Submitted:
26 March 2025
Posted:
27 March 2025
You are already at the latest version
Abstract
Keywords:
Introduction
2. Literature Review, Theoretical Background, and Hypotheses
2.1 Board Gender Diversity and Firm Performance
2.2 Theoretical Frameworks
2.3 The Saudi Arabian Context
2.4 Hypotheses Development
3. Data and Methodology
3.1 Sample Selection and Data Sources
3.2 Variable Definitions
3.2.1 Dependent Variables
3.2.2 Independent Variables
3.2.3 Control Variables
3.3 Empirical Models
3.4 Descriptive Statistics
3.5 Correlation analysis
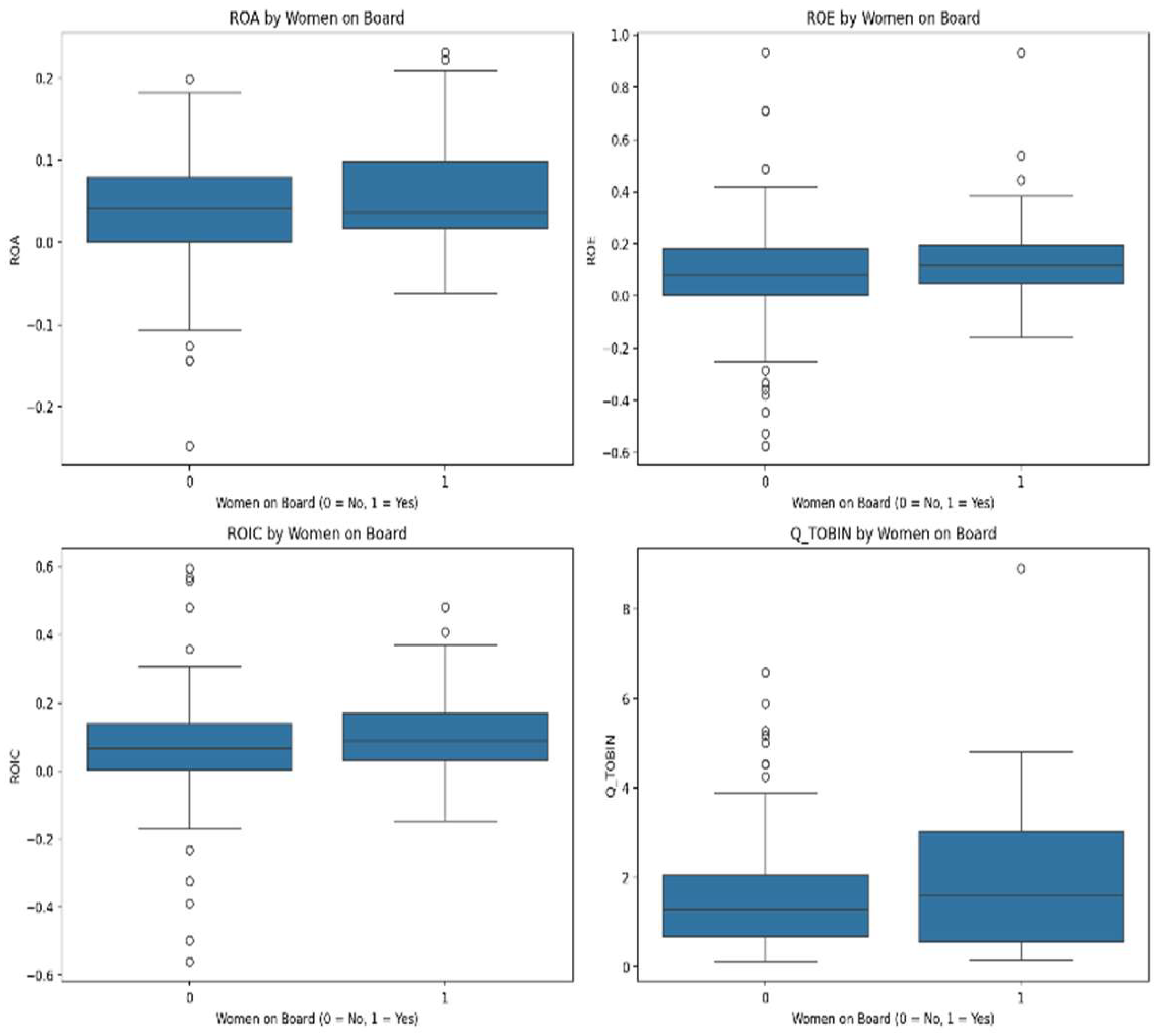
3.6 Comparative analysis between sub-groups
4. Empirical results
4.1 Baseline regression analysis
4.2 Extended Model Specifications
4.3. Subsample analysis
4.4 Robustness check
4.4.1 Quantile Regression
4.4.2. Winsorized Variables
4.4.3. Synthesis of Robustness Findings
5. Discussion
6. Implications and Recommendations
7. Limitations and Future Research
8. Conclusion
Author Contributions
Funding
Institutional Review Board Statement
Informed Consent Statement
Data Availability Statement
Conflicts of Interest
References
- Abd El Basset, F.; Bell, R.; Al Kharusi, B. Reducing barriers to female entrepreneurship in Oman: does family matter? Journal of Enterprising Communities: People and Places in the Global Economy 2024, 18, 1241–1260. [Google Scholar] [CrossRef]
- Abdullah, S.N.; Ismail KN, I.K.; Nachum, L. Does having women on boards create value? The impact of societal perceptions and corporate governance in emerging markets. Strategic Management Journal 2016, 37, 466–476. [Google Scholar]
- Adams, R.B. The limits of board diversity: When does gender inclusivity fail to add value? Corporate Governance: An International Review 2024, 32, 210–230. [Google Scholar]
- Adams, R.B.; Ferreira, D. Women in the boardroom and their impact on governance and performance. Journal of Financial Economics 2009, 94, 291–309. [Google Scholar] [CrossRef]
- Ahern, K.R.; Dittmar, A.K. The changing of the boards: The impact on firm valuation of mandated female board representation. The Quarterly Journal of Economics 2012, 127, 137–197. [Google Scholar] [CrossRef]
- Aladwey LM, A.; Alsudays, R.A. Does the Cultural Dimension Influence the Relationship between Firm Value and Board Gender Diversity in Saudi Arabia, Mediated by ESG Scoring? Journal of Risk and Financial Management 2023, 16, 512. [Google Scholar] [CrossRef]
- Al-Hussainan, S.; Kamal, Y. Gender diversity in Arab family businesses: A catalyst for governance reform? Corporate Governance: An International Review 2024, 32, 45–63. [Google Scholar]
- Al-Janadi, Y.; Abdul Rahman, R.; Alazzani, A. Does government ownership affect corporate governance and corporate disclosure? Evidence from Saudi Arabia. Managerial Auditing Journal 2016, 31, 871–890. [Google Scholar] [CrossRef]
- Alshareef, M.N.; Sulimany, H.G.H. Effects of board gender and foreign directorship on the financial sustainability of Saudi listed firms: Does family ownership matter? Heliyon 2024, 10, e39359. [Google Scholar] [CrossRef]
- Alsharif, A.; Bashir, F. Economic transformation under Saudi Vision 2030: challenges and opportunities. Journal of Arabian Studies 2023, 13, 45–60. [Google Scholar]
- Bear, S.; Rahman, N.; Post, C. The impact of board diversity and gender composition on corporate social responsibility and firm reputation. Journal of business ethics 2010, 97, 207–221. [Google Scholar] [CrossRef]
- Bennouri, M.; Chtioui, T.; Nagati, H.; Nekhili, M. Female board directorship and firm performance: What really matters? Journal of Banking & Finance 2018, 88, 267–291. [Google Scholar]
- Campbell, K.; Mínguez-Vera, A. Gender diversity in the boardroom and firm financial performance. Journal of Business Ethics 2008, 83, 435–451. [Google Scholar] [CrossRef]
- Conyon, M.J.; He, L. Firm performance and boardroom gender diversity: A quantile regression approach. Journal of Business Research 2017, 79, 198–211. [Google Scholar] [CrossRef]
- Douma, S.; George, R.; Kabir, R. Foreign and domestic ownership, business groups, and firm performance: Evidence from a large emerging market. Strategic Management Journal 2006, 27, 637–657. [Google Scholar] [CrossRef]
- Eulaiwi, B.; Al-Hadi, A.; Taylor, G.; Al-Yahyaee, K.H.; Evans, J. Multiple directorships, family ownership and the board nomination committee: International evidence from the GCC. Emerging markets review 2016, 28, 61–88. [Google Scholar] [CrossRef]
- Faccio, M. , Marchica, M. T., & Mura, R. CEO gender, corporate risk-taking, and the efficiency of capital allocation. Journal of Corporate Finance 2016, 39, 193–209. [Google Scholar]
- Ferreira, M.A.; Matos, P. The colors of investors' money: The role of institutional investors around the world. Journal of Financial Economics 2008, 88, 499–533. [Google Scholar] [CrossRef]
- Hambrick, D.C.; Mason, P.A. Upper echelons: The organization as a reflection of its top managers. Academy of Management Review 1984, 9, 193–206. [Google Scholar] [CrossRef]
- Hillman, A.J.; Shropshire, C.; Cannella, A.A. Jr. Organizational predictors of women on corporate boards. Academy of management journal 2007, 50, 941–952. [Google Scholar] [CrossRef]
- Hoobler, J.M.; Masterson, C.R.; Nkomo, S.M.; Michel, E.J. The business case for women leaders: Meta-analysis and implications. Journal of Management 2018, 44, 2471–2499. [Google Scholar] [CrossRef]
- Ibrahim, N.A.; Angelidis, J.P. Effect of Board Members Gender on Corporate Social Responsiveness Orientation. Journal of Applied Business Research 1994, 10, 35. [Google Scholar] [CrossRef]
- Jensen, M.C.; Meckling, W.H. Theory of the firm: Managerial behavior, agency costs, and ownership structure. Journal of Financial Economics 1976, 3, 305–360. [Google Scholar] [CrossRef]
- Khanna, T.; Palepu, K. Is group affiliation profitable in emerging markets? An analysis of diversified Indian business groups. The Journal of Finance 2000, 55, 867–891. [Google Scholar]
- Kılıç, M. , & Kuzey, C. The effect of board gender diversity on firm performance: evidence from Turkey. Gender in management: An international journal 2016, 31, 434–455. [Google Scholar]
- Kirsch, A. The paradox of diversity initiatives: When good intentions backfire. Organization Science 2023, 34, 1–25. [Google Scholar]
- Liu, Y. Gender diversity and firm innovation in China. Asia Pacific Journal of Management 2021, 38, 1369–1395. [Google Scholar]
- Marinova, J.; Plantenga, J.; Remery, C. Gender diversity and firm performance: Evidence from Dutch and Danish boardrooms. The International Journal of Human Resource Management 2016, 27, 1777–1790. [Google Scholar] [CrossRef]
- Matsa, D.A.; Miller, A.R. A female style in corporate leadership? Evidence from quotas. American Economic Journal: Applied Economics 2013, 5, 136–169. [Google Scholar]
- Ming, C.; Hock Eam, L. Estimating the nonlinear effects of female directors on financial performance: The case of Malaysian initial public offering companies. Gender in Management: An International Journal 2016, 31, 97–113. [Google Scholar] [CrossRef]
- Pfeffer, J. , & Salancik, G. R. (1978). The external control of organizations: A resource dependence perspective. Harper & Row.
- Post, C.; Byron, K. Women on boards and firm value: A meta-analysis. Journal of Corporate Finance 2023, 71, 102345. [Google Scholar]
- Post, C.; Byron, K. Women on boards and financial performance: A meta-analysis. The Academy of Management Journal 2015, 58, 1546–1571. [Google Scholar] [CrossRef]
- Post, C.; Rahman, N.; Rubow, E. Board gender diversity and firm performance: The role of national culture. Journal of Business Ethics 2020, 173, 329–346. [Google Scholar]
- Rao, K.; Tilt, C. Board composition and corporate social responsibility: The role of diversity, gender, strategy and decision making. Journal of business ethics 2016, 138, 327–347. [Google Scholar] [CrossRef]
- Saudi Vision 2030 (2023). M: Saudi Vision 2030, 2030.
- Setó-Pamies, D.; Lozano, J.M. The ethical edge: How female directors shape corporate social responsibility. Journal of Business Ethics 2024, 189, 501–520. [Google Scholar]
- Shukeri, S.N.; DAlfordy, F. Female director in boardroom: Does it affect board compensation package and firm performance in Saudi Arabia? Cogent Business & Management 2022, 9.
- Terjesen, S.; Sealy, R. Beyond tokenism: Board gender diversity and long-term firm value. Journal of Business Ethics 2024, 189, 1–18. [Google Scholar]
- Terjesen, S.; Couto, E.B.; Francisco, P.M. Does the presence of independent and female directors impact firm performance? A multi-country study of board diversity. Journal of Management & Governance 2016, 20, 447–483. [Google Scholar]



| ROA | ROE | ROIC | Q_TOBIN | FO | SIZE | DEBT_EQUITY | WTOM | INDEP | |
| Mean | 0.0408 | 0.1012 | 0.0777 | 1.6834 | 0.0630 | 21.8594 | 0.6952 | 0.0266 | 0.3986 |
| Median | 0.0415 | 0.0930 | 0.0700 | 1.3400 | 0.0528 | 21.4853 | 0.4150 | 0.0000 | 0.3750 |
| St. Dev. | 0.0735 | 0.2020 | 0.1550 | 1.3859 | 0.0449 | 1.8867 | 0.9112 | 0.0583 | 0.1272 |
| Kurtosis | 1.1806 | 4.0774 | 3.6603 | 4.3965 | 0.8287 | 1.4138 | 9.5659 | 6.1883 | 0.8857 |
| Skewness | -0.2518 | 0.4666 | -0.1313 | 1.7511 | 1.0607 | 1.1398 | 2.6396 | 2.3795 | 0.4214 |
| Minimum | -0.2469 | -0.5733 | -0.5601 | 0.1200 | 0.0000 | 18.0538 | 0.0000 | 0.0000 | 0.0000 |
| Maximum | 0.2310 | 0.9339 | 0.5941 | 8.9100 | 0.2202 | 28.5519 | 5.5700 | 0.3333 | 0.7778 |
| Count | 180 | 180 | 180 | 180 | 180 | 180 | 180 | 180 | 180 |
| Variable | Group0_Mean | Group1_Mean | T_Stat | P_Value | Nb. Obs. Grp0 | Nb. Obs. Grp1 |
| ROA | 0.0354 | 0.0625 | -1.9857 | 0.052 | 144 | 36 |
| ROE | 0.0867 | 0.1589 | -1.9735 | 0.053 | 144 | 36 |
| ROIC | 0.0681 | 0.1159 | -1.872 | 0.066 | 144 | 36 |
| Q_TOBIN | 1.5984 | 2.0230 | -1.3465 | 0.185 | 144 | 36 |
| FO | 0.0614 | 0.0691 | -0.866 | 0.39 | 144 | 36 |
| SIZE | 21.6092 | 22.8601 | -3.1080 | 0.003 | 144 | 36 |
| DEBT_EQUITY | 0.7306 | 0.5536 | 1.3392 | 0.184 | 144 | 36 |
| INDEP | 0.4047 | 0.3739 | 1.5642 | 0.122 | 144 | 36 |
| Variable | ROA | ROE | ROIC | Q_TOBIN |
| Constant | 0.010 | 0.070 | 0.120 | 6.928*** |
| WOMEN | 0.024* | 0.066* | 0.047* | 0.711*** |
| SIZE | 0.0002 | -0.003 | -0.005 | -0.262*** |
| FO | 0.337** | 1.159*** | 0.848*** | 5.376** |
| R-squared | 0.065 | 0.082 | 0.066 | 0.110 |
| Adj. R-squared | 0.049 | 0.066 | 0.050 | 0.095 |
| F-statistic | 4.079 | 5.244 | 4.166 | 7.285 |
| Prob (F-statistic) | 0.008 | 0.002 | 0.007 | 0.000 |
| LM Stat P-value | 0.1705 | 0.7619 | 0.4153 | 0.1665 |
| B-P F test P-value | 0.1725 | 0.7664 | 0.4207 | 0.1684 |
| Observations | 180.0 | 180.0 | 180.0 | 180.0 |
| Variable | ROA | ROE | ROIC | Q_TOBIN |
| Constant | 0.014 | 0.014 | 0.046 | 7.320*** |
| WOMEN | 0.017 | 0.047 | 0.030 | 0.592* |
| SIZE | 0.002 | 0.003 | 0.0001 | -0.242*** |
| FO | 0.347*** | 1.220*** | 0.918*** | 5.342* |
| DEBT_EQUITY | -0.020*** | -0.060** | -0.060*** | -0.267*** |
| INDEP | -0.063 | -0.044 | -0.003 | -1.541* |
| R-squared | 0.133 | 0.151 | 0.183 | 0.156 |
| Adj. R-squared | 0.108 | 0.127 | 0.160 | 0.132 |
| Subsample | Dependent | WOMEN Coef | R-squared | N | WOMEN p-value |
| Large Firms | ROA | 0.021 | 0.1982 | 90 | 0.1570 |
| Small Firms | ROA | 0.011 | 0.175 | 90 | 0.6520 |
| High Foreign Ownership | ROA | 0.029 | 0.2881 | 90 | 0.0724 * |
| Low Foreign Ownership | ROA | -0.003 | 0.1351 | 90 | 0.8870 |
| Large Firms | ROE | 0.0624 | 0.2202 | 90 | 0.1486 |
| Small Firms | ROE | 0.0136 | 0.144 | 90 | 0.8369 |
| High Foreign Ownership | ROE | 0.0817 | 0.2385 | 90 | 0.1256 |
| Low Foreign Ownership | ROE | -0.0086 | 0.0671 | 90 | 0.8655 |
| Large Firms | ROIC | 0.0339 | 0.4018 | 90 | 0.2283 |
| Small Firms | ROIC | 0.0031 | 0.1519 | 90 | 0.9531 |
| High Foreign Ownership | ROIC | 0.0506 | 0.3379 | 90 | 0.1754 |
| Low Foreign Ownership | ROIC | -0.0091 | 0.0695 | 90 | 0.8222 |
| Large Firms | Q_TOBIN | 0.637 | 0.1765 | 90 | 0.0777 * |
| Small Firms | Q_TOBIN | 0.4118 | 0.2075 | 90 | 0.2640 |
| High Foreign Ownership | Q_TOBIN | 0.8333 | 0.2342 | 90 | 0.0385 ** |
| Low Foreign Ownership | Q_TOBIN | 0.2585 | 0.1482 | 90 | 0.3880 |
| ROA | ROE | ROIC | Q_TOBIN | |
| Quantile | Coefficient | Coefficient | Coefficient | Coefficient |
| 0.1 | 0.0079 | 0.0558 | 0.0405 | -0.0284 |
| 0.25 | -0.0041 | -0.0074 | -0.0002 | 0.1880 |
| 0.5 | 0.0098 | 0.0193 | 0.0246 | 0.4686** |
| 0.75 | 0.0128 | 0.0044 | 0.0271 | 0.5748 |
| 0.9 | 0.0477** | 0.1733*** | 0.1122*** | 1.6346*** |
| Variable | ROA (win) | ROE (win) | ROIC (win) | Q_TOBIN (win) |
| Constant | 0.044 | -0.023 | 0.078 | 6.417*** |
| WOMEN | 0.016 | 0.039 | 0.034* | 0.596** |
| SIZE | -0.001 | 0.002 | -0.002 | -0.237*** |
| FO | 0.304*** | 0.978*** | 0.730*** | 4.340* |
| R-squared | 0.053 | 0.114 | 0.088 | 0.116 |
| Adj. R-squared | 0.037 | 0.099 | 0.072 | 0.101 |
Disclaimer/Publisher’s Note: The statements, opinions and data contained in all publications are solely those of the individual author(s) and contributor(s) and not of MDPI and/or the editor(s). MDPI and/or the editor(s) disclaim responsibility for any injury to people or property resulting from any ideas, methods, instructions or products referred to in the content. |
© 2025 by the authors. Licensee MDPI, Basel, Switzerland. This article is an open access article distributed under the terms and conditions of the Creative Commons Attribution (CC BY) license (http://creativecommons.org/licenses/by/4.0/).