Submitted:
21 March 2025
Posted:
24 March 2025
You are already at the latest version
Abstract
Keywords:
1. Introduction
2. Methodology
2.1. Description of the Sites
2.2. Measurement Mast and Instruments
2.3. Wind Data Analysis
2.3.1. Wind Speed and Direction Analysis
2.3.2. Turbulence Intensity
3. Results and Discussions
3.1. Wind Speed Characteristics
3.2. Wind Direction Characteristics
3.3. Characteristics in Wind Shear Exponent
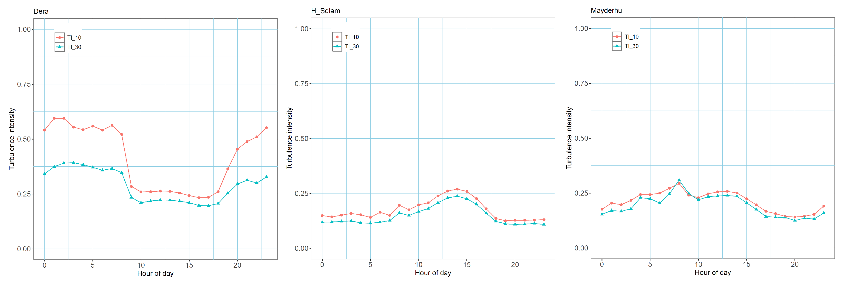
3.4. Variation in Turbulence Intensity
3.5. Wind Turbulence Class
3.6. The Influence of Prevailing Wind Against Turbulence Intensity and Wind Shear
4. Conclusions
Author Contributions
Institutional Review Board Statement
Informed Consent Statement
Data Availability Statement
Conflicts of Interest
References
- Patil, A.; Thosar, A. Fault Simulation and Severity Analysis in Wind Energy System. In Proceedings of the 2020 International Conference on Industry 4.0 Technology (I4Tech), feb 2020; pp. 7–12. [Google Scholar] [CrossRef]
- St. Martin, C.M.; Lundquist, J.K.; Clifton, A.; Poulos, G.S.; Schreck, S.J. Wind turbine power production and annual energy production depend on atmospheric stability and turbulence. Wind Energy Science 2016, 1, 221–236. [Google Scholar] [CrossRef]
- Kim, D.Y.; Kim, Y.H.; Kim, B.S. Changes in wind turbine power characteristics and annual energy production due to atmospheric stability, turbulence intensity, and wind shear. Energy 2021, 214, 119051. [Google Scholar] [CrossRef]
- Basse, A.; Pauscher, L.; Callies, D. Improving Vertical Wind Speed Extrapolation Using Short-Term Lidar Measurements. Remote Sensing 2020, 12, 1091. [Google Scholar] [CrossRef]
- Asadi, M.; Pourhossein, K. Wind farm site selection considering turbulence intensity. Energy 2021, 236, 121480. [Google Scholar] [CrossRef]
- Pérez Albornoz, C.; Escalante Soberanis, M.A.; Ramírez Rivera, V.; Rivero, M. Review of atmospheric stability estimations for wind power applications. Renewable and Sustainable Energy Reviews 2022, 163, 112505. [Google Scholar] [CrossRef]
- Meldau, L.F.; Li, B.; McKenna Neuman, C.; Cooper, J.R. Constant stress layer characteristics in simulated stratified air flows: Implications for aeolian transport. Aeolian Research 2023, 63-65, 100888. [Google Scholar] [CrossRef]
- Cen, H.; Zhou, Q.; Korobenko, A. Isogeometric variational multiscale modeling of stably stratified flow over complex terrains. Mathematical Models and Methods in Applied Sciences. [CrossRef]
- Letzgus, P.; Guma, G.; Lutz, T. Computational fluid dynamics studies on wind turbine interactions with the turbulent local flow field influenced by complex topography and thermal stratification. Wind Energy Science 2022, 7, 1551–1573. [Google Scholar] [CrossRef]
- Resen, A.K.; Khamees, A.B.; Yaseen, S.F. Determination of Wind Shear Coefficients and Conditions of Atmospheric Stability for Three Iraqi Sites. IOP Conference Series: Materials Science and Engineering 2020, 881, 012161. [Google Scholar] [CrossRef]
- Radünz, W.C.; Sakagami, Y.; Haas, R.; Petry, A.P.; Passos, J.C.; Miqueletti, M.; Dias, E. Influence of atmospheric stability on wind farm performance in complex terrain. Applied Energy 2021, 282, 116149. [Google Scholar] [CrossRef]
- Radünz, W.C.; Sakagami, Y.; Haas, R.; Petry, A.P.; Passos, J.C.; Miqueletti, M.; Dias, E. The variability of wind resources in complex terrain and its relationship with atmospheric stability. Energy Conversion and Management 2020, 222, 113249. [Google Scholar] [CrossRef]
- Rehman, S.; Al-Abbadi, N.M. Wind shear coefficient, turbulence intensity and wind power potential assessment for Dhulom, Saudi Arabia. Renewable Energy 2008, 33, 2653–2660. [Google Scholar] [CrossRef]
- Ren, G.; Liu, J.; Wan, J.; Li, F.; Guo, Y.; Yu, D. The analysis of turbulence intensity based on wind speed data in onshore wind farms. Renewable Energy 2018, 123, 756–766. [Google Scholar] [CrossRef]
- Lopez-Villalobos, C.A.; Rodriguez-Hernandez, O.; Campos-Amezcua, R.; Hernandez-Cruz, G.; Jaramillo, O.A.; Mendoza, J.L. Wind Turbulence Intensity at La Ventosa, Mexico: A Comparative Study with the IEC61400 Standards. Energies 2018, 11, 3007. [Google Scholar] [CrossRef]
- Albani, A.; Ibrahim, M.Z.; Yong, K.H. Wind shear data at two different terrain types. Data in Brief 2019, 25, 104306. [Google Scholar] [CrossRef] [PubMed]
- Kutty, S.S.; Khan, M.G.M.; Ahmed, M.R.; Kutty, S.S.; Khan, M.G.M.; Ahmed, M.R. Estimation of different wind characteristics parameters and accurate wind resource assessment for Kadavu, Fiji. AIMS Energy 2019, 7, 760–791. [Google Scholar] [CrossRef]
- Gautam, A.; Warudkar, V.; Bhagoria, J.L. A comparative analysis of wind characteristics for distinct terrains of India. Sustainable Energy Technologies and Assessments 2022, 52, 102089. [Google Scholar] [CrossRef]
- Bayray, M.; Mustefa, A.; Yohannes, F.; Kiros, H.; Haileslasie, A.; Gebray, P.; Hayelom, M.; Dagne, A. Wind Energy Data Analysis and Resource Mapping of Geba Catchment, North Ethiopia. Wind Engineering 2013, 37, 333–345. [Google Scholar] [CrossRef]
- Bayray, M.; Kiros, H.; Abdelkadir, M.; Mustefa, A.; Hayelom, M.; Haileselasie, A.; Kebedom, A.; Gebray, P.; Yemane, A.; Michael, S.T.; et al. Performance of Wind Pump Prototype. Momona Ethiopian Journal of Science 2015, 7, 176–190. [Google Scholar] [CrossRef]
- Mahmud, A.M.; Kahsay, M.B.; Hailesilasie, A.; Hagos, F.Y.; Gebray, P.; Kelele, H.K.; Gebrehiwot, K.; Bauer, H.; Deckers, S.; De Baerdemaeker, J.; et al. Solar Energy Resource Assessment of the Geba Catchment, Northern Ethiopia. Energy Procedia 2014, 57, 1266–1274. [Google Scholar] [CrossRef]
- Bayray, M.; Gebreyohannes, Y.; Gebrehiwot, H.; Teklemichael, S.; Mustefa, A.; Haileslassie, A.; Gebray, P.; Kebedom, A.; Filli, F. Temporal and spatial solar resource variation by analysis of measured irradiance in Geba catchment, North Ethiopia. Sustainable Energy Technologies and Assessments 2021, 44, 101110. [Google Scholar] [CrossRef]
- Tucker, M.R.; Pedgley, D.E. Summer winds around the southern Red Sea. Archiv für Meteorologie, Geophysik und Bioklimatologie, Serie B 1977, 25, 221–231. [Google Scholar] [CrossRef]
- Segele, Z.T.; Lamb, P.J. Characterization and variability of Kiremt rainy season over Ethiopia. Meteorology and Atmospheric Physics 2005, 89, 153–180. [Google Scholar] [CrossRef]
- Segele, Z.T.; Lamb, P.J.; Leslie, L.M. Large-scale atmospheric circulation and global sea surface temperature associations with Horn of Africa June–September rainfall. International Journal of Climatology 2009, 29, 1075–1100. [Google Scholar] [CrossRef]
- Diro, G.T.; Grimes, D.I.F.; Black, E. Teleconnections between Ethiopian summer rainfall and sea surface temperature: part I—observation and modelling. Climate Dynamics 2011, 37, 103–119. [Google Scholar] [CrossRef]
- Hans, A.C.; Brandt, P.; Gasparin, F.; Claus, M.; Cravatte, S.; Horstmann, J.; Reverdin, G. Observed Diurnal Cycles of Near-Surface Shear and Stratification in the Equatorial Atlantic and Their Wind Dependence. Journal of Geophysical Research: Oceans 2024, 129, e2023JC020870. [Google Scholar] [CrossRef]















| Atmospheric stability | [10] | [6] | [3] | ||
|---|---|---|---|---|---|
| zeta | zeta | TI | zeta | TI | |
| Strongly stable | > 0.3 | >0.17 | <0.1 | >0.36 | <0.1 |
| Stable | 0.2-0.3 | >0.17 | <0.1 | >0.36 | <0.1 |
| Neutral | 0.1-0.2 | 0.11-0.17 | 0.1-0.2 | 0.26-0.36 | 0.1-0.15 |
| Convective | 0.0-0.1 | <0.11 | >0.2 | <0.26 | >0.15 |
| Strongly convective | < 0.0 | <0.11 | >0.2 | <0.26 | >0.15 |
| Reference, Country | Site, Terrain | WSE | TI |
|---|---|---|---|
| [13], Saudi Arabia | Dhulom, Flat terrain | 0.3 - 0.4 night-time | 0.1 - 0.12 night-time |
| 0.0 - 0.1 daytime | 0.26 peak daytime | ||
| [14], China | Complex terrain | 0.11 night-time | |
| 0.15 peak daytime | |||
| [15], Mexico | La Ventosa Open terrain | 0.2 night-time | |
| 0.1-0.15 daytime | |||
| [16], Malaysia | Kudat, coastal few buildings | 0.5 night-time | |
| Langkawi, coastal many buildings | 0.3 lowest daytime | ||
| 0.55 night-time | |||
| 0.27 lowest daytime | |||
| [17], Fiji | Kadavu Island | 0.12-0.14 night-time | 0.25-0.45 night-time |
| 0.08 lowest daytime | 0.2-0.25 daytime | ||
| [10], Iraq | Al-Shehabi, Flat terrain | 0.2-0.45 night-time | |
| Al-Najaf | 0.1-0.2 daytime | ||
| 0.2-0.7 night-time | |||
| 0.0-0.2 daytime | |||
| 0.1-0.45 variable all-day | |||
| [18], India | Dhanushkodi, Coastal | 0.05 | |
| Kayathar, Flat | 0.07 | ||
| Jamgordrani, Complex | 0.24 |
| Mast Site | Location and altitude | Instruments |
|---|---|---|
| Dera | 13.99° N, 39.73° E, 2870 m | EKO21N Data logger At 10 m: Max40+ Anemometer DIR21+ Wind Vane At 30 m: Max40+ Anemometer |
| Hagereselam | 13.66° N, 39.19° E, 2628 m | |
| Mayderhu | 13.29° N, 39.40° E, 2512 m |
Disclaimer/Publisher’s Note: The statements, opinions and data contained in all publications are solely those of the individual author(s) and contributor(s) and not of MDPI and/or the editor(s). MDPI and/or the editor(s) disclaim responsibility for any injury to people or property resulting from any ideas, methods, instructions or products referred to in the content. |
© 2025 by the authors. Licensee MDPI, Basel, Switzerland. This article is an open access article distributed under the terms and conditions of the Creative Commons Attribution (CC BY) license (https://creativecommons.org/licenses/by/4.0/).