Submitted:
23 March 2025
Posted:
24 March 2025
You are already at the latest version
Abstract
Keywords:
1. Introduction
2. Methodology
2.1. Experimental concept


2.2. Mathematical models
2.2.1. Variational Phase Field Approach
2.2.2. Lower-dimensional interface elements
3. Numerical Benchmarks
3.1. Concept
- : Intact rock sample under rotating boundary conditions.
- : Intact rock sample with fluid injection.
- : Fully fractured sample.
- : Half-fractured sample.
- : Fully fractured sample with inflow-outflow.
- : Half-fractured sample with inflow-outflow.
- : Propagation of pre-existing fracture by fluid injection.
- : Fracture nucleation from borehole by fluid injection.
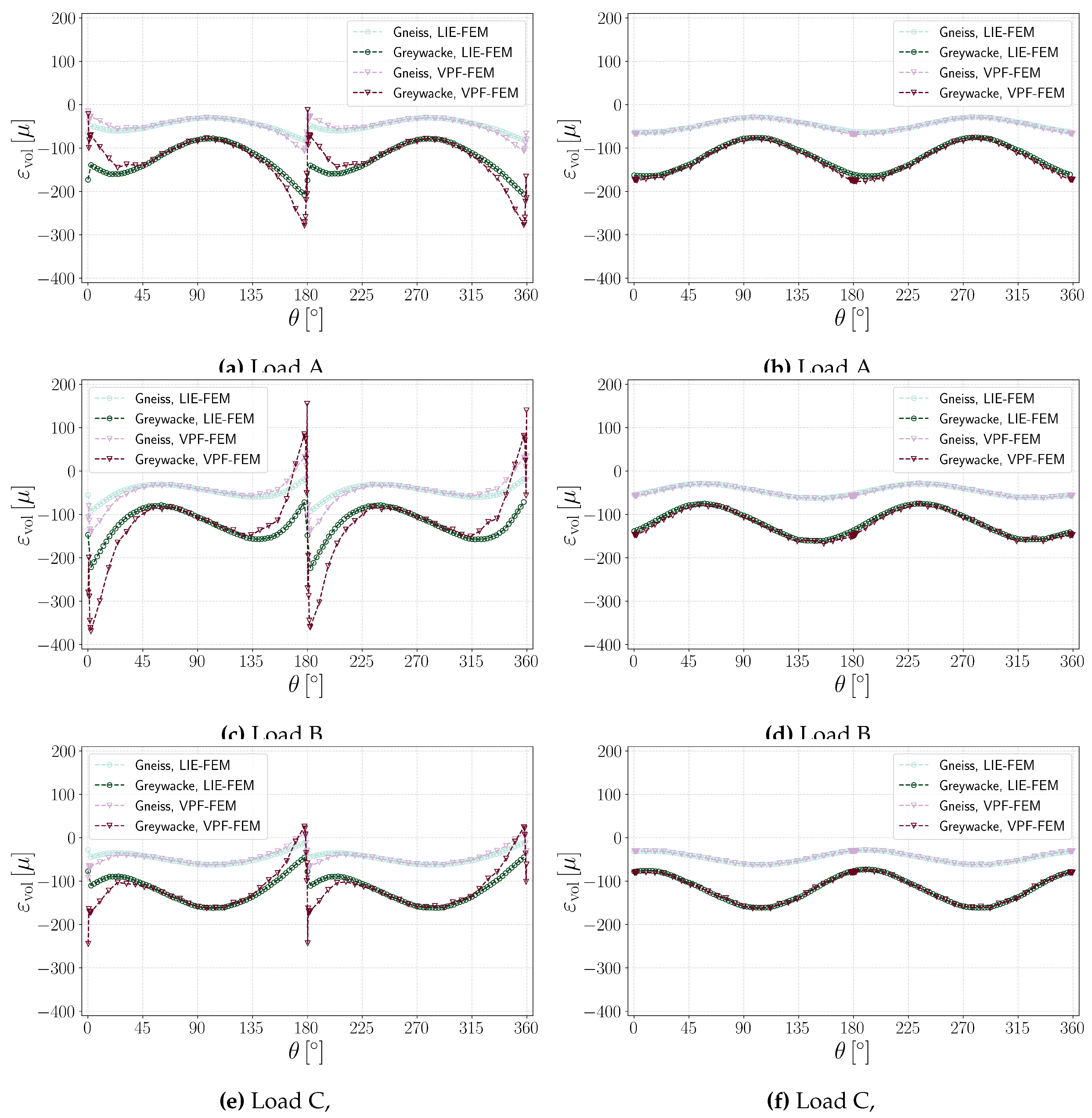
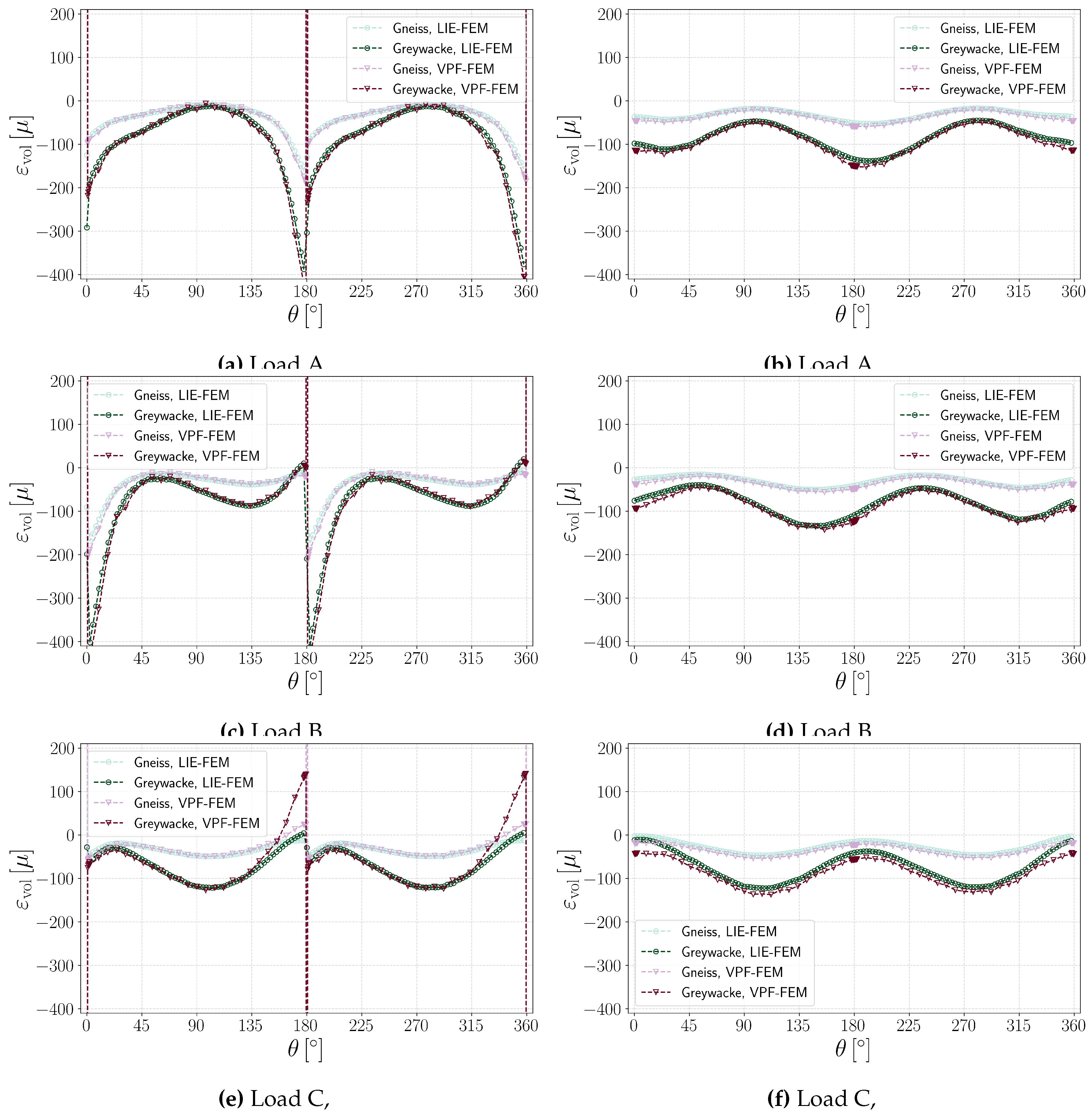
3.2. Intact Rock Tests
3.2.1. Intact Rock Sample under Rotating Boundary Conditions–

3.2.2. Intact Rock Sample with Fluid Injection–

3.3. Fractured Rock Tests
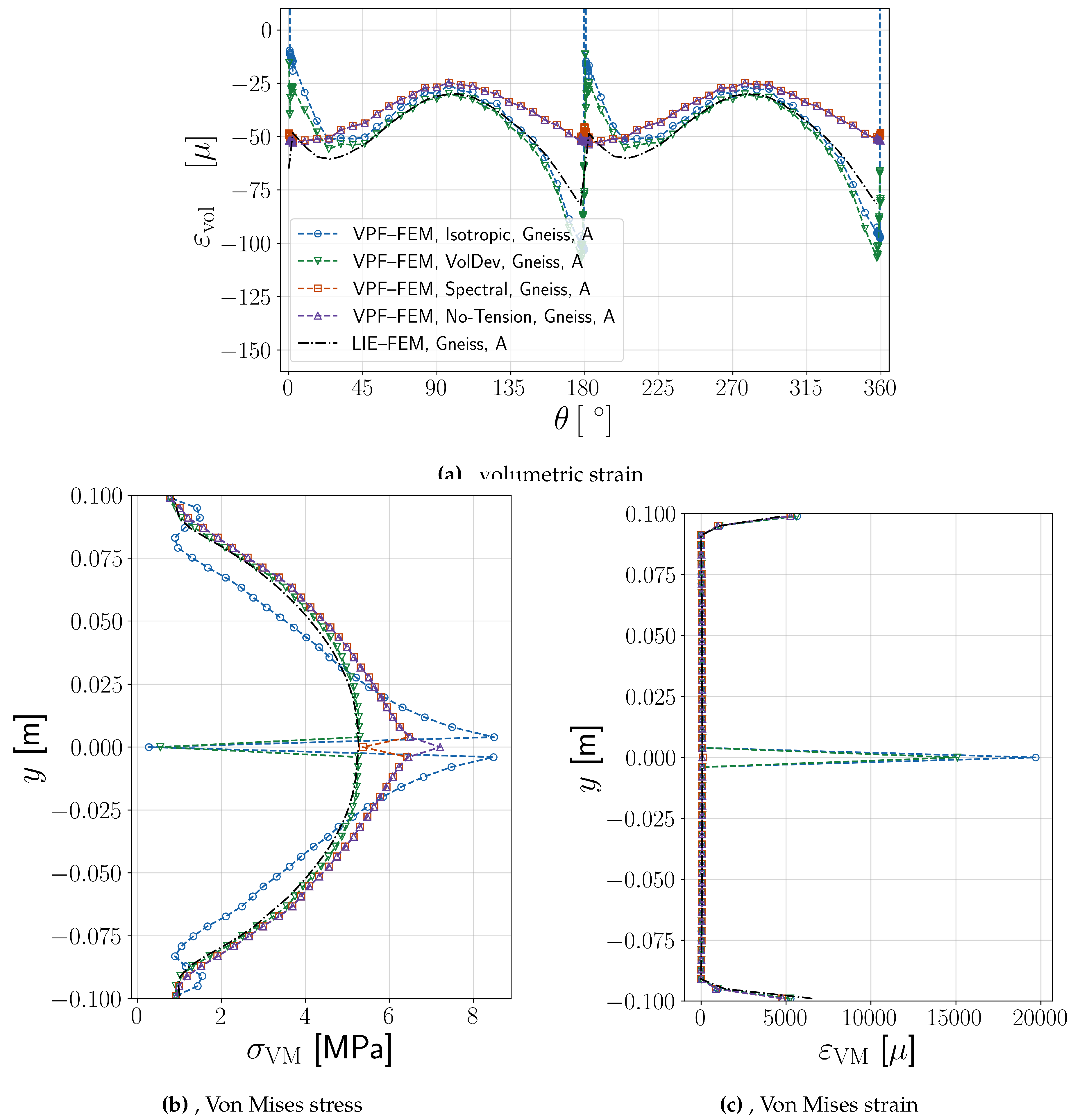
3.3.1. Static Fracture Samples
Fully Fractured Sample–

Half Fractured Sample–



Fully Fractured Sample with Fluid Injection–


Half Fractured Sample with Fluid Injection–



3.4. Fracture propagation
3.4.1. Hydraulic Fracturing (pre-existing fracture)–

3.4.2. Hydraulic fracturing (borehole)–

4. Discussion
4.1. , – Intact rock samples
Effect of initial conditions on hydro-mechanical model behavior
4.2. , – Fracture mechanics
Effect of mesh size in VPF-FEM
Effect of strain energy decomposition approaches in VPF-FEM
Effect of fracture stiffness in LIE-FEM
4.3. , – Effective permeability evolution under different poly-axial loading
4.4. , – Hydraulic Fracturing
5. Conclusions
- For the mechanical benchmarks and , sinusoidal strain patterns are successfully reproduced by both models. Gneiss exhibits smaller strain amplitudes due to its higher stiffness, while Graywacke exhibits larger total compressive strains.
- In static fracture modeling (, ), stress singularities are captured by both methods, showing good agreement far from the fracture. However, the magnitude of volumetric strain jumps, when the probe circle passes through the fracture, is affected by the choice of fracture stiffness in LIE-FEM and strain energy decomposition in VPF-FEM. Consistent global deformation responses are produced by both approaches.
- For the hydro-mechanical cases and , stress redistribution is affected by permeability variations, with normal stress at the fracture plane decreasing as the principal stress angle increases.
- For propagating fractures (and ), the direction of fracture propagation is accurately predicted by VPF-FEM, and the breakdown pressure is consistent with fracture mechanics expectations.
Acknowledgments
Appendix F Jupyter notebooks
Appendix G Numerical benchmarks considerations
- VPF-FEM
-
Fracture states
- –
- Intact matrix: The phase field is uniformly set to 1, effectively suppressing fracture initiation. High fracture toughness is applied to ensure that no fracture propagation occurs.
- –
- Static pre-existing fracture: The phase field is set to 0 in the fracture region and 1 elsewhere, representing a static, non-propagating fracture. The fracture length scale is defined as , where corresponds to the smallest mesh element size.
- –
- Propagating fracture: The material is assigned its nominal fracture toughness, enabling the fracture to propagate under appropriate stress and fluid pressure conditions.
-
Fluid dynamics and matrix interaction
- –
-
No fluid flow (mechanical):
- *
- Fluid injection and pressure boundary conditions are absent, effectively isolating the influence of fluid dynamics.
- *
- The matrix is assumed to be rigid (), resulting in the decoupling of pore pressure from mechanical deformation.
- *
- A high permeability () is prescribed to negate the effects of fluid flow.
- –
-
Fluid flow (hydro-mechanical):
- –
- Fluid is introduced along a line source (in fracture) at a rate of , corresponding to a total injection rate of . In intact samples, since there are no fractures, the fluid is simply injected at a source point.
- –
- A constant pressure boundary condition is imposed along an outlet with a length of h.
- –
- Fluid pressure evolution and its interaction with mechanical deformation are governed by matrix permeability and poro-elastic coupling, characterized by the Biot coefficient.
- LIE–FEM


Appendix H Strain energy decompositions approaches in VPF-FEM
- Isotropic model [49]: This model applies uniform degradation to the total strain energy. It does not distinguish between tensile and compressive contributions, leading to uniform degradation across shear, tensile, and compressive stiffness. Consequently, shear strength cannot be independently controlled.
-
Volumetric-Deviatoric decomposition approach [85]: This model introduces a decomposition into volumetric and deviatoric components. While degradation primarily affects the deviatoric strain energy, positive volumetric strain energy is also subjected to degradation, whereas negative volumetric strain energy remains unaffected. However, shear strength remains intrinsically linked to tensile strength, preventing independent control.Here, represents the deviatoric part of the strain tensor and the symbols and represent the positive and negative parts, respectively, of the trace of the strain tensor, defined as .
- Spectral decomposition approach [86]: This model refines this separation by decomposing the strain tensor into tensile () and compressive () contributions using eigenvalue analysis. The strain tensor is diagonalized in its principal basis as , where are the principal strains (eigenvalues of ), and are the projection tensors, aligned with the eigenvectors . The strain energy decomposition defines aswhich ensures that fracture propagation is driven exclusively by tensile stress while preserving compressive energy. Although this method offers more flexibility in shear strength control, it does not achieve complete decoupling from tensile strength [84].
-
No-Tension decomposition approach [87]: This approach enforces a strict no-tension condition by decomposing the strain tensor into tensile and compressive parts while ensuring that the tensile strain remains a positive semi-definite tensor. The strain is decomposed as where . Therefore, the strain energy decomposition defines asThis model suppresses crack evolution under compressive loads. However, residual stresses introduce the same coupling issues as in the Spectral split, and shear strength remains dependent on tensile behavior [84].
| 1 | |
| 2 |
References
- Birkholzer, J.T.; Bond, A.E.; Hudson, J.A.; Jing, L.; Tsang, C.F.; Shao, H.; Kolditz, O. DECOVALEX-2015: an international collaboration for advancing the understanding and modeling of coupled thermo-hydro-mechanical-chemical (THMC) processes in geological systems. Environmental Earth Sciences 2018, 77. [Google Scholar] [CrossRef]
- Birkholzer, J.T.; Tsang, C.F.; Bond, A.E.; Hudson, J.A.; Jing, L.; Stephansson, O. 25 years of DECOVALEX - Scientific advances and lessons learned from an international research collaboration in coupled subsurface processes. International Journal of Rock Mechanics and Mining Sciences 2019, 122. [Google Scholar] [CrossRef]
- Kolditz, O.; Fischer, T.; Frühwirt, T.; Görke, U.J.; Helbig, C.; Konietzky, H.; Maßmann, J.; Nest, M.; Pötschke, D.; Rink, K.; et al. GeomInt: geomechanical integrity of host and barrier rocks–experiments, models and analysis of discontinuities. Environmental Earth Sciences 2021, 80. [Google Scholar] [CrossRef]
- Birkholzer, J.T.; Bond, A.E. DECOVALEX-2019: An international collaboration for advancing the understanding and modeling of coupled thermo-hydro-mechanical-chemical (THMC) processes in geological systems. International Journal of Rock Mechanics and Mining Sciences 2022, 154. [Google Scholar] [CrossRef]
- Birkholzer, J.T.; Bond, A.E.; Tsang, C.F. The DECOVALEX international collaboration on modeling of coupled subsurface processes and its contribution to confidence building in radioactive waste disposal. Hydrogeology Journal 2024. [Google Scholar] [CrossRef]
- Nguyen, T.S.; Kolditz, O.; Yoon, J.S.; Zhuang, L. Modelling the thermo-mechanical behaviour of a rock joint. Geomechanics for Energy and the Environment 2024, 37, 100520. [Google Scholar] [CrossRef]
- Park, J.W.; Park, C.H.; Zhuang, L.; Yoon, J.S.; Kolditz, O.; McDermott, C.I.; Park, E.S.; Lee, C. Grain-based distinct element modeling of thermally induced slip of critically stressed rock fracture. Geomechanics for Energy and the Environment 2024, 39, 100580. [Google Scholar] [CrossRef]
- Chang, C.C.; Chiou, Y.F.; Shen, Y.H.; Yu, Y.C. Modelling of mass transport in fractured crystalline rock using velocity interpolation and cell-jump particle tracking methods. Geomechanics for Energy and the Environment 2024, 40, 100615. [Google Scholar] [CrossRef]
- Pitz, M.; Grunwald, N.; Graupner, B.; Kurgyis, K.; Radeisen, E.; Maßmann, J.; Ziefle, G.; Thiedau, J.; Nagel, T. Benchmarking a new TH2M implementation in OGS-6 with regard to processes relevant for nuclear waste disposal. Environmental Earth Sciences 2023, 82. [Google Scholar] [CrossRef]
- Sasaki, T.; Yoon, S.; Rutqvist, J. Modelling of failure and fracture development of the Callovo-Oxfordian claystone during an in-situ heating experiment associated with geological disposal of high-level radioactive waste. Geomechanics for Energy and the Environment 2024, 38, 100546. [Google Scholar] [CrossRef]
- Rodriguez-Dono, A.; Zhou, Y.; Olivella, S.; Gens, A. Modelling a gas injection experiment incorporating embedded fractures and heterogeneous material properties. Geomechanics for Energy and the Environment 2024, 38, 100552. [Google Scholar] [CrossRef]
- Song, F.; Gens, A.; Collico, S.; Plúa, C.; Armand, G.; Wang, H. Analysis of thermally-induced fracture of Callovo-Oxfordian claystone: From lab tests to field scale. Geomechanics for Energy and the Environment 2024, 39, 100579. [Google Scholar] [CrossRef]
- Kuhlman, K.L.; Bartol, J.; Benbow, S.J.; Bourret, M.; Czaikowski, O.; Guiltinan, E.; Jantschik, K.; Jayne, R.; Norris, S.; Rutqvist, J.; et al. Synthesis of results for Brine Availability Test in Salt (BATS) DECOVALEX-2023 Task E. Geomechanics for Energy and the Environment 2024, 39, 100581. [Google Scholar] [CrossRef]
- Noghretab, B.; Damians, I.; Olivella, S.; Gens, A. Coupled Hydro-Gas-Mechanical 3D Modeling of LASGIT Experiment. Geomechanics for Energy and the Environment 2024, 100623. [Google Scholar] [CrossRef]
- Wang, J.; Chen, L.; Su, R.; Zhao, X. The Beishan underground research laboratory for geological disposal of high-level radioactive waste in China: planning, site selection, site characterization and in situ tests. Journal of Rock Mechanics and Geotechnical Engineering 2018, 10, 411–435. [Google Scholar] [CrossRef]
- Frank, T.; Becker, D.A.; Benbow, S.; Bond, A.; Jayne, R.; LaForce, T.; Wolf, J. Value of abstraction in performance assessment – When is a higher level of detail necessary? Geomechanics for Energy and the Environment 2024, 39, 100577. [Google Scholar] [CrossRef]
- Hu, G.; Schoenball, M.; Pfingsten, W. Machine learning-assisted heat transport modelling for full-scale emplacement experiment at Mont Terri underground laboratory. International Journal of Heat and Mass Transfer 2023, 213. [Google Scholar] [CrossRef]
- Hu, G.; Pfingsten, W. Data-driven machine learning for disposal of high-level nuclear waste: A review. Annals of Nuclear Energy 2023, 180. [Google Scholar] [CrossRef]
- Li, M.; Wu, Z.; Weng, L.; Zhang, F.; Zhou, Y.; Wu, Y. Cross-scale analysis for the thermo-hydro-mechanical (THM) effects on the mechanical behaviors of fractured rock: Integrating mesostructure-based DEM modeling and machine learning. Engineering Fracture Mechanics 2024, 306. [Google Scholar] [CrossRef]
- Hu, G.; Prasianakis, N.; Churakov, S.V.; Pfingsten, W. Performance analysis of data-driven and physics-informed machine learning methods for thermal-hydraulic processes in Full-scale Emplacement experiment. Applied Thermal Engineering 2024, 245. [Google Scholar] [CrossRef]
- Kolditz, O.; McDermott, C.; Yoon, J.S.; Mollaali, M.; Wang, W.; Hu, M.; Sasaki, T.; Rutqvist, J.; Birkholzer, J.; Park, J.W.; et al. A systematic model and experimental approach to hydro-mechanical and thermo-mechanical fracture processes in crystalline rocks. Geomechanics for Energy and the Environment 2024, 100616. [Google Scholar] [CrossRef]
- Mollaali, M.; Kolditz, O.; Hu, M.; Park, C.H.; Park, J.W.; McDermott, C.I.; Chittenden, N.; Bond, A.; Yoon, J.S.; Zhou, J.; et al. Comparative verification of hydro-mechanical fracture behavior: Task G of international research project DECOVALEX–2023. International Journal of Rock Mechanics and Mining Sciences 2023, 170. [Google Scholar] [CrossRef]
- Frühwirt, T.; Pötschke, D.; Konietzky, H. Simulation of direct shear tests using a forces on fracture surfaces (FFS) approach. Environmental Earth Sciences 2021, 80. [Google Scholar] [CrossRef]
- McDermott, C.; Fraser-Harris, A.; Sauter, M.; Couples, G.; Edlmann, K.; Kolditz, O.; Lightbody, A.; Somerville, J.; Wang, W. New Experimental Equipment Recreating Geo-Reservoir Conditions in Large, Fractured, Porous Samples to Investigate Coupled Thermal, Hydraulic and Polyaxial Stress Processes. Scientific Reports 2018, 8. [Google Scholar] [CrossRef] [PubMed]
- Fraser-Harris, A.; Lightbody, A.; Edlmann, K.; Elphick, S.; Couples, G.; Sauter, M.; McDermott, C. Sampling and preparation of c.200 mm diameter cylindrical rock samples for geomechanical experiments. International Journal of Rock Mechanics and Mining Sciences 2020, 128. [Google Scholar] [CrossRef]
- Fraser-Harris, A.; McDermott, C.; Couples, G.; Edlmann, K.; Lightbody, A.; Cartwright-Taylor, A.; Kendrick, J.; Brondolo, F.; Fazio, M.; Sauter, M. Experimental Investigation of Hydraulic Fracturing and Stress Sensitivity of Fracture Permeability Under Changing Polyaxial Stress Conditions. Journal of Geophysical Research: Solid Earth 2020, 125. [Google Scholar] [CrossRef]
- Sun, C.; Zhuang, L.; Jung, S.; Lee, J.; Yoon, J.S. Thermally induced slip of a single sawcut granite fracture under biaxial loading. Geomechanics and Geophysics for Geo-Energy and Geo-Resources 2021, 7. [Google Scholar] [CrossRef]
- Sun, C.; Zhuang, L.; Yoon, J.S.; Min, K.B. Thermally induced shear reactivation of critically-stressed smooth and rough granite fractures. IOP Conference Series: Earth and Environmental Science 2023, 1124. [Google Scholar] [CrossRef]
- Sun, C.; Zhuang, L.; Youn, D.J.; Yoon, J.S.; Min, K.B. Laboratory investigation of thermal stresses in fractured granite: Effects of fracture surface roughness and initial stress. TUNNELLING AND UNDERGROUND SPACE TECHNOLOGY 2024, 145. [Google Scholar] [CrossRef]
- Yoshioka, K.; Parisio, F.; Naumov, D.; Lu, R.; Kolditz, O.; Nagel, T. Comparative verification of discrete and smeared numerical approaches for the simulation of hydraulic fracturing. GEM - International Journal on Geomathematics 2019, 10. [Google Scholar] [CrossRef]
- Belytschko, T.; Black, T. Elastic crack growth in finite elements with minimal remeshing. International journal for numerical methods in engineering 1999, 45, 601–620. [Google Scholar] [CrossRef]
- Linder, C.; Armero, F. Finite elements with embedded strong discontinuities for the modeling of failure in solids. International Journal for Numerical Methods in Engineering 2007, 72, 1391–1433. [Google Scholar] [CrossRef]
- Feist, C.; Hofstetter, G. An embedded strong discontinuity model for cracking of plain concrete. Computer Methods in Applied Mechanics and Engineering 2006, 195, 7115–7138. [Google Scholar] [CrossRef]
- Ibrahimbegovic, A.; Melnyk, S. Embedded discontinuity finite element method for modeling of localized failure in heterogeneous materials with structured mesh: an alternative to extended finite element method. Computational Mechanics 2007, 40, 149–155. [Google Scholar] [CrossRef]
- Rangarajan, R. Universal Meshes, a New Paradigm for Computing with Nonconforming Triangulations; Stanford University, 2012.
- Hunsweck, M.J.; Shen, Y.; Lew, A.J. A finite element approach to the simulation of hydraulic fractures with lag. International Journal for Numerical and Analytical Methods in Geomechanics 2013, 37, 993–1015. [Google Scholar] [CrossRef]
- Mollaali, M.; Ziaei-Rad, V.; Shen, Y. Numerical modeling of CO_2 fracturing by the phase field approach. Journal of Natural Gas Science and Engineering 2019, 70, 102905. [Google Scholar] [CrossRef]
- Bažant, Z.P.; Oh, B.H. Crack band theory for fracture of concrete. Matériaux et construction 1983, 16, 155–177. [Google Scholar] [CrossRef]
- Peerlings, R.H.; Geers, M.G.; de Borst, R.; Brekelmans, W. A critical comparison of nonlocal and gradient-enhanced softening continua. International Journal of solids and Structures 2001, 38, 7723–7746. [Google Scholar] [CrossRef]
- Bourdin, B.; Francfort, G.; Marigo, J.J. Numerical experiments in revisited brittle fracture. Journal of the Mechanics and Physics of Solids 2000, 48, 797–826. [Google Scholar] [CrossRef]
- Nagel, T.; Gerasimov, T.; Remes, J.; Kern, D. Neighborhood Watch in Mechanics: Nonlocal Models and Convolution. SIAM Review 2025, 67, 176–193. [Google Scholar] [CrossRef]
- Francfort, G.A.; Marigo, J.J. Revisiting brittle fracture as an energy minimization problem. Journal of the Mechanics and Physics of Solids 1998, 46, 1319–1342. [Google Scholar] [CrossRef]
- Watanabe, N.; Wang, W.; Taron, J.; Görke, U.; Kolditz, O. Lower-dimensional interface elements with local enrichment: Application to coupled hydro-mechanical problems in discretely fractured porous media. International Journal for Numerical Methods in Engineering 2012, 90, 1010–1034. [Google Scholar] [CrossRef]
- Bilke, L.; Naumov, D.; Wang, W.; Fischer, T.; Lehmann, C.; Buchwald, J.; Shao, H.; Kiszkurno, F.K.; Chen, C.; Silbermann, C.; et al. OpenGeoSys. https://zenodo.org/records/10890088, 2024.
- Bilke, L.; Flemisch, B.; Kalbacher, T.; Kolditz, O.; Helmig, R.; Nagel, T. Development of Open-Source Porous Media Simulators: Principles and Experiences. Transport in Porous Media 2019, 130, 337–361. [Google Scholar] [CrossRef]
- Kolditz, O.; Jacques, D.; Claret, F.; Bertrand, J.; Churakov, S.V.; Debayle, C.; Diaconu, D.; Fuzik, K.; Garcia, D.; Graebling, N.; et al. Digitalisation for nuclear waste management: predisposal and disposal. Environmental Earth Sciences 2023, 82. [Google Scholar] [CrossRef]
- Biot, M.A. General theory of three-dimensional consolidation. Journal of Applied Physics 1941, 12, 155–164. [Google Scholar] [CrossRef]
- Ambati, M.; Gerasimov, T.; De Lorenzis, L. Phase-field modeling of ductile fracture. Computational Mechanics 2015, 55, 1017–1040. [Google Scholar] [CrossRef]
- Bourdin, B.; Francfort, G.; Marigo, J.J. The variational approach to fracture. Journal of Elasticity 2008, 91, 5–148. [Google Scholar] [CrossRef]
- Tanné, E.; Li, T.; Bourdin, B.; Marigo, J.J.; Maurini, C. Crack nucleation in variational phase-field models of brittle fracture. Journal of the Mechanics and Physics of Solids 2018, 110, 80–99. [Google Scholar] [CrossRef]
- Yoshioka, K.; Mollaali, M.; Kolditz, O. Variational phase-field fracture modeling with interfaces. Computer Methods in Applied Mechanics and Engineering 2021, 384, 113951. [Google Scholar] [CrossRef]
- Gerasimov, T.; De Lorenzis, L. On penalization in variational phase-field models of brittle fracture. Computer Methods in Applied Mechanics and Engineering 2019, 354, 990–1026. [Google Scholar] [CrossRef]
- Ziaei-Rad, V.; Mollaali, M.; Nagel, T.; Kolditz, O.; Yoshioka, K. Orthogonal decomposition of anisotropic constitutive models for the phase field approach to fracture. Journal of the Mechanics and Physics of Solids 2023, 171, 105143. [Google Scholar] [CrossRef]
- Dittmann, M.; Aldakheel, F.; Schulte, J.; Wriggers, P.; Hesch, C. Variational phase-field formulation of non-linear ductile fracture. Computer Methods in Applied Mechanics and Engineering 2018, 342, 71–94. [Google Scholar] [CrossRef]
- Ambati, M.; Gerasimov, T.; De Lorenzis, L. Phase-field modeling of ductile fracture. Computational Mechanics 2015, 55, 1017–1040. [Google Scholar] [CrossRef]
- Lo, Y.S.; Borden, M.J.; Ravi-Chandar, K.; Landis, C.M. A phase-field model for fatigue crack growth. Journal of the Mechanics and Physics of Solids 2019, 132, 103684. [Google Scholar] [CrossRef]
- Simoes, M.; Martinez-Paneda, E. Phase field modelling of fracture and fatigue in Shape Memory Alloys. Computer Methods in Applied Mechanics and Engineering 2021, 373, 113504. [Google Scholar] [CrossRef]
- Xie, Q.; Qi, H.; Li, S.; Yang, X.; Shi, D.; Li, F. Phase-field fracture modeling for creep crack. Theoretical and Applied Fracture Mechanics 2023, 124, 103798. [Google Scholar] [CrossRef]
- Borden, M.; Verhoosel, C.; Scott, M.; Hughes, T.; Landis, C. A phase-field description of dynamic brittle fracture. Computer Methods in Applied Mechanics and Engineering 2012, 217-220, 77–95. [Google Scholar] [CrossRef]
- Nguyen, V.P.; Wu, J.Y. Modeling dynamic fracture of solids with a phase-field regularized cohesive zone model. Computer Methods in Applied Mechanics and Engineering 2018, 340, 1000–1022. [Google Scholar] [CrossRef]
- Bourdin, B.; Larsen, C.J.; Richardson, C.L. A time-discrete model for dynamic fracture based on crack regularization. International Journal of Fracture 2011, 168, 133–143. [Google Scholar] [CrossRef]
- Cajuhi, T.; Ziefle, G.; Maßmann, J.; Nagel, T.; Yoshioka, K. Modeling desiccation cracks in Opalinus Clay at field scale with the phase-field approach. InterPore Journal 2024, 1, ipj260424–7. [Google Scholar] [CrossRef]
- Heider, Y.; Sun, W. A phase field framework for capillary-induced fracture in unsaturated porous media: Drying-induced vs. hydraulic cracking. Computer Methods in Applied Mechanics and Engineering 2020, 359, 112647. [Google Scholar] [CrossRef]
- Chukwudozie, C.; Bourdin, B.; Yoshioka, K. A variational phase-field model for hydraulic fracturing in porous media. Computer Methods in Applied Mechanics and Engineering 2019, 347, 957–982. [Google Scholar] [CrossRef]
- You, T.; Yoshioka, K. On poroelastic strain energy degradation in the variational phase-field models for hydraulic fracture. Computer Methods in Applied Mechanics and Engineering 2023, 416, 116305. [Google Scholar] [CrossRef]
- Mollaali, M.; Shen, Y. An Elrod–Adams-model-based method to account for the fluid lag in hydraulic fracturing in 2D and 3D. International Journal of Fracture 2018, 211, 183–202. [Google Scholar] [CrossRef]
- Clavijo, S.P.; Addassi, M.; Finkbeiner, T.; Hoteit, H. A coupled phase-field and reactive-transport framework for fracture propagation in poroelastic media. Scientific Reports 2022, 12, 17819. [Google Scholar] [CrossRef] [PubMed]
- Mollaali, M.; Yoshioka, K.; Lu, R.; Montoya, V.; Vilarrasa, V.; Kolditz, O. Variational Phase-Field Fracture Approach in Reactive Porous Media. International Journal for Numerical Methods in Engineering 2025, 126, e7621. [Google Scholar] [CrossRef]
- Yoshioka, K.; Mollaali, M.; Mishaan, G.; Makhnenko, R.; Parisio, F. Impact of grain and interface fracture surface energies on fracture propagation in granite. In Proceedings of the ARMA US Rock Mechanics/Geomechanics Symposium. ARMA, pp. ARMA–2021; 2021. [Google Scholar]
- Mollaali, M.; Buchwald, J.; Montoya, V.; Kolditz, O.; Yoshioka, K. Clay–rock fracturing risk assessment under high gas pressures in repository systems. IOP Conference Series: Earth and Environmental Science 2023, 1124, 012120. [Google Scholar] [CrossRef]
- Yu, Z.; Shao, J.F.; Duveau, G.; Wang, M.; Vu, M.N.; Plua, C. Numerical modeling of gas injection induced cracking with unsaturated hydromechanical process in the context of radioactive waste disposal. Tunnelling and Underground Space Technology 2024, 146, 105609. [Google Scholar] [CrossRef]
- Henry, H.; Adda-Bedia, M. Fractographic aspects of crack branching instability using a phase-field model. Physical Review E 2013, 88, 060401. [Google Scholar] [CrossRef]
- Ma, L.; Mollaali, M.; Dugnani, R. Phase-field simulation of fractographic features formation in soda–lime glass beams fractured in bending. Theoretical and Applied Fracture Mechanics 2023, 127, 103997. [Google Scholar] [CrossRef]
- Griffith, A. The phenomenom of rupture and flow in solids Philos. TransR Soc London Ser A 1920, 221, 168–98. [Google Scholar]
- Biot, M. General Theory of Three-Dimensional Consolidation. Journal of Applied Physics 1941, 12, 155–164. [Google Scholar] [CrossRef]
- Shao, J. Poroelastic behaviour of brittle rock materials with anisotropic damage. Mechanics of Materials 1998, 30, 41–53. [Google Scholar] [CrossRef]
- Cheng, A.D. Material coefficients of anisotropic poroelasticity. International Journal of Rock Mechanics and Mining Sciences 1997, 34, 199–205. [Google Scholar] [CrossRef]
- Yi, L.P.; Waisman, H.; Yang, Z.Z.; Li, X.G. A consistent phase field model for hydraulic fracture propagation in poroelastic media. Computer Methods in Applied Mechanics and Engineering 2020, 372, 113396. [Google Scholar] [CrossRef]
- Hughes, T.J. Generalization of selective integration procedures to anisotropic and nonlinear media. International Journal for Numerical Methods in Engineering 1980, 15, 1413–1418. [Google Scholar] [CrossRef]
- Witherspoon, P.; Wang, J.; Iwai, K.; Gale, J. Validity of Cubic Law for fluid flow in a deformable rock fracture. Water Resources Research 1980, 16, 1016–1024. [Google Scholar] [CrossRef]
- Fraser-Harris, A.; Graham, S.; McDermott, C.; Lightbody, A.; Sauter, M. The influence of intermediate principal stress magnitude and orientation on fracture fluid flow characteristics of a fractured crystalline rock. in preparation 2024. [Google Scholar]
- Sneddon, I.; Lowengrub, M. Crack problems in the classical theory of elasticity; The SIAM series in Applied Mathematics; John Wiley & Sons, 1969. [Google Scholar]
- Shen, Y.; Mollaali, M.; Li, Y.; Ma, W.; Jiang, J. Implementation details for the phase field approaches to fracture. Journal of Shanghai Jiaotong University (Science) 2018, 23, 166–174. [Google Scholar] [CrossRef]
- Vicentini, F.; Zolesi, C.; Carrara, P.; Maurini, C.; De Lorenzis, L. On the energy decomposition in variational phase-field models for brittle fracture under multi-axial stress states. International Journal of Fracture 2024, 1–27. [Google Scholar] [CrossRef]
- Amor, H.; Marigo, J.J.; Maurini, C. Regularized formulation of the variational brittle fracture with unilateral contact: Numerical experiments. Journal of the Mechanics and Physics of Solids 2009, 57, 1209–1229. [Google Scholar] [CrossRef]
- Miehe, C.; Hofacker, M.; Welschinger, F. A phase field model for rate-independent crack propagation: Robust algorithmic implementation based on operator splits. Computer Methods in Applied Mechanics and Engineering 2010, 199, 2765–2778. [Google Scholar] [CrossRef]
- Freddi, F.; Royer-Carfagni, G. Regularized variational theories of fracture: A unified approach. Journal of the Mechanics and Physics of Solids 2010, 58, 1154–1174. [Google Scholar] [CrossRef]















| Parameter | Unit | Material | |||
| Containing Sheath | Greywacke | Gneiss (Freiberg) | |||
| [25] | [25] | [23] | |||
| Young’s modulus, E | GPa | 0.1 | 26.85 | 83.9 | |
| Poisson’s ratio, | - | 0.4 | 0.27 | 0.21 | |
| Tensile strength | MPa | - | 17.01-16.67 | 16.8 | |
| Permeability, | m2 | 10−19 | 2.58 × 10−19 | 10−19 | |
| Solid density, | kg/m3 | 1200 | 2650 | 2750 | |
| Porosity, | - | - | 0.005 | 0.001 | |
| Biot coefficient, | - | 0.0 | 0.8 | 0.6 | |
| VPF–FEM | Fracture energy, | N/m | 0.1 | 30 | 50 |
| LIE–FEM | Normal stiffness, | GPa/m | - | 100.0 | 200.0 |
| Tangential stiffness, | GPa/m | - | 50.0 | 100.0 | |
| Properties | Values | Unit |
|---|---|---|
| Fluid density, | kg/m3 | |
| Viscosity, | Pa·s | |
| Fluid compressibility, | Pa−1 |
| Marker | Angle PEE1 to | PEE’s | |||||||
| 1 & 1a | 2 & 2a | 3 & 3a | 4 & 4a | 5 & 5a | 6 & 6a | 7 & 7a | 8 & 8a | ||
| A | 0° | 10.0 | 6.64 | 4.46 | 1.17 | 1.0 | 3.82 | 7.80 | 9.95 |
| E | 22.5° | 9.95 | 10.0 | 6.64 | 4.46 | 1.17 | 1.0 | 3.82 | 7.80 |
| B | 45.0° | 7.80 | 9.95 | 10.0 | 6.64 | 4.46 | 1.17 | 1.0 | 3.82 |
| F | 67.5° | 3.82 | 7.80 | 9.95 | 10.0 | 6.64 | 4.46 | 1.17 | 1.0 |
| C | 90° | 1.0 | 3.82 | 7.80 | 9.95 | 10.0 | 6.64 | 4.46 | 1.17 |
Disclaimer/Publisher’s Note: The statements, opinions and data contained in all publications are solely those of the individual author(s) and contributor(s) and not of MDPI and/or the editor(s). MDPI and/or the editor(s) disclaim responsibility for any injury to people or property resulting from any ideas, methods, instructions or products referred to in the content. |
© 2025 by the authors. Licensee MDPI, Basel, Switzerland. This article is an open access article distributed under the terms and conditions of the Creative Commons Attribution (CC BY) license (http://creativecommons.org/licenses/by/4.0/).