Submitted:
13 February 2025
Posted:
14 February 2025
You are already at the latest version
Abstract
Keywords:
1. Introduction
2. Materials and Methods
2.1. Ethics
2.2. Study Design
2.3. Search Strategy
2.3.1. Eligibility Criteria
2.3.2. Sample Size
2.3.3. Databases
2.3.4. Search Concepts
2.4. Data Collection and Data Management
2.4.1. Screening and Selecting the Literature
2.4.2. Data Extraction
2.5. Data Synthesis and Interpretation
2.5.1. Socio-Ecological Model
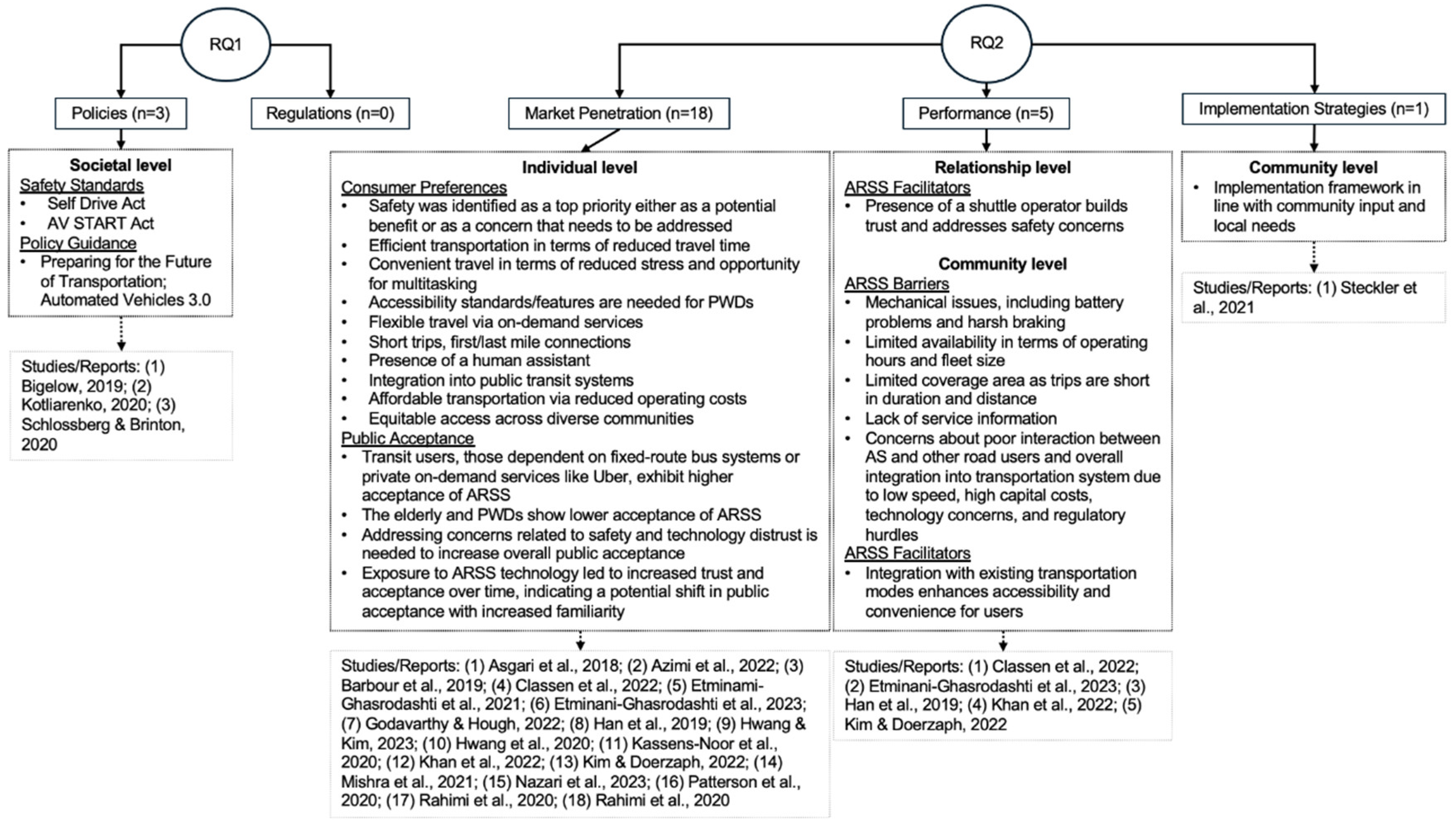
3. Results
3.1. Characteristics of the Included Studies
3.2. Findings Related to the Socio-Ecological Model
3.2.1. Individual Level
3.2.2. Relational Level
3.2.3. Community Level
3.2.4. Societal Level
3.2.5. Socio-Ecological Model Levels Interconnections
4. Discussion
4.1. Findings Related to the Socio-Ecological Model
4.1.1. Individual Level
4.1.2. Relational Level
4.1.3. Community Level
4.1.4. Societal Level
4.1.5. Socio-Ecological Model Levels Interconnections
4.2. Limitations
4.3. Strengths
5. Conclusions
5.1. Future Directions
Author Contributions
Funding
Institutional Review Board Statement
Data Availability Statement
Acknowledgments
Conflicts of Interest
References
- US DOT Bureau of Transportation Statistics. Transportation Statistics Annual Report; US DOT Bureau of Transportation Statistics: Washington, DC, USA, 2023. https://rosap.ntl.bts.gov/view/dot/72943.
- Cirella, G.T., Bąk, M., Kozlak, A., Pawłowska, B. and Borkowski, P. Transport innovations for elderly people. Research in Transportation Business & Management 2019, 30, 100381. [CrossRef]
- Caplan, Z. and Rabe, M. The older population: 2020 (Report No. C2020BR-07). US Census Bureau, 2023. https://www2.census.gov/library/publications/decennial/2020/census-briefs/c2020br-07.pdf.
- US Census Bureau. Quick Facts - United States. US Department of Commerce, 2022; Available online: https://www.census.gov/quickfacts/fact/table/US/DIS010222#DIS010222 (accessed on 04 February 2025).
- Brumbaugh, S. Travel patterns of American adults with disabilities (Issue Brief); US Department of Transportation, Bureau of Transportation Statistics: Washington, DC, USA, 2018. https://www. bts. gov/topics/passenger-travel/travel-patternsamerican-adults-disabilities.
- US Department of Transportation. The critical role of rural communities in the US transportation system. 2023. Available online: https://www.transportation.gov/rural/grant-toolkit/critical-role-rural-communities#:~:text=Sixty%2Deight%20percent%20of%20America’s,transportation%20infrastructure%20condition%20and%20maintenance (accessed on 04 February 2025).
- Syed, S.T.; Gerber, B.S.; Sharp, L.K. Traveling towards disease: Transportation barriers to health care access. J. Community Health 2013, 38, 976–993. [CrossRef]
- Anderson, J.M.; Nidhi, K.; Stanley, K.D.; Sorensen, P.; Samaras, C.; Oluwatola, O.A. Autonomous Vehicle Technology: A Guide for Policymakers; Rand Corporation: Santa Monica, CA, USA, 2014.
- Orieno, O.H., Ndubuisi, N.L., Ilojianya, V.I., Biu, P.W. and Odonkor, B. The future of autonomous vehicles in the US urban landscape: A review: Analyzing implications for traffic, urban planning, and the environment. Engineering Science & Technology Journal, 2024, 5(1), 43-64. [CrossRef]
- Riggs, W. and Pande, A. Gaps and opportunities in accessibility policy for autonomous vehicles; San Jose State University, Mineta Transportation Institute, 2021. https://rosap.ntl.bts.gov/view/dot/60217.
- Bucchiarone, A., Battisti, S., Marconi, A., Maldacea, R. and Ponce, D.C. Autonomous shuttle-as-a-service (ASaaS): Challenges, opportunities, and social implications. IEEE Transactions on Intelligent Transportation Systems 2020, 22(6), 3790-3799. [CrossRef]
- Huang, K., Kockelman, K. and Gurumurthy, K.M. Innovations impacting the future of transportation: An overview of connected, automated, shared, and electric technologies. Transportation Letters 2023, 15(6), 490-509. [CrossRef]
- Tafidis, P., Farah, H., Brijs, T. and Pirdavani, A. Safety implications of higher levels of automated vehicles: A scoping review. Transport Reviews 2022, 42(2), 245-267. [CrossRef]
- Classen, S.; Wandenkolk, I.C.; Mason, J.; Stetten, N.; Hwangbo, S.W.; LeBeau, K. Promoting veteran-centric transportation options through exposure to autonomous shuttles. Safety 2023, 9, 77. [CrossRef]
- Golbabaei, F.; Yigitcanlar, T.; Paz, A.; Bunker, J. Individual predictors of autonomous vehicle public acceptance and intention to use: A systematic review of the literature. J. Open Innov. Technol. Mark. Complex. 2020, 6, 106. [CrossRef]
- McClellan, S., Jimenez, J. and Koutitas, G. Smart cities: Applications, technologies, standards, and driving factors; Springer: 2018.
- Tricco, A.C. PRISMA extension for scoping reviews (PRISMA-ScR): Checklist and explanation. Annals of Internal Medicine 2018, 169(7), 467-473.
- Aromataris, E.; Munn, Z. Joanna Briggs Institute reviewer’s manual. The Joanna Briggs Institute, 2017. Available online: https://www.researchgate.net/profile/Micah-Peters/publication/319713049_2017_Guidance_for_the_Conduct_of_JBI_Scoping_Reviews/links/59c355d40f7e9b21a82c547f/2017-Guidance-for-the-Conduct-of-JBI-Scoping-Reviews.pdf (accessed on 04 February 2025).
- SAE International. SAE International—Advancing Mobility Knowledge and Solutions. 2024. Available online: https://www.sae.org/ (accessed on 04 February 2025).
- Waymo. Waymo One: The next step on our self-driving journey. 2018. Available online: https://waymo.com/blog/2018/12/waymo-one-next-step-on-our-self-driving/ (accessed on 04 February 2025).
- Transdev. Transdev Selected for Autonomous Shuttle Pilot in Jacksonville. 2018. Available online: https://transdevna.com/news/2018/01/10/transdev-selected-autonomous-shuttle-pilot-jacksonville/ (accessed on 04 February 2025).
- The Florida Senate. CS/HB 311 — Autonomous Vehicles. 2019; Available online: https://www.flsenate.gov/Committees/BillSummaries/2019/html/1946 (accessed on 04 February 2025).
- Arksey, H. and O’Malley, L. Scoping studies: Towards a methodological framework. International Journal of Social Research Methodology 2005, 8(1), 19-32. [CrossRef]
- Levac, D., Colquhoun, H. and O’brien, K.K. Scoping studies: Advancing the methodology. Implementation Science 2010, 5(69), 1-9. [CrossRef]
- Shaheen, S. and Cohen, A. Shared ride services in North America: Definitions, impacts, and the future of pooling. Transport Reviews 2019, 39(4), 427-442. [CrossRef]
- US Department of Transportation. US Department of Transportation Administrations. 2021. Available online: https://www.transportation.gov/administrations (accessed on 04 February 2025).
- Garrison, W.L. and Levinson, D.M. The transportation experience: Policy, planning, and deployment (2nd ed.). Oxford University Press, USA, 2014. https://books.google.com/books?id=_JhKAgAAQBAJ.
- Covidence. Covidence systematic review software. 2023. Available online: www.covidence.org.
- Glaser, B. and Strauss, A. The discovery of grounded theory: Strategies for qualitative research. Aldine De Gruyter, 1967.
- Mateen, F.J., Oh, J., Tergas, A.I., Bhayani, N.H. and Kamdar, B.B. Titles versus titles and abstracts for initial screening of articles for systematic reviews. Clinical Epidemiology 2022, 5, 89–95. [CrossRef]
- Tricco, A.C., Lillie, E., Zarin, W., O’brien, K., Colquhoun, H., Kastner, M., Levac, D., Ng, C., Sharpe, J.P., Wilson, K. and Kenny, M. A scoping review on the conduct and reporting of scoping reviews. BMC Medical Research Methodology 2016, 16, 1-10. [CrossRef]
- Park, C.U. and Kim, H.J. Measurement of inter-rater reliability in systematic review. Hanyang Medical Reviews 2015, 35(1), 44-49. [CrossRef]
- McHugh, M.L. Interrater reliability: The kappa statistic. Biochemia Medica 2012, 22(3), 276-282. https://hrcak.srce.hr/89395.
- Major, C.H. and Savin-Baden, M. An introduction to qualitative research synthesis: Managing the information explosion in social science research. Routledge, 2012.
- Dahlberg, L.L. and Krug, E.G. Violence: A global public health problem. 2002. Available online: https://www.cdc.gov/violenceprevention/about/social-ecologicalmodel.html (accessed on 04 February 2025).
- Burns, S.P., Schwartz, J.K., Scott, S.L., Devos, H., Kovic, M., Hong, I. and Akinwuntan, A. Interdisciplinary approaches to facilitate return to driving and return to work in mild stroke: A position paper. Archives of Physical Medicine and Rehabilitation 2018, 99(11), 2378-2388. [CrossRef]
- Cusack, M. Individual, social, and environmental factors associated with active transportation commuting during the COVID-19 pandemic. Journal of Transport & Health 2021, 22, 101089. [CrossRef]
- Larouche, R. and Ghekiere, A. An ecological model of active transportation. In R. Larouche (Ed.), Children’s active transportation, Elsevier, 2018, p. 93-103. [CrossRef]
- Asgari, H., Jin, X. and Corkery, T. A stated preference survey approach to understanding mobility choices in light of shared mobility services and automated vehicle technologies in the U.S. Transportation Research Record 2018, 2672(47), 12-22. [CrossRef]
- Azimi, G., Rahimi, A. and Jin, X. Exploring the attitudes of Millennials and Generation Xers toward ridesourcing services. Transportation 2022, 49(6), 1765-1799. [CrossRef]
- Barbour, N., Menon, N., Zhang, Y. and Mannering, F. Shared automated vehicles: A statistical analysis of consumer use likelihoods and concerns. Transport Policy 2019, 80, 86-93. [CrossRef]
- Etminani-Ghasrodashti, R., Hladik, G., Kermanshachi, S., Rosenberger, J.M., Arif Khan, M. and Foss, A. Exploring shared travel behavior of university students. Transportation Planning and Technology 2023, 46(1), 22-44. [CrossRef]
- Godavarthy, R., Hough, J. and Urban, S. Interest of shared mobility and emerging vehicle technologies in rural America (No. SURTCOM 22-15). US Department of Transportation, Upper Great Plains Transportation Institute, 2022. https://rosap.ntl.bts.gov/view/dot/65991.
- Han, M., Dean, M.D., Maldonado, P.A., Masungi, P., Srinivasan, S., Steiner, R.L. and Salzer, K. Understanding transit agency perceptions about transportation network companies, shared mobility, and autonomous transit: Lessons from the United States. Transportation Research Record 2019, 2673(5), 95-108. [CrossRef]
- Hwang, J. and Kim, S. Autonomous vehicle transportation service for people with disabilities: Policy recommendations based on the evidence from hybrid choice model. Journal of Transport Geography 2023, 106, 103499. [CrossRef]
- Kassens-Noor, E., Kotval-Karamchandani, Z. and Cai, M. Willingness to ride and perceptions of autonomous public transit. Transportation Research Part A-Policy and Practice 2020, 138, 92-104. [CrossRef]
- Mishra, S., Golias, M.M. and Sharma, I. The impacts and adoption of connected and automated vehicles in Tennessee (No. RES-2019-06). Department of Transportation, Tennessee, USA, 2021. https://rosap.ntl.bts.gov/view/dot/58663.
- Nazari, F., Noruzoliaee, M. and Mohammadian, A. Behavioral acceptance of automated vehicles: The roles of perceived safety concern and current travel behavior. arXiv preprint arXiv, 2023. [CrossRef]
- Rahimi, A., Azimi, G. and Jin, X. Examining human attitudes toward shared mobility options and autonomous vehicles. Transportation Research Part F-Traffic Psychology and Behaviour 2020, 72, 133-154. [CrossRef]
- Rahimi, A., Azimi, G. and Jin, X. Investigating generational disparities in attitudes toward automated vehicles and other mobility options. Transportation Research Part C-Emerging Technologies 2020, 121, 102836. [CrossRef]
- Bigelow, P. Congress is ready to try again on AV legislation: Wide input sought to resolve thorny issues. Automotive News, 2019. 93(6894). Available online: link.gale.com/apps/doc/A596591860/AONE?u=mlin_oweb&sid=googleScholar&xid=1c6c0d4f (accessed on 04 February 2025).
- Kotliarenko, V.I. Legal regulation in the field of automated automobile transport and road tests of autonomous vehicles. In IOP Conference Series: Materials Science and Engineering (Vol. 819, No. 1, p. 012033), Institute of Physics Publishing, 2020. [CrossRef]
- Patterson, R.F., Richardson, C., Sahor, F. and Wagner, S. New routes to equity: The future of transportation in the black community. Congressional Black Caucus Foundation, 2020. https://www.cbcfinc.org/publication/new-routes-to-equity-the-future-of-transportation-in-the-black-community/.
- Schlossberg, M. and Brinton, H. Matching the speed of technology with the speed of local government: Developing codes and policies related to the possible impacts of new mobility on cities (No. NITC-RR1216). Transportation Research and Education Center (TREC), Portland, OR, USA, 2020. https://dx.doi.org/10.15760/trec.251.
- Steckler, B., Howell, A. and Larco, N. A framework for shaping the deployment of autonomous vehicles and advancing equity outcomes. University of Oregon, 2021. https://rosap.ntl.bts.gov/view/dot/60206.
- Classen, S., Mason, J., Stetten, N.E., Yang, W., Hwangbo, S.W., McKinney, B. and Kwan, J. Barriers and facilitators of people with disabilities in accepting and adopting autonomous shared mobility services (No. STRIDE Project A5). Southeastern Transportation Research, Innovation, Development and Education Center (STRIDE), 2022. https://rosap.ntl.bts.gov/view/dot/72844.
- Khan, M.A., Etminani-Ghasrodashti, R., Shahmoradi, A., Kermanshachi, S., Rosenberger, J.M. and Foss, A. Integrating shared autonomous vehicles into existing transportation services: Evidence from a paratransit service in Arlington, Texas. International Journal of Civil Engineering 2022, 20(6), 601-618. [CrossRef]
- Kim, H. and Doerzaph, Z. Road user attitudes toward automated shuttle operation: Pre and post-deployment surveys. In Proceedings of the Human Factors and Ergonomics Society Annual Meeting 2022, 66(1), 315-319. [CrossRef]
- Etminani-Ghasrodashti, R., Patel, R.K., Kermanshachi, S., Rosenberger, J.M., Weinreich, D. and Foss, A. Integration of shared autonomous vehicles (SAVs) into existing transportation services: A focus group study. Transportation Research Interdisciplinary Perspectives 2021, 12, 100481. [CrossRef]
- Hwang, J., Li, W., Stough, L., Lee, C. and Turnbull, K. A focus group study on the potential of autonomous vehicles as a viable transportation option: Perspectives from people with disabilities and public transit agencies. Transportation Research Part F-Traffic Psychology and Behaviour 2020, 70, 260-274. [CrossRef]
- Zoellick, J.C., Kuhlmey, A., Schenk, L., Schindel, D. and Blüher, S. Assessing acceptance of electric automated vehicles after exposure in a realistic traffic environment. PLOS One 2019, 14(5), e0215969. [CrossRef]
- Jing, P., Xu, G., Chen, Y., Shi, Y. and Zhan, F. The determinants behind the acceptance of autonomous vehicles: A systematic review. Sustainability 2020, 12(5), 1719. [CrossRef]
- Ferguson, E.M., Duthie, J., Unnikrishnan, A. and Waller, S.T. Incorporating equity into the transit frequency-setting problem. Transportation Research Part A: Policy and Practice 2012, 46(1), 190-199. [CrossRef]
- Litman, T. Autonomous vehicle implementation predictions: Implications for transport planning. Victoria Transport Policy Institute, Victoria, British Columbia, Canada, 2020. https://www.vtpi.org/avip.pdf.
- Classen, S., Gelinas, I., Barco, P., Gibson, B., Haffner, E., Jeghers, M., Wandenkolk, I. and Devos, H. Automated vehicles: Future initiatives for occupational therapy practitioners and driver rehabilitation specialists. OTJR: Occupational Therapy Journal of Research 2024, 44(4), 543-553. [CrossRef]
- Gkartzonikas, C. and Gkritza, K. What have we learned? A review of stated preference and choice studies on autonomous vehicles. Transportation Research Part C: Emerging Technologies 2019, 98, 323-337. [CrossRef]
- Venkatesh, V., Thong, J.Y. and Xu, X. Unified theory of acceptance and use of technology: A synthesis and the road ahead. Journal of the Association for Information Systems 2016, 17(5), 328-376. https://ssrn.com/abstract=2800121.
- Rahman, M.M., Lesch, M.F., Horrey, W.J. and Strawderman, L. Assessing the utility of TAM, TPB, and UTAUT for advanced driver assistance systems. Accident Analysis & Prevention 2017, 108, 361-373. [CrossRef]
- Haghzare, S., Campos, J.L., Bak, K. and Mihailidis, A. Older adults’ acceptance of fully automated vehicles: Effects of exposure, driving style, age, and driving conditions. Accident Analysis & Prevention 2021, 150, 105919. [CrossRef]
- Classen, S., VandeWeerd, C., Stetten, N., Hwangbo, S.W., Winter, S. and Li, Y. Assessing Safety and Mobility Benefits of Autonomous Ride Sharing Services (FDOT Contract Number: BED31-977-26). Florida Department of Transportation, 2024. https://rosap.ntl.bts.gov/view/dot/74844.
- Choi, J.K. and Ji, Y.G. Investigating the importance of trust on adopting an autonomous vehicle. International Journal of Human-Computer Interaction 2015, 31(10), 692-702. [CrossRef]
- Noy, I.Y., Shinar, D. and Horrey, W.J. Automated driving: Safety blind spots. Safety Science 2018, 102, 68-78. [CrossRef]
- Haboucha, C.J., Ishaq, R. and Shiftan, Y. User preferences regarding autonomous vehicles. Transportation Research Part C: Emerging Technologies 2017, 78, 37-49. [CrossRef]
- Xu, Z. and Zheng, N. Integrating connected autonomous shuttle buses as an alternative for public transport–A simulation-based study. Multimodal Transportation 2024, 3(2), 100133. [CrossRef]
- Hemphill, T.A. Autonomous vehicles: US regulatory policy challenges. Technology in Society 2020, 61, 101232. [CrossRef]
- Stocker, A. and Shaheen, S. Shared automated vehicle (SAV) pilots and automated vehicle policy in the US: Current and future developments. In Road Vehicle Automatio 5, Meyer, G., Beiker, S. (eds), Springer, 2019. [CrossRef]
- US Department of Transportation. Ensuring American leadership in automated vehicle technologies: Automated vehicles 4.0. NSTC, USDOT: Washington, DC, USA, 2020. https://www.transportation.gov/sites/dot.gov/files/2020-02/EnsuringAmericanLeadershipAVTech4.pdf.
- US Department of Transportation. Automated vehicles: Comprehensive plan. 2021. Available online: https://www.transportation.gov/sites/dot.gov/files/2021-01/USDOT_AVCP.pdf.


| Search Concept | Definitions & Keywords |
| Search Concept 1 – Autonomous/automated |
Definition: The NHTSA adopted the Society of Automotive Engineers’ standard definitions for levels of automation (Level 0-5) [19]. For this scoping review, only Level 4 vehicles were considered. Level 4 indicates high automation where the vehicle is fully responsible for driving tasks within limited-service areas while occupants act as passengers [19]. Keywords: Automated, autonomous, self-driving, driverless. |
| Search Concept 2 – Ride-sharing services |
Definition: Transportation services in which multiple (≥5) passengers share a ride in a single vehicle. These services can be provided by private companies or public transportation systems [25]. Keywords: Ride-sharing services, ride-sharing mobility, shared mobility, shared transport, future mobility, future transport, mobility on demand, carpooling services, transportation services, transportation network companies. |
| Search Concept 3 – Policies/regulations |
Definition: Laws and regulations that govern the operation of vehicles on public roads, as well as the policies that guide the operation of transportation services [26]. This study is interested in the federal policies and regulations, particularly those from NHTSA, DOT, and SAE. Keywords: federal regulations, industry regulations, transportation policies, policies, transportation regulations, regulations, laws. |
| Search Concept 4 – Implementation/performance |
Definition: The process of putting a plan or idea into action, as well as the ongoing management of that plan or idea [27]. Specifically, the process of deploying and managing ARSS or the operation of such vehicles on public roads. Keywords: implementation, operation, deployment, ongoing management, managing, management, testing, pilot, feasibility, effectiveness, trial, efficacy. |
| Research Question | Search Queries |
| Research Question #1 – What are the federal policies and regulations governing ARSS in the US since 2018? | S1: TI (“federal regulations” OR “industry regulations” OR “transportation policies” OR “policy” OR “policies” OR “regulations” OR “regulation” OR “law” OR “laws”) OR AB (“federal regulations” OR “industry regulations” OR “transportation policies” OR “policy” OR “policies” OR “regulations” OR “regulation” OR “law” OR “laws”) OR KW (“federal regulations” OR “industry regulations” OR “transportation policies” OR “policy” OR “policies” OR “regulations” OR “regulation” OR “law” OR “laws”) S2: TI ((“ride-sharing services” OR “ride-sharing mobility” OR “shared mobility” OR “shared transport” OR “future mobility” OR “future transport” OR “mobility on demand” OR “carpooling services” OR “transportation services” OR “transportation network companies”) OR AB ((“ride-sharing services” OR “ride-sharing mobility” OR “shared mobility” OR “shared transport” OR “future mobility” OR “future transport” OR “mobility on demand” OR “carpooling services” OR “transportation services” OR “transportation network companies”) OR KW ((“ride-sharing services” OR “ride-sharing mobility” OR “shared mobility” OR “shared transport” OR “future mobility” OR “future transport” OR “mobility on demand” OR “carpooling services” OR “transportation services” OR “transportation network companies”) S3: TI (“automated” OR “autonomous” OR “self-driving” OR “driverless”) OR AB (“automated” OR “autonomous” OR “self-driving” OR “driverless”) OR KW (“automated” OR “autonomous” OR “self-driving” OR “driverless”) S4: S1 AND S2 AND S3 AND “US” AND “2018:2023” |
| Research Question #2 – How are the implementation strategies, performance, and market penetration of ARSS operating in the US since 2018? | S1: TI (“implementation” OR “operation” OR “deployment” OR “ongoing management” OR “managing” OR “management” OR “testing” OR “pilot” OR “feasibility” OR “effectiveness” OR “trial” OR “efficacy”) OR AB (“implementation” OR “operation” OR “deployment” OR “ongoing management” OR “managing” OR “management” OR “testing” OR “pilot” OR “feasibility” OR “effectiveness” OR “trial” OR “efficacy”) OR KW (“implementation” OR “operation” OR “deployment” OR “ongoing management” OR “managing” OR “management” OR “testing” OR “pilot” OR “feasibility” OR “effectiveness” OR “trial” OR “efficacy”) S2: TI ((“ride-sharing services” OR “ride-sharing mobility” OR “shared mobility” OR “shared transport” OR “future mobility” OR “future transport” OR “mobility on demand” OR “carpooling services” OR “transportation services” OR “transportation network companies”) OR AB ((“ride-sharing services” OR “ride-sharing mobility” OR “shared mobility” OR “shared transport” OR “future mobility” OR “future transport” OR “mobility on demand” OR “carpooling services” OR “transportation services” OR “transportation network companies”) OR KW ((“ride-sharing services” OR “ride-sharing mobility” OR “shared mobility” OR “shared transport” OR “future mobility” OR “future transport” OR “mobility on demand” OR “carpooling services” OR “transportation services” OR “transportation network companies”) S3: TI (“automated” OR “autonomous” OR “self-driving” OR “driverless”) OR AB (“automated” OR “autonomous” OR “self-driving” OR “driverless”) OR KW (“automated” OR “autonomous” OR “self-driving” OR “driverless”) S4: S1 AND S2 AND S3 AND “US” AND “2018:2023” |
| Review Process | Reviewer A | Reviewer B | A Yes, B Yes | A Yes, B No | A No, B Yes | A No, B No | Proportionate Agreement |
| Title & Abstract Screening | AW | IW | 166 | 109 | 56 | 699 | 0.83981 |
| Full-text Review | AW | IW | 16 | 1 | 11 | 191 | 0.94521 |
| Source Type | Author and year | Aim of study/report | Rationale for inclusion | Participants/target population | Design and measures | Results |
| Peer-reviewed journal article | Asgari et al., 2018 | Explore how travelers evaluate the trade-offs between emerging modes (AVs) and conventional modes (private vehicles and public transit) |
RQ2 – Market penetration: consumer preferences and public acceptance | N=878 n=478 from three Florida metro areas n=400 from ten metro areas nationwide |
Stated preference survey; influential factors and attitudes in mode choice decisions |
Consumer preferences: Benefits like improved safety, reduced driving stress, and cost and time savings are highly valued by consumers who are considering the use of ARSS. Public acceptance: Transit users were more accepting of AV-enabled on-demand services (compared to non-transit users), particularly in scenarios where private vehicles are not available either on a long-term basis or under occasional conditions (out-of-town visitors, for example). This indicates promising market propensity for AV-enabled on-demand services, with market sizes comparable to transit in metropolitan areas. |
| Peer-reviewed journal article | Azimi et al., 2022 | Explore mode choice behavior and attitudes toward ARSS | RQ2 – Market penetration: consumer preferences | N=1,087 (n=210) Gen. X (n=545) Millennials Location: Ten US metro areas and Florida |
Stated preference survey; general mobility attitudes, reasons for riding ARSS and its most desired features | Consumer preferences: Key features and benefits that consumers value in ARSS are safety improvements, time and cost benefits, reduced driving stress, multitasking opportunities during trips, belief in enhanced quality of life, preference for short urban trips, and favorable attitudes toward shared mobility. |
| Peer-reviewed journal article | Barbour et al., 2019 | Assess American Automobile Association members’ willingness to use ARSS and identify their primary concerns about the technology | RQ2 – Market penetration: consumer preferences and public acceptance | N=782 American Automobile Association South members from 12 states |
Survey; attitudes towards ARSS |
Consumer preferences: Concerns related to safety, reliability, privacy, travel time, and service costs need to be addressed to help with adoption of this technology. Public acceptance: Lower acceptance of ARSS among the elderly and PWDs. Need to develop targeted marketing to increase acceptance among the elderly and enhance accessibility for PWDs by ensuring ADA compliance. |
| Grey literature: News article | Bigelow, 2019 | Contribute to formulating comprehensive legislation for deploying AVs, including ARSS, on US roads | RQ1 – Policy: safety standards | Policymakers, transportation stakeholders (e.g., technology companies and automotive manufactures), and the general public | Discussion: Stakeholder input to draft legislation, focusing on accessibility and cybersecurity | Policy: The AV START Act, intended to regulate AVs, including ARSS, and set federal safety standards; faced Senate opposition and is now inactive. |
| Grey literature: Research Final Report | Classen et al., 2022 | Assess PWDs’ perceptions of AS, and develop a model of facilitators and barriers to autonomous shared mobility services | RQ2 – Market penetration: consumer preferences and public acceptance; Performance: barriers and facilitators | N=143; PWDs (n=42), older drivers (n=50), younger and middle-aged drivers (n=51) Adults across the lifespan with and without disabilities in Gainesville, FL |
Experimental design; pre-post surveys after AS-exposure; quantitative and qualitative data; secondary data analysis for predictive model development |
Consumer preferences: Factors influencing usage included safety, adherence to accessibility standards, and the presence of a shuttle operator. Public acceptance: PWDs experienced increased acceptance of ARSS after usage. ARSS barriers: Mechanical issues including battery problems and rebooting, slow speed, reduced daytime operation, inability to operate in inclement weather such as heavy rain or lightning, fixed routes limiting availability and utility of service, hard seat making it uncomfortable specially for long trips, harsh/abrupt braking, and lack of ADA compliance. ARSS facilitators: The presence of a shuttle operator served to build trust, address safety concerns, and aid mobility-vulnerable populations during boarding/egress. |
| Peer-reviewed journal article | Etminami-Ghasrodashti et al., 2021 | Assess public perceptions on integrating an AS into an existing ridesharing service | RQ2 – Market penetration: consumer preferences and public acceptance | N=24 General public, university faculty, staff, students, and PWDs in Arlington, Texas |
Qualitative study; focus group; follow-up survey |
Consumer preferences: Preferences about ARSS include accessibility, safety, capacity, cost, and provisions for PWDs, including access to sidewalks, ramps, and curb cuts in the pick-up and drop-off locations. Public acceptance: Approximately 64% of the respondents were somewhat-to-very accepting of ARSS; those in the university group were more accepting towards the technology. |
| Peer-reviewed journal article | Etminani-Ghasrodashti et al., 2023 | Assess young adults’ usage of ridesharing services, including ARSS | RQ2 – Market penetration: consumer preferences and public acceptance; Performance: barriers | N=1,316 University students in Arlington, Texas |
Cross-sectional survey; travel behavior and attitudes towards transportation modes |
Consumer preferences: Preferences for ARSS include short trips. Public acceptance: Transit-dependent populations, including users of private on-demand services like Uber or Lyft services, as well as fixed-route bus systems, are more accepting of ARSS compared to those reliant on personal vehicles. ARSS barriers: Limited operating hours and fleet size restricted service; lack of service information was identified as a barrier to ARSS usage. |
| Peer-reviewed journal article | Godavarthy & Hough, 2022 | Assess interest and adoption patterns of ARSS in rural and small-urban communities | RQ2 – Market penetration: consumer preferences and public acceptance | N=129 Fargo (n=91) Dickinson (n=38) Residents from North Dakota |
National Household Travel Survey |
Consumer preferences: Safety and predictability were key considerations when choosing ARSS. Public acceptance: Demand exists for ARSS in rural areas, with many residents possessing the necessary technology and consumer behavior to utilize these services; acceptance of ARSS was lower among older respondents. |
| Peer-reviewed journal article | Han et al., 2019 | Investigate transit agencies’ perceptions and preparations regarding ARSS | RQ2 – Market penetration: consumer preferences and public acceptance; Performance: barriers | N=50 Transit agency stakeholders (e.g., chief officers, directors, managers) across the US |
Survey |
Consumer preferences: Preferences for ARSS include expanding service areas, attracting new riders, first/last mile connections, improved peak hour service, and reducing operating costs. Public acceptance: 64% of agencies are accepting of ARSS and believe that ARSS will have a positive impact over the next 10-20 years; only 22% of agencies are studying ARSS. ARSS barriers: Barriers to incorporating ARSS into public transit include capital costs, technology not yet proven including safety and reliability concerns, regulatory hurdles, and the need for transit employees on vehicles. |
| Peer-reviewed journal article | Hwang & Kim, 2023 | Investigate the potential mode choice of PWDs regarding ARSS compared to conventional transportation modes | RQ2 – Market penetration: consumer preferences and public acceptance | N=146 Individuals with physical disabilities or visual impairments from Austin or Houston, Texas |
Qualitative study; focus groups |
Consumer preferences: Preferences for ARSS include accessibility aids for PWDs, the presence of a human assistant to address trust and safety concerns, and improved infrastructure to support the successful integration of ARSS. Public acceptance: PWDs who have a negative attitude towards current public transit services and neighborhood built environments were more accepting of ARSS. Acceptance of ARSS was lower among PWDs who were woman, elderly, or had visual impairments. |
| Peer-reviewed journal article | Hwang et al., 2020 | Assess the perspectives of PWDs on ARSS and public transit agencies’ views on ARSS’s ability to serve this population | RQ2 – Market penetration: consumer preferences and public acceptance | PWDs (n=23) Public transit service experts (n=10) Location: Austin and Houston, Texas |
Qualitative study; focus groups |
Consumer preferences: Preferences for ARSS include flexible on-demand services, expanded transportation capacity in terms of operating hours and service areas, and reduced operating costs. Public acceptance: To increase acceptance, concerns such as accessibility, absence of human assistant, potential technological errors, high initial and maintenance expenses, increased traffic congestion, and job displacement need to be addressed. Multi-sectoral cooperation (transit agencies, local authorities, and industries) and education/training programs are needed to address these issues and mitigate anxiety towards ARSS. |
| Peer-reviewed journal article | Kassens-Noor et al., 2020 | Assess the willingness to use ARSS among the general public and public transit riders | RQ2 – Market penetration: consumer preferences and public acceptance | General public (n=919) Public transit riders (n=1468) Location: Michigan |
Phone-based random-sampling survey of the general public; on-board intercept survey of public transit riders |
Consumer preferences: Preferences for ARSS include its integration into the public transit system with the inclusion of a human assistant. Public acceptance: Public transit riders show higher acceptance of ARSS and are willing to use it if integrated into the public transit fleet. Conversely, demand-response riders, particularly those with mobility disabilities, exhibit lower acceptance. Overall, to increase acceptance, concerns regarding safety and technology distrust, especially among older individuals, females, and PWDs, must be addressed. |
| Peer-reviewed journal article | Khan et al., 2022 | Explore the usage and factors influencing adoption of ARSS, focusing on the RAPID project (Rideshare, Automation, and Payment Integration Demonstration) | RQ2 – Market penetration: consumer preferences and public acceptance; Performance: barriers and facilitators | N= 261 Users of the RAPID project in Arlington, Texas |
Real-time trip-level ridership observational data; survey |
Consumer preferences: Preferences for ARSS include improved availability in terms of fleet size and service schedule during weekdays and daytime with the highest demand. Public acceptance: Individuals who usually walk, bike, or use on-demand ridesharing services are more accepting and more likely to use ARSS often. Users with a higher level of safety perception are more accepting and more likely to be frequent users of the service. To increase ARSS acceptance, addressing safety concerns and fostering a sense of security is needed. With the potential of ARSS to address transportation equity by providing affordable and accessible mobility options to low-income individuals with limited access to private vehicles, make them potential early adopters of ARSS. ARSS barriers: Majority of trips were short in duration (3-8 minutes) and distance (0.5 to 1.5 miles), reflecting the service’s small coverage area. ARSS facilitators: The integration of ARSS with existing transportation modes including on-demand ridesharing, public transit, and walking/cycling modes through trip planning and fare integration to combine travel choices into a single user interface. |
| Peer-reviewed journal article | Kim & Doerzaph, 2022 | Investigate the perceptions of road users towards low speed AS before and after direct exposure to shuttle operations | RQ2 – Market penetration: consumer preferences and public acceptance; Performance: barriers and facilitators | Faculty, staff, and students at the Virginia Tech Transportation Institute Shuttle riders and non-riders who shared the road with the AS during its operation |
Surveys before and after a 3-month period of exposure to shuttle operation |
Consumer preferences: Preferences for ARSS include rules and restrictions governing shuttle operations on public roadways, such as traveling in dedicated lanes with on-board safety operators. Public acceptance: Road users’ acceptance shifted over time, with exposure to the technology leading to increased trust and acceptance. Shuttle riders were more accepting toward shuttle operations compared to non-riders. ARSS barriers: Concerns about poor interaction between AS and other road users due to low-speed of the shuttle. Road users exhibited behavioral adaptations when interacting with AS, such as yielding more and maintaining larger distances compared to traditional vehicles. Additional concerns included the shuttle’s responses in abnormal situations and potential legal liability issues. ARSS facilitators: More than half of the respondents strongly or somewhat agreed that AS should always have a person on board who could take control in case of emergencies. |
| Peer-reviewed journal article | Kotliarenko, 2020 | Explore the development and implications of ARSS | RQ1 – Policy: safety standards | Stakeholders involved in the development, testing, and regulation of ARSS: Government agencies, legislative bodies, manufacturers, technology developers, and researchers | Discussion: Regulatory, technical, and legal aspects for the practical implementation of ARSS | Policy: The passage of the Self Drive Act on September 7, 2017, allowed for the testing of unmanned vehicles on public roads. This legislation outlined safety requirements for unmanned vehicles, mandating protections against cyber threats, responsiveness to obstacles and emergencies, and the capability to switch to manual control. |
| Grey literature: Research Final Report | Mishra et al., 2021 | Understand, model, and predict the market penetration of ARSS | RQ2 – Market penetration: public acceptance | N= 4,602 Location: Tennessee |
Survey; agent-based and hybrid choice modeling | Public acceptance: Tech-confident individuals, urban residents, and frequent users of conventional public transit were more likely to accept and adopt ARSS. Additionally, influence from peers and operational cost reductions positively impact residents’ inclination to adopt ARSS. Conversely, the elderly and those purchasing multiple cars in the last ten years were less likely to accept and adopt ARSS. Targeted advertisements and education campaigns for the elderly population are suggested to increase acceptance. |
| Peer-reviewed journal article | Nazari et al., 2023 | Assess the public acceptance behavior of ARSS | RQ2 – Market penetration: public acceptance | N=3,574 Location: California |
Stated preference survey; recursive trivariate econometric model | Public acceptance: Public acceptance of ARSS remains low or neutral, largely influenced by perceived safety concerns. Women tend to be more safety-concerned, and Asians show greater acceptance for ARSS. To enhance ARSS acceptance, addressing safety concerns alongside considerations of vehicle cost, reliability, and performance is needed. |
| Grey literature: Policy report | Patterson et al., 2020 | Policy recommendations for equitable deployment of ARSS | RQ2 – Market penetration: Consumer preferences | Black Americans, particularly those experiencing transportation challenges and inequities | Discussion: Transportation policy and planning | Consumer preferences: Preferences for ARSS include equitable access within public transit systems, prioritizing safety, affordability, and inclusivity across diverse communities. Deployment efforts should focus on ARSS equipped with advanced safety features, fully accessible, and high-occupancy vehicles. Prioritize affordability for low-income individuals through discounted fares or flexible payment options. |
| Peer-reviewed journal article | Rahimi et al., 2020 | Assess people’s attitudes toward shared mobility options and ARSS | RQ2 – Market penetration: consumer preferences and public acceptance | N=1,382 US Respondents |
Stated preference survey |
Consumer preferences: Preferences for ARSS include improved safety, reduced driving stress, and better technology. Public acceptance: Regular ridesourcing users, young adults, low-income, and high-income groups showed high acceptance and inclination to adopt ARSS. To improve acceptance of ARSS there is a need to address public concerns about trust and data privacy and promote benefits in terms of cost, time and functionality. |
| Peer-reviewed journal article | Rahimi et al., 2020 | Investigate Millennials and Generation X attitudes toward ARSS and other mobility options | RQ2 – Market penetration: consumer preferences and public acceptance | N= 818 Millennials and Generation X |
Stated preference survey; comprehensive analytical framework |
Consumer preferences: Preferences for ARSS include on-demand services or AV-enabled ride-sharing platforms. Public acceptance: Millennials were more accepting of ARSS compared to Generation X. Individuals with private vehicle access were less accepting of ARSS, while higher income was associated with higher acceptance. To increase acceptance there is a need for investment in accessible and efficient transportation systems that prioritize infrastructure. |
| Grey literature: Research final report | Schlossberg & Brinton, 2020 | Provide guidance on adopting local policy and code to respond to the emergence of transportation technologies | RQ1 – Policy: advisory policy guidance | Community stakeholders and policymakers involved in urban planning, transportation, and public policy | Discussion: Strategies and recommendations for policy and code development, framework for decision-making and implementation | Policy: The US DOT issued advisory policy guidance titled “Preparing for the Future of Transportation; Automated Vehicles 3.0.”It emphasizes safety, technology neutrality, modernization of regulations, and proactive preparation for automation. It also highlights the role of state and local governments in regulating AVs, recognizing their control over roadway and parking infrastructure, as well as land use via zoning and permitting. |
| Grey literature: Report | Steckler et al., 2021 | Understand how ARSS can be deployed in line with community input and local needs | RQ2 – Implementation strategies: framework | Four US cities and counties: Detroit, Pittsburgh, San Jose, and Miami-Dade County in Florida | Discussion: Strategies, recommendations, framework development and conclusions regarding the implementation of ARSS within urban environments | Implementation strategies: The proposed framework outlines strategies for fostering trust in public engagement processes. It highlights best practices for equitable engagement, ARSS-specific involvement, and virtual engagement (in the context of COVID-19) as well as considerations for overcoming equity barriers in the usability/engagement regarding ARSS pilots and deployments. |
| Socio-Ecological Model Level | Key Findings | Implications |
| Individual | Safety is a predominant theme influencing ARSS acceptance; seen as both a benefit (e.g., reducing human error) and a barrier (e.g., cybersecurity risks). Affordability concerns with high initial and maintenance costs of ARSS but potential for reduced operating costs in the long term. Accessibility needs for PWDs and the elderly, including wheelchair-accessible ARSS and supportive infrastructure (e.g., wheelchair ramps). |
Research: Research to address unique safety challenges posed by automation, explore safety solutions and conduct cost-benefit analysis of ARSS. Practice: Aid in the design of ARSS with user safety and affordability in mind; advocate for ADA compliant ARSS. Policy: Invest in technology-ready infrastructure. |
| Relational | On-board shuttle operators build trust and addresses safety concerns of ARSS users. Shuttle operators aid mobility-vulnerable populations (e.g., PWDs and the elderly) during boarding and egress. |
Practice: Train operators to assist PWDs and handle emergencies. Policy: Advocate for policies that encourage the presence of operators during the transition to full autonomy. Establish guidelines for operator roles and responsibilities. |
| Community | Technological and operational challenges include ARSS responses to abnormal situations (e.g., inclement weather conditions, crash events, mechanical problems), behavioral changes of traditional road users around ARSS (i.e., yielding more and maintaining larger following distances), and restricted coverage areas (i.e., fixed routes) and operational hours (i.e., daytime operations), limits ARSS availability. ARSS integration with existing transportation modes may enhance accessibility and convenience for users. Collaborative approach between transportation providers, industry partners and governments; education initiatives; and local community involvement are suggested implementation strategies for ARSS. |
Research: Research on technological improvements and community infrastructure needs. Public Health: Create public education campaigns to increase awareness and knowledge of ARSS. |
| Societal | Policies related to ARSS focus on safety standards (e.g., protections against cyber threats, responsiveness to obstacles and emergencies, capability to switch to manual control). Policy guidance on ARSS supports collaboration between federal, state, and local governments in regulating ARSS. Policy implementation challenges were identified (i.e., AV START Act faced opposition in the Senate and is currently inactive), and additional policies and regulations may be needed to govern ARSS. |
Research: Identify gaps in federal and state regulations. Policy: Develop comprehensive federal and state policies and regulations through collaboration across government levels for consistent regulation. |
Disclaimer/Publisher’s Note: The statements, opinions and data contained in all publications are solely those of the individual author(s) and contributor(s) and not of MDPI and/or the editor(s). MDPI and/or the editor(s) disclaim responsibility for any injury to people or property resulting from any ideas, methods, instructions or products referred to in the content. |
© 2025 by the authors. Licensee MDPI, Basel, Switzerland. This article is an open access article distributed under the terms and conditions of the Creative Commons Attribution (CC BY) license (http://creativecommons.org/licenses/by/4.0/).