Submitted:
20 March 2025
Posted:
21 March 2025
You are already at the latest version
Abstract
Keywords:
1. Introduction
2. Theory
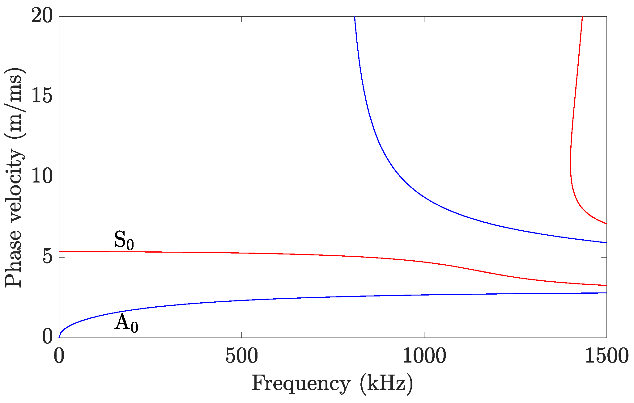
2.1. Lamb Waves
2.2. Frequency Domain Representation
2.3. Frequency Response Function (FRF) and Transmissibility Function
3. Method
- The material is linear-elastic and isotropic.
- The features are assumed to be of circular shape, and therefore the response is not affected by the direction of the incident wave.
- The size of the features is small compared to the size of the distances between actuator, sensors and features.
3.1. Offline Phase
-
evaluate the response due to the direct wave
- 1.1
- evaluate the FRF for the distance from the actuator to the sensor
- 1.2
- multiply the obtained FRF with the excitation
-
evaluate the virtual response at the feature;
- 2.1
- evaluate the FRF for the distance from the actuator to the feature
- 2.2
- multiply the obtained FRF with the excitation
-
evaluate the response for reflected and mode-converted wave packets
- 3.1
- evaluate the transmissibility functions for all modes of interest for the distance from the feature to the sensor
- 3.2
- multiply the obtained transmissibility functions with the response obtained in step 2.
- sum up the response obtained in step 1.2 and the response obtained in step 3.2
| Algorithm 1: Offline phase |
![]() |
3.2. Online Phase
3.3. Algorithmic Implementation

| Algorithm 2: Recursive function |
![]() |
| Algorithm 3: Online Phase |
![]() |
4. Results
4.1. Full Order Model (FOM)
4.2. Plate Configuration
4.3. Excitation
![]() |
4.4. Offline Phase
4.5. Online Phase
4.6. Speedup
5. Discussion
- The plate is assumed to comprise a linear-elastic and isotropic material.
- The area where the excitation is applied, the features and the sensors are considered small compared to their interconnecting distance and can, therefore, be assumed as point-wise.
- The explored frequency range is chosen so that only fundamental modes are propagating and only the out-of-plane displacement is investigated.
- No viscous damping is assumed.
- The computational cost of the surrogate is significantly lower to the FOMs and therefore suited for inverse problem settings, as mandated in condition monitoring and damage diagnosis tasks. In the provided examples the speedup is in the order of to .
- The method can be extended to account for further intricacies, including geometries that accommodate diversified plate setups. The authors expect that an extension to anisotropic plates is possible with more training simulations.
- The full time history at the sensor location is reconstructed, and not only the arrival time or the amplitude, as furnished by commonly adopted alternatives.
- The mechanics behind the surrogate is well understood.
Author Contributions
Funding
Acknowledgments
Conflicts of Interest
Abbreviations
| ALID | Absorbing Layers using Increasing Damping |
| CFRP | Carbon Fiber Reinforced Polymer |
| CMEP | Complex Modes Expansion with vector Projection |
| CNN | Convolutional Neural Network |
| DAS | Delay-And-Sum |
| DNN | Dense Neural Network |
| DL | Deep Learning |
| DOF | Degree of Freedom |
| DORT-MUSIC | Decomposition of the Time-Reversal Operator and MUltiple SIgnal Classification |
| FCM | Finite Cell Method |
| FEM | Finite Element Method |
| FOM | Full Order Model |
| FRF | Frequency Response Function |
| FWI | Full Waveform Inversion |
| IGA | IsoGeometric Analysis |
| LDV | Laser Doppler Vibrometer |
| LSTM | Long Short-Term Memory |
| LTI | Linear Time Invariant |
| MDOF | Multi Degree of Freedom |
| MOR | Model Order Reduction |
| NDE | Non Destructive Evaluation |
| p-FEM | FEM with high polynomial degree |
| PGD | Proper Generalized Decomposition |
| PSO | Particle Swarm Optimization |
| RNN | Recurrent Neural Network |
| ROM | Reduced Order Model |
| SBFEM | Scaled Boundary Finite Element Method |
| SDP | Scattering Directivity Pattern |
| SEM | Spectral Element Method |
| SFEM | Spectral Finite Element Method |
| SHM | Structural Health Monitoring |
| SR | Sparse Reconstruction |
| SVD | Singular Value Decomposition |
| ToF | Time of Flight |
| TRM | Time-Reversal Method |
| WFI | Waveform Feature Index |
References
- Lamb, H. Lamb, H. On waves in an elastic plate. Proceedings of the Royal Society of London. Series A, Containing Papers of a Mathematical and Physical Character 1917, 93, 114–128. https://royalsocietypublishing.org/doi/pdf/10.1098/rspa.1917.0008. [CrossRef]
- Shao, Y.; Zeng, L.; Lin, J. Damage detection of thick plates using trailing pulses at large frequency-thickness products. Applied Acoustics 2021, 174, 107767. [Google Scholar] [CrossRef]
- Mitra, M.; Gopalakrishnan, S. Guided wave based structural health monitoring: A review. Smart Materials and Structures 2016, 25, 053001. [Google Scholar] [CrossRef]
- He, M.; Dong, C.; Sun, X.; He, J. Fatigue Crack Monitoring Method Based on the Lamb Wave Damage Index. Materials 2024, 17. [Google Scholar] [CrossRef]
- Sieber, P.; Kudela, P.; Soman, R.; Chatzi, E. Wind turbine blade structural health monitoring dataset, 2024. [CrossRef]
- Soleimanpour, R.; Ng, C.T. Scattering of the fundamental anti-symmetric Lamb wave at through-thickness notches in isotropic plates. Journal of Civil Structural Health Monitoring 2016, 6, 447–459. [Google Scholar] [CrossRef]
- Capineri, L.; Taddei, L.; Marino Merlo, E. Detection of a Submillimeter Notch-Type Defect at Multiple Orientations by a Lamb Wave A0 Mode at 550 kHz for Long-Range Structural Health Monitoring Applications. Sensors 2024, 24. [Google Scholar] [CrossRef]
- Yelve, N.P.; Mitra, M.; Mujumdar, P. Detection of delamination in composite laminates using Lamb wave based nonlinear method. Composite Structures 2017, 159, 257–266. [Google Scholar] [CrossRef]
- Soleimanpour, R.; Ng, C.T. Locating delaminations in laminated composite beams using nonlinear guided waves. Engineering Structures 2017, 131, 207–219. [Google Scholar] [CrossRef]
- Nicard, C.; Rébillat, M.; Devos, O.; El May, M.; Letellier, F.; Dubent, S.; Thomachot, M.; Fournier, M.; Masse, P.; Mechbal, N. In-situ monitoring of µm-sized electrochemically generated corrosion pits using Lamb waves managed by a sparse array of piezoelectric transducers. Ultrasonics 2025, 147, 107527. [Google Scholar] [CrossRef]
- Gorgin, R.; Luo, Y.; Wu, Z. Environmental and operational conditions effects on Lamb wave based structural health monitoring systems: A review. Ultrasonics 2020, 105, 106114. [Google Scholar] [CrossRef]
- Ismail, N.; Hafizi, Z.M.; Lim, K.S.; Ahmad, H. Lamb Wave Actuation Techniques for SHM System-A Review. In Proceedings of the Technological Advancement in Instrumentation & Human Engineering; Hassan, M.H.A.; Zohari, M.H.; Kadirgama, K.; Mohamed, N.A.N.; Aziz, A., Eds., Singapore, 2023; pp. 677–685.
- Zhou, K.; Zhou, Z.; Yang, Z.; Xu, X.; Wu, Z. Axisymmetric and non-axisymmetric Lamb wave excitation using rectangular actuators. Smart Materials and Structures 2019, 28, 115024. [Google Scholar] [CrossRef]
- Seher, M.; Huthwaite, P.; Lowe, M.J.; Nagy, P.B. Model-based design of low frequency Lamb wave EMATs for mode selectivity. Journal of Nondestructive Evaluation 2015, 34, 1–16. [Google Scholar] [CrossRef]
- Michaels, J.E. Detection, localization and characterization of damage in plates with an in situ array of spatially distributed ultrasonic sensors. Smart Materials and Structures 2008, 17, 035035. [Google Scholar] [CrossRef]
- Sharif-Khodaei, Z.; Aliabadi, M.H. Assessment of delay-and-sum algorithms for damage detection in aluminium and composite plates. Smart Materials and Structures 2014, 23, 075007. [Google Scholar] [CrossRef]
- Kulakovskyi, A.; Mesnil, O.; Chapuis, B.; d’Almeida, O.; Lhémery, A. Statistical Analysis of Guided Wave Imaging Algorithms Performance Illustrated by a Simple Structural Health Monitoring Configuration. Journal of Nondestructive Evaluation, Diagnostics and Prognostics of Engineering Systems. 2021, 4, 031001, https://asmedigitalcollection.asme.org/nondestructive/article-pdf/4/3/031001/6627759/nde_4_3_031001.pdf. [Google Scholar] [CrossRef]
- Levine, R.M. Ultrasonic guided wave imaging via sparse reconstruction. PhD thesis, Georgia Institute of Technology, United States, 2014.
- Nokhbatolfoghahai, A.; Navazi, H.M.; Groves, R.M. Use of delay and sum for sparse reconstruction improvement for structural health monitoring. Journal of Intelligent Material Systems and Structures 2019, 30, 2919–2931. [Google Scholar] [CrossRef]
- Watkins, R.; Jha, R. A modified time reversal method for Lamb wave based diagnostics of composite structures. Mechanical Systems and Signal Processing 2012, 31, 345–354. [Google Scholar] [CrossRef]
- Dai, D.; He, Q. Structure damage localization with ultrasonic guided waves based on a time–frequency method. Signal Processing 2014, 96, 21–28. [Google Scholar] [CrossRef]
- Cantero-Chinchilla, S.; Chiachío, J.; Chiachío, M.; Chronopoulos, D.; Jones, A. A robust Bayesian methodology for damage localization in plate-like structures using ultrasonic guided-waves. Mechanical Systems and Signal Processing 2019, 122, 192–205. [Google Scholar] [CrossRef]
- Rautela, M.; Gopalakrishnan, S. Deep learning frameworks for wave propagation-based damage detection in 1d-waveguides. In Proceedings of the Proceedings of 11th International Symposium on NDT in Aerospace, 2019, Vol. 2, pp. 1–11.
- Azadi, S.; Okabe, Y.; Carvelli, V. BAYESIAN-OPTIMIZED 1D-CNN FOR DELAMINATION CLASSIFICATION IN CFRP LAMINATES USING RAW ULTRASONIC GUIDED WAVES. Composites Science and Technology 2025, p. 111101. [CrossRef]
- Rautela, M.; Senthilnath, J.; Moll, J.; Gopalakrishnan, S. Combined two-level damage identification strategy using ultrasonic guided waves and physical knowledge assisted machine learning. Ultrasonics 2021, 115, 106451. [Google Scholar] [CrossRef]
- Postorino, H.; Monteiro, E.; Rébillat, M.; Mechbal, N. Cross-structures deep transfer learning through kantorovich potentials for lamb waves based structural health monitoring. Journal of Structural Dynamics 2023, pp. 24–50.
- Sun, Y.; Xu, Y.; Li, W.; Li, Q.; Ding, X.; Huang, W. A Lamb Waves Based Ultrasonic System for the Simultaneous Data Communication, Defect Inspection, and Power Transmission. IEEE Transactions on Ultrasonics, Ferroelectrics, and Frequency Control 2021, 68, 3192–3203. [Google Scholar] [CrossRef] [PubMed]
- Wang, J.; Shen, Y. An enhanced Lamb wave virtual time reversal technique for damage detection with transducer transfer function compensation. Smart Materials and Structures 2019, 28, 085017. [Google Scholar] [CrossRef]
- He, J.; Yuan, F.G. Lamb wave-based subwavelength damage imaging using the DORT-MUSIC technique in metallic plates. Structural Health Monitoring 2016, 15, 65–80. [Google Scholar] [CrossRef]
- Fan, S.; Zhang, A.; Sun, H.; Yun, F. A Local TR-MUSIC Algorithm for Damage Imaging of Aircraft Structures. Sensors 2021, 21. [Google Scholar] [CrossRef]
- An, Y.; Pang, C.; Cui, R.; Ou, J. Debonding damage detection in CFRP-reinforced steel structures using scanning probabilistic imaging method improved by ultrasonic guided-wave transfer function. Ultrasonics 2025, 149, 107592. [Google Scholar] [CrossRef]
- Zhi-bo Yang, Ming-feng Zhu, Y.f.L.; feng Chen, X. Estimation of Lamb wave propagation by means of Fourier spectral frequency response function. Nondestructive Testing and Evaluation 2022, 37, 160–183. [CrossRef]
- Kudela, P.; Radzienski, M.; Ostachowicz, W.; Yang, Z. Structural Health Monitoring system based on a concept of Lamb wave focusing by the piezoelectric array. Mechanical Systems and Signal Processing 2018, 108, 21–32. [Google Scholar] [CrossRef]
- Yang, Z.B.; Zhu, M.F.; Lang, Y.F.; Chen, X.F. FRF-based lamb wave phased array. Mechanical Systems and Signal Processing 2022, 166, 108462. [Google Scholar] [CrossRef]
- Zhou, W.; Ichchou, M. Wave propagation in mechanical waveguide with curved members using wave finite element solution. Computer Methods in Applied Mechanics and Engineering 2010, 199, 2099–2109. [Google Scholar] [CrossRef]
- Bürchner, T.; Kopp, P.; Kollmannsberger, S.; Rank, E. Immersed boundary parametrizations for full waveform inversion. Computer Methods in Applied Mechanics and Engineering 2023, 406, 115893. [Google Scholar] [CrossRef]
- Rabinovich, D.; Givoli, D.; Turkel, E. Single-field identification of inclusions and cavities in an elastic medium. International Journal for Numerical Methods in Engineering 2024, 125, e7364, https://onlinelibrary.wiley.com/doi/pdf/10.1002/nme.7364]. https://doi.org/https://doi.org/10146.1002/nme.7364. [Google Scholar] [CrossRef]
- Bürchner, T.; Kopp, P.; Kollmannsberger, S.; Rank, E. Isogeometric multi-resolution full waveform inversion based on the finite cell method. Computer Methods in Applied Mechanics and Engineering 2023, 417, 116286, A Special Issue in Honor of the Lifetime Achievements of T. J. R. Hughes. [Google Scholar] [CrossRef]
- Zakian, P.; Nadi, M.; Tohidi, M. Finite cell method for detection of flaws in plate structures using dynamic responses. Structures 2021, 34, 327–338. [Google Scholar] [CrossRef]
- Rautela, M.; Gopalakrishnan, S. Ultrasonic guided wave based structural damage detection and localization using model assisted convolutional and recurrent neural networks. Expert Systems with Applications 2021, 167, 114189. [Google Scholar] [CrossRef]
- Benner, P.; Gugercin, S.; Willcox, K. A survey of projection-based model reduction methods for parametric dynamical systems. SIAM review 2015, 57, 483–531. [Google Scholar] [CrossRef]
- Greif, C.; Urban, K. Decay of the Kolmogorov N-width for wave problems. Applied Mathematics Letters 2019, 96, 216–222. [Google Scholar] [CrossRef]
- Amsallem, D.; Zahr, M.J.; Farhat, C. Nonlinear model order reduction based on local reduced-order bases. International Journal for Numerical Methods in Engineering 2012, 92, 891–916, https://onlinelibrary.wiley.com/doi/pdf/10.1002/nme.4371. [Google Scholar] [CrossRef]
- Bigoni, C. Numerical methods for structural anomaly detection using model order reduction and data-driven techniques. PhD thesis, EPFL, Lausanne, 2020. [CrossRef]
- Bigoni, C.; Guo, M.; Hesthaven, J.S., Predictive Monitoring of Large-Scale Engineering Assets Using Machine Learning Techniques and Reduced-Order Modeling. In Structural Health Monitoring Based on Data Science Techniques; Cury, A.; Ribeiro, D.; Ubertini, F.; Todd, M.D., Eds.; Springer International Publishing: Cham, 2022; pp. 185–205. [CrossRef]
- Sieber, P.; Agathos, K.; Soman, R.; Ostachowicz, W.; Chatzi, E. Guided Wave–Based Defect Localization via Parameterized FRF-Based Reduced-Order Models. Journal of Engineering Mechanics 2024, 150, 04024059, https://ascelibrary.org/doi/pdf/10.1061/JENMDT.EMENG-7766. [Google Scholar] [CrossRef]
- Goutaudier, D.; Berthe, L.; Chinesta, F. Proper Generalized Decomposition with time adaptive space separation for transient wave propagation problems in separable domains. Computer Methods in Applied Mechanics and Engineering 2021, 380, 113755. [Google Scholar] [CrossRef]
- Yan, W.J.; Chronopoulos, D.; Papadimitriou, C.; Cantero-Chinchilla, S.; Zhu, G.S. Bayesian inference for damage identification based on analytical probabilistic model of scattering coefficient estimators and ultrafast wave scattering simulation scheme. Journal of Sound and Vibration 2020, 468, 115083. [Google Scholar] [CrossRef]
- Drakoulas, G.; Gortsas, T.; Polyzos, D. Physics-based reduced order modeling for uncertainty quantification of guided wave propagation using Bayesian optimization. Engineering Applications of Artificial Intelligence 2024, 133, 108531. [Google Scholar] [CrossRef]
- Postorino, H.; Rebillat, M.; Monteiro, E.; Mechbal, N. Towards an Industrial Deployment of PZT Based SHM Processes: A Dedicated Metamodel for Lamb Wave Propagation. In Proceedings of the European Workshop on Structural Health Monitoring; Rizzo, P.; Milazzo, A., Eds., Cham, 2021; pp. 720–731.
- Barras, J.; Lhémery, A.; Impériale, A. Modal pencil method for the radiation of guided wave fields in finite isotropic plates validated by a transient spectral finite element method. Ultrasonics 2020, 103, 106078. [Google Scholar] [CrossRef] [PubMed]
- Barras, J.; Lhémery, A. Modal pencil method for the radiation of guided wave fields in composite plates of finite size. NDT & E International 2022, 126, 102598. [Google Scholar] [CrossRef]
- Mardanshani, A.; Van Den Abeele, K.; Chronopoulus, D. Semi-analytical simulation of ultrasound wave propagation in large plate-like structures. In Proceedings of the European Workshop on Structural Health Monitoring, 2024, pp. 10–13.
- Xu, C.; Yang, Z.; Deng, M. Weighted Structured Sparse Reconstruction-Based Lamb Wave Imaging Exploiting Multipath Edge Reflections in an Isotropic Plate. Sensors 2020, 20. [Google Scholar] [CrossRef]
- Allouko, A.; Bonnet-Ben Dhia, A.S.; Lhémery, A.; Baronian, V. Optimal computation of integrals in the Half-Space Matching method for modal simulation of SHM/NDE in 3D elastic plate. Journal of Physics: Conference Series 2024, 2768, 012004. [Google Scholar] [CrossRef]
- Lozano, D.; Bulling, J.; Gravenkamp, H.; Birk, C. Domain decoupling implementation for efficient ultrasonic wave simulations using scaled boundary finite elements and the mortar method. Computer Methods in Applied Mechanics and Engineering 2023, 417, 116465. [Google Scholar] [CrossRef]
- Briand, W.; Rébillat, M.; Guskov, M.; Mechbal, N. Damage size quantification using lamb waves by analytical model identification. In Proceedings of the European Workshop on Structural Health Monitoring. Springer; 2022; pp. 119–127. [Google Scholar]
- Poddar, B.; Giurgiutiu, V. Fast and accurate analytical model to solve inverse problem in SHM using Lamb wave propagation. In Proceedings of the Nondestructive Characterization and Monitoring of Advanced Materials, Aerospace, and Civil Infrastructure 2016; Yu, T.; Gyekenyesi, A.L.; Shull, P.J.; Wu, H.F., Eds. International Society for Optics and Photonics, SPIE, 2016, Vol. 9804, p. 98041J. [CrossRef]
- Soleimanpour, R.; Soleimani, S.M. Scattering analysis of linear and nonlinear symmetric Lamb wave at cracks in plates. Nondestructive Testing and Evaluation 2022, 37, 439–463. [Google Scholar] [CrossRef]
- Sedaghati, A.; Honarvar, F.; Tabatabaeipour, M.; Sinclair, A.N. Investigation of the scattering of Lamb waves from a generalized circular cavity by using Poisson/Mindlin plate theories and numerical simulation. Proceedings of the Institution of Mechanical Engineers, Part C: Journal of Mechanical Engineering Science 2020, 234, 152–170. [Google Scholar] [CrossRef]
- Fromme, P.; Rouge, C. Directivity of guided ultrasonic wave scattering at notches and cracks. Journal of Physics: Conference Series 2011, 269, 012018. [Google Scholar] [CrossRef]
- Golub, M.V.; Shpak, A.N.; Mueller, I.; Fomenko, S.I.; Fritzen, C.P. Lamb Wave Scattering Analysis for Interface Damage Detection between a Surface-Mounted Block and Elastic Plate. Sensors 2021, 21. [Google Scholar] [CrossRef]
- Diligent, O.; Grahn, T.; Boström, A.; Cawley, P.; Lowe, M.J.S. The low-frequency reflection and scattering of the S0 Lamb mode from a circular through-thickness hole in a plate: Finite Element, analytical and experimental studies. The Journal of the Acoustical Society of America 2002, 112, 2589–2601, https://pubs.aip.org/asa/jasa/article-pdf/112/6/2589/8091127/2589_1_online.pdf. [Google Scholar] [CrossRef] [PubMed]
- Ostachowicz, W.; Kudela, P.; Krawczuk, M.; Zak, A., Introduction to the Theory of Elastic Waves. In Guided Waves in Structures for SHM; John Wiley & Sons, Ltd, 2012; chapter 1, pp. 1–46. https://onlinelibrary.wiley.com/doi/pdf/10.1002/9781119965855.ch1. [CrossRef]
- Giurgiutiu, V. Chapter 6 - Guided Waves. In Structural Health Monitoring with Piezoelectric Wafer Active Sensors (Second Edition), Second Edition ed.; Giurgiutiu, V., Ed.; Academic Press: Oxford, 2014; pp. 293–355. [CrossRef]
- Rodriguez, S.; Rébillat, M.; Paunikar, S.; Margerit, P.; Monteiro, E.; Chinesta, F.; Mechbal, N. Single atom convolutional matching pursuit: Theoretical framework and application to Lamb waves based structural health monitoring. Signal Processing 2025, 231, 109898. [Google Scholar] [CrossRef]
- Imano, K.; Endo, T. Experimental Study on the Mode Conversion of Lamb Wave Using a Metal Plate Having a Notch Type Defect. International Journal of the Society of Materials Engineering for Resources 2013, 19, 20–23. [Google Scholar] [CrossRef]
- Galán, J.M.; Abascal, R. Lamb mode conversion at edges. A hybrid boundary element–finite-element solution. The Journal of the Acoustical Society of America 2005, 117, 1777–1784, https://pubs.aip.org/asa/jasa/article-pdf/117/4/1777/12241784/. [Google Scholar] [CrossRef]
- Huber, A. ArminHuber/Dispersion-Calculator: Dispersion Calculator v3.0, 2024. [CrossRef]
- Sieber, P.; Agathos, K.; Soman, R.; Ostachowicz, W.; Chatzi, E. Towards a FRF-based parametric surrogate for guided wave-based evaluation in multiple defect scenarios. In Proceedings of the Health Monitoring of Structural and Biological Systems XVIII; Su, Z.; Peters, K.J.; Ricci, F.; Rizzo, P., Eds. International Society for Optics and Photonics, SPIE, 2024, Vol. 12951, p. 129510C. [CrossRef]
- Chesné, S.; Deraemaeker, A. Damage localization using transmissibility functions: A critical review. Mechanical Systems and Signal Processing 2013, 38, 569–584. [Google Scholar] [CrossRef]
- Sieber, P.; Agathos, K.; Soman, R.; Ostachowicz, W.; Chatzi, E. A parametrized Reduced Order Model for rapid evaluation of flaws in Guided Wave testing. Structural Health Monitoring 2021: Enabling Next Generation SHM for Cyber-Physical Systems 2022, pp. 679–686.
- Hall, L. Simulations and analyses of train-induced ground vibrations: A comparative study of two-and three-dimensional calculations with actual measurements. PhD thesis, Stockholm, Sweden: Royal Institute of Technology, 2000.
- Willberg, C.; Duczek, S.; Vivar Perez, J.; Schmicker, D.; Gabbert, U. Comparison of different higher order finite element schemes for the simulation of Lamb waves. Computer Methods in Applied Mechanics and Engineering 2012, 241-244, 246–261. [Google Scholar] [CrossRef]
- Düster, A.; Rank, E.; Szabó, B., The -Version of the Finite Element and Finite Cell Methods. In Encyclopedia of Computational Mechanics Second Edition; John Wiley & Sons, Ltd, 2017; pp. 1–35. https://onlinelibrary.wiley.com/doi/pdf/10.1002/9781119176817.ecm2003g. [CrossRef]
- Lozano, D.; Bulling, J.; Asokkumar, A.; Gravenkamp, H.; Birk, C. 3D simulations of ultrasonic waves in plates using the scaled boundary finite element method and high-order transition elements. Wave Motion 2023, 120, 103158. [Google Scholar] [CrossRef]
- Anitescu, C.; Nguyen, C.; Rabczuk, T.; Zhuang, X. Isogeometric analysis for explicit elastodynamics using a dual-basis diagonal mass formulation. Computer Methods in Applied Mechanics and Engineering 2019, 346, 574–591. [Google Scholar] [CrossRef]
- Patera, A.T. A spectral element method for fluid dynamics: Laminar flow in a channel expansion. Journal of Computational Physics 1984, 54, 468–488. [Google Scholar] [CrossRef]
- Duczek, S.; Gravenkamp, H. Mass lumping techniques in the spectral element method: On the equivalence of the row-sum, nodal quadrature, and diagonal scaling methods. Computer Methods in Applied Mechanics and Engineering 2019, 353, 516–569. [Google Scholar] [CrossRef]
- Geuzaine, C.; Remacle, J.F. Gmsh: A 3-D finite element mesh generator with built-in pre- and post-processing facilities. International Journal for Numerical Methods in Engineering 2009, 79, 1309–1331, https://onlinelibrary.wiley.com/doi/pdf/10.1002/nme.2579. [Google Scholar] [CrossRef]
- Duczek, S.; Joulaian, M.; Düster, A.; Gabbert, U. Numerical analysis of Lamb waves using the finite and spectral cell methods. International Journal for Numerical Methods in Engineering 2014, 99, 26–53. [Google Scholar] [CrossRef]
- Duczek, S. Higher order finite elements and the fictitious domain concept for wave propagation analysis 2014.
- Duczek, S.; Liefold, S.; Gabbert, U. The finite and spectral cell methods for smart structure applications: transient analysis. Acta Mechanica 2015, 226, 845–869. [Google Scholar] [CrossRef]
- Eisenträger, S.; Radtke, L.; Garhuom, W.; Löhnert, S.; Düster, A.; Juhre, D.; Schillinger, D. An eigenvalue stabilization technique for immersed boundary finite element methods in explicit dynamics. arXiv preprint arXiv:2310.11935 2023.
- Nicoli, S.; Agathos, K.; Kudela, P.; Chatzi, E. A Moment-Fitted Extended Spectral Cell Method for Structural Health Monitoring Applications. Applied Sciences 2023, 13. [Google Scholar] [CrossRef]
- Joulaian, M.; Duczek, S.; Gabbert, U.; Düster, A. Finite and spectral cell method for wave propagation in heterogeneous materials. Comput. Mech. 2014, 54, 661–675. [Google Scholar] [CrossRef]
- Nicoli, S.; Agathos, K.; Chatzi, E. Moment fitted cut spectral elements for explicit analysis of guided wave propagation. Computer Methods in Applied Mechanics and Engineering 2022, 398, 115140. [Google Scholar] [CrossRef]
- Faßbender, C.; Bürchner, T.; Kopp, P.; Rank, E.; Kollmannsberger, S. Implicit-Explicit Time Integration for the Immersed Wave Equation. arXiv preprint arXiv:2310.14712 2023.
- Nicoli, S.; Agathos, K.; Chatzi, E. On variationally consistent versus heuristic mass formulations in cut and extended finite element methods. Computer Methods in Applied Mechanics and Engineering 2024, 432, 117393. [Google Scholar] [CrossRef]
- Nicoli, S.; Agathos, K.; Kudela, P.; Ostachowicz, W.; Chatzi, E. Comparison of plate and solid spectral element modeling of composite delamination for guided wave simulations. In Proceedings of the 13th International Workshop on Structural Health Monitoring (IWSHM 2021, cancelled). ETH Zurich, Institute of Structural Engineering, 2021.
- Wan, X.; Zhang, X.; Fan, H.; Tse, P.W.; Dong, M.; Ma, H. Numerical Study on Ultrasonic Guided Waves for the Inspection of Polygonal Drill Pipes. Sensors 2019, 19. [Google Scholar] [CrossRef]
- Ostachowicz, W.; Kudela, P.; Krawczuk, M.; Zak, A., One-Dimensional Structural Elements. In Guided Waves in Structures for SHM; John Wiley & Sons, Ltd, 2012; chapter 4, pp. 125–166. https://onlinelibrary.wiley.com/doi/pdf/10.1002/9781119965855.ch4. [CrossRef]
- The MathWorks Inc.. MATLAB version: 24.1.0.2537033 (R2024a), 2024.

















Disclaimer/Publisher’s Note: The statements, opinions and data contained in all publications are solely those of the individual author(s) and contributor(s) and not of MDPI and/or the editor(s). MDPI and/or the editor(s) disclaim responsibility for any injury to people or property resulting from any ideas, methods, instructions or products referred to in the content. |
© 2025 by the authors. Licensee MDPI, Basel, Switzerland. This article is an open access article distributed under the terms and conditions of the Creative Commons Attribution (CC BY) license (http://creativecommons.org/licenses/by/4.0/).




