Submitted:
24 February 2025
Posted:
24 February 2025
You are already at the latest version
Abstract
Keywords:
1. Introduction
2. Results
2.1. Predictive Value of Instrumental Tools in Assessing Survival of Newborns with CDH
2.2. Identification of miRNA Markers in CDH
2.3. Functional Significance of Antenatal miRNA Markers in CDH
3. Discussion
4. Materials and Methods
4.1. Patients
4.2. Isolation of RNA from Amniotic Fluid Samples
4.3. Deep Sequencing of miRNA
4.4. Reverse Transcription and Quantitative Real-Time PCR
4.5. Statistical Data Processing
Supplementary Materials
Author Contributions
Funding
Institutional Review Board Statement
Informed Consent Statement
Data Availability Statement
Conflicts of Interest
References
- Paoletti, M.; Raffler, G.; Gaffi, M.S.; Antounians, L.; Lauriti, G.; Zani, A. Prevalence and Risk Factors for Congenital Diaphragmatic Hernia: A Global View. J. Pediatr. Surg. 2020, 55, 2297–2307. [Google Scholar] [CrossRef] [PubMed]
- Gupta, V.S.; Harting, M.T.; Lally, P.A.; Miller, C.C.; Hirschl, R.B.; Davis, C.F.; Dassinger, M.S.; Buchmiller, T.L.; Van Meurs, K.P.; Yoder, B.A.; et al. Mortality in Congenital Diaphragmatic Hernia: A Multicenter Registry Study of Over 5000 Patients Over 25 Years. Ann. Surg. 2023, 277, 520–527. [Google Scholar] [CrossRef] [PubMed]
- Putnam, L.R.; Harting, M.T.; Tsao, K.; Morini, F.; Yoder, B.A.; Luco, M.; Lally, P.A.; Lally, K.P. Congenital Diaphragmatic Hernia Defect Size and Infant Morbidity at Discharge. Pediatrics 2016, 138. [Google Scholar] [CrossRef]
- Gupta, V.S.; Harting, M.T. Congenital Diaphragmatic Hernia-Associated Pulmonary Hypertension. Semin. Perinatol. 2020, 44, 151167. [Google Scholar] [CrossRef]
- Kipfmueller, F.; Akkas, S.; Pugnaloni, F.; Bo, B.; Lemloh, L.; Schroeder, L.; Gembruch, U.; Geipel, A.; Berg, C.; Heydweiller, A.; et al. Echocardiographic Assessment of Pulmonary Hypertension in Neonates with Congenital Diaphragmatic Hernia Using Pulmonary Artery Flow Characteristics. J. Clin. Med. 2022, 11. [Google Scholar] [CrossRef] [PubMed]
- Keijzer, R.; Liu, J.; Deimling, J.; Tibboel, D.; Post, M. Dual-Hit Hypothesis Explains Pulmonary Hypoplasia in the Nitrofen Model of Congenital Diaphragmatic Hernia. Am. J. Pathol. 2000, 156, 1299–1306. [Google Scholar] [CrossRef]
- Perepelitsa, S.; Golubev, A.; Moroz, V.; Shmakova, M. Prenatal Lung Morphogenesis and Prerequisites for the Development of Respiratory Distress Syndrome in Premature Neonates. Gen. Reanimatol. 2010, 6, 53. [Google Scholar] [CrossRef]
- Shehata, S.M.; Tibboel, D.; Sharma, H.S.; Mooi, W.J. Impaired Structural Remodelling of Pulmonary Arteries in Newborns with Congenital Diaphragmatic Hernia: A Histological Study of 29 Cases. J. Pathol. 1999, 189, 112–118. [Google Scholar] [CrossRef]
- Kosiński, P.; Wielgoś, M. Congenital Diaphragmatic Hernia: Pathogenesis, Prenatal Diagnosis and Management - Literature Review. Ginekol. Pol. 2017, 88, 24–30. [Google Scholar] [CrossRef]
- Russo, F.M.; Cordier, A.-G.; De Catte, L.; Saada, J.; Benachi, A.; Deprest, J. Proposal for Standardized Prenatal Ultrasound Assessment of the Fetus with Congenital Diaphragmatic Hernia by the European Reference Network on Rare Inherited and Congenital Anomalies (ERNICA). Prenat. Diagn. 2018, 38, 629–637. [Google Scholar] [CrossRef]
- Renik-Jankowska, W.; Buczyńska, A.; Sidorkiewicz, I.; Kosiński, P.; Zbucka-Krętowska, M. Exploring New Perspectives on Congenital Diaphragmatic Hernia: A Comprehensive Review. Biochim. Biophys. acta. Mol. basis Dis. 2024, 1870, 167105. [Google Scholar] [CrossRef] [PubMed]
- Pugnaloni, F.; Capolupo, I.; Patel, N.; Giliberti, P.; Dotta, A.; Bagolan, P.; Kipfmueller, F. Role of MicroRNAs in Congenital Diaphragmatic Hernia-Associated Pulmonary Hypertension. Int. J. Mol. Sci. 2023, 24. [Google Scholar] [CrossRef] [PubMed]
- Herrera-Rivero, M.; Zhang, R.; Heilmann-Heimbach, S.; Mueller, A.; Bagci, S.; Dresbach, T.; Schröder, L.; Holdenrieder, S.; Reutter, H.M.; Kipfmueller, F. Circulating MicroRNAs Are Associated with Pulmonary Hypertension and Development of Chronic Lung Disease in Congenital Diaphragmatic Hernia. Sci. Rep. 2018, 8, 10735. [Google Scholar] [CrossRef] [PubMed]
- Piersigilli, F.; Syed, M.; Lam, T.T.; Dotta, A.; Massoud, M.; Vernocchi, P.; Quagliariello, A.; Putignani, L.; Auriti, C.; Salvatori, G.; et al. An Omic Approach to Congenital Diaphragmatic Hernia: A Pilot Study of Genomic, MicroRNA, and Metabolomic Profiling. J. Perinatol. Off. J. Calif. Perinat. Assoc. 2020, 40, 952–961. [Google Scholar] [CrossRef]
- Olutoye Ii, O.O.; Short, W.D.; Gilley, J.; Hammond Ii, J.D.; Belfort, M.A.; Lee, T.C.; King, A.; Espinoza, J.; Joyeux, L.; Lingappan, K.; et al. The Cellular and Molecular Effects of Fetoscopic Endoluminal Tracheal Occlusion in Congenital Diaphragmatic Hernia. Front. Pediatr. 2022, 10, 925106. [Google Scholar] [CrossRef]
- Fabietti, I.; Nardi, T.; Favero, C.; Dioni, L.; Cantone, L.; Pergoli, L.; Hoxha, M.; Pinatel, E.; Mosca, F.; Bollati, V.; et al. Extracellular Vesicles and Their MiRNA Content in Amniotic and Tracheal Fluids of Fetuses with Severe Congenital Diaphragmatic Hernia Undergoing Fetal Intervention. Cells 2021, 10. [Google Scholar] [CrossRef]
- Pereira-Terra, P.; Deprest, J.A.; Kholdebarin, R.; Khoshgoo, N.; DeKoninck, P.; Munck, A.A.B.-D.; Wang, J.; Zhu, F.; Rottier, R.J.; Iwasiow, B.M.; et al. Unique Tracheal Fluid MicroRNA Signature Predicts Response to FETO in Patients With Congenital Diaphragmatic Hernia. Ann. Surg. 2015, 262, 1130–1140. [Google Scholar] [CrossRef]
- Deprest, J.A.; Benachi, A.; Gratacos, E.; Nicolaides, K.H.; Berg, C.; Persico, N.; Belfort, M.; Gardener, G.J.; Ville, Y.; Johnson, A.; et al. Randomized Trial of Fetal Surgery for Moderate Left Diaphragmatic Hernia. N. Engl. J. Med. 2021, 385, 119–129. [Google Scholar] [CrossRef]
- Schwab, M.E.; Lee, H.; Tsao, K. In Utero Therapy for Congenital Diaphragmatic Hernia. Clin. Perinatol. 2022, 49, 863–872. [Google Scholar] [CrossRef]
- Acker, S.N.; Seedorf, G.J.; Abman, S.H.; Nozik-Grayck, E.; Partrick, D.A.; Gien, J. Pulmonary Artery Endothelial Cell Dysfunction and Decreased Populations of Highly Proliferative Endothelial Cells in Experimental Congenital Diaphragmatic Hernia. Am. J. Physiol. Lung Cell. Mol. Physiol. 2013, 305, L943–52. [Google Scholar] [CrossRef]
- Zhu, Y.; Meng, X.; Zhu, X.; Zhang, J.; Lv, H.; Wang, F.; Wang, J.; Chen, C.; Chen, M.; Wang, D.; et al. Circular RNA MKLN1 Promotes Epithelial-Mesenchymal Transition in Pulmonary Fibrosis by Regulating the MiR-26a/b-5p/CDK8 Axis in Human Alveolar Epithelial Cells and Mice Models. Arch. Toxicol. 2024, 98, 1399–1413. [Google Scholar] [CrossRef] [PubMed]
- Dakhlallah, D.; Batte, K.; Wang, Y.; Cantemir-Stone, C.Z.; Yan, P.; Nuovo, G.; Mikhail, A.; Hitchcock, C.L.; Wright, V.P.; Nana-Sinkam, S.P.; et al. Epigenetic Regulation of MiR-17~92 Contributes to the Pathogenesis of Pulmonary Fibrosis. Am. J. Respir. Crit. Care Med. 2013, 187, 397–405. [Google Scholar] [CrossRef] [PubMed]
- Guiot, J.; Henket, M.; Remacle, C.; Cambier, M.; Struman, I.; Winandy, M.; Moermans, C.; Louis, E.; Malaise, M.; Ribbens, C.; et al. Systematic Review of Overlapping MicroRNA Patterns in COVID-19 and Idiopathic Pulmonary Fibrosis. Respir. Res. 2023, 24, 112. [Google Scholar] [CrossRef] [PubMed]
- Wang, X.; Wang, J.; Huang, G.; Li, Y.; Guo, S. MiR-320a-3P Alleviates the Epithelial-mesenchymal Transition of A549 Cells by Activation of STAT3/SMAD3 Signaling in a Pulmonary Fibrosis Model. Mol. Med. Rep. 2021, 23. [Google Scholar] [CrossRef]
- Wang, J.; Hu, L.; Huang, H.; Yu, Y.; Wang, J.; Yu, Y.; Li, K.; Li, Y.; Tian, T.; Chen, F. CAR (CARSKNKDC) Peptide Modified ReNcell-Derived Extracellular Vesicles as a Novel Therapeutic Agent for Targeted Pulmonary Hypertension Therapy. Hypertens. (Dallas, Tex. 1979) 2020, 76, 1147–1160. [Google Scholar] [CrossRef]
- Pullamsetti, S.S.; Doebele, C.; Fischer, A.; Savai, R.; Kojonazarov, B.; Dahal, B.K.; Ghofrani, H.A.; Weissmann, N.; Grimminger, F.; Bonauer, A.; et al. Inhibition of MicroRNA-17 Improves Lung and Heart Function in Experimental Pulmonary Hypertension. Am. J. Respir. Crit. Care Med. 2012, 185, 409–419. [Google Scholar] [CrossRef]
- Ma, C.; Xu, Q.; Huang, S.; Song, J.; Sun, M.; Zhang, J.; Chu, G.; Zhang, B.; Bai, Y.; Zhao, X.; et al. The HIF-1α/MiR-26a-5p/PFKFB3/ULK1/2 Axis Regulates Vascular Remodeling in Hypoxia-Induced Pulmonary Hypertension by Modulation of Autophagy. FASEB J. Off. Publ. Fed. Am. Soc. Exp. Biol. 2023, 37, e22906. [Google Scholar] [CrossRef]
- Centa, A.; Fonseca, A.S.; da Silva Ferreira, S.G.; Azevedo, M.L. V; de Paula, C.B. V; Nagashima, S.; Machado-Souza, C.; Dos Santos Miggiolaro, A.F.R.; Pellegrino Baena, C.; de Noronha, L.; et al. Deregulated MiRNA Expression Is Associated with Endothelial Dysfunction in Post-Mortem Lung Biopsies of COVID-19 Patients. Am. J. Physiol. Lung Cell. Mol. Physiol. 2021, 320, L405–L412. [Google Scholar] [CrossRef]
- Duecker, R.P.; Adam, E.H.; Wirtz, S.; Gronau, L.; Khodamoradi, Y.; Eberhardt, F.J.; Donath, H.; Gutmann, D.; Vehreschild, M.J.G.T.; Zacharowski, K.; et al. The MiR-320 Family Is Strongly Downregulated in Patients with COVID-19 Induced Severe Respiratory Failure. Int. J. Mol. Sci. 2021, 22. [Google Scholar] [CrossRef]
- Musri, M.M.; Coll-Bonfill, N.; Maron, B.A.; Peinado, V.I.; Wang, R.-S.; Altirriba, J.; Blanco, I.; Oldham, W.M.; Tura-Ceide, O.; García-Lucio, J.; et al. MicroRNA Dysregulation in Pulmonary Arteries from Chronic Obstructive Pulmonary Disease. Relationships with Vascular Remodeling. Am. J. Respir. Cell Mol. Biol. 2018, 59, 490–499. [Google Scholar] [CrossRef]
- Yang, H.; Zhang, L.; Wang, Q. MicroRNA-221-3p Alleviates Cell Apoptosis and Inflammatory Response by Targeting Cyclin Dependent Kinase Inhibitor 1B in Chronic Obstructive Pulmonary Disease. Bioengineered 2021, 12, 5705–5715. [Google Scholar] [CrossRef] [PubMed]
- Zhang, K.; Liang, Y.; Feng, Y.; Wu, W.; Zhang, H.; He, J.; Hu, Q.; Zhao, J.; Xu, Y.; Liu, Z.; et al. Decreased Epithelial and Sputum MiR-221-3p Associates with Airway Eosinophilic Inflammation and CXCL17 Expression in Asthma. Am. J. Physiol. Lung Cell. Mol. Physiol. 2018, 315, L253–L264. [Google Scholar] [CrossRef]
- Keller, A.; Ludwig, N.; Fehlmann, T.; Kahraman, M.; Backes, C.; Kern, F.; Vogelmeier, C.F.; Diener, C.; Fischer, U.; Biertz, F.; et al. Low MiR-150-5p and MiR-320b Expression Predicts Reduced Survival of COPD Patients. Cells 2019, 8. [Google Scholar] [CrossRef]
- Sekine, Y.; Katsura, H.; Koh, E.; Hiroshima, K.; Fujisawa, T. Early Detection of COPD Is Important for Lung Cancer Surveillance. Eur. Respir. J. 2012, 39, 1230–1240. [Google Scholar] [CrossRef] [PubMed]
- Levänen, B.; Bhakta, N.R.; Torregrosa Paredes, P.; Barbeau, R.; Hiltbrunner, S.; Pollack, J.L.; Sköld, C.M.; Svartengren, M.; Grunewald, J.; Gabrielsson, S.; et al. Altered MicroRNA Profiles in Bronchoalveolar Lavage Fluid Exosomes in Asthmatic Patients. J. Allergy Clin. Immunol. 2013, 131, 894–903. [Google Scholar] [CrossRef]
- Van Pottelberge, G.R.; Mestdagh, P.; Bracke, K.R.; Thas, O.; van Durme, Y.M.T.A.; Joos, G.F.; Vandesompele, J.; Brusselle, G.G. MicroRNA Expression in Induced Sputum of Smokers and Patients with Chronic Obstructive Pulmonary Disease. Am. J. Respir. Crit. Care Med. 2011, 183, 898–906. [Google Scholar] [CrossRef]
- Conickx, G.; Avila Cobos, F.; van den Berge, M.; Faiz, A.; Timens, W.; Hiemstra, P.S.; Joos, G.F.; Brusselle, G.G.; Mestdagh, P.; Bracke, K.R. MicroRNA Profiling in Lung Tissue and Bronchoalveolar Lavage of Cigarette Smoke-Exposed Mice and in COPD Patients: A Translational Approach. Sci. Rep. 2017, 7, 12871. [Google Scholar] [CrossRef]
- Liu, H.; Yu, L.; Shao, B.; Yin, N.; Li, L.; Tang, R. Cucurbitacin E Ameliorates Airway Remodelling by Inhibiting Nerve Growth Factor Expression in Nicotine-Treated Bronchial Epithelial Cells and Mice: The Key Role of Let-7c-5p up-Regulated Expression. Basic Clin. Pharmacol. Toxicol. 2022, 131, 34–44. [Google Scholar] [CrossRef] [PubMed]
- Khoshgoo, N.; Visser, R.; Falk, L.; Day, C.A.; Ameis, D.; Iwasiow, B.M.; Zhu, F.; Öztürk, A.; Basu, S.; Pind, M.; et al. MicroRNA-200b Regulates Distal Airway Development by Maintaining Epithelial Integrity. Sci. Rep. 2017, 7, 6382. [Google Scholar] [CrossRef]
- Khoshgoo, N.; Kholdebarin, R.; Pereira-Terra, P.; Mahood, T.H.; Falk, L.; Day, C.A.; Iwasiow, B.M.; Zhu, F.; Mulhall, D.; Fraser, C.; et al. Prenatal MicroRNA MiR-200b Therapy Improves Nitrofen-Induced Pulmonary Hypoplasia Associated With Congenital Diaphragmatic Hernia. Ann. Surg. 2019, 269, 979–987. [Google Scholar] [CrossRef]
- Xia, J.; Tian, Y.; Shao, Z.; Li, C.; Ding, M.; Qi, Y.; Xu, X.; Dai, K.; Wu, C.; Yao, W.; et al. MALAT1-MiR-30c-5p-CTGF/ATG5 Axis Regulates Silica-Induced Experimental Silicosis by Mediating EMT in Alveolar Epithelial Cells. Ecotoxicol. Environ. Saf. 2023, 249, 114392. [Google Scholar] [CrossRef] [PubMed]
- Sun, Q.; Luo, M.; Gao, Z.; Han, X.; Wu, W.; Zhao, H. Long Non-Coding RNA OIP5-AS1 Aggravates Acute Lung Injury by Promoting Inflammation and Cell Apoptosis via Regulating the MiR-26a-5p/TLR4 Axis. BMC Pulm. Med. 2021, 21, 236. [Google Scholar] [CrossRef] [PubMed]
- Li, H.; Yang, T.; Fei, Z. MiR-26a-5p Alleviates Lipopolysaccharide-induced Acute Lung Injury by Targeting the Connective Tissue Growth Factor. Mol. Med. Rep. 2021, 23. [Google Scholar] [CrossRef] [PubMed]
- Cordier, A.-G.; Russo, F.M.; Deprest, J.; Benachi, A. Prenatal Diagnosis, Imaging, and Prognosis in Congenital Diaphragmatic Hernia. Semin. Perinatol. 2020, 44, 51163. [Google Scholar] [CrossRef]
- Demidov, V.N.; Mashinets, N.V.; Podurovskaya, Yu.L.; Burov, A.A. Fetal Congenital Diaphragmatic Hernia: Ultrasound Diagnosis Possibilities and Prediction of Postnatal Outcome. Obstet. Gynegology 2014, 38–45. [Google Scholar]
- Team, R.C. A Language and Environment for Statistical Computing. R Foundation for Statistical Computing, Vienna, Austria. Available online: https://www.r-project.org (accessed on 10 March 2021).
- Team, Rs. RStudio: Integrated Development for R. RStudio. Available online: http://www.rstudio.com/. (accessed on 23 March 2021).







| Parameter | Coefficients | Wald | P_value | Threshold | Sensitivity | Specificity |
| model 1 | ||||||
| (Intercept) | 1.764 | 1.904 | 0.057 | 0.511 | 0.556 | 0.865 |
| o/e TLV | -5.070 | -2.309 | 0.021 | |||
| model 2 | ||||||
| (Intercept) | 1.793 | 2.108 | 0.035 | 0.496 | 0.519 | 0.838 |
| o/e LHR | -4.155 | -2.535 | 0.011 | |||
| model 3 | ||||||
| (Intercept) | -1.317 | -0.784 | 0.433 | 0.430 | 0.407 | 0.811 |
| CCI | 0.760 | 0.603 | 0.546 | |||
| model 4 | ||||||
| (Intercept) | -2.886 | -1.292 | 0.196 | 0.569 | 0.757 | 0.667 |
| o/e LHR | 3.613 | 2.157 | 0.031 | |||
| CCI | -0.302 | -0.229 | 0.819 | |||
| o/e TLV | 4.249 | 1.833 | 0.067 | |||
| model 5 | ||||||
| (Intercept) | -3.311 | -2.643 | 0.008 | 0.542 | 0.811 | 0.630 |
| o/e LHR | 3.664 | 2.206 | 0.027 | |||
| o/e TLV | 4.242 | 1.828 | 0.058 | |||
| model 6 | ||||||
| (Intercept) | -0.766 | -0.390 | 0.697 | 0.518 | 0.811 | 0.556 |
| CCI | -0.752 | -0.569 | 0.569 | |||
| o/e TLV | 5.056 | 2.306 | 0.021 | |||
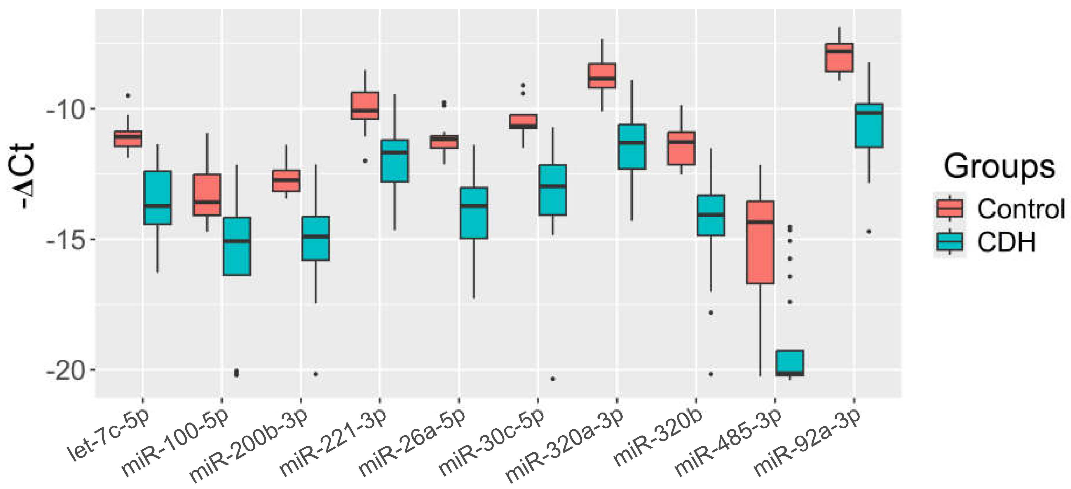
| miRNAs | Groups | Me(Q1;Q3), “−ΔCt” value | Wilcoxon–Mann–Whitney U Test, p-value, Control vs CDH |
| hsa-let-7c-5p | Control | -11.07(-11.43;-10.87) | <0.001 |
| CDH | -13.72(-14.42;-12.39) | ||
| miR-100-5p | Control | -13.58(-14.09;-12.52) | <0.001 |
| CDH | -15.07(-16.37;-14.17) | ||
| miR-200b-3p | Control | -12.74(-13.16;-12.36) | <0.001 |
| CDH | -14.9(-15.8;-14.13) | ||
| miR-221-3p | Control | -10.07(-10.39;-9.37) | <0.001 |
| CDH | -11.68(-12.79;-11.2) | ||
| miR-26a-5p | Control | -11.16(-11.5;-11.04) | <0.001 |
| CDH | -13.72(-14.97;-13.03) | ||
| miR-30c-5p | Control | -10.66(-10.75;-10.24) | <0.001 |
| CDH | -12.97(-14.07;-12.15) | ||
| miR-320a-3p | Control | -8.84(-9.19;-8.27) | <0.001 |
| CDH | -11.3(-12.3;-10.6) | ||
| miR-320b | Control | -11.28(-12.14;-10.89) | <0.001 |
| CDH | -14.07(-14.86;-13.32) | ||
| miR-485-3p | Control | -14.34(-16.7;-13.54) | <0.001 |
| CDH | -20.14(-20.22;-19.26) | ||
| miR-92a-3p | Control | -7.8(-8.56;-7.51) | <0.001 |
| CDH | -10.16(-11.47;-9.82) |
| Variables | Wald | p_value | coefficients | threshold | Se | Sp |
| Model 1 | ||||||
| (Intercept) | -2.296182879 | 0.021665427 | -65.697 | 0.7751 | 0.9167 | 1 |
| let-7c-5p | 2.288968927 | 0.022081158 | 5.611 | |||
| Model 2 | ||||||
| (Intercept) | -2.462190859 | 0.013809116 | -40.639 | 0.8585 | 0.8333 | 1 |
| miR-30c-5p | 2.437656437 | 0.014782816 | 3.63 | |||
| Model 3 | ||||||
| (Intercept) | -2.553176495 | 0.010674539 | -38.729 | 0.6989 | 0.9167 | 1 |
| miR-26a-5p | 2.533123567 | 0.011305109 | 3.259 | |||
| Model 4 | ||||||
| (Intercept) | -2.891983619 | 0.003828179 | -24.658 | 0.8026 | 0.875 | 1 |
| miR-320a-3p | 2.88991503 | 0.00385346 | 2.56 | |||
| Model 5 | ||||||
| (Intercept) | -2.624764522 | 0.008670891 | -27.35 | 0.7533 | 0.875 | 1 |
| miR-92a-3p | 2.618997485 | 0.00881886 | 3.126 | |||
| Model 6 | ||||||
| (Intercept) | -2.808514607 | 0.004977062 | -29.089 | 0.7235 | 0.875 | 1 |
| miR-320b | 2.81443525 | 0.004886302 | 2.386 | |||
| Model 7 | ||||||
| (Intercept) | -2.858228619 | 0.004260133 | -27.691 | 0.66 | 0.8333 | 1 |
| miR-200b-3p | 2.856155607 | 0.004288049 | 2.089 | |||
| Model 8 | ||||||
| (Intercept) | -2.950714373 | 0.0031704 | -17.999 | 0.7345 | 0.8333 | 0.9231 |
| miR-221-3p | 3.001448441 | 0.002686985 | 1.714 | |||
| Model 9 | ||||||
| (Intercept) | -2.56312352 | 0.010373514 | -17.351 | 0.7865 | 0.7083 | 1 |
| miR-100-5p | 2.619759598 | 0.008799177 | 1.264 | |||
| Model 10 | ||||||
| (Intercept) | -3.185391733 | 0.001445582 | -9.164 | 0.2886 | 1 | 0.6923 |
| miR-485-3p | 3.350834925 | 0.000805683 | 0.57 | |||
Disclaimer/Publisher’s Note: The statements, opinions and data contained in all publications are solely those of the individual author(s) and contributor(s) and not of MDPI and/or the editor(s). MDPI and/or the editor(s) disclaim responsibility for any injury to people or property resulting from any ideas, methods, instructions or products referred to in the content. |
© 2025 by the authors. Licensee MDPI, Basel, Switzerland. This article is an open access article distributed under the terms and conditions of the Creative Commons Attribution (CC BY) license (http://creativecommons.org/licenses/by/4.0/).