Preprint
Article

This version is not peer-reviewed.

Numerical Simulation of Wind-Induced Vibration Response Characteristics of High-Rise Buildings with Podiums

A peer-reviewed article of this preprint also exists.

Submitted:

27 February 2025

Posted:

27 February 2025

You are already at the latest version

Abstract

High rise building structures with podiums are widely present, and establishing a fast numerical prediction method to evaluate their wind-induced response characteristics is of great significance for engineering applications. This article proposes a process algo-rithm based on AR (autoregression) method to solve the time history of fluctuating wind speed and determine fluctuating wind load. The simulated fluctuating wind speed spectrum obtained through this algorithm matches the target wind speed spec-trum, and the wind-induced response characteristics of high-rise buildings with po-diums were studied using MIDAS GEN structural analysis software. In order to eval-uate the influence of different parameters on the wind-induced vibration response of high-rise buildings with podiums, a total of 11 comparative conditions were set, in-cluding the presence or absence of podiums, podium height, podium area, and podium layout conditions. A comprehensive time history analysis was conducted on the dis-placement, acceleration, shear force, and overturning moment of wind-induced vibra-tion response of high-rise buildings with podiums. The results indicate that in high-rise buildings with podiums, adding podiums and increasing their height and area can help suppress the inter story displacement of the main building and the inter story acceleration, inter story shear force, and intra story overturning moment of the middle and lower floors, which is beneficial for the safety and stability of the high-rise building structure. The layout of the podium has an impact on the wind-induced vibration re-sponse of the main building. When the podium and main building are symmetrically arranged in the downwind direction, the maximum displacement of each floor is small, while the maximum displacement curve of buildings with asymmetric layout at the junction of the podium and main building is not smooth. The design of the central layout of the podium and main building can effectively reduce the maximum shear force and maximum overturning moment of the higher floors of the building, but the effect is opposite at lower floors.

Keywords: 
;  ;  ;  ;  

1. Introduction

As the name suggests, wind-induced vibration is the term used to describe the shaking of structures. The effect of wind on building vibration was not immediately apparent in an era when buildings were typically not very tall. It was only later, with the development of high-rise structures and wide-span bridges, etc., that wind-induced vibration events started to become more common and even resulted in wind-damaged buildings, like the Tacoma Suspension Bridge in the United States in 1940[1], that people started to investigate this effect. Numerous academics have investigated wind vibration in buildings. To study the wind loads of supertall multi-tower conjoined buildings from the perspectives of mean and pulsating wind pressure characteristics and vortex volume distribution, researchers Shitang Ke and Hao Wang [2,3] performed wind tunnel tests based on large vortex simulation for a supertall three-tower conjoined building. In order to study the spatial distribution characteristics of downwind pulsating wind loads and pulsating wind speed coherence functions, Zeng Jadong and Li Mingshui[4] et al. conducted surface pressure simultaneous measurement experiments on a rectangular rigid model. They then proposed a model expression for the downwind pulsating wind load coherence function of a rectangular building that can involve flow field and structural parameters like wind field category, vertical spacing, and others. In order to study the interrelationships reflecting the statistical coupling between modal responses under spatial-temporal varying dynamic wind excitation, M. F. Huang and C. M. Chan[5] et al. use a 60-story asymmetric full-size steel-concrete hybrid building as an example. They then propose a framework for analyzing lateral torsional wind vibration forces in high-rise buildings based on three-dimensional modal vibration patterns. In order to study wind-induced torsional loads on rectangular high-rise buildings, Vladimir Guzmán-Sols, Adrian Pozos-Estrada[6], et al. conducted wind tunnel tests on five rigid models with the same dimensions and various aspect ratios. Based on the results, they proposed a parameter on the variation of foundation torque coefficients with aspect ratio and wind direction for rectangular high-rise buildings that agrees well with the experimental results equations. A popular area of study in recent years has been the damage theory analysis of high-rise building structures. The numerical simulation study of these structures’ wind vibration response characteristics has some value for engineering.
A survey of existing domestic and foreign research shows that few studies of this kind have been carried out, despite the fact that the main podium one-piece high-rise building structure is a common structure in a class of projects. In this study, the pulsating wind velocity at various heights is solved using the AR approach, and the pulsating wind load is calculated using a formula. Finally, the software simulates the building’s response to wind vibration under pulsing wind stress[7].

2. Overview of AR Method

The pulsating wind speed time range must be resolved first in order to get the building pulsating wind load time range by self-programming. The wind tunnel test, harmonic synthesis method, and linear filtering method are the current three methods for determining the pulsing wind speed. A series of artificially generated random numbers with zero mean and a white spectrum are input into the filter for processing and are then output as a random process with a specific spectrum. This technique is known as the linear filtering method, also known as the white noise filtering method. The linear filter method can be further broken down into the Autoregressive (AR), Sliding Average, etc. Due to its benefits of low computational effort, quick computation, and high accuracy in determining the pulsing wind speed of buildings, the AR method has been extensively employed by a significant number of academics[8,9,10].
The basic idea behind the AR method’s steps is to first locate the stochastic process, then determine the regression coefficients given the stochastic process. The M-dimensional AR model can be used to represent the pulsing wind velocity field.
v t = k = 1 q ψ k v t k t + N t
where: q is the order of the M-dimensional AR model [11], ψ k is the regression coefficient matrix of order M × M, k is the surface resistance coefficient, t is the time step, and N t is a random vector with zero mean for a given variance. The matrix of autoregressive coefficients can be written as follows:
R = R ψ k
The expression is where R is the autocorrelation matrix of order I × I (I=q×M), and The elements in R can be obtained using the Wiener Khinchin formula:
R i j = 0 S i j cos 2 π n j t d n , i , j = 1,2 , M
where S i j is the pulsating wind speed mutual spectrum density function, n stands for the pulsating wind speed frequency, S i j can have a known pulsating wind speed spectrum S , and the spatial correlation coefficient c o h ( r , n ) is used to find. The following section will introduce a number of readily available pulsing wind speed spectra. The expression for the spatial correlation coefficient c o h ( r , n ) is:
c o h r , n = exp 2 n C x 2 x i x j 2 + C y 2 y i y j 2 + C z 2 z i z j 2 v z i + v z j
where: v z i and v z j signify the average wind speed at z i and z j on the space, and C x , C y , C z denote the left-right, front-back, and top-bottom attenuation coefficients of a space, respectively.
By multiplying both sides of equation (1) simultaneously right by v(t)=[v_1 (t),v_2 (t),…,v_m (t)], and then substituting the derived autoregressive coefficient matrix ψ_k, we can obtain the expression:
R N = k = 1 q ψ k R k t + R 0
R N is subject to Cholesky decomposition, and the decomposition expression is:
R N = L L T
Thus the random vector N(t) with a zero mean given the variance may be calculated from L, which stands for the lower triangular matrix. The expression is:
N t = L N t
By inserting the resulting N t into equation (1), it is possible to find the pulsing wind velocity process vector with time interval t and spatial correlation.
The expression employed in the study, which uses the Davenport[12] pulsating wind speed spectrum, is:
S v n = 4 k x 2 v 10 2 n 1 + x 2 4 3
x = 1200 n v 10
where v 10 defines the reference wind speed at 10 m height, k denotes the ground roughness coefficient, S v n denotes the pulsing wind speed power spectrum, n denotes the pulsating wind frequency.

3. Pulsating Wind Load Solution

The program is created using the AR method, imported into the Matlab software, and run to output the pulsating wind speed time history data and the pulsating wind speed time history graph at each point. Finally, the calculated simulated spectrum curve is compared with the target spectrum curve to confirm the accuracy of the simulated wind speed time history data.

3.1. Computational Model

The study conditions are shown in Table 1. The main building is 40 meters in length, width, and height. The model size is shown in Figure 1. Measurement point locations are 10, 28, 56, 84, 112, 140, 168, and 196 meters on the center line of the main building’s windward side. The measurement point map is shown in Figure 2. (podium area working condition measurement point distribution and 24m podium working condition is the same).

3.2. Time History Simulation of Fluctuating Wind Speed

Wang Xiuqiong[13] conducted a pertinent study regarding the Davenport wind speed spectrum and provided more reasonable values for the ground roughness coefficient k according to different roughness types, including 0.00129 for Class A landforms, 0.00215 for Class B landforms, 0.00464 for Class C landforms, and 0.01291 for Class D landforms(in the Code for Structural Loads of Buildings (GB50009-2012)[14] the ground roughness is divided into four categories A, B, C and D). Since B is the studied landform type, 0.00215 is used as the k value. Only height correlation is taken into account for spatial correlation, hence C z = 10 is the only number used (empirical value). Equation (4) uses the wind speed exponential law to calculate the variables v z i and v z j . The wind speed exponential law’s expression is:
V z = V 0 Z Z 0 α
where: Z 0 is the standard height; V 0 is the standard wind speed at Z 0 ; V z is the average wind speed at Z above the ground; α is the ground roughness index.
The reference wind pressure in this study is 0.25 at a height of 10 meters, based on the equation between wind pressure and wind speed:
p = v 2 1600
20 m/s can be calculated as the reference wind speed at 10 meters, and the other necessary values are established as given in Table 2.
According to the calculation of MATLAB program, the fluctuating wind speed at each height is shown in Figure 3.
According to Figure 3, each height measurement point’s peak pulsing wind speed is maintained at roughly 10 m/s, and they all oscillate up and down at 0. The simulated spectrum curve (black straight line on the right Figure) produced by Matlab software for each height measurement point is more consistent with the target spectrum curve (red dashed line on the right Figure), as can be seen from the power spectrum comparison graph, demonstrating that there is some degree of confidence in the simulated pulsating wind speed time range data in this section.
The pulsating wind pressure time range data can be calculated using the obtained pulsating wind speed time range data, and the pulsating wind load time range data can be calculated using a different formula. The wind pressure includes both average and pulsing wind pressure since the natural wind in the atmospheric environment is made up of both average and pulsating wind. The equation for the link between wind speed and wind pressure is:
P = 1 2 ρ V 2
where ρ is the air density, and V is the total wind speed. Since the total wind speed is composed of average wind speed and fluctuating wind speed, equation (12) can be expressed as:
P = 1 2 ρ v ¯ + v 2
where v ¯ is the average wind speed, v is the fluctuating wind speed. The wind speed exponential rule is used to get the average wind speed at each location. Table 3 displays the average wind speed at each height measurement point, and Figure 4 displays the pulsing wind pressure time range at each height measurement point that was determined by Equation (13).
Based on the calculated fluctuating wind pressure time history data, the fluctuating wind load time history can be directly calculated through the formula, which is:
F = P A μ s
In this study, the windward area A of the simulated height measurement point is calculated as the product of the measurement point’s distance from two neighboring measurement sites divided by half, then multiplied by the breadth of the windward surface. μ s indicates the building wind carrier type coefficient, which is specified in the Code for Structural Loads of Buildings(GB50009-2012)[14].
To be conservative, the wind load coefficient on the windward side and the wind load coefficient on the leeward side are typically superimposed to take 1.4 when designing and calculating the wind resistance performance of the building. This is because in the wind resistance design of the building structure, the wind pressure on the windward side of the building and the wind suction force on the leeward side of the building should be in the same direction. The wind load coefficient on the windward side is taken to be 1.25 in this study, and Figure 5 displays the wind load time range for each height measurement point derived from Equation (14).

4. Wind Induced Vibration Analysis

4.1. Comparison of Wind Vibration Results Between High Rise Buildings with and Without Podiums

Prior to performing the time analysis, the modal analysis of the finite element model’s first 16 orders of vibration patterns is performed using the eigenvalue analysis method in Midas Gen, which may guarantee the model’s plausibility. Under the condition of calculating the vibration mode to the 16th order, the Table4 shows the first six orders of the vibration mode diagram for the high building without podium.
According to Table 4, the fact that each order’s vibration type essentially complies with the requirements listed for the first six high-rise building vibration types in the Technical Specification for Concrete Structures of High-rise Buildings[15] shows that the finite element model is properly set.
The numerical simulation results of wind-induced vibration response for two working conditions (high-rise buildings with and without podiums) are visualized and compared through post-processing, as shown in Figure 6 to Figure 9. Figure 6 shows the variation of top displacement over time and the comparison of maximum displacement for each floor. Figure 7 shows the comparison of the highest acceleration of each floor and the variation of the top floor acceleration over time. Figure 8 shows the comp`arison of maximum shear forces on each floor and the variation of bottom shear force over time. Figure 9 depicts the time history of the bottom overturning moment and the comparison of the maximum overturning moment on each floor.
When looking at Figure 6(a), it is clear that there aren’t many differences between the two working conditions, as evidenced by the displacement time history curves of the top level of the building with and without a podium. Even still, the peak of the curve shows that the curve without a podium has a slightly bigger overall numerical magnitude than the one with a podium, showing that the displacement pulsation of the top floor of the building without a podium is larger.
In both operating situations, the maximum inter-story displacement can be seen in Figure 6(b) to significantly increase as the floor height increases. This is in keeping with the general rule of wind load on high-rise buildings since as a building’s height increases, so does its flexibility, making it more susceptible to wind stress. When the displacement curves for the two working conditions are compared, it is clear that the maximum displacement between each floor in the working condition without a podium is greater than that in the working condition with a podium, and the difference between the two gradually grows as the floor increases.
In general, adding a podium at the base of a high-rise building helps to reduce the wind-induced vibration displacement response of the entire structure because the podium structure at the base increases the building’s bottom stiffness to some extent, increasing the building’s overall wind resistance.
Figure 7(a) demonstrates that the acceleration time history curves of the top level of the building with and without the podium are still very comparable in both situations, much like the displacement time history scenario. The maximum acceleration difference between the two working conditions does not increase with the height of the building, but instead begins at zero and increases until it reaches its maximum value around the tenth floor, after which it decreases until the two curves essentially coincide, and finally, the acceleration of the working condition without a podium is lower than the acceleration of the working condition with a podium, as can be seen from the detailed diagram in the lower right corner of the Figure 7 (b). The stiffness difference is what drives the curve’s development tendency. The inter-story acceleration of a building drops as its stiffness rises, and the inter-story acceleration of a building with a podium condition is lower from the bottom level than it would be without a podium condition because the podium makes the bottom of the building stiffer. The influence of the bottom podium on the building’s interstory stiffness then steadily reduces as the number of floors rises. Overall, the podium predominantly suppresses inter-story acceleration in the middle and lower floors, and the strength of the suppression weakens as the number of storeys rises.
The time history curves for bottom shear in the two operating circumstances are essentially the same, as can be seen in Figure 8 (a). The difference between the peaks of the time history curves for the cases with and without podiums demonstrates that the effect of the podium on the building’s bottom shear is not immediately apparent. The maximum acceleration between floors in both working circumstances drops noticeably with an increase in floor height, as shown in Figure 8(b). The difference in maximum acceleration between floors is primarily visible in the lower floors, and the inter-story shear force without podium condition is greater than that with podium condition. However, the difference in shear force between the two does not increase with the height of the building; instead, it starts at zero until the maximum value is reached around the tenth floor, then it gradually decreases until the two curves essentially coincide. Overall, the middle and low levels still represent the majority of the podium’s effect on the building’s inter-story shear, and the strength of the impact will continue to diminish as the number of storeys rises.
Because there is a transformation relationship between the shear force and the overturning moment, it can be seen from Figure 9(a) that the shape of the bottom overturning moment time history curve under the two working conditions is essentially the same as the bottom shear time history curve in Figure 8(a). This indicates that the podium’s influence on the building’s bottom overturning moment is as minimal as the bottom shear force.
Figure 9(b) demonstrates that the amplitude and variety of the two curves’ differences are still comparable to Figure 8(b). This means that rather than increasing as a building’s height rises, the difference between the two overturning moments instead increases from 0 until it reaches its greatest value around the 10th story, then reduces until the two curves almost converge. The scale in the Figure is too tiny and the overturning moment values are quite great, which reduces the distance between the two, causing the curves to be very similar.
Overall, the middle and lower floors still reflect the majority of the podium’s shear stress on the overturning moment between the building’s floors, and the severity of the effect reduces as the number of stories rises.
To better analyze the data, important nodes in the building model were selected for quantitative comparison to highlight the podium effect. The data comparison is shown in Table 5. From Table 5 it can be seen that the average values of various parameters for buildings with podiums and the parameters for the middle floor are lower than those for buildings without podiums under the same conditions. But in the case of a podium on the top floor, except for the top floor displacement being smaller than that without podium, all other parameters are higher than those without a podium. It can be inferred that one of the reasons for this phenomenon is the relative weakening of the stiffness effect of the upper part of the building.

4.2. The Influence of Podium Height on Wind-Induced Vibration Results

Modal analysis was conducted on the finite element models of high-rise buildings with podium heights of 10 meters, 17 meters, and 24 meters, respectively. The analysis is shown in Table 6. This indicates that the vibration modes of each order basically meet the standard of the first six natural vibrations of high-rise buildings, proving that the finite element model is properly set.
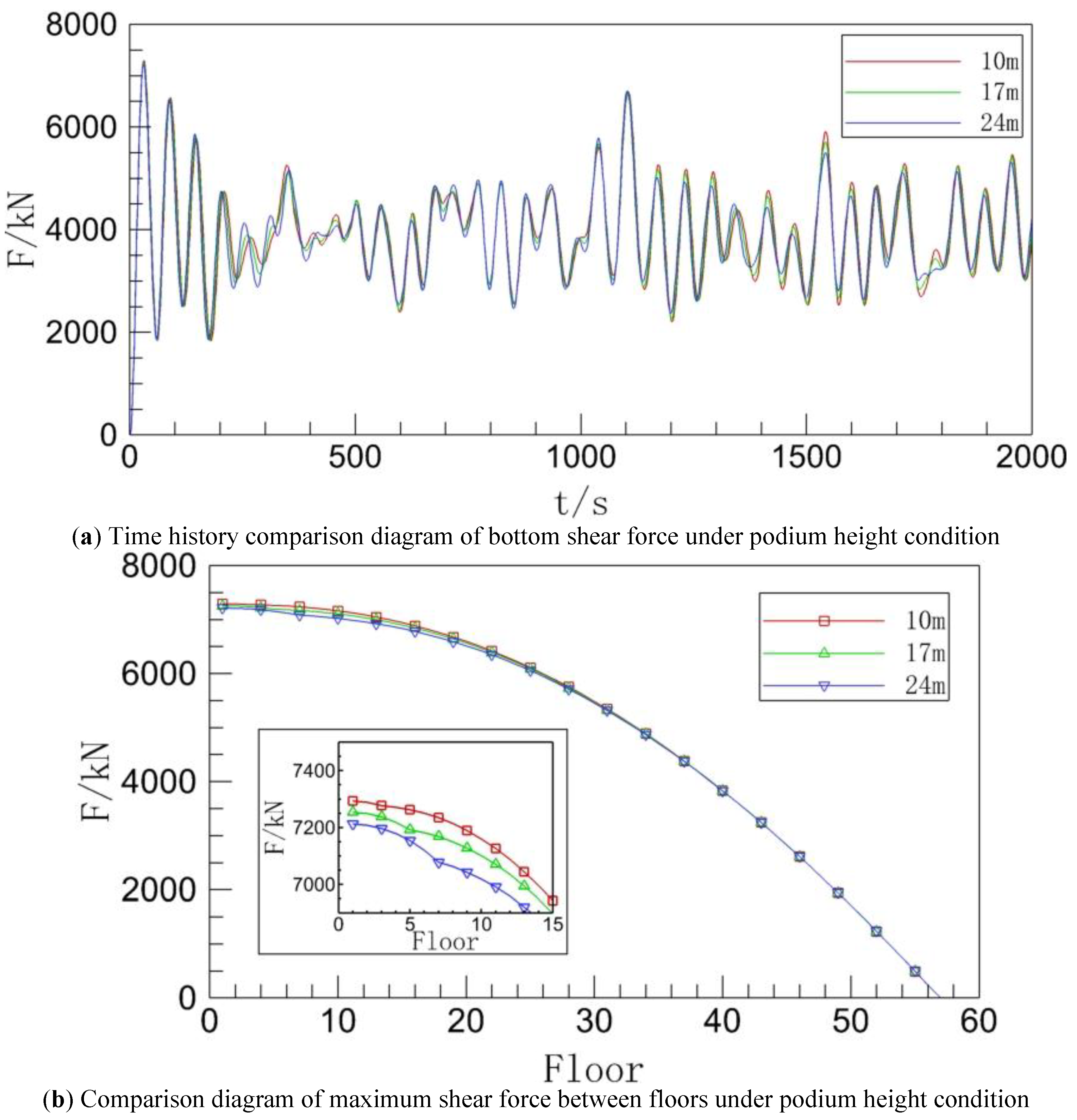
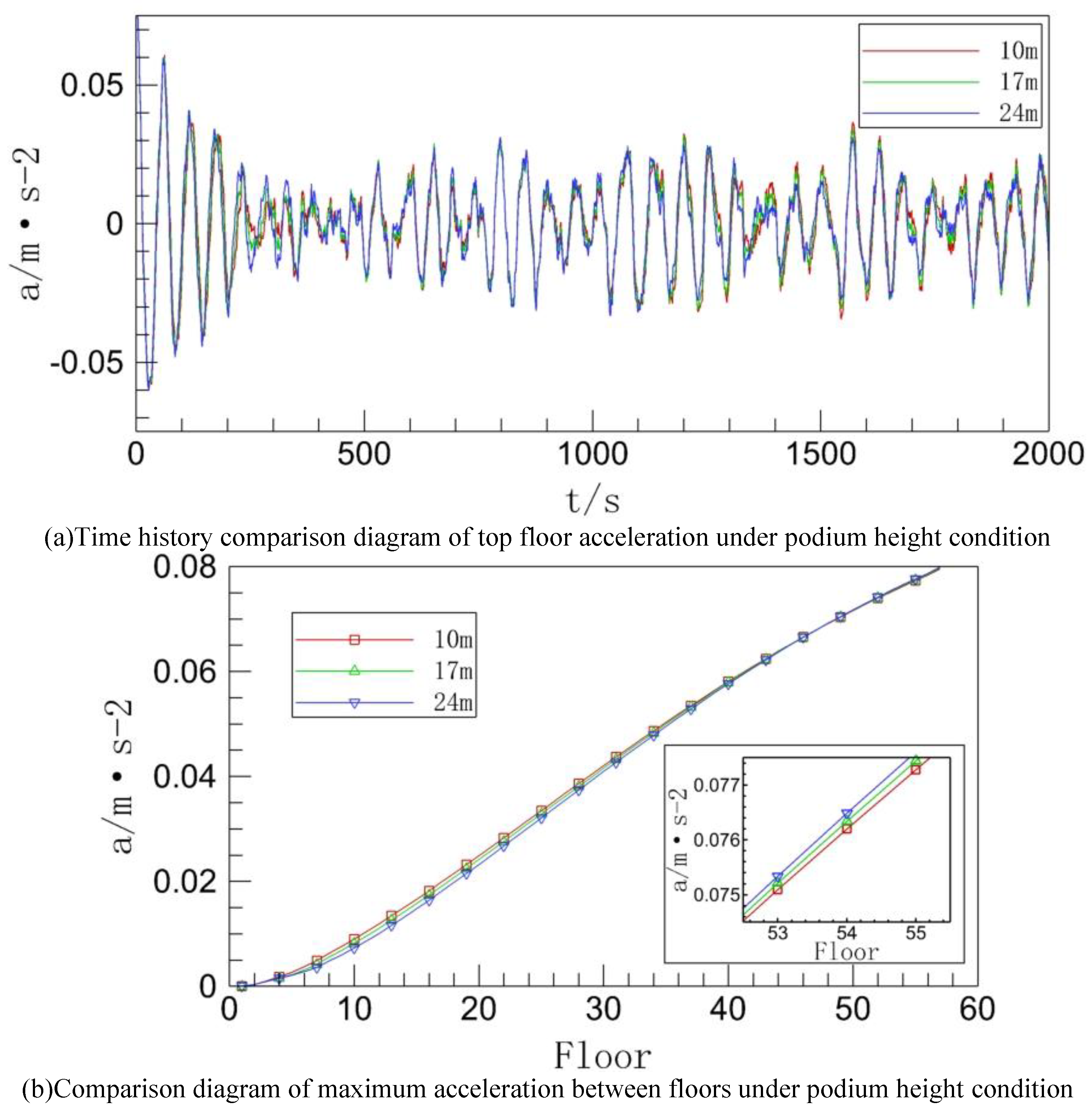
Figure 10 shows the time history of the top floor displacement and the maximum displacement of each floor under the three working conditions. Figure 11 shows the time history of the top floor acceleration and the maximum acceleration of each floor. Figure 12 shows the time history of the bottom shear force and the maximum inter-story shear force of each floor. Figure 14 shows the time history of the bottom overturning moment and the maximum overturning moment of each floor.
It can be seen from Figure 10(a) that with the increase of the podium height, the overall value of the displacement time history curve of the top floor is gradually decreasing, and from the peak value of the curve under the three working conditions, the overall amplitude of the curve is also decreasing. This shows that the higher the podium, the smaller the displacement fluctuation amplitude of the top floor of the building. By observing Figure 10(b), it can be seen that with the increase of the building floor, the maximum inter floor displacement under the three working conditions shows an obvious increasing trend. Secondly, comparing the maximum displacement curves between the floors under the three working conditions, it can be clearly seen that the maximum displacement between the floors of the building gradually decreases with the increase of the podium height, and the curve difference between the three working conditions gradually increases with the increase of the floors.
The podium structure at the bottom of the high-rise building can boost the bottom stiffness of the building to a certain level, improving the building’s total wind resistance, according to the research of the working conditions with and without the podium. Similar to this, the research of the podium height condition revealed that as the podium height increased, the stiffness of the building’s main body increased. As a result, the building’s inter-story displacement decreased and the displacement pulsation amplitude increased.
As the podium’s height increases, it is evident from Figure 11(a) that both the amplitude and period of the pulsation of the acceleration time history curve are gradually diminishing. As can be observed from Figure 11(b), the acceleration rises noticeably as the floor height rises, and the maximum acceleration curve between floors follows the expected trend. The acceleration difference between each curve, which starts at zero and increases until it reaches its maximum value around the tenth floor, then gradually decreases until the two curves essentially coincide, can be seen in Figure 11(b). During this time, the maximum acceleration magnitude between building floors gradually decreases with the increase in podium height. The acceleration numbers are in the opposite order of magnitude as before starting at about the 45th story of the building, and the difference in acceleration is growing. The detailed Figure in Figure 12(b)’s lower right corner makes it easy to determine the magnitude difference between the acceleration values. Following analysis of the podium height scenario, it was discovered that elevating the podium can successfully reduce inter-story acceleration in the building’s middle and lower floors, similar to the cases with and without a podium. Reaching the middle and upper stories, this suppression effect is totally reversed as the floors rise higher.
Figure 11. Inter-storey displacement under podium height condition.
Figure 11. Inter-storey displacement under podium height condition.
Preprints 150702 g011
The bottom shear time history curves for the three working conditions are extremely similar, as can be shown in Figure 12(a). The three have different pulsation amplitudes, but there isn’t a very noticeable difference between them, so it can be concluded that altering the podium’s height doesn’t significantly affect the building’s bottom shear.
As the floors rise higher, it is clear from Figure 12(b) that the maximum inter-story shear forces for the three operating conditions only differ marginally at the lower floors. The shear force difference between the curves in the Figure is not as noticeable as it would be in the case with and without the podium because the value of the shear force at the base of the building does not vary significantly as a result of the little increase in podium height. However, as can be seen from the detail diagram in the lower right corner of Figure 12(b), the maximum inter-story shear force close to the intersection level of the main structure of the building and the podium gradually reduces with an increase in podium height.
Figure 12. Inter-storey shear under podium height condition.
Figure 12. Inter-storey shear under podium height condition.
Preprints 150702 g012
Figure 13(a) reveals that the bottom overturning moment time history curve’s trend and period for the three working conditions are essentially identical to those of Figure 11(a). This is due to the fact that shear force and overturning moment have a transformation connection that is comparable to the situation in operating conditions with and without podium. Because the overturning moment values in Figure 13(b) are quite high and the shear forces between the layers for the three working conditions have been somewhat near. The three curves’ differences are thus barely discernible and even close to overlapping. The inter-story overturning moment of the middle and lower floors of the building does, however, gradually decrease with an increase in podium height, as shown by the detail diagram in Figure 13(b)’s right corner.
Figure 13. Overturning bending moment between building floors under podium height condition.
Figure 13. Overturning bending moment between building floors under podium height condition.
Preprints 150702 g013aPreprints 150702 g013b
Similarly, in order to better analyze the data, important location nodes in the building model were selected for quantitative comparison to highlight the effect of podium height. The data comparison is shown in Table 7.
From Table 7, it can be seen that as the height of the podium increases, the average values of various parameters and the parameters of the middle floor decrease. But at the top level, except for displacement, all other parameters increase with the height of the podium building. It can be inferred that one of the reasons for this phenomenon is still the relative weakening of the stiffness effect on the upper part of the building.

4.3. The Influence of Podium Area on Wind-Induced Vibration Results

The finite element models of the three podium area working conditions perform modal analysis, The specific settings for the three area conditions are shown in Table 1. Perform wind vibration response calculation and post-processing analysis on finite element models under three types of podium floor area conditions.
Following the time history analysis, Figure 14, Figure 15, and Figure 16 show the time history of the top floor acceleration and the maximum acceleration of each floor under the three working conditions, the time history of the bottom shear force and the maximum inter-story shear force of each floor under the three working conditions, and Figure 19 shows the time history of the bottom shear force.
The displacement time history curve for the top floor of the building under the three operating conditions has a very similar trend and period, as can be shown in Figure 14(a). The overall value of the displacement time history curve of the top level, however, gradually declines as the podium’s surface area grows. Additionally, under the three operating conditions, the overall amplitude of the curve is likewise falling from the apex of the curve. This suggests that the displacement pulsation amplitude of the building’s top floor decreases as the podium’s area increases. The maximum displacement between floors in all three sets of working situations grows dramatically with the addition of building floors, as can be seen by first looking at Figure 14(b). Second, when comparing the three curves, it is clear that as the height of the podium rises, the maximum displacement between floors of the building progressively reduces, and as floors rise, the disparity in the curves between the three groups of working circumstances gradually grows.
Combining the two sets of displacement diagrams, it is clear that expanding the podium area in the main podium one-story high-rise building is a good way to reduce the building’s overall response to wind-induced vibration displacement. This is because the inter-story displacement of the building will decrease and the displacement pulsation amplitude will weaken as the size of the podium increases, increasing the stiffness of the main body of the building. This situation is comparable to the former working condition, and the outcomes are as anticipated.
Figure 14. Inter-storey displacement under podium area condition.
Figure 14. Inter-storey displacement under podium area condition.
Preprints 150702 g014
As demonstrated in Figure 15(a), with an increase in podium floor area, the acceleration time history curves’ pulsation amplitude increases. As can be observed from Figure 15(b), the maximum acceleration curves between floors grow significantly as the number of floors increases, and these changes essentially fulfill the expected requirements. The acceleration difference between each curve doesn’t increase as the building height rises; instead, it increases from zero until it reaches its maximum value somewhere around the tenth floor, then it starts to decline until the two curves essentially coincide, during which point the acceleration magnitude decreases as the podium area grows. Beginning at the 45th level, the magnitude sequence of the acceleration values is reversed from what it was, followed by a growing discrepancy in the acceleration values, which lasts all the way to the building’s top floor. The detail graphic shows the magnitude and sequence of the acceleration values close to the top floor.In general, expanding the podium’s area can successfully reduce the building’s middle and lower floors’ inter-story acceleration. Reaching the middle and upper floors, however, this suppression effect will be completely contrary to the prior one, while the difference is still minimal. Similar results to this one have been seen in previous working conditions.
Figure 15. Inter-storey displacement under podium area condition.
Figure 15. Inter-storey displacement under podium area condition.
Preprints 150702 g015
The bottom shear time history curves for the three working conditions are quite similar to one another, as can be seen in Figure 16(a). It can be seen that the podium height of a slight modification for the building bottom shear does not have a very visible impact since the overall difference in the pulsation amplitude of the three is not very great.
The maximum acceleration between floors under the three operating circumstances only minimally varies at the lower floors, as can be shown in Figure 16(b), as the floor area increases. Due to the relatively slight change in the area of the podium, the change in the shear force at the base of the building is not obviously evident. However, as can also be seen from the detail diagram in the lower left corner of Figure 16(b), the value of the largest inter-story shear force in the area around the location where the building’s main structure and the podium meet diminishes as the area of the podium increases.
Figure 16. Inter-storey shear under podium area condition.
Figure 16. Inter-storey shear under podium area condition.
Preprints 150702 g016
It is evident from Figure 17(a) that the bottom overturning moment time history curves under the three working conditions have a trend and period that are essentially the same as the bottom shear time history curves in Figure 16(a) due to a transformation relationship between the shear force and the overturning moment. The value of the overturning moment at the base of the building does not vary obviously because the change in the area of the podium is rather minor.
In Figure 17 (b), the distinctions between the three curves are not immediately apparent and have even come very close to overlapping since the shear forces between the layers in the three operating conditions have been extremely close and the values of the overturning moments have been quite large. The inter-story overturning moment of the building’s middle and lower floors, however, nevertheless gradually reduces with an increase in podium area, as shown by the detailed subfigure in right corner of Figure 17(b), and the law is compatible with this change in the condition of the podium height.
Figure 17. Overturning bending moment between building floors under podium area condition.
Figure 17. Overturning bending moment between building floors under podium area condition.
Preprints 150702 g017
The following is a summary of the research results on different podium area working conditions. Nodes from important parts of each model are selected for quantitative comparison, highlighting the podium effect. The data comparison is shown in Table 8.
From Table 8, it can be seen that as the area of the podium increases, the average values of various parameters and the parameters of the middle floor decrease. But at the top level, except for displacement, all other parameters increase with the increase of the podium area, which is similar to the first two working conditions, once again verifying the reliability of the simulation results. And the three parameters of acceleration, shear force, and bending moment decrease with the increase of podium area at the lower level of the building, but increase with the increase of podium area at the middle and upper levels, showing the opposite variation. It can be inferred that one of the reasons for this phenomenon is still the weakening of the stiffness effect of the upper part of the building.

5. The Influence of Podium Layout on Wind-Induced Vibration Results

5.1. Calculation Models for Several Podium Layouts

In all layout methods, the size of the podium is 60m x 60m x 10m, and the cross-sectional size of the main body is the same as that of the building without a podium. The overall height of the building is 90m. C1, C2, and C3 are symmetrical layouts, while C4, C5, and C6 are asymmetrical layouts. The model is shown in Figure 18.
Figure 18. Finite element model of working conditions for podium layout.
Figure 18. Finite element model of working conditions for podium layout.
Preprints 150702 g018
The top views of the six models presented in this section are shown in Figure 19.
Figure 19. Top view of architectural models with different podium layouts.
Figure 19. Top view of architectural models with different podium layouts.
Preprints 150702 g019
The loading method of pulsating wind load (nodal dynamic load) on the attached podium building is shown in Figure 20.
Figure 20. Schematic diagram of fluctuating wind load loading on the building of conditions for podium layout.
Figure 20. Schematic diagram of fluctuating wind load loading on the building of conditions for podium layout.
Preprints 150702 g020

5.2. Analysis of Numerical Simulation Results of Wind-Induced Vibration Response

The maximum displacement of each layer under six working conditions is shown in Figure 21, and the values of the maximum displacement, average displacement, and the ratio of maximum displacement to average displacement of key layers are shown in Table 9 Displacement of key floors in the conditions of podium layout Comparative analysis of figure and table data, it can be seen that the maximum displacement of symmetrical layout always increases with the height of the floor, while the displacement of asymmetrical layout undergoes a sudden change at the junction of the podium and the main body, and the maximum displacement of asymmetrical layout is generally greater than that of symmetrical layout.
Figure 21. Comparison diagram of displacement(S) of buildings in the conditions of podium layout.
Figure 21. Comparison diagram of displacement(S) of buildings in the conditions of podium layout.
Preprints 150702 g021
The maximum shear force and maximum overturning moment of each floor under six working conditions are shown in Figure 22 and Figure 23, respectively. The values of maximum shear force and overturning moment of key floors are shown in Table 8 From the Figure, it can be seen that the maximum overturning moment and maximum shear force trend of the six working conditions are similar, but the difference is that the maximum shear force graph is convex on the top and concave on the bottom. Like the maximum displacement, the maximum shear force curves and maximum overturning moment curves of C1 and C3, C4 and C6 completely overlap. Except for the layout at the center, the maximum shear force curves of the other five layouts have small differences and are not smooth at the junction between the podium and the main body. The maximum shear force and maximum overturning moment of the layout at the center of the high-rise area are smaller than those of the other working conditions, while the values of the layout at the center of the low rise area are relatively large.
Figure 22. Comparison diagram of shear forces of buildings in the conditions of podium layout.
Figure 22. Comparison diagram of shear forces of buildings in the conditions of podium layout.
Preprints 150702 g022
Figure 23. Comparison diagram of overturning moment of buildings in the conditions of podium layout.
Figure 23. Comparison diagram of overturning moment of buildings in the conditions of podium layout.
Preprints 150702 g023
From the above analysis, it can be concluded that the overall displacement of symmetrical layout is smaller than that of asymmetrical layout. It is speculated that this is due to the relative weakening of stiffness caused by eccentric layout, resulting in an increase in displacement. By observing the maximum shear force and maximum overturning moment of each floor, it can be concluded that the design of the central podium layout can appropriately reduce the maximum shear force and overturning moment of the higher floors of the building, but the effect is opposite in lower floors.

6. Conclusions

In order to study the wind-induced response characteristics of the main podium one-piece high-rise building structure, this paper presents a process algorithm for solving the pulsating wind speed time history and determining the pulsating wind load based on the AR method. It then applies this algorithm to the study of the wind-induced response characteristics of the structure, and the following conclusions are drawn.
(1) It is discovered that the building’s response to wind-induced displacement is mostly impacted by the podium’s existence or absence. The middle and bottom floors of the building exhibit the most visible effects of the podium’s presence or absence on the acceleration response, bottom shear, and bottom overturning moment, and the influence diminishes with increasing building height.
(2) The maximum displacement between floors of the building steadily reduces as the podium height rises, which is evident from the building’s response to wind-induced displacement. The influence of wind-induced vibration acceleration is most noticeable in the middle and lower floors of the building structure, and it gradually diminishes as the number of floors rises. At levels close to the top floor of the structure, the inter-story acceleration rises with the height of the podium. With an increase in podium height, the building’s bottom shear force and bottom overturning moment somewhat decrease.
(3) Expanding the podium’s area can also successfully reduce the building’s displacement due to wind, and this effect is particularly pronounced on the upper stories. Even while expanding the podium’s surface area can reduce the rate of acceleration on the middle and lower floors, the suppression effect is less noticeable on the upper floors. In line with other working circumstances, as the podium area is increased, the shear force and overturning moment of the building’s middle and lower floors diminish.
(4) The layout of the podium has an impact on the wind-induced vibration response of the main building. When the podium and main building are symmetrically arranged in the downwind direction, the maximum displacement of each floor is small, while the maximum displacement curve of buildings with asymmetric layout at the junction of the podium and main building is not smooth. The design of the central layout of the podium and main building can effectively reduce the maximum shear force and maximum overturning moment of the higher floors of the building, but the effect is opposite at lower floors.

Funding

This research was funded by the National Natural Science Foundation of China (No. 52478575); the Scientific Research Foundation of Hunan Provincial Education Department (No. 22B0270)

References

  1. Theodore, K. Collapse of the tacoma narrows bridge. Resonance 2005, 10, 97–102. [Google Scholar]
  2. Ke, S.T.; Wang, H. Study on large eddy simulation of wind load disturbance effect of super tall continuous building. Journal of Hunan University (Natural Science Edition) 2017, 44, 53–62. (in Chinese). [Google Scholar]
  3. Hao, W.; Ke, S. Study on wind response and equivalent static wind load of super-tall multi-tower conjoined buildings based on wind tunnel test. Building Structures 2018, 48, 103–108. (in Chinese). [Google Scholar]
  4. Zeng, J.; Li, M.; Li, S. Spatial correlation of downwind pulsating wind loads on rectangular high-rise buildings. Journal of Harbin Institute of Technology 2017, 49, 150–155. (in Chinese). [Google Scholar]
  5. Huang, M.F.; Chan, C.M.; Kwok, K.C.S.; et al. Cross Correlations of Modal Responses of Tall Buildings in Wind-Induced Lateral-Torsional Motion. Journal of Engineering Mechanics 2009, 135, 802–812. (in Chinese). [Google Scholar]
  6. Vladimir, G.-S.; Adrian, P.-E.; Roberto, G. Experimental study of wind-induced shear, bending, and torsional loads on rectangular tall buildings. Advances in Structural Engineering 2020, 23, 2982–2995. [Google Scholar]
  7. Liu, J.; Lu, N.; Duan, H.; et al. Research on wind vibration response and wind vibration coefficients of double-high transmission towers. Journal of Xi’an University of Architecture and Technology (Natural Science Edition) 2020, 52, 9–14. (in Chinese). [Google Scholar]
  8. Liu, L.W.; Sui, J.Y.; Liu, Z.X. Simulation of pulsating wind loads on high-rise structures. In Proceedings of the 16th National Conference on Structural Engineering; 2007; pp. 90–93. (in Chinese). [Google Scholar]
  9. Bo, Y.; Ying, H.; Xu, J. Simulation of pulsating wind speed based on linear filtering method and its matlab program implementation. Structural Engineer 2007, 55–61. (in Chinese). [Google Scholar]
  10. Li, C.; Du, M.; Han, B. Simulation of pulsating wind velocity timescales for super tall buildings based on ar model. Earthquake Engineering and Engineering Vibration 2008, 87–94. (in Chinese). [Google Scholar]
  11. Xie, Z. Autoregressive model fitting, spectral estimation of parametric models and aic criterion. Mathematical Statistics and Management 1985, 38–42. (in Chinese). [Google Scholar]
  12. Davenport, A.G. The relationship of reliability to wind loading. Journal of Wind Engineering and Industrial Aerodynamics 1983, 13. [Google Scholar] [CrossRef]
  13. Wan,g X.; Cui, J. Formulation of the coefficient K in the Davenport spectrum and its engineering applications. Journal of Tongji University (Natural Science Edition) 2002, 849–852. (in Chinese).
  14. GB 50009-2012(263) A4; Code for structural loading of buildings. 2012. (in Chinese)
  15. JGJ 3-2010; Technical regulations for concrete structures of high-rise buildings. China Academy of Building Research, Beijing Architectural Design and Research Institute, East China Architectural Design and Research Institute Co., 2010; p. B5. (in Chinese)
Figure 1. Dimension drawing of building model.
Figure 1. Dimension drawing of building model.
Preprints 150702 g001
Figure 2. Diagram of windward-side measuring points on buildings under varying operational circumstances.
Figure 2. Diagram of windward-side measuring points on buildings under varying operational circumstances.
Preprints 150702 g002
Figure 3. Fluctuating wind speed time history at each altimeter point and power spectrum comparison.
Figure 3. Fluctuating wind speed time history at each altimeter point and power spectrum comparison.
Preprints 150702 g003aPreprints 150702 g003b
Figure 4. Time history of fluctuating wind pressure at each height measuring point.
Figure 4. Time history of fluctuating wind pressure at each height measuring point.
Preprints 150702 g004
Figure 5. Time history of fluctuating wind load at each height measuring point.
Figure 5. Time history of fluctuating wind load at each height measuring point.
Preprints 150702 g005
Figure 6. Inter-storey displacement of podium with or without working conditions.
Figure 6. Inter-storey displacement of podium with or without working conditions.
Preprints 150702 g006
Figure 7. Inter-storey acceleration of podium with or without working conditions.
Figure 7. Inter-storey acceleration of podium with or without working conditions.
Preprints 150702 g007
Figure 8. Inter-storey shear of the building with or without podium.
Figure 8. Inter-storey shear of the building with or without podium.
Preprints 150702 g008
Figure 9. Overturning moment between floors of the podium with or without working conditions.
Figure 9. Overturning moment between floors of the podium with or without working conditions.
Preprints 150702 g009
Figure 10. Inter-storey displacement under podium height condition.
Figure 10. Inter-storey displacement under podium height condition.
Preprints 150702 g010
Table 1. Simulated working condition Table.
Table 1. Simulated working condition Table.
Working condition Computational model Podium height Podium area
With podium or without High rise with podium 24m 80m×80m
High rise without podium 0 0
Podium height condition High rise with podium 10m 80m×80m
17m 80m×80m
24m 80m×80m
Podium area condition High rise with podium 24m 70m×70m
24m 80m×80m
24m 90m×90m
Table 2. Parameter setting of fluctuating wind speed time history simulation.
Table 2. Parameter setting of fluctuating wind speed time history simulation.
Project Parameter setting
Time history simulation order 4th order
Total simulation time 200s
Simulation interval 0.1s
Total sampling points 2048
Initial frequency 0.01Hz
Frequency increment 0.01Hz
Cut off frequency 10Hz
Table 3. Summary of average wind speed at each height measuring point.
Table 3. Summary of average wind speed at each height measuring point.
10m 28m 56m 84m 112m 140m 168m 196m
20m/s 23.58m/s 26.35m/s 28.11m/s 29.44m/s 30.51m/s 31.41m/s 32.2m/s
Table 4. The first six vibration modes of finite element model for high-rise buildings without podiums.
Table 4. The first six vibration modes of finite element model for high-rise buildings without podiums.
Category The first six vibration modes
Vibration mode diagram Preprints 150702 i001 Preprints 150702 i002 Preprints 150702 i003 Preprints 150702 i004 Preprints 150702 i005 Preprints 150702 i006
Order First order Second order Third order Fourth order Fifth order Sixth order
Vibration type the translational vibration mode in the x-axis direction the translational vibration mode in the y-axis direction the torsional vibration mode around the z-axis the flexural vibration mode in the x-axis direction the flexural vibration mode in the y-axis direction the translational torsional coupling vibration mode
Table 5. Comparison of key data of with or without podium working conditions.
Table 5. Comparison of key data of with or without podium working conditions.
Buildings without podium Buildings with podium
Average displacement of layers 0.0692m 0.0614m
Average layer acceleration 0.0398m/s² 0.0388m/s²
Average layer shear force 4927.4704kN 4860.7483kN
Average bending moment of each layer 376259.8879kN·m 372937.091kN·m
Intermediate displacement 0.0693m 0.0620m
Intermediate layer acceleration 0.0406 m/s² 0.0392 m/s²
Intermediate layer shear force 5629.6551kN 5581.7768kN
Intermediate bending moment 313499.17kN·m 312401.4622kN·m
Top displacement 0.1356m 0.1266m
Top acceleration 0.0795m/s² 0.08m/s²
Top level shear force 236.5530kN 237.2933kN
Top bending moment 946.2118kN·m 949.1731kN·m
Table 6. The first six vibration modes of finite element model for high-rise buildings with podiums(10m).
Table 6. The first six vibration modes of finite element model for high-rise buildings with podiums(10m).
category The first six vibration modes
Vibration mode diagram Preprints 150702 i007 Preprints 150702 i008 Preprints 150702 i009 Preprints 150702 i010 Preprints 150702 i011 Preprints 150702 i012
Order First order Second order Third order Fourth order Fifth order Sixth order
Vibration type the translational vibration mode in the x-axis direction the translational vibration mode in the y-axis direction the torsional vibration mode around the z-axis the flexural vibration mode in the x-axis direction the flexural vibration mode in the y-axis direction the translational torsional coupling vibration mode
Table 7. Comparison of key data of podium height working conditions.
Table 7. Comparison of key data of podium height working conditions.
Podium height 10m 17m 24m
Average displacement of layers 0.0667m 0.0644m 0.0614m
Average layer acceleration 0.0396 m/s² 0.0392m/s² 0.0388m/s²
Average layer shear force 4912.7981kN 4890.8438kN 4860.7483kN
Average bending moment of each layer 375582.9025kN·m 374580.4379kN·m 372937.091kN·m
Intermediate displacement 0.0679m 0.0654m 0.0620m
Intermediate layer acceleration 0.04031m/s² 0.0398m/s² 0.0392m/s²
Intermediate layer shear force 5620.1740kN 5606.0419kN 5581.7768kN
Intermediate bending moment 313279.6078kN·m 313044.7544kN·m 312401.4622kN·m
Top displacement 0.1340m 0.1309m 0.1266m
Top acceleration 0.0796m/s² 0.0798m/s² 0.08m/s²
Top level shear force 236.7026kN 237.0792kN 237.2933kN
Top bending moment 946.8102kN·m 948.3168kN·m 949.1731kN·m
Table 8. Comparison of key data for podium area working conditions.
Table 8. Comparison of key data for podium area working conditions.
podium area 70m×70m 80m×80m 90m×90m
Average displacement of layers 0.0641m 0.0614m 0.0593m
Average layer acceleration 0.0393m/s² 0.0388m/s² 0.0384m/s²
Average layer shear force 4891.9315kN 4860.7483kN 4836.6816kN
Average bending moment of each layer 374514.0384kN·m 372937.091kN·m 371780.4873kN·m
Intermediate displacement 0.0651m 0.0620m 0.0596m
Intermediate layer acceleration 0.0398m/s² 0.0392m/s² 0.0386m/s²
Intermediate layer shear force 5604.7600kN 5581.7768kN 5564.9734kN
Intermediate bending moment 312944.1633kN·m 312401.4622kN·m 312093.2803kN·m
Top displacement 0.1302m 0.1266m 0.1238m
Top acceleration 0.0797m/s² 0.08m/s² 0.0802m/s²
Top level shear force 236.9437kN 237.2933kN 237.7068kN
Top bending moment 947.7748kN·m 949.1731kN·m 950.8271kN·m
Table 9. Displacement of key floors in the conditions of podium layout.
Table 9. Displacement of key floors in the conditions of podium layout.
floor the maximum displacement /m average displacement /m
C1/C3 C2 C4/C6 C5 C1/C3 C2 C4/C6 C5
top 0.0117 0.0117 0.0161 0.0162 0.0117 0.0117 0.0121 0.0123
10F 0.0044 0.0044 0.007 0.0071 0.0044 0.0044 0.0048 0.0048
7F 0.0024 0.0024 0.0042 0.0042 0.0024 0.0024 0.0028 0.0028
6F 0.0018 0.0019 0.0033 0.0034 0.0018 0.0019 0.0022 0.0022
5F 0.0013 0.0013 0.0025 0.0025 0.0013 0.0013 0.0016 0.0016
4F 0.0009 0.0009 0.0034 0.0036 0.0009 0.0009 0.002 0.002
3F 0.0005 0.0005 0.0022 0.0023 0.0005 0.0005 0.0013 0.0013
2F 0.0002 0.0002 0.0011 0.0011 0.0002 0.0002 0.0006 0.0006
Table 10. Shear force and overturning moment of key floors in the conditions of podium layout.
Table 10. Shear force and overturning moment of key floors in the conditions of podium layout.
floor the maximum shear force /kN the maximum overturning moment /kN·m
C1/C3 C2 C4/C6 C5 C1/C3 C2 C4/C6 C5
19F 608.04 596.29 604.34 603.62 3040.22 2981.44 3021.69 3018.11
18F 981.71 952.30 976.29 975.32 7948.78 7742.95 7903.14 7894.73
17F 1339.33 1288.62 1332.92 1331.94 14645.43 14150.09 14567.76 14554.41
12F 2875.35 2853.16 2873.61 2875.51 72045.96 70194.22 71852.77 71850.20
11F 3126.54 3130.81 3126.57 3129.30 87678.68 85696.84 87485.63 87496.71
10F 3356.46 3389.70 3357.97 3361.43 104460.97 102412.96 104275.49 104303.87
4F 4239.93 4413.46 4229.64 4231.34 222719.75 224429.28 222504.72 222637.92
3F 4512.38 4483.88 4536.85 4527.83 245162.29 246848.65 245188.97 245277.05
2F 4688.21 4527.78 4696.34 4677.32 268405.76 269487.54 268670.66 268663.66
Disclaimer/Publisher’s Note: The statements, opinions and data contained in all publications are solely those of the individual author(s) and contributor(s) and not of MDPI and/or the editor(s). MDPI and/or the editor(s) disclaim responsibility for any injury to people or property resulting from any ideas, methods, instructions or products referred to in the content.
Copyright: This open access article is published under a Creative Commons CC BY 4.0 license, which permit the free download, distribution, and reuse, provided that the author and preprint are cited in any reuse.
Prerpints.org logo

Preprints.org is a free preprint server supported by MDPI in Basel, Switzerland.

Subscribe

Disclaimer

Terms of Use

Privacy Policy

Privacy Settings

© 2026 MDPI (Basel, Switzerland) unless otherwise stated