Submitted:
18 February 2025
Posted:
19 February 2025
Read the latest preprint version here
Abstract
In Europe and elsewhere in the world, the current ambitious decarbonization targets push in the direction of a gradual decommissioning of all fossil-fuel-based dispatchable electrical generation and, at the same time, a gradual increase of the penetration of the Renewable Energy Sources (RES). Moreover, considerations tied to decarbonization as well as to security of supply, following the recent geo-political events, call for a gradual replacement of gas appliances with electricity-based ones. As RES generation is characterized by a variable generation pattern and as the electric carrier is characterized by scarce intrinsic flexibility (load and generation must coincide instant by instant and storage capabilities through electrochemical batteries as well as demand-side flexibility provision stay rather limited), it is quite natural to think of other energy carriers as possible service providers towards the electricity system. Gas networks are characterized by high compressibility (the so-called linepack phenomenon). Hydrogen stays very promising for providing not only daily but also seasonal storage. Heat networks are also intrinsically flexible because characterized by high thermal inertia and able to ensure comfort while varying water temperatures within a wide range of temperatures. All these carriers could, thus, provide storage services for the electricity system and this could allow, in turn, to increase the amount of RES penetration to be managed safely by the system, without incurring in risks of blackouts and without, on the other side, wasting RES generation peaks (or carrying out expensive reinforcements of electric transmission and distribution networks for hosting flows that would materialize only in a very limited number of hours in one year). All this calls for a new approach, both in electricity network dispatch simulations and in grid planning studies, which extends the simulation domain to other carriers (gas, heat, hydrogen…) so that a global optimal solution is sought for. This simulation approach, called multi-energy or multi-carrier, is gaining momentum in the last years and many approaches have been proposed, both in modelling the single carrier components and in joining them together for creating an overall model. The present paper aims at describing the most important of these approaches and comparing pros and cons of all of them. The style is that of a tutorial aimed at providing some guidance and a few bibliographic references to those who are interested to approach this issue in the next years.
Keywords:
1. Introduction
2. Energy Carriers Static Modelling Approaches
Electricity Networks Modelling
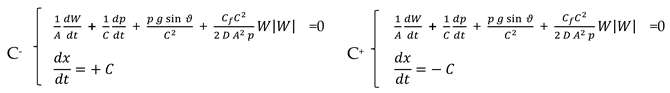
Compressible Fluids Modelling
- turbulent motion in the pipeline (this is always verified for gas transport pipelines at a distance equal to some multiples of the diameter from the beginning and the end of the duct). This allows to adopt a mono-dimensional description for the fluid motion equations (otherwise, the Navier-Stokes [33] fluid dynamics laws should be used),
- the pipeline is regular: there are neither changes of section along x nor sharp changes of direction (curves): such cases are usually modelled through concentrated losses (i.e. a pressure reduction), proportional to the square of the fluid speed through a coefficient depending on the type of irregularity),
- the perfect gas law holds:
Heat Networks Modelling
- the Weymouth equation (12), describing pressure drops in the pipeline: it has the same formulation as for compressible fluids (additionally, as for gas pipelines, mass flow rate is constant in steady state conditions),
- an equation describing heat propagation along the pipeline, this equation can be written, by considering an infinitesimal volume along the pipeline (see Figure 5), as:where W is the mass flow rate, cp is the specific heat, T the fluid temperature along the pipeline, Text the external temperature, λ = h A = h π D, being h the heat transfer coefficient, A the area of a section of the pipeline and D the diameter of the pipe.
3. Typical ME Approaches
- c: energy carrier
- s: probabilistic scenario of RES production and load; is the probability associated to each single scenario
- y: time horizon considered for the planning problem (typically a few years or decades, e.g. [43] where three decades are considered: 2030, 2040, 2050)
- t: time horizon considered to calculate dispatch (e.g. one year)
- i: index enumerating each equipment in the system (e.g. electric lines): is the generic equipment item; the integer variable associated to its investment.
Energy Hub Representation
Graph Representation
- first law: conservation of mass or energy for each node,
- second law: sum of potential differences over each loop is zero.
- The graph representation for each carrier is schematized in Figure 11:
- green color for gas networks – variables: pressures (p) and mass flow rates (W),
- red color for electricity networks – variables: active powers (P), reactive powers (Q), voltages (V), angles (δ), currents (I),
- blue color for heat networks (the return line is not explicitly represented) – variables: pressures (p), thermal flows (φ), supply temperature (Ts) return temperature (Tr), water flows (W).
Self-Consumption-Based Representation
- to the electric vector (in red), which can both buy and sell electricity,
- to the thermal vector (in orange) with which the EHs can exchange heat,
- to the hydrogen vector (in blue), which can be exchanged between the EHs,
- to the gas network (in green), where natural gas is purchased; natural gas can be used in its pure form or mixed with hydrogen (mixture, in magenta) potentially up to 20% to serve the EHs.
- the first model focuses on the single EH,
- the second model describes the multi-vector system, which is represented as a set of EHs, connected to each other through the three energy vectors.
- limiting the values of the variables relating to generation and storage to a range between a minimum and a maximum value,
- satisfying the balances of electricity, heat and gas of the network for each time period,
- calculating the amount of energy stored in the storage systems for each instant (minimum storage at time t=0),
- determining the amounts of energy produced by each type of technology at any given moment,
- limiting the operating region for the cogeneration plant,
- imposing that the gas storage system cannot both supply and store gas at the same time (a few binary variables are introduced),
-
and imposing similarly (binary variables):
- ○
- that the battery cannot supply and store electricity at the same time,
- ○
- that the heat storage system cannot supply and store heat at the same time,
- ○
- that the EH cannot sell and buy heat at the same time,
- ○
- that the EH cannot sell and buy gas at the same time.
- flow balances of the electric vector,
- flow balances of the heat vector,
- flow balances of the gas vector,
- limitation between 0 and max of energy flows between EHs of the three vectors,
- Weymouth equation (12) to describe gas flows, linearized according to [34].
Joint Planning of Electricity and Hydrogen Transportation
-
for hydrogen:
- ○
- zonal hydrogen quantity balance constraints,
- ○
- hydrogen production limits for the electrolyzers
-
for the electric system:
- ○
- electric power balance for each bus,
- ○
- limits for renewable power output,
- ○
- power output and ramp rate for conventional generators,
- ○
- branch flow for existing transmission lines (direct current approach),
- ○
- flow-angle relations and flow limits for candidate lines.
Other Approaches
- DESA (Decentral Energy System Aggregation) derives costs for each decentral network area by performing a distribution grid expansion planning for various supply tasks depending on the integration of technologies to the respective area. The result of this model can then be used in central planning.
- In a fully linearized approach, CES plans the Central Energy System, taking data from DESA and the transmission grid into account.
- The result of the CES will then be given to the TEP (Transmission Expansion Planning) module, which focuses on a detailed expansion planning approach analyzing different expansion technologies and congestion management interventions.
- DESD (Decentral Energy System Disaggregation) undertakes the placing of renewable energy sources and other assets, that have centrally been planned in CES for a Decentral Energy System (DES).
- The operation of a DES can be performed by the DESOP (Decentral Energy System Operational Planning) module and can be enriched by information from CES.
- The DNEP (Distribution Network Expansion Planning) module implements an optimization approach to calculate the distribution network expansion planning.
- Physical: maximum flexibility available on the energy vector and is quantified by its operational range.
- Operational: modulation capability for an energy carrier that MES can provide with respect to (starting from) a given operating point. The operational flexibility of a device is divided into two components: upward and downward.
- Carrier-balancing: operational flexibility for an energy carrier, reduced by the constraints imposed by the other energy carriers through conversion nodes. The energy vectors of MES are coupled and cannot be viewed independently: the operational flexibility available to an energy vector is also impacted by the constraints of other energy vectors.
- Market-product: carrier-balancing flexibility subject to market product constraints, e.g., maximum allowed activation time, minimum service duration, which further limit the flexibility that can be provided by a cluster of resources.
- Economic: flexibility that the MES operator can offer at a given cost for a specific service and accounting for MES economic objectives (to be optimized). A device will only participate in a given service if the revenues are greater than the cost of delivering that service.
- Market: economic flexibility cleared and accepted by the market given the market requirements and other offers.
4. Conclusions
Funding
Conflicts of Interest
References
- European Commission, 2050 long-term strategy. Striving to become the world's first climate-neutral continent by 2050. Available online: https://climate.ec.europa.eu/eu-action/climate-strategies-targets/2050-long-term-strategy_en (accessed on 29 January 2025).
- Migliavacca, G.; Carlini, C.; Domenighini, P.; Zagano, C. Hydrogen: Prospects and Criticalities for Future Development and Analysis of Present EU and National Regulation. Energies 2024, 17(19), 4827; [CrossRef]
- Results of Pilot B. Report D5.2 of the SmartNet project. 2019. Available online: https://smartnet-project.eu/wp-content/uploads/2019/05/D5.2.pdf (accessed on 29 January 2025).
- Project MAGNITUDE web site. https://www.magnitude-project.eu (accessed 29 January 2025).
- Markensteijn, A. S. Mathematical models for simulation and optimization of multi-carrier energy systems - Dissertation at Delft University of Technology. 2021 https://research.tudelft.nl/en/publications/mathematical-models-for-simulation-and-optimization-of-multi-carr (accessed 6 February 2025).
- European Commission official web site https://commission.europa.eu/index_en (accessed 29 January 2025).
- Communication from the Commission to the European Parliament, the Council, the European Economic and Social Committee and the Committee of the Regions: Powering a climate-neutral economy: An EU Strategy for Energy System Integration, 2020 COM(2020) 299 final. https://eur-lex.europa.eu/legal-content/EN/TXT/PDF/?uri=CELEX:52020DC0299 (accessed on 29 January 2025).
- ACER, Electricity infrastructure development to support a competitive and sustainable energy system – 2024 Monitoring Report, 2024. https://www.acer.europa.eu/monitoring/MMR/electricity_infrastructure_2024#:~:text=2024%20Monitoring%20Report,and%20competitive%20EU%20energy%20system (accessed 29 January 2025).
- ACER official web site https://www.acer.europa.eu/the-agency/about-acer (accessed 29 January 2025).
- ENTSO-E official web site https://www.entsoe.eu/ (accessed 29 January 2025).
- ENTSO-G official web site https://www.entsog.eu/ (accessed 29 January 2025).
- ENTSO-E ENTSOG TYNDP Scenarios. Pathways to carbon neutrality in 2050, 2024. https://www.entsos-tyndp-scenarios.eu/ (accessed 29 January 2025).
- Shahidehpour, M.; Fu, Y.; Tutorial: Benders decomposition in restructured power systems. https://motor.ece.iit.edu/ms/benders.pdf (accessed 29 January 2025).
- Function convexity item on Wikipedia. https://en.wikipedia.org/wiki/Convex_function (accessed 29 January 2025).
- Interior point item on Wikipedia. https://en.wikipedia.org/wiki/Interior-point_method (accessed 29 January 2029).
- Probabilistic optimization of T&D systems planning with high grid flexibility and its scalability. D1.2 of the FlexPlan project. Available on: https://flexplan-project.eu/wp-content/uploads/2022/08/D1.2_20220801_V2.0.pdf (accessed 29 January 2025).
- Mixed Integer Linear, Problems within the Integer Programming item on Wikipedia. https://en.wikipedia.org/wiki/Integer_programming (accessed 29 January 2025).
- Mancò, G.; Tesio, U.; Guelpa, E.; Verda, V. A review on MES modelling and optimization. Applied Thermal Engineering 236 (2024) 121871; https://www.sciencedirect.com/science/article/pii/S1359431123019002 (accessed 30 January 2025).
- Stochastic programming item on Wikipedia. https://en.wikipedia.org/wiki/Stochastic_programming (accessed 31 January 2025).
- Robust optimization item on Wikipedia. https://en.wikipedia.org/wiki/Robust_optimization (accessed 31 January 2025).
- Official site of the MATPOWER library https://matpower.org/ (accessed 3 February 2025).
- Official site of the MATLAB programming language https://mathworks.com/products/matlab.html (accessed 3 February 2025).
- PowerModels library on the GitHub repository https://lanl-ansi.github.io/PowerModels.jl/stable/ (accessed 3 February 2025).
- Official site of the Julia programming language https://julialang.org/ (accessed 3 February 2025).
- Power flow study item on Wikipedia https://en.wikipedia.org/wiki/Power-flow_study (accessed 3 February 2025).
- Gan, L; Low, S.H. Convex relaxations and linear approximation for optimal power flow in multiphase radial networks,” 2014 Power Systems Computation Conference, Wroclaw, Poland, pp. 1-9, 2014 https://authors.library.caltech.edu/records/1fcqw-beg37 (accessed 3 February 2025).
- Deliverable 1.2 of the FlexPlan project. Probabilistic optimization of T&D systems planning with high grid flexibility and its scalability. 2022. https://flexplan-project.eu/wp-content/uploads/2022/08/D1.2_20220801_V2.0.pdf (accessed 3 February 2025).
- Glover, J. D.; Sarma, M. S.; & Overbye, T. J. (2012). Power System Analysis and Design (5ª ed.). Cengage Learning.
- Jacobian matrix item on Wikipedia https://en.wikipedia.org/wiki/Jacobian_matrix_and_determinant (accessed 3 February 2025).
- Johnen, M.; Pitzen, S.; Kamps, U.; Kateri, M.; Dechent, P.; Sauer D. U. Modeling long-term capacity degradation of lithium-ion batteries. Journal of Energy Storage Vol. 34, February 2021, 102011 https://www.sciencedirect.com/science/article/abs/pii/S2352152X20318466 (accessed 3 February 2025).
- Wylie, E.B.; Streeter, V. Fluid Transients (chapter 15) Mc. Graw Hill, 1978.
- Migliavacca, G. Simulazione di reti per il trasporto di fluido comprimibile. Politecnico di Milano. Tesi di laurea in Ingegneria Elettronica. Anno accademico 1990-1991 (in Italian; available upon request).
- Navier Stokes item on Wikipedia. https://en.wikipedia.org/wiki/Navier%E2%80%93Stokes_equations (accessed 4 February 2025).
- Asghari, M.; Fathollahi-Fard, A. M.; Mirzapour Al-e-hashem, S. M. J.; Dulebenets, M. A. Transformation and Linearization Techniques in Optimization: A State-of-the-Art Survey. Mathematics, vol. 10, no. 2, p. 283, Jan. 2022. [CrossRef]
- Courant, R.; Fredrichs, K. O.; Lewy, H. Uber die Differenzengleichungen der Mathematischen Physik, Math. Ann, vol.100, p.32, 1928 https://gdz.sub.uni-goettingen.de/id/PPN235181684_0100 (accessed 5 February 2025).
- Courant-Friedrichs-Lewy condition item on Wikipedia. https://en.wikipedia.org/wiki/Courant%E2%80%93Friedrichs%E2%80%93Lewy_condition (accessed 5 February 2025).
- Hafsi, Z.; Ekhtiari, A.; Ayed, L.; Elaoud, S. The linearization method for transient gas flows in pipeline systems revisited: Capabilities and limitations of the modelling approach. Journal of Natural Gas Science and Engineering 101 (2022) 104494 https://www.sciencedirect.com/science/article/abs/pii/S1875510022000853 (accessed 6 February 2025).
- Demissie, A.; Zhu, W.; Taye Belachew, C. A multi-objective optimization model for gas pipeline operations. Computers & Chemical Engineering. Volume 100, 8 May 2017, Pages 94-103. https://www.sciencedirect.com/science/article/abs/pii/S009813541730073X (accessed 6 February 2025).
- Heat capacity ratio on Wikipedia. https://en.wikipedia.org/wiki/Heat_capacity_ratio (accessed 6 February 2025).
- Least squares method on Wikipedia. https://en.wikipedia.org/wiki/Least_squares (accessed on 6 February 2025).
- Brown, A.; Foley, A.; Laverty, D.; McLoone, S.; Keatley, P. Heating and cooling networks: A comprehensive review of modelling.
- approaches to map future directions. Energy 261 (2022) 125060. https://www.sciencedirect.com/science/article/pii/S0360544222019557 (accessed 6 February 2025).
- Kuntuarova, S.; Licklederer, T.; Huynh, T.; Zinsmeister, D.; Hamacher, T.; Peri´c., V. Design and simulation of district heating networks: A review of modeling approaches and tools. Energy Volume 305, October 2024, 132189. https://www.sciencedirect.com/science/article/pii/S0360544224019637 (accessed 6 February 2025).
- Migliavacca, G.; Rossi, M.; Siface, D.; Marzoli, M.; Ergun, H.; Rodriguez-Sanchez, R.; Hanot, M.; Leclercq, G.; Amaro, N.; Egorov, A.; Gabrielski, J.; Matthes, B., Morch, A. The Innovative FlexPlan Grid-Planning Methodology: How Storage and Flexible Resources Could Help in De-Bottlenecking the European System. Energies, 2021, 14(4), 1194. https://www.mdpi.com/1996-1073/14/4/1194 (accessed 7 February 2025).
- Geidl, M.; Integrated Modeling and Optimization of Multi-Carrier Energy Systems - Diss. ETH No. 17141. 2007. https://www.research-collection.ethz.ch/handle/20.500.11850/123494 (accessed 7 February 2025).
- Graph item on Wikipedia. https://en.wikipedia.org/wiki/Graph_(discrete_mathematics) (accessed 10 February 2025).
- Simmini, F.; Cordieri, S. A.; Modello integrato del sistema energetico locale. Report PORH2 D4.1.4.2. 2024 (in Italian, available upon request).
- Wang, S.; Bo, R. Joint planning of electricity transmission and hydrogen transportation networks. IEEE Trans. On Industry. Vol. 58 N° 2 March/April 2022 https://ieeexplore.ieee.org/ielaam/28/9733857/9573477-aam.pdf (accessed 11 February 2025).
- PlaMES project web site. https://plames.eu/ (accessed 12 February 2025).
- PlaMES project Deliverable 2.2. Mathematical formulation of the model. 2020. https://plames.eu/wp-content/uploads/2020/11/20200630_Plames_D2.2_final.pdf (accessed 12 February 2025).
- MAGNITUDE project web site. https://www.magnitude-project.eu/ (accessed 12 February 2025).
- Corsetti, E.; Riaz, S.; Riello, M.; Mancarella, P. Modelling and deploying ME flexibility: The energy lattice framework. Advances in Applied Energy Volume 2, 26 May 2021, 100030. https://www.sciencedirect.com/science/article/pii/S2666792421000238 (accessed 12 February 2025).
- Combined Heat and Power item on Wikipedia. https://en.wikipedia.org/wiki/Cogeneration (accessed 12 February 2025).
- iDesignRES project web site. https://idesignres.eu/ (accessed 13 February 2025).
- MOPO project web site. https://www.tools-for-energy-system-modelling.org/ (accessed 13 February 2023).
- Los Alamos National Laboratory’s Advanced Network Science Initiative. https://lanl-ansi.github.io/ (accessed 13 February 2025).
- ANSI open access infrastructure networks simulation libraries https://lanl-ansi.github.io/software/ (accessed 13 February 2025).
- Cloud computing item on Wikipedia. https://en.wikipedia.org/wiki/Cloud_computing (accessed 17 February 2025).






















| Case | Description | Constraints | Mathematical model |
|---|---|---|---|
| Case 0 | Optimal scheduling of MES (short term/daily operation horizon) |
|
Linear optimization problem (LP) – no integer variables. The optimization can be carried out time step by time step (unless storage is included). |
| Case 1a | Same as case 0 with technical constraints of components |
|
Binary decision variables must be included (e.g. to model technical minima or up and down time). Ramp rates couple different time steps. The problem is a MILP optimization over the entire day. |
| Case 1b | Same as case 0 plus components non-linearities |
|
Non-linear optimization. A possible alternative is the (piecewise) linearization of non-linear terms. |
| Case 1c | Case 0 plus both technical constraints and nonlinear terms | As case 1a + 1b | MILNP optimization. It becomes MILP if linearized. |
| Case 2 | Synthesis, design (e.g. system planning) and operation | As the previous ones | The correct timeframe is the long-term (typically equal to the lifetime of the system. The model is MILNP or MILP. Decomposition techniques (e.g. Benders) are important. Sometimes, the operation optimization is decoupled from the synthesis problem (master-slave coupled problems). |
| Case 3 | Including uncertainty | As the previous ones | Two possible approaches: sensitivity analysis or optimization under uncertainty (by using either stochastic programming [19] or robust optimization [20]). |
| Case 4 | Including flexibility measures (i.e. the capability to guarantee the power balance through efficient operation changes: use of energy storage, energy substitution, inertia of thermal networks and buildings, demand response, etc). | As the previous ones, plus: | Possible required modelling actions:
|

Disclaimer/Publisher’s Note: The statements, opinions and data contained in all publications are solely those of the individual author(s) and contributor(s) and not of MDPI and/or the editor(s). MDPI and/or the editor(s) disclaim responsibility for any injury to people or property resulting from any ideas, methods, instructions or products referred to in the content. |
© 2025 by the authors. Licensee MDPI, Basel, Switzerland. This article is an open access article distributed under the terms and conditions of the Creative Commons Attribution (CC BY) license (http://creativecommons.org/licenses/by/4.0/).
