Submitted:
28 February 2025
Posted:
03 March 2025
You are already at the latest version
Abstract
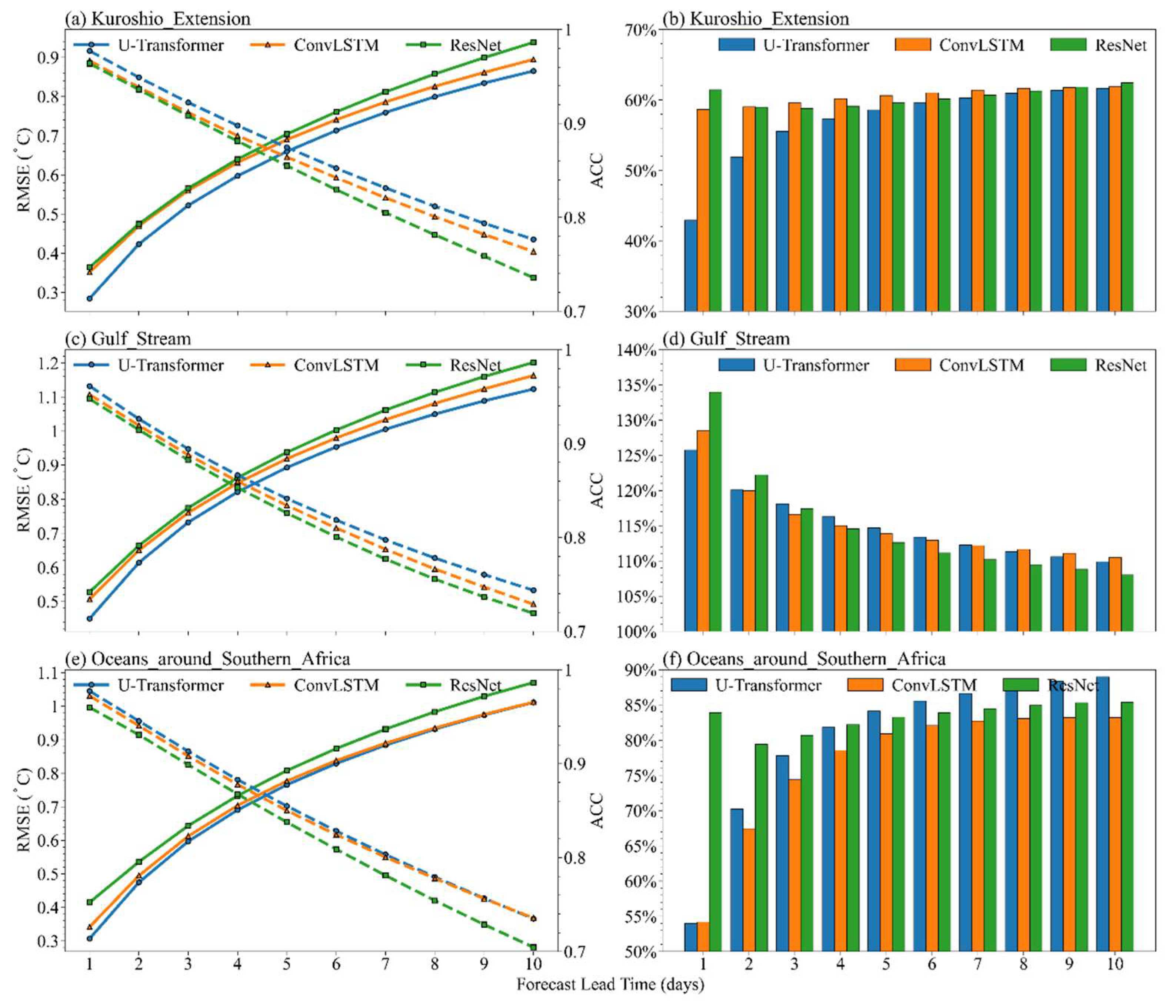
Short-term sea surface temperature (SST) forecasts are crucial for operational oceanology. This study introduced a specialized Transformer model (U-Transformer) to forecast global short-term SST variability and to compare with those from Convolutional Long Short-Term Memory (ConvLSTM) and Residual Neural Network (ResNet) models. The U-Transformer model achieved SST root mean square errors (RMSEs) of 0.2–0.54 °C for lead times of 1–10 days during 2020–2022, with anomaly correlation coefficients (ACCs) from 0.97 to 0.79. In regions characterized by active mesoscale eddies, RMSEs from the U-Transformer model exceeded the global averages by at least 40%, with increases exceeding 100% for the Gulf Stream region. Additionally, ACC values in active mesoscale eddy regions declined more sharply with forecast lead time compared to the global averages, decreasing from approximately 0.96 to 0.73. Specifically, in the Gulf Stream region, the ACC value dropped to 0.89 at a 3-day lead time, while the value can maintain 0.92 globally. Compared with the ConvLSTM and ResNet models, the U-Transformer model consistently delivered smaller RMSEs and larger ACCs, especially in regions with active mesoscale eddies. These findings imply the importance of advanced approaches to enhance SST forecast accuracy in regions with active mesoscale eddies.
Keywords:
1. Introduction
2. Data and Methods
2.1. Data
2.2. Model
2.3. Implementation Details
2.4. Evaluation Methods
3. Results
4. Discussion and Conclusions
Author Contributions
Funding
Data Availability Statement
Acknowledgments
Conflicts of Interest
Appendix A. Overview of Transformers
Appendix B. Model Architectures
Appendix B.1. ConvLSTM Architecture
Appendix B.2. ResNet Architecture



References
- Behera, S. K., Luo, J.-J., Masson, S., Delecluse, P., Gualdi, S., Navarra, A., & Yamagata, T. (2005). Paramount Impact of the Indian Ocean Dipole on the East African Short Rains: A CGCM Study. Journal of Climate, 18(21), 4514–4530. [CrossRef]
- Zhou, L.-T., Tam, C.-Y., Zhou, W., & Chan, J. C. L. (2010). Influence of South China Sea SST and the ENSO on winter rainfall over South China. Advances in Atmospheric Sciences, 27(4), 832–844. [CrossRef]
- Rauscher, S. A., Jiang, X., Steiner, A., Williams, A. P., Cai, D. M., & McDowell, N. G. (2015). Sea Surface Temperature Warming Patterns and Future Vegetation Change. Journal of Climate, 28(20), 7943–7961. [CrossRef]
- Salles, R., Mattos, P., Iorgulescu, A.-M. D., Bezerra, E., Lima, L., & Ogasawara, E. (2016). Evaluating temporal aggregation for predicting the sea surface temperature of the Atlantic Ocean. Ecological Informatics, 36, 94–105. [CrossRef]
- Cane, M. A., Clement, A. C., Kaplan, A., Kushnir, Y., Pozdnyakov, D., Seager, R., Zebiak, S. E., & Murtugudde, R. (1997). Twentieth-Century Sea Surface Temperature Trends. Science, 275(5302), 957–960. [CrossRef]
- Friedel, M. J. (2012). Data-driven modeling of surface temperature anomaly and solar activity trends. Environmental Modelling & Software, 37, 217–232. [CrossRef]
- Castro, S. L., Wick, G. A., & Steele, M. (2016). Validation of satellite sea surface temperature analyses in the Beaufort Sea using UpTempO buoys. Remote Sensing of Environment, 187, 458–475. [CrossRef]
- Bouali, M., Sato, O. T., & Polito, P. S. (2017). Temporal trends in sea surface temperature gradients in the South Atlantic Ocean. Remote Sensing of Environment, 194, 100–114. [CrossRef]
- Chaidez, V., Dreano, D., Agusti, S., Duarte, C. M., & Hoteit, I. (2017). Decadal trends in Red Sea maximum surface temperature. Scientific Reports, 7(1), 8144. [CrossRef]
- Su, H., Wang, A., Zhang, T., Qin, T., Du, X., & Yan, X.-H. (2021). Super-resolution of subsurface temperature field from remote sensing observations based on machine learn-ing. International Journal of Applied Earth Observation and Geoinformation, 102, 102440. [CrossRef]
- Xu, G., Xie, W., Lin, X., Liu, Y., Hang, R., Sun, W., Liu, D., & Dong, C. (2024). Detection of three-dimensional structures of oceanic eddies using artificial intelligence. Ocean Modelling, 190, 102385. [CrossRef]
- Zhu, Y., Zhang, R.-H., Moum, J. N., Wang, F., Li, X., & Li, D. (2022). Physics-informed deep-learning parameterization of ocean vertical mixing improves climate simulations. National Science Review, 9(8), nwac044. [CrossRef]
- Qi, J., Xie, B., Li, D., Chi, J., Yin, B., & Sun, G. (2023). Estimating thermohaline structures in the tropical Indian Ocean from surface parameters using an improved CNN model. Frontiers in Marine Science, 10, 1181182. [CrossRef]
- Putra, D. P., & Hsu, P.-C. (2024). Leveraging Transfer Learning and U-Nets Method for Improved Gap Filling in Himawari Sea Surface Temperature Data Adjacent to Taiwan. ISPRS International Journal of Geo-Information, 13(5), 162. [CrossRef]
- Young, C.-C., Cheng, Y.-C., Lee, M.-A., & Wu, J.-H. (2024). Accurate reconstruction of satellite-derived SST under cloud and cloud-free areas using a physically-informed machine learning approach. Remote Sensing of Environment, 313, 114339. [CrossRef]
- Zhang, Q., Wang, H., Dong, J., Zhong, G., & Sun, X. (2017). Prediction of Sea Surface Temperature Using Long Short-Term Memory. IEEE Geoscience and Remote Sensing Letters, 14(10), 1745–1749. [CrossRef]
- Xiao, C., Chen, N., Hu, C., Wang, K., Xu, Z., Cai, Y., Xu, L., Chen, Z., & Gong, J. (2019). A spatiotemporal deep learning model for sea surface temperature field prediction using time-series satellite data. Environmental Modelling & Software, 120, 104502. [CrossRef]
- Sarkar, P. P., Janardhan, P., & Roy, P. (2020). Prediction of sea surface temperatures using deep learning neural networks. SN Applied Sciences, 2(8), 1458. [CrossRef]
- Jia, X., Ji, Q., Han, L., Liu, Y., Han, G., & Lin, X. (2022). Prediction of Sea Surface Temperature in the East China Sea Based on LSTM Neural Network. Remote Sensing, 14(14), 3300. [CrossRef]
- Xiao, C., Chen, N., Hu, C., Wang, K., Gong, J., & Chen, Z. (2019). Short and mid-term sea surface temperature prediction using time-series satellite data and LSTM-AdaBoost combination approach. Remote Sensing of Environment, 233, 111358. [CrossRef]
- He, K., Zhang, X., Ren, S., & Sun, J. (2015). Deep Residual Learning for Image Recognition (arXiv:1512.03385). 2016 IEEE Conference on Computer Vision and Pattern Recognition (CVPR), Las Vegas, NV, USA, 2016, pp. 770-778. [CrossRef]
- Shi, B., Hao, Y., Feng, L., Ge, C., Peng, Y., & He, H. (2024) An Attention-Based Context Fusion Network for Spatiotemporal Prediction of Sea Surface Temperature. IEEE Geoscience and Remote Sensing Letters, 21, 1504405. [CrossRef]
- Zheng, G., Li, X., Zhang, R.-H., & Liu, B. (2020). Purely satellite data–driven deep learning forecast of complicated tropical instability waves. Science Advances, 6(29), ea-ba1482. [CrossRef]
- Shi, B.; Ge, C.; Lin, H.; Xu, Y.; Tan, Q.; Peng, Y.; He, H. Sea Surface Temperature Prediction Using ConvLSTM-Based Model with Deformable Attention. Remote Sens. 2024, 16, 4126. [CrossRef]
- He, H. L., Shi, B. Y., Hao, Y. J., Feng, L., Lyu, X., & Ling, Z. (2024) Forecasting sea surface temperature during typhoon events in the Bohai Sea using spatiotemporal neural networks, Atmospheric Research, 309, 107578. [CrossRef]
- Xu, S., Dai, D., Cui, X., Yin, X., Jiang, S., Pan, H., & Wang, G. (2023). A deep learning approach to predict sea surface temperature based on multiple modes. Ocean Modelling, 181, 102158. [CrossRef]
- Xu, T., Zhou, Z., Li, Y., Wang, C., Liu, Y., & Rong, T. (2023). Short-Term Prediction of Global Sea Surface Temperature Using Deep Learning Networks. Journal of Marine Science and Engineering, 11(7), 1352. [CrossRef]
- Pan, X., Jiang, T., Sun, W., Xie, J., Wu, P., Zhang, Z., & Cui, T. (2024). Effective attention model for global sea surface temperature prediction. Expert Systems with Applications, 254, 124411. [CrossRef]
- Vaswani, A., Shazeer, N., Parmar, N., Uszkoreit, J., Jones, L., Gomez, A. N., Kaiser, Ł., & Polosukhin, I. (2017). Attention is all you need. Proceedings of the 31st International Conference on Neural Information Processing Systems (NIPS'17), 6000–6010. Curran Associates Inc., Red Hook, NY, USA.
- Dosovitskiy, A., Beyer, L., Kolesnikov, A., Weissenborn, D., Zhai, X., Unterthiner, T., Dehghani, M., Minderer, M., Heigold, G., Gelly, S., Uszkoreit, J., & Houlsby, N. (2020). An image is worth 16x16 words: Transformers for image recognition at scale. arXiv preprint. https://arxiv.org/abs/2010.11929.
- Zou, R.; Wei, L.; Guan, L. Super Resolution of Satellite-Derived Sea Surface Temperature Using a Transformer-Based Model. Remote Sens. 2023, 15, 5376. [CrossRef]
- Lv, M., Wang, F., Li, Y., Zhang, Z., & Zhu, Y. (2022). Structure of Sea Surface Temperature Anomaly Induced by Mesoscale Eddies in the North Pacific Ocean. Journal of Geo-physical Research: Oceans, 127(3), e2021JC017581. [CrossRef]
- Carneiro, D.M., King, R., Martin, M. & Aguiar, A. (2021) Short-range ocean forecast error characteristics in high resolution assimilative systems. Forecasting Research Technical Report 645, Met Office. https://digital.nmla.metoffice.gov.uk/IO_e084c2c3-dc73-4cf3-acc1-44091ce6ef32.
- Lea, D.J., While, J., Martin, M.J., Weaver, A., Storto, A. & Chrust, M. (2022) A new global ocean ensemble system at the met Office: assessing the impact of hybrid data assimilation and inflation settings. Quarterly Journal of the Royal Meteorological Society, 148, 1996–2030. [CrossRef]
- Chassignet, E. P., Yeager, S. G., Fox-Kemper, B., Bozec, A., Castruccio, F., Danabasoglu, G., Horvat, C., Kim, W. M., Koldunov, N., Li, Y., Lin, P.F., Liu, H., Sein, D. V., Sidorenko, D., Wang, Q., and Xu, X., (2020). Impact of horizontal resolution on global ocean–sea ice model simulations based on the experimental protocols of the Ocean Model Intercomparison Project phase 2 (OMIP-2), Geosci. Model Dev., 13, 4595–4637. [CrossRef]
- Li, Y., Liu, H., Ding, M., Lin, P., Yu, Z., Yu, Y., Meng, Y., Li, Y., Jian, X., Jiang, J., Chen, K., Yang, Q., Wang, Y., Zhao, B., Wei, J., Ma, J., Zheng, W., & Wang, P. (2020). Eddy-resolving Simulation of CAS-LICOM3 for Phase 2 of the Ocean Model Intercomparison Project. Advances in Atmospheric Sciences, 37(10), 1067–1080. [CrossRef]
- Ding, M., Liu, H., Lin, P., Hu, A., Meng, Y., Li, Y., & Liu, K. (2022). Overestimated eddy kinetic energy in the eddy-rich regions simulated by eddy-resolving global ocean–sea ice models. Geophysical Research Letters, 49, e2022GL098370. [CrossRef]
- Nian, R., Cai, Y., Zhang, Z., He, H., Wu, J., Yuan, Q., Geng, X., Qian, Y., Yang, H., & He, B. (2021). The Identification and Prediction of Mesoscale Eddy Variation via Memory in Memory With Scheduled Sampling for Sea Level Anomaly. Frontiers in Marine Science, 8, 753942. [CrossRef]
- Zhu, R., Song, B., Qiu, Z., & Tian, Y. (2024). A Metadata-Enhanced Deep Learning Method for Sea Surface Height and Mesoscale Eddy Prediction. Remote Sensing, 16(8), 1466. [CrossRef]
- Wang, X., Li, C., Wang, X., Tan, L., & Wu, J. (2022). Spatio–Temporal Attention-Based Deep Learning Framework for Mesoscale Eddy Trajectory Prediction. IEEE Journal of Selected Topics in Applied Earth Observations and Remote Sensing, 15, 3853–3867. [CrossRef]
- Reynolds, R. W., Smith, T. M., Liu, C., Chelton, D. B., Casey, K. S., & Schlax, M. G. (2007). Daily High-Resolution-Blended Analyses for Sea Surface Temperature. Journal of Climate, 20(22), 5473–5496. [CrossRef]
- Huang, B., Liu, C., Banzon, V., Freeman, E., Graham, G., Hankins, B., Smith, T., & Zhang, H.-M. (2021). Improvements of the Daily Optimum Interpolation Sea Surface Temperature (DOISST) Version 2.1. Journal of Climate, 34(8), 2923–2939. [CrossRef]
- Bryan, F. O., Tomas, R., Dennis, J. M., Chelton, D. B., Loeb, N. G., & McClean, J. L. (2010). Frontal Scale Air–Sea Interaction in High-Resolution Coupled Climate Models. Journal of Climate, 23(23), 6277–6291. [CrossRef]
- Lin, P., Liu, H., Ma, J., & Li, Y. (2019). Ocean mesoscale structure–induced air–sea interaction in a high-resolution coupled model. Atmospheric and Oceanic Science Letters, 12(2), 98–106. [CrossRef]
- Cao, H., Wang, Y., Chen, J., Jiang, D., Zhang, X., Tian, Q., & Wang, M. (2021). Swin-Unet: Unet-like Pure Transformer for Medical Image Segmentation (arXiv:2105.05537). arXiv. http://arxiv.org/abs/2105.05537.
- Liu, Z., Lin, Y., Cao, Y., Hu, H., Wei, Y., Zhang, Z., Lin, S., & Guo, B. (2021). Swin Transformer: Hierarchical Vision Transformer using Shifted Windows. 2021 IEEE/CVF International Conference on Computer Vision (ICCV), Montreal, QC, Canada, 2021, pp. 9992-10002.
- Kingma, D. P., & Ba, J. (2017). Adam: A Method for Stochastic Optimization (arXiv:1412.6980). arXiv. http://arxiv.org/abs/1412.6980.
- Loshchilov, I., & Hutter, F. (2019). Decoupled Weight Decay Regularization (arXiv:1711.05101). arXiv. http://arxiv.org/abs/1711.05101.
- Shi, X., Chen, Z., Wang, H., Yeung, D.-Y., Wong, W., & Woo, W. 2015. Convolutional LSTM Network: a machine learning approach for precipitation nowcasting. In Proceedings of the 28th International Conference on Neural Information Processing Systems - Volume 1 (NIPS'15). MIT Press, Cambridge, MA, USA, 802–810.
- Zheng, W., Lin, P., Liu, H., Luan, Y., Ma, J., Mo, H., & Liu, J. (2023). An assessment of the LICOM Forecast System under the IVTT class4 framework. Frontiers in Marine Science, 10, 1112025. [CrossRef]
- Barbosa Aguiar, A., Bell, M. J., Blockley, E., Calvert, D., Crocker, R., Inverarity, G., King, R., Lea, D. J., Maksymczuk, J., Martin, M. J., Price, M. R., Siddorn, J., Smout-Day, K., Waters, J., & While, J. (2024). The Met Office Forecast Ocean Assimilation Model (FOAM) using a 1/12-degree grid for global forecasts. Quarterly Journal of the Royal Meteorological Society, qj.4798. [CrossRef]
- Blockley, E. W., Martin, M. J., McLaren, A. J., Ryan, A. G., Waters, J., Lea, D. J., Mirouze, I., Peterson, K. A., Sellar, A., & Storkey, D. (2014). Recent development of the Met Office operational ocean forecasting system: An overview and assessment of the new Global FOAM forecasts. Geoscientific Model Development, 7(6), 2613–2638. [CrossRef]
- Liu, H., Lin, P., Zheng, W., Luan, Y., Ma, J., Ding, M., Mo, H., Wan, L., & Ling, T. (2023). A global eddy-resolving ocean forecast system in China – LICOM Forecast System (LFS). Journal of Operational Oceanography, 16(1), 15–27. [CrossRef]
- Zhang, T., Lin P., Liu H., Zheng, W., Wang, P., Xu, T., Li, Y., Liu, J., & Chen, C. (2024). Short-Term Sea Surface Temperature Forecasts for the Equatorial Pacific Based on Long Short-Term Memory Network [J]. Chinese Journal of Atmospheric Sciences (in Chinese), 48(2): 745−754. 10.3878/j.issn.1006-9895.2302.22128.
- Fu, L.-L., Chelton, D., Le Traon, P.-Y., & Morrow, R. (2010). Eddy Dynamics From Satellite Altimetry. Oceanography, 23(4), 14–25. [CrossRef]
- Kwon, Y.-O., Alexander, M. A., Bond, N. A., Frankignoul, C., Nakamura, H., Qiu, B., & Thompson, L. A. (2010). Role of the Gulf Stream and Kuroshio–Oyashio Systems in Large-Scale Atmosphere–Ocean Interaction: A Review. Journal of Climate, 23(12), 3249–3281. [CrossRef]
- Ni, X., Zhang, Y., & Wang, W. (2025). Hurricane influence on the oceanic eddies in the Gulf Stream region. Nature Communications, 16(1), 583. [CrossRef]
- Chelton, D. B., Schlax, M. G., & Samelson, R. M. (2011). Global observations of nonlinear mesoscale eddies. Progress in Oceanography, 91(2), 167–216. [CrossRef]
- Kang, D., & Curchitser, E. N. (2013). Gulf Stream eddy characteristics in a high-resolution ocean model. Journal of Geophysical Research: Oceans, 118(9), 4474–4487. [CrossRef]
- Kang, D., & Curchitser, E. N. (2015). Energetics of Eddy–Mean Flow Interactions in the Gulf Stream Region. Journal of Physical Oceanography, 45(4), 1103–1120. [CrossRef]










Disclaimer/Publisher’s Note: The statements, opinions and data contained in all publications are solely those of the individual author(s) and contributor(s) and not of MDPI and/or the editor(s). MDPI and/or the editor(s) disclaim responsibility for any injury to people or property resulting from any ideas, methods, instructions or products referred to in the content. |
© 2025 by the authors. Licensee MDPI, Basel, Switzerland. This article is an open access article distributed under the terms and conditions of the Creative Commons Attribution (CC BY) license (http://creativecommons.org/licenses/by/4.0/).