, China, Sedimentary Geology 330, 90-107. [CrossRef]
- Lefebvre, C., Barnhoorn, A., van Hinsbergen, D.J.J., Kaymakci, N., Vissers, R.L.M., 2011. Late Cretaceous extensional denudation along a marble detachment fault zone in the Kirşehir massif near Kaman, central Turkey. Journal of Structural Geology 33, 1220-1236.
- Li, D., Dong, C., Lin, C., Ren, L., Jiang, T., Tang, Z., 2013. Control factors on tight sandstone reservoirs below source rocks in the Rangzijing slope zone of southern Songliao Basin, East China. Pet. Explor. Dev. 40, 692-700. [CrossRef]
- Liu, Z.J., Wang, D.P., Liu, L., Liu, W.S., Wang, P.J., Du, X.D., Yang, G., 1993. Sedimentary Characteristics of the Cretaceous Songliao Basin. Acta Geologica Sinica (English Edition) 6 (2), 167-180. Li Dan, Dong Chunmei, Lin Chengyan, Ren Lihua, Jiang Tao, Tang Zhenxing, 2013. Control factors on tight sandstone reservoirs below source rocks in the Rangzijing slope zone of southern Songliao Basin, East China, Petrol. Explor. Develop, 40(6): 742-750.
- Lima, R.D., De Ros, L.F., 2002. The role of depositional setting and diagenesis on the reservoir quality of Late Devonian sandstones from the Solimoes Basin, Bra- ~zilian Amazonia. Mar. Pet. Geol. 19, 1047-1071.
- Li, Z.D., Wang, D.J., Zhang, H.X., Yin,Y.L., Zhao, F.Q., Xu, L., Cheng,P., Liu, Y., 2015. Sedimentary characteristics of typical fluvial facies in the Cretaceous Quantou Formation in southeast uplift of southern Songliao Basin, Oil&Gas Geology. Aug. 36(4), 621-629 (In Chinese with English abstract).
- Morad, S., Al-Ramadan, K., Ketzer, J.M., De Ros, L.F., 2010. The impact of diagenesis on the heterogeneity of sandstone reservoirs: a review of the role of depositional facies and sequence stratigraphy. AAPG Bull. 94, 1267-1309. [CrossRef]
- Maruyama S, Tetsuzo S. Orogeny and relative plate motions; example of the Japanese islands [J]. Tectonophysics, 1986, 127(3-4): 305-329.
- M.W. French, R.H. Worden, E. Mariani, Microcrystalline quartz generation and the preservation of porosity in sandstones: evidence from the Upper Cretaceous of the Subhercynian basin, Germany, J. Sediment. Res. 82 (6) (2012) 422-434. [CrossRef]
- Pan, S.X., Wei, P.S., Wang, T.Q., Liang, S.J., Zhao, Z.K., Zhao, Z.Y., Tang, Z.X., Cui, H.N., 2011. Discovery of Easter Provenance in Songliao Basic and Its Implications on Petroleum Geology, Natural Gas Geoscience. Dec. 22(6), 1021-1027 (In Chinese with English abstract).
- Shi, Lizhi, Ma, Chuyu, Wang, Zhuozhuo, Zhang, Yongsheng, 2014. Oil and gas accumulating conditions and its main controlling factors of Fuyu reservoirs in ChaoChang area, Petroleum Geology and Oilfield Development in Daqing. Jun. 33(3), 1-6 (In Chinese with English abstract).
- Sun, Yu, Ma, Shizhong, Cong, Lin, Zhao, Hui, Yu, Limin, Fu, Xiandi, 2012. Study on Depositional Characteristics and Model of Fuyu Oil Layer in the Southern Fuxin Uplift of Songliao Basin, Acta Sedimentologica Sinica. Aug. 30(4), 706-715 (In Chinese with English abstract).
- Schmid, S., Worden, R.H., Fisher, Q.J., 2004. Diagenesis and reservoir quality of the Sherwood Sandstone (Triassic), Corrib field, Slyne Basin, west of Ireland. Mar. Pet. Geol. 21, 299-315.
- Schmidt V,Mc Donald D A. The role of secondary porosity in the course of sandstone diagenesis[J]. SEPM Special Publication 1979,(26):175-207.
- Seifert W K, Moldowan J M, Jones R W. 1980. Application of biological marker chemistry to petroleum exploration. In: Proceedings of the Tenth World Petroleum Congress. Philadelphia, PA: Heyden& Son, Inc., 425-440.
- Shu Ping, Ding Rixin, Qu Yanming, Ji Xueyan. Lithologic and lithofacies patterns of volcanic reservoirs in Xushen Gas Field. Nat Gas Ind 2007;27(8):23-8.
- S.M.C. Anjos, L. DeRos, C.M.A. Silva, Chlorite authigenesis and porosity preservation in the Upper Cretaceous marine sandstones of the Santos Basin, offshore eastern Brazil, Int. Assoc. Sedimentology 34 (2) (2003) 291-316.
- S. Bloch, R.H. Lander, L. Bonnell, Anomalously high porosity and permeability in deeply buried sandstone reservoirs: origin and predictability, AAPG Bull. 86 (2) (2002) 301-328. [CrossRef]
- urdam R C, Boese S W, Crossey L J. The chemistry of secondary porosity[G]. AAPG Memoir 37, 1984: 127-149.
- Vail P R.Stratigraphy Interpretation Using Sequence Stratigraph.Partl: Stratigraphy Interpretation Procedure. In Bally AW ed, Aalas of Seismic Stratigrphy [J]. AAPG, Studies in Seology. 1987. 27:1-10.
- Wang Yougong, Yan Meng, Lang Yue, Fu Guang, Li Xin, 2015. Re-determining source faults of the Upper Cretaceous Putaohua oil layer in Sanzhao sag of Songliao Basin, NE China, PETROL. EXPLOR. DEVELOP, 42(6): 802-809.
- Wheel. Baselevel Transitcycle.D.E Merriam. Symposium. on Cyclic Sedimentation [J].Kansas: Kansas Geological Survey Bulletin, 1964, 169: 623-630.
- Wang Pujun, Chi Yuanlin, Liu Wanzhu, Cheng Rihui, Shan Xuanlong, Ren Yanguang. Volcanic facies of the Songliao Basin: classification, characteristics and reservoir significance. J Jilin Univ Earth Sci Ed 2003; 33(4):449-56.
- Wang, Lili, 2012. Characteristics of Hydrocarbon Accumulation of Fuyu Reservoir in Chaoyanggou-Changchunling Area, Xinjiang Petroleum Geology. Aug. 33(4), 456-458 (In Chinese with English abstract).
- Wang, Yuzhen, 2014. Formation and distributon of the abnormal pressures in 3Chaoyanggou terrace-Changchunling anticlinal belts, Petroleum Geology and Oilfield Development in Daqing. Aug. 33(4), 29-35 (In Chinese with English abstract).
- Wimmers, K., Koehrer, B., 2014. Integration of sedimentology, petrophysics and rock typing as key to understanding a tight gas reservoir. Oil Gas Eur. Mag. 40, 196-200.
- Wei Wei, Chenchen Zhang, Shun Zhang, Chaodong Wu, Kexin Yang, 2017. Study on the Cretaceous turbidite and reservoir features in the Qingshankou Formation in northern Songliao Basin, NE China, Marine and Petroleum Geology 78 (2016) 797-806. [CrossRef]
- Xiaomin Zhu , Hongliu Zeng , Shunli Li , Yanlei Dong, Shifa Zhu, Dongna Zhao, Wei Huang, 2017. Sedimentary characteristics and seismic geomorphologic responses of a shallow-water delta in the Qingshankou Formation from the Songliao Basin, China, Marine and Petroleum Geology 79, 131-148. [CrossRef]
- X.Q. Ding, P. Yang, M.M. Han, et al., Characteristics of gas accumulation in a less efficient tight-gas reservoir, He 8 interval, Sulige gas field, Ordos Basin, China, Russ. Geol. Geophys. 57 (7) (2016) 1064-1077. [CrossRef]
- Zeng Hongliu, Zhu Xiaomin, Zhu Rukai, Zhang Qingshi, 2013. Seismic prediction of sandstone diagenetic facies: Applied to Cretaceous Qingshankou Formation in Qijia Depression, Songliao Basin, East China Petrol explore develop, 40(3): 287-295.
- Zhang, J.L., Qin, L.J., Zhang, Z.J., 2008. Depositional facies, diagenesis and their impact on the reservoir quality of Silurian sandstones from Tazhong area in central Tarim Basin, western China. J. Asian Earth Sci. 33, 42-60. [CrossRef]
- Zhao, B., Wang, C.S., Wang, X.F., 2013. Late Cretaceous (Campanian) Provenance change in the Songliao Basin, NE China: Evidence from detrital zircon U-Pb ages from the Yaojia and Nenjiang Formations. Palaeogeography, Palaeoclimatology, Palaeoecology 385, 83-94.
- Zou, C., Jia, C., Zhao, W., Tao, S., Gu, Z., Hou, J., 2005. Accumulation dynamics and distribution of litho stratigraphic reservoirs in South Songliao Basin. Pet. Explor. Dev. 32, 125-130.
- Zhang, L., Wang, Y.M., Li, S.Q., Han, J.H., Zhang, X.T., Zhu, Y.H., Wang, G.Y., Yang, T., 2009. High-resolution sequence stratigraphic characteristic and favorable hydrocarbon accumulation prediction of Sifangtai to Mingshui formation in the north of Songliao Basin. Journal of Central South University (Science and Technology) 40 (6), 1679-1688.
- Zhu, X.M., Liu, Y., Fang, Q., Li, Y., Liu, Y.Y., Wang, R., Song, J., Liu, S.Q., Cao, H.T., Liu, X.N., 2012. Formation and sedimentary model of shallow delta in largescale lake.example from cretaceous Quantou Formation in Sanzhao Sag, Songliao Basin. Earth Sci. Front. 19 (1), 89-99 (In Chinese with English abstract).













| well | M19 | M69 | M103 | M26 | M29 | M68 | M117 | M25 | M1 |
| Production t/d | 17.10 | 0.80 | 0.40 | 17.40 | 0.50 | 0.10 | 0.90 | 1.80 | 0.10 |
| Porosity(%) | 20.21 | 4.80 | 9.10 | 19.70 | 13.30 | 5.20 | 11.60 | 16.30 | 7.20 |
| Permeability(×10-3µm3) | 18.60 | 0.10 | 0.24 | 23.90 | 0.28 | 0.49 | 0.08 | 1.20 | 0.03 |
| well | M37 | M35 | M51 | C110 | C106 | C112 | C113 | C114 | H3 |
| production t/d | 8.20 | 16.90 | 0.10 | 13.30 | 6.30 | 2.70 | 0.30 | 0.10 | 2.10 |
| Porosity(%) | 18.80 | 13.90 | 0.06 | 33.50 | 21.01 | 12.60 | 15.30 | 13.20 | 19.70 |
| Permeability(×10-3µm3) | 5.20 | 10.60 | 5.30 | 165.10 | 16.97 | 2.31 | 0.65 | 0.27 | 6.10 |
| well | C107 | C104 | C102 | C101 | F154 | F158 | T25 | T26 | H4 |
| production t/d | 8.20 | 0.90 | 1.40 | 6.30 | 6.60 | 6.60 | 0.10 | 0.40 | 1.90 |
| Porosity(%) | 26.40 | 20.30 | 21.70 | 30.80 | 20.90 | 22.20 | 8.20 | 9.70 | 18.40 |
| Permeability(×10-3µm3) | 96.20 | 2.94 | 4.45 | 88.81 | 59.90 | 40.60 | 0.02 | 0.08 | 2.50 |
| Well name | Location | Sample No. | Depth(m) | Detrital component /% | Cements(%) | Porosity(%) | Permeability(Md) | ||||||||
| Quartz | Feldspar | Rock fragments | Carbonate | Mud | Grey | Quartz increase | |||||||||
| Potash | Plagioclase | Igneous | Metamorphic | Sedimentary | |||||||||||
| M19 | Mindong | S3 | 1171.16 | 31 | 16 | 15 | 31 | 3 | 4 | 6 | 2 | 0 | 0 | 19 | 8.9 |
| M19 | Mindong | S18 | 1176.05 | 36 | 16 | 17 | 25 | 3 | 3 | 3.4 | 1 | 2 | 0 | 19.1 | 14 |
| M19 | Mindong | S20 | 1178.13 | 36 | 18 | 20 | 18 | 3 | 5 | 7.9 | 8 | 11 | 1 | 12.7 | 0.81 |
| M103 | Mindong | S1 | 749.68 | 37 | 15 | 16 | 24 | 2 | 5 | 1.4 | 0 | 27 | 0 | 22.8 | 0.82 |
| M26 | Mindong | S7 | 1129.65 | 29 | 15 | 20 | 30 | 2 | 0 | 0.9 | 3 | 0 | 2 | 18.5 | 0.13 |
| M26 | Mindong | S26 | 1135.13 | 38 | 8 | 23 | 25 | 2 | 0 | 2.2 | 3 | 1 | 2 | 16.3 | 0.85 |
| M26 | Mindong | S34 | 1143.07 | 37 | 12 | 19 | 25 | 2 | 0 | 10.7 | 4 | 1 | 0 | 10.4 | 0.17 |
| M117 | Mindong | 3 | 1089.93 | 32 | 18 | 20 | 2 | 0 | 0 | 15 | 1 | 0 | 2 | 9.3 | 0.2 |
| M35 | Mindong | 20 | 1062.71 | 30 | 12 | 15 | 37 | 3 | 3 | 0 | 0 | 0 | 2 | 17.3 | 0.99 |
| M35 | Mindong | S17 | 1063.67 | 30 | 15 | 15 | 30 | 2 | 8 | 0 | 0 | 0 | 3 | 18.2 | 3.8 |
| M57 | Mindong | 6 | 989.26 | 35 | 14 | 13 | 35 | 3 | 0 | 0.2 | 2 | 1 | 3 | 17.8 | 0.81 |
| M57 | Mindong | 8 | 989.86 | 35 | 15 | 13 | 30 | 5 | 2 | 4.4 | 0 | 4 | 3 | 16.2 | 9.81 |
| M51 | Mindong | 30 | 899.46 | 49 | 26 | 0 | 0 | 0 | 25 | 16.4 | 0 | 32 | 0 | 10.9 | 0.03 |
| F161 | Mindong | 25 | 649.65 | 30 | 14 | 18 | 38 | 0 | 0 | 1.5 | 2 | 1 | 0 | 21.5 | 38 |
| F235 | Changchunling | 11 | 308.85 | 36 | 22 | 16 | 24 | 2 | 0 | 2.9 | 0 | 0 | 0 | 28.1 | 92.81 |
| F235 | Changchunling | 31 | 311.85 | 30 | 23 | 10 | 35 | 2 | 0 | 5.4 | 2 | 1 | 0 | 25 | 38.97 |
| F223 | Changchunling | s2 | 238.98 | 38 | 20 | 1 | 41 | 0 | 0 | 4.8 | 18 | 3 | 2 | 27.4 | 50.4 |
| F223 | Changchunling | 6 | 269.96 | 30 | 24 | 2 | 44 | 0 | 0 | 2.9 | 15 | 0 | 2 | 25.1 | 27.3 |
| F223 | Changchunling | s10 | 275.56 | 32 | 25 | 3 | 40 | 0 | 0 | 1.7 | 21 | 1 | 0 | 25.2 | 29.5 |
| F223 | Changchunling | s20 | 280.31 | 32 | 25 | 2 | 42 | 0 | 0 | 4.7 | 27 | 2 | 1 | 25.8 | 0 |
| F223 | Changchunling | s23 | 287.46 | 31 | 24 | 1 | 45 | 0 | 0 | 9.7 | 5 | 0 | 2 | 22.2 | 80.6 |
| F223 | Changchunling | s30 | 292.74 | 31 | 22 | 3 | 43 | 0 | 0 | 3.6 | 5 | 1 | 2 | 24.2 | 57.8 |
| F215 | Changchunling | 10 | 310.34 | 29 | 24 | 2 | 0 | 0 | 0 | 5.1 | 27 | 1 | 0 | 24.7 | 52.2 |
| F215 | Changchunling | 18 | 333.84 | 29 | 23 | 3 | 0 | 0 | 0 | 0.1 | 13 | 1 | 0 | 27.8 | 135.3 |
| F215 | Changchunling | 22 | 337.93 | 26 | 23 | 3 | 0 | 0 | 0 | 0.4 | 12 | 1 | 0 | 28.8 | 332.3 |
| F215 | Changchunling | 25 | 339.86 | 27 | 24 | 2 | 0 | 0 | 0 | 2.1 | 13 | 2 | 0 | 27.4 | 152.1 |
| C107 | Changchunling | 6 | 188.97 | 28 | 23 | 12 | 31 | 3 | 3 | 0.31 | 2 | 1 | 0 | 29.1 | 500.26 |
| C107 | Changchunling | 11 | 212.87 | 28 | 23 | 12 | 32 | 2 | 4 | 1.88 | 3 | 1 | 0 | 28.6 | 507.21 |
| C107 | Changchunling | 18 | 216.47 | 26 | 24 | 12 | 33 | 3 | 2 | 1.88 | 2 | 1 | 0 | 30.8 | 871.19 |
| C107 | Changchunling | 21 | 218.27 | 26 | 24 | 12 | 33 | 3 | 2 | 3.13 | 2 | 1 | 0 | 33.2 | 507.21 |
| C107 | Changchunling | 23 | 220.17 | 26 | 24 | 12 | 33 | 3 | 2 | 4.85 | 2 | 3 | 0 | 25.2 | 203.95 |
| C107 | Changchunling | s27 | 223.32 | 26 | 24 | 12 | 33 | 3 | 2 | 3.44 | 2 | 3 | 0 | 25.1 | 290.68 |
| Mindong/Changchunling physical property | Distributary channel | (underwater) distributary channel | Split Bay | Sheet sand | Mouth bar |
| Mindong porosity(%) | 20-30 | 16-25 | 10-18 | 12-20 | 14-22 |
| Mindong permeability(Md) | 60-100 | 20-120 | 0.1-1 | 0.5-2 | 2-10 |
| Changchunling porosity(%) | 22-32 | 18-30 | 12-25 | 12-20 | 14-22 |
| Changchunling permeability(Md) | 80-120 | 40-140 | 0.1-1 | 0.5-2 | 2-10 |
Disclaimer/Publisher’s Note: The statements, opinions and data contained in all publications are solely those of the individual author(s) and contributor(s) and not of MDPI and/or the editor(s). MDPI and/or the editor(s) disclaim responsibility for any injury to people or property resulting from any ideas, methods, instructions or products referred to in the content. |
© 2025 by the authors. Licensee MDPI, Basel, Switzerland. This article is an open access article distributed under the terms and conditions of the Creative Commons Attribution (CC BY) license (http://creativecommons.org/licenses/by/4.0/).