Preprint
Article

This version is not peer-reviewed.

Numerical Analysis of a Fractional Cauchy Problem for the Laplace Equation in an Annular Circular Region

A peer-reviewed article of this preprint also exists.

Submitted:

05 February 2025

Posted:

06 February 2025

You are already at the latest version

Abstract
The Cauchy problem for the Laplace equation in an annular bounded region consists of finding a harmonic function from the Dirichlet and Neumann data known on the exterior boundary. This work considers a fractional boundary condition instead of the Dirichlet condition in a circular annular region. We found the solution to the fractional boundary problem using circular harmonics. Then, the Tikhonov regularization is used to handle the numerical instability of the fractional Cauchy problem. The regularization parameter was chosen using the L-curve method. From numerical tests, we found that the series expansion of the solution to the Cauchy problem can be truncated in N=20, N=25, or N=30. Thus, we found a stable method for finding the solution to the problem studied. To illustrate the proposed method, we elaborate synthetic examples and MATLAB programs to implement it. The numerical results show the feasibility of the proposed stable algorithm. In all cases, the solution with regularization gives better results than without regularization.
Keywords: 
;  ;  ;  ;  ;  

1. Introduction

The problem of determining a harmonic function defined in a bounded annular region from measurements on a part of the boundary (Cauchy data) is called the Cauchy problem for the Laplace equation [1]. It is well known that this problem is severely ill-posed in Hadamard’s sense, since small variations of the Cauchy data can produce large variations of the solution, i.e., the problem presents a numerical instability, implying that regularization techniques must be employed to solve it. To guarantee a solution to the Cauchy problem, some smoothness conditions must be imposed on the Cauchy data (see Theorem 1 in [2]).
The Cauchy problem is important because it has many applications, like estimating the deterioration of a pipeline, calculating a solution or potential in some regions or on boundaries where there is no direct access, and studying cracks on plates, [3,4,5]. Furthermore, the Cauchy problem is employed to study inverse electroencephalography and inverse electrocardiography [4,6,7,8,9,10].
There are different approaches to analyzing the Cauchy problem. In [11], the authors used the singular value decomposition to find the solution considering a circular annular region. Then, the admissible regularization strategy given by the spectral cut-off of the pseudo-inverse method was employed to handle the numerical instability of the problem. In [12] and [13], a new regularization method is proposed by applying the method of fundamental solutions to solve a Cauchy problem in an annular domain and a multi-connected domain, respectively. In [13], in order to effectively solve the discrete ill-posed problem resulting from a boundary collocation scheme, Tikhonov regularization, and L-curve methods were used to determine a stable approximate solution. In [11,14,15], and [16], the technique of layer potentials was used to obtain an equivalent system of integral equations. In [17], the Cauchy problem is resolved through a moment problem obtained using Green’s formula. This technique can be applied to annular regions that are more complex than circular ones. In [18], a similar technique is proposed for the 3-dimensional Cauchy problem, where the solution is expressed in terms of spherical harmonics and Tikhonov regularization is incorporated. In [19], a variational formulation of the problem was introduced, and the cost functional was minimized by conjugate gradient iterations, combined with a boundary element discretization of the state and adjoint equations. In [1], the potential on the interior boundary of the annular region is considered a control function, which must be determined for the potential on the exterior boundary to match the Cauchy input data adding to the cost function a penalized term that incorporates the Cauchy data. This allows determining the optimal solution using an iterative conjugate gradient algorithm. The computational cost of this algorithm is the solution to two elliptic problems per iteration, the state and adjoint equations, which are solved by the finite element method. A similar technique has been employed to solve other control problems, for instance, [9,10,19,20,21] and [22].
In this work, we consider one variant of the Cauchy problem. More precisely, we consider that we know the action of a fractional operator on the potential on the exterior boundary instead of the potential itself. We apply the Tikhonov regularization to handle the numerical instability that presents this variant, which we call the fractional Cauchy problem. Since we consider a circular geometry, we use the Fourier series method to solve the normal equations. The adjoint operator was found using its definition. From this, we found a stable algorithm for some of the parameters defining the fractional operator. To illustrate the results presented in this work, we elaborate synthetic examples and programs in MATLAB.
The paper is organized as follows: In Section 2, the definition and some results of the classical Cauchy problem, as well as the Sturm-Liouville operator, are presented. Section 2 also finalizes the definition of the fractional Cauchy problem. Section 3 applies the Tikhonov regularization to find an algorithm to recover the potential on the interior boundary. Section 4 presents numerical examples to illustrate the algorithm presented in this work. In section 5, we discuss the stability of the proposed algorithm. In section 6, we give the conclusions.

2. Problem Formulation

2.1. The Cauchy Problem

Let Ω be a bounded annular region in R 2 with sufficiently smooth interior boundary S 1 and exterior boundary S 2 , as shown in Figure 1.
We consider the following boundary value problem: Find ω , such that
Δ w = 0 , i n Ω , w = Φ , o n S 2 , σ w n = Ψ , o n S 2 ,
where Φ H 1 / 2 S 2 , σ w n S 2 = Ψ H 1 / 2 S 2 , n is the outward unitary vector defined on Ω , and w / n denotes the outward normal derivative of w on S 2 . For simplicity, we consider (1) with Ψ 0 by the change of variable u = w w 1 , where w 1 is the unique harmonic function satisfying σ w 1 / n S 2 = Ψ on S 2 , and w 1 S 1 0 . Then
σ Δ u = 0 , i n Ω , u = V , o n S 2 , σ w n = 0 , o n S 2 ,
where V = Φ w 1 S 2 H 1 / 2 S 2 . For the analysis of the Cauchy problem (2) the following problem is employed (see [3,15]):
Given a function φ defined on S 1 , find u such that
σ Δ u = 0 , i n Ω , u = φ , o n S 1 , σ u n = 0 , o n S 2 .
This problem is well-posed, and we will call it the auxiliary problem.
The inverse problem associated with the Cauchy problem can be formulated in the following way:
Recover the potential u = φ on S 1 from the measurements u = V on S 2 , where u is the solution to the auxiliary problem (3).
Definition 1.
A function u V φ is a weak solution to the auxiliary problem (3) if
Ω σ u · v d Ω = 0 , for all v V 0 ,
where
V φ = { v H 1 ( Ω ) : v = φ o n S 1 } ,
V 0 = { v H 1 ( Ω ) : v = 0 o n S 1 } .
Theorem 1 given in [1] guarantees the existence and uniqueness of the weak solution, and allows us to define the lineal, injective, and compact operator K : H m 1 / 2 ( S 1 ) L 2 ( S 2 ) that associates to each φ H m 1 / 2 ( S 1 ) the trace over S 2 of the weak solution u to the auxiliary problem (3). Operator K is compact because it is the composition of the continuous operator T : H m 1 / 2 ( S 1 ) H 1 ( Ω ) , which associates to each φ H m 1 / 2 ( S 1 ) the weak solution to the auxiliary problem (3), with the trace operator from H m ( Ω ) into L 2 ( Ω ) , which is compact. The relationship between problem (2) and auxiliary problem (3) can be described by the operator K as follows:
A solution to the auxiliary problem (3) is also a solution to the problem (2) if we choose φ on S 1 , such that
K φ : = u ( φ ) | S 2 = V ,
where u ( φ ) denotes the solution to the auxiliary problem (3), and V is the known measurement in problem (2), so we have φ = K 1 ( V ) .
The following result is very important for the statement of the minimization problem presented in Section 3 and its demonstration can be found in [19].
Theorem 1.
I m ( K ) is dense in L 2 ( S 2 ) .
Equation (7) does not have a solution for all V L 2 ( S 2 ) . However, if we impose some smoothness conditions on V, we can find global conditions of the existence of the solution, as in [19]. As K is an injective and well-defined ([3]) operator, it ensures uniqueness when a solution is available. Since the operator K is lineal, injective, and compact, its inverse K 1 is not continuous. Therefore, the inverse problem is ill-posed due to its numerical instability.

2.2. Sturm-Liouville Operator

The following material has been obtained from [23]. Let Ω 1 = { x : | x | < 1 } be a unit ball, 2 n . The Ω corresponds with the unit sphere; r = | x | , x ¯ = x r , let δ = r d d r be a Dirac operator, where r d d r = j = 1 n x j x j . Let u ( x ) be a smooth function on the domain Ω ¯ . For any α > 0 the following expression
J β [ u ] ( x ) = 1 Γ ( β ) 0 r l n r s β 1 u ( s x ¯ ) s d s , x Ω 1
is called an operator of integration of the order β in the Hadamard sense. Furthermore, we will assume that J 0 [ u ] ( x ) = u ( x ) , x Ω .
We consider the following modification of the Hadamard operator:
D m β [ u ] ( x ) = J m β [ δ m u ] ( x ) = 1 Γ ( m β ) 0 r l n r s m 1 β s d d s m u ( s x ¯ ) s d s ,
where m is a positive integer.
Properties and application of the operators J β y D β have been studied in [23]. In that paper, the authors studied a certain generalization of the classical Neumann problem with the fractional order of boundary operators. Let 0 < β n < . . . < β 1 < β 1 , P N ( D ) = D m β + j = 1 N a j D m β j . In the domain Ω 1 the authors consider the following problem:
Δ u ( x ) = 0 , x Ω 1 ,
P N ( D ) u ( x ) = f ( x ) , x Ω 1 .
As a solution to the last problem, the authors consider a function u C 2 ( Ω 1 ) C ( Ω 1 ¯ ) satisfying equation (10) and the boundary condition (11) in a classical sense. Since J 0 [ u ] ( x ) = u ( x ) , then D 1 [ u ] ( x ) Ω 1 = r d u d r Ω 1 = d u d n Ω 1 , where n is a normal vector to the boundary of the domain Ω . Therefore, in the case β = 1 and a j = 0 , j = 1 , , n , we obtain the classical Neumann problem.

2.3. Fractional Cauchy Problem

We consider the following fractional Cauchy problem
Δ u = 0 , i n Ω , D m β u S 2 = V o n S 2 , u n = 0 o n S 2
where the operator D m β is given in (9).
For the analysis of the fractional Cauchy problem (12), also we consider the auxiliary problem (3). We define the operator K m β ( φ ) = ( T r ( D m β T ) ) ( φ ) = D m β u | S 2 , which is a compact operator. We have the following two definitions to study the problem that concerns us.
Definition 2.
The Forward Problem (FP) related to the fractional Cauchy problem consists of finding the potential V = K m β ( φ ) when φ is known.
Definition 3.
Given V L 2 ( S 2 ) , the Inverse Problem (IP) related to the fractional Cauchy problem consists of finding φ L 2 ( S 1 ) such that K m β ( φ ) = V .

3. Methods

3.1. Tikhonov Regularization of the Fractional Cauchy Problem

To find an approximate solution φ L 2 ( S 1 ) of equation (7) for K = K m β when we have measurement with error V δ , the minimization of the following Tikhonov functional is proposed in [24]:
J α ( φ ) : = 1 2 K m β φ V δ L 2 ( S 2 ) 2 + α φ 2 , φ L 2 ( S 1 ) ,
where α is the Tikhonov regularization parameter, which will be chosen by the L-curve method. It is proved that J is strictly convex and twice Frechet differentiable, so it has a unique minimum in L 2 ( S 1 ) . This least squares procedure is equivalent to solving the normal equation
( K m β ) * K m β + α I φ = ( K m β ) * V ,
where ( K m β ) * is the adjoint operator.
Given φ L 2 ( S 1 ) , the exact solution to the auxiliary problem (3) in a circular annular region R 1 r R 2 , in polar coordinates, is given by:
u ( r , θ ) = φ 0 + k = 1 R 2 / R 1 2 k R 2 / R 1 2 k + 1 R 1 R 2 k r R 2 k + R 1 r k φ k 1 cos ( k θ ) + R 1 R 2 k r R 2 k + R 1 r k φ k 2 sin ( k θ ) ,
where 0 θ < 2 π . The values φ 0 , φ k 1 , φ k 2 , k = 1 , 2 , , are the Fourier coefficients of φ . The solution to the FP, called measurement, is given by V = K m β φ , which is obtained by applying of the operator D m β , the identities:
s d d s m ( s k cos ( k θ ) ) = k m s k cos ( k θ ) , s d d s m ( s k cos ( k θ ) ) = ( 1 ) m k m s k cos ( k θ ) ,
s d d s m ( s k sin ( k θ ) ) = k m s k sin ( k θ ) , s d d s m ( s k sin ( k θ ) ) = ( 1 ) m k m s k sin ( k θ ) ,
and then evaluating in r = R 2 , i.e.,
V ( θ ) = K m β φ ( θ ) = ( T r ( D m β T ) ) φ ( θ ) = D m β u | S 2 ( θ ) = k = 1 G m , k β ( φ k 1 cos ( k θ ) + φ k 2 sin ( k θ ) ) ,
where the Fourier coefficients V k i of exact measurement V are given by V k i = G m , k β φ k i , for i = 1 , 2, in which
G m , k β = k m Γ ( m β ) R 1 R 2 l n R 2 s m 1 β R 1 R 2 k s k 1 R 2 k + ( 1 ) m R 1 k s k d s .
In the numerical examples, the integrals are calculated using the function quadl of MATLAB.
The `exact solutionu and the `exact measurement V = v | S 2 are generated taking 2 N + 1 terms of the Fourier series (15) and (16), with N = 15 , which is obtained from numerical tests. To find the solution to the IP, we must solve the normal equations. To do this, we calculate the adjoint operator using its definition:
( K m β ) * W ) , φ L 2 ( S 1 ) = V , K m β φ L 2 ( S 2 ) .
Without loss of generality, we consider functions in which the constant term of their series expansion is null. Using (16) and (18) we found
W , K m β φ L 2 ( S 2 ) = j = 1 W j 1 cos ( j θ ) + W j 2 sin ( j θ ) , k = 1 G m , k β φ k 1 cos ( k θ ) + G m , k β φ k 2 sin ( k θ ) L 2 ( S 2 ) = R 2 R 1 j = 1 G m , k β W j 1 cos ( j θ ) + G m , k β W j 2 sin ( j θ ) , k = 1 φ k 1 cos ( k θ ) + φ k 2 sin ( k θ ) L 2 ( S 1 ) = ( K m β ) * W , φ L 2 ( S 1 ) .
Thus, the adjoint operator is defined by ( K m β ) * : L 2 ( S 2 ) L 2 ( S 1 ) ,
( K m β ) * ( W ) = R 2 R 1 k = 1 G m , k β ( W k 1 cos ( k θ ) + W k 2 sin ( k θ ) ) .
After some calculations, the regularized solution φ α ( δ ) that minimizes the functional (13) or that solves the the normal equation (14) is given by
φ α ( δ ) ( θ ) = k = 1 φ k , α ( δ ) 1 cos ( k θ ) + φ k , α ( δ ) 2 sin ( k θ ) , on S 1 ,
where
φ k , α ( δ ) i = R 2 G m , k β G m , k β 2 R 2 + α R 1 V k , δ i , f o r i = 1 , 2 , a n d k = 1 , 2 , . . . , N ,
and V k , δ i are the Fourier coefficients of measurement with error V δ .

3.2. Tikhonov Regularization for the Classical Cauchy Problem

Given φ L 2 ( S 1 ) , the exact solution u ( r , θ ) to the auxiliary problem (3) in a circular annular region R 1 r R 2 is given, in polar coordinates, by (15). Therefore, the measurement V = u | S 2 is obtained with r = R 2 in (15):
V ( θ ) = u ( r , θ ) r = R 2 = φ 0 + 2 k = 1 R 2 / R 1 k R 2 / R 1 2 k + 1 φ k 1 cos ( k θ ) + φ k 2 sin ( k θ ) ,
which is the solution to the FP. The Fourier coefficients of V are given by
V 0 = φ 0 a n d = V k i = 2 R 2 / R 1 k R 2 / R 1 2 k + 1 φ k i , f o r i = 1 , 2 .
Therefore, the solution to the IP from the measurement with error
V δ ( θ ) = V 0 , δ + k = 1 V k , δ 1 cos ( k θ ) + V k , δ 2 sin ( k θ ) on S 1 ,
is given by the regularized solution
φ α ( δ ) ( θ ) = φ 0 , α ( δ ) + k = 1 φ k , α ( δ ) 1 cos ( k θ ) + φ k , α ( δ ) 2 sin ( k θ ) on S 1 ,
where
φ k , α ( δ ) i = R 2 R 1 k 1 + R 2 R 1 2 k 2 R 2 R 1 2 k + α R 1 2 R 2 1 + R 2 R 1 2 k 2 V k , δ i , i = 1 , 2 , k = 1 , 2 , 3 ,
where V k , δ i are the Fourier coefficients of V δ and α is the Tikhonov regularization parameter. Thus, the solution to the IP (of the classical Cauchy problem) applying the Tikhonov regularization method (TRM) is given by (15) replacing the coefficients φ k i by the coefficients φ k , α ( δ ) i given by (25).

4. Numerical Results

In this section, we illustrate the method proposed in this work using synthetic examples. We know the exact φ defined on S 1 in this case. Then, we calculated the measurement with and without noise by solving the FP for the classical and fractional Cauchy problem.
The exact measurement is calculated by solving the FP. To generate the measurements with error V δ , we added to the exact measurement a Gaussian error using the function r a n d o m of MATLAB. The exact measurement was calculated by solving the FP. Therefore, we define
V δ = V + E ,
where E = r a n d o m ( N o r m a l , μ 0 , σ 0 , 1 , m ) is a vector of random numbers of length m (numbers of nodes on S 2 ) with a normal distribution. The corresponding numerical solutions are denoted by φ α ( δ ) .
In this section, we obtain the relative error between the exact source φ and the recovered source φ α ( δ ) shown in Tables and denoted by R E ( φ , φ α ( δ ) ) . The relative error is given by
R E ( φ , φ α ( δ ) ) = φ φ α ( δ ) L 2 ( S 1 ) / φ L 2 ( S 1 ) ,
and the relative error between the exact measurement V and the measurement with error V δ are denoted R E S 1 ( V , V δ ) , which is given by
R E S 1 ( V , V δ ) = φ φ α ( δ ) L 2 ( S 2 ) / V L 2 ( S 2 ) ,
where · L 2 ( S i ) is the norm of the space L 2 ( S i ) , i = 1 , 2 .

4.1. Solution to the IP Related to the Classical Cauchy Problem

In the following two examples, we consider a circular annular region R 1 r R 2 with R 1 = 1 and R 2 = 1.2 , then S 1 and S 2 are two circumferences of radii R 1 = 1 and R 2 = 1.2 (see Figure 1), respectively.
Example 1. We take the `exact potential φ ( x , y ) = x 2 y 2 , ( x , y ) S 1 , that in polar coordinates is φ ( θ ) = cos ( 2 θ ) . In this case, V 0 = φ 0 = 0 , and the solution to the forward problem, that is, the solution to the auxiliary problem (3), is given by
V ( θ ) = K φ ( θ ) = u ( r , θ ) r = R 2 = 2 R 2 R 1 2 1 + R 2 R 1 4 φ 2 1 cos ( 2 θ ) , θ [ 0 , 2 π ] ,
where φ 2 1 = 1 . Then the `exact solutionV and the `measurement with error V δ are generated with the first N terms of the Fourier series (22) and (23), respectively. In this case, we take values of N = 20 , 25, and 30 terms. Therefore, the measurement with error V δ is given by the series
V δ ( θ ) = k = 1 N V k , δ 1 cos ( k θ ) + V k , δ 2 sin ( k θ ) on S 1 ,
where V k , δ i are the Fourier coefficients of V δ . The regularized solution φ α ( δ ) to the inverse problem is given by the series (24) truncated to N terms. The solution without regularization φ δ to the IP is given by
φ δ ( θ ) = k = 1 N φ k , δ 1 cos ( k θ ) + φ k , δ 2 sin ( k θ ) on S 1 ,
where the coefficients φ k , δ i are given by
φ k , δ i = 1 + R 2 R 1 2 k 2 R 2 R 1 k V k , δ i , i = 1 , 2 .
Remark 1: In all Tables associated with the classical case, if α ( δ ) = 0 , then the solution φ α ( δ ) is the solution without regularization φ δ given by (28), where the coefficients φ k , δ i are given by (29).
Table 1 shows the numerical results for data with and without error, applying TRM to solve the IP of the classical Cauchy problem (2). In this case, we observe that the solutions with regularization φ α ( δ ) have a percentage of relative errors around 10 % equal to the percentage of error including in the data with error V δ for δ = 0.1 . The regularization parameter was chosen as α ( δ ) = δ , for N = 20 , 25, and 30. Also, we can see that the R E ( φ , φ α ( δ ) ) decrease when the error δ tends to zero, while the R E ( φ , φ δ ) increases for each value of N. In particular, the R E ( φ , φ δ ) increases faster when N = 30 , for δ = 0.1 , 0.01 , y 0.001 . In this case, the regularization parameter α ( δ ) depends on V δ .
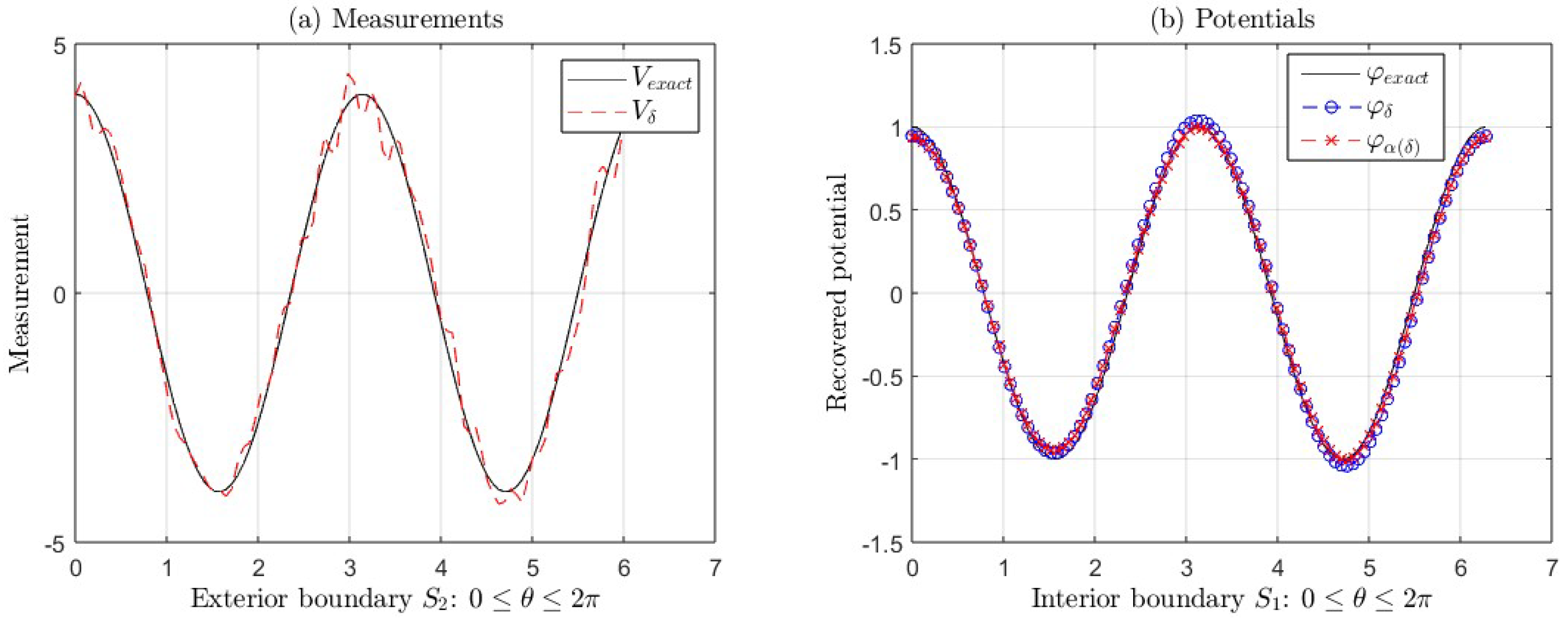
Figure 2(a) and Figure 2(b) show the graphs of the exact measurement V and with error V δ , the graphs of the exact potential φ and its approximations φ α ( δ ) (with regularization) and φ δ (without regularization) taking α ( δ ) = 0.1 and N = 30 , corresponding to the Example 1, for δ = 0.1 (see Table 1). In Figure 2(b), we can see the ill-posedness of the inverse problem if we do not apply regularization, where R E ( φ , φ α ( δ ) ) = 0.1435 and R E ( φ , φ δ ) = 3.0063 .
Example 2. We consider the `exact potential φ ( x , y ) = e x sin ( y ) , for ( x , y ) S 1 . Similar to the first example, the `exact measurementV and the `measurement with error V δ are generated with the first N terms of the Fourier series (22) and (23), respectively, such that φ N φ L 2 ( S 1 ) ϵ F , with 0 < ϵ F < 10 14 . In this case, V 0 = φ 0 = 0 and the Fourier coefficients φ k , 1 k N , are obtained numerically using the intrinsic function q u a d l of M A T L A B . Here, we take values of N = 18 , 25 and 30 terms.
Table 2 shows the numerical results for data with and without error, applying TRM to solve the IP of the classical Cauchy problem (2). Analogous to Example 1, we can observe that the solutions with regularization φ α ( δ ) have a percentage of relative errors around 10 % equal to the percentage of error including in the data with error V δ for δ = 0.1 . Also, we can see that the R E ( φ , φ α ( δ ) ) decrease when the error δ tends to zero, while the R E ( φ , φ δ ) increases for each value of N. In particular, the R E ( φ , φ δ ) increases when N = 30 for each δ = 0.1 , 0.01 , and 0.001 . As in the previous example, the regularization parameter α ( δ ) depends on V δ , and we take α ( δ ) = δ for each value of N = 18 , 25 and 30.
Figure 3(a) and Figure 3(b) show the graphs of the exact measurement V and with error V δ , the graphs exact potential φ and its approximations φ α ( δ ) (with regularization) and φ δ (without regularization) taking α ( δ ) = 0.1 and N = 30 , corresponding to the Example 2, for δ = 0.1 (see Table 2). In Figure 3(b), we can see the ill-posedness of the inverse problem if we do not apply regularization. In this case, R E ( φ , φ α ( δ ) ) = 0.1512 and R E ( φ , φ δ ) = 5.7825 .

4.2. Solution to the IP Related to the Fractional Cauchy Problem

In this section, we look into the performance of the TRM to solve the IP of the fractional Cauchy problem (12), in a circular annular region R 1 r R 2 with R 1 = 1 and R 2 = 1.2 , then S 1 and S 2 are two circumferences of radii R 1 = 1 and R 2 = 1.2 (see Figure 1), respectively. In this case, we consider as `exact potentials’ the two functions from the previous Subsection: φ ( x , y ) = x 2 y 2 , and φ ( x , y ) = e x sin ( y ) , for ( x , y ) S 1 .
Similar to the previous subsection, the `exact solutionV and the `measurement with error V δ are obtained by truncating the series (16) and (23) up to N terms, respectively, furthermore, the Fourier coefficients φ k 1 , φ k 2 and G m , k β (given by (17)) are obtained numerically using the function q u a d l of M A T L A B .
In this case, we take values of N = 18 , 20, 25, and 30 terms. Therefore, the measurement with error V δ is given by the series (23) truncated to N terms. The regularized solution φ α ( δ ) to the IP is given by the series (21) truncated to N terms. Also, the solution without regularization φ δ to the IP is given by (28), where
φ k , δ i = 1 G m , k β V k , δ i , i = 1 , 2 , k = 1 , 2 , . . . , N .
Remark 2: In all Tables from fractional case, if α ( δ ) = 0 , the solution φ α ( δ ) is the solution without regularization φ δ given by (28), where the coefficients φ k , δ i are given by (30).

4.2.1. Case 1: β = 0.5 and m = 1 , When δ Tends to Zero

In this section, we consider the case when β = 0.5 , m = 1 , and for different values of δ close to zero. Table 3 and Table 4 show the relative errors of the approximations φ α ( δ ) and φ δ , when δ tends to zero, for the two exact functions φ considered in the SubSection 4.1. In both cases, we observe that the R E ( φ , φ α ( δ ) ) of the solutions with regularization φ α ( δ ) are less than the R E ( V , V δ ) , for each value of δ and N given in these Tables. Additionally, the R E ( φ , φ α ( δ ) ) and R E ( φ , φ δ ) are of the same order, i.e., the solutions without regularization φ δ are close to regularized solutions φ α ( δ ) , for β = 0.5 and m = 1 . In both cases, the measurements with errors V δ do not have much impact on recovered solution φ δ , and they are close to φ α ( δ ) . We observe from the relative errors that regularized approximations φ α ( δ ) are better than those without regularization. In this case, the regularization parameter α ( δ ) depends on V δ , N, m and β .
Considering δ = 0.1 , β = 0.5 , and m = 1 , we show the graphs for the following potentials φ ( x , y ) = x 2 y 2 (Figure 4), and φ ( x , y ) = e x sin ( y ) (Figure 5), for ( x , y ) S 1 , where:
(a)
The exact measurement V and the measurement with error V δ .
(b)
The exact potential φ and its approximations φ α ( δ ) (with regularization) and φ δ (without regularization) taking α ( δ ) = 10 2 and N = 30 .
See Table 3 and Table 4 for other values of the parameters N and δ .
In Figure 4(b), the R E ( φ , φ α ( δ ) ) = 0.0775 is less than R E ( φ , φ δ ) = 0.1217 , for δ = 0.1 (see Table 3). In Figure 5(b), the R E ( φ , φ α ( δ ) ) = 0.0624 is less than R E ( φ , φ δ ) = 0.0672 , for δ = 0.1 (see Table 4).

4.2.2. Case 2: β ( m 1 , m ) , for m = 2 , . . . , 12 and δ = 0.1 .

Table 5 and Table 6 show that the relative errors of the approximations φ α ( δ ) and φ δ when δ = 0.1 , for the two exact functions φ considered in the SubSection 4.1.
In Table 5, we observe that R E ( φ , φ α ( δ ) ) < R E ( V , V δ ) for each value of N, β and m given in the mentioned Table. Also, the R E ( φ , φ α ( δ ) ) and R E ( φ , φ δ ) are of the same order, i.e., the solutions without regularization φ δ are close to regularized solutions φ α ( δ ) , for δ = 0.1 , N = 20 , 25, 30, β = 1.5 and m = 2 . We can see similar results in Table 6 for δ = 0.1 , N = 18 , 25, 30, β = 1.5 , 2.5 , and m = 2 , 3, however the regularized approximates φ α ( δ ) are better than the solutions without regularization. Furthermore, R E ( φ , φ δ ) < R E ( V , V δ ) and these increase suddenly, starting in m = 3 and m = 4 (see Table 5 and Table 6) for the functions φ ( x , y ) = x 2 y 2 and φ ( x , y ) = e x sin ( y ) for ( x , y ) S 1 , respectively. As in the previous case, the regularization parameter α ( δ ) changes depending on V δ , N, m, and β .
We show the graphs for the following functions:
  • φ ( x , y ) = x 2 y 2 (Figure 6, with parameters β = 1.5 , m = 2 , δ = 0.1 , α ( δ ) = 5 × 10 1 , and N = 30 ; and Figure 7, with parameters β = 2.5 , m = 3 , δ = 0.1 , α ( δ ) = 2 × 10 1 , and N = 20 ),
  • φ ( x , y ) = e x sin ( y ) (Figure 8, with parameters β = 7.5 , m = 8 , δ = 0.1 , α ( δ ) = 4.2 × 10 2 , and N = 18 ),
for ( x , y ) S 1 . These Figures show:
(a)
The exact measurement V and the measurement with error V δ .
(b)
The exact potential φ and its approximations φ α ( δ ) (with regularization) and φ δ (without regularization).
In both cases, as mentioned in the previous paragraph, the errors increase suddenly, starting in m = 3 for the first function and m = 4 for the second one, as can be seen in Figure 7(b) and Figure 8(b), where we can see the ill-posedness of the IP if we do not apply regularization. For example, for the second function, the R E ( φ , φ α ( δ ) ) = 310.6255 is much greater than R E ( φ , φ δ ) = 0.3822 , for β = 7.5 , m = 8 and δ = 0.1 (see Table 6). However, in this same example, for m = 9 , 10, 11, and 12 the R E ( φ , φ α ( δ ) ) increases around 90%. Nevertheless, R E ( φ , φ δ ) is bigger than R E ( φ , φ α ( δ ) ) . In this case, we could use the regularized solution as an initial point of an iterative method to recover a better solution to the IP.

4.2.3. Case 3: β ( m 1 , m ) , when β is next to m 1 or m and δ = 0.1 .

This Section considers the case when m 1 < β < m and β is next to m 1 or m. Table 7 and Table 8 show that the relative errors of the approximations φ α ( δ ) and φ δ when δ = 0.1 for the same two exact functions φ considered in SubSection 4.1.
In Table 7, we observe that the R E ( φ , φ α ( δ ) ) are less than the R E ( V , V δ ) , for each value of N, β and m given in this Table. We can see that R E ( φ , φ α ( δ ) ) and R E ( φ , φ δ ) are of the same order for m = 1 , 2, i.e., the solutions without regularization φ δ are close to regularized solutions φ α ( δ ) . However, the regularized approximates φ α ( δ ) are better than the solutions without regularization, for m = 1 , 2. Nonetheless, the R E ( φ , φ α ( δ ) ) increases more than R E ( V , V δ ) starting in m = 3 . Furthermore, we can observe similar results in Table 8 where the R E ( φ , φ α ( δ ) ) are less than the R E ( V , V δ ) , for m = 1 , 2, 3, 4, with δ = 0.1 , N = 30 , and the different values of β are close to m or m 1 given in this Table. For the values of m = 5 , 6, 7 and 8, the R E ( φ , φ α ( δ ) ) are around the percentage of the R E ( V , V δ ) . For the other values of m = 9 , 10, 11 and 12, given in Table 8, the corresponding R E ( φ , φ α ( δ ) ) increases around 90%, but no more than R E ( φ , φ δ ) , i.e., the TRM does not provide a good approximate solution to the IP. In this case, we could use the regularized solution φ α ( δ ) as an initial point of an iterative method to recover a better solution to the IP. Besides, the relative errors of the recovered solutions φ δ without applying regularization increase suddenly, starting in m = 7 and m = 5 (see Table 7 and Table 8) for the functions φ ( x , y ) = x 2 y 2 and φ ( x , y ) = e x sin ( y ) for ( x , y ) S 1 , respectively. As in the previous cases, the regularization parameter α ( δ ) changes depending on V δ , N, m and β .
We show the graphs for the following functions:
  • φ ( x , y ) = x 2 y 2 (Figure 9, with parameters β = 7.1 , m = 8 , δ = 0.1 , α ( δ ) = 10 2 , and N = 20 ),
  • φ ( x , y ) = e x sin ( y ) (Figure 10, with parameters β = 7.9999999 , m = 8 , δ = 0.1 , α ( δ ) = 2 × 10 8 , and N = 30 ),
for ( x , y ) S 1 . These Figures show:
(a)
The exact measurement V and the measurement with error V δ .
(b)
The exact potential φ and its approximations φ α ( δ ) (with regularization) and φ δ (without regularization).
In both cases, as mentioned in the previous paragraph, the errors increase starting in m = 7 for the first function and starting in m = 5 for the second one, as can be seen in Figure 9(b) and Figure 10(b) for m = 8 , where we can see the ill-posedness of the IP if we do not apply regularization. For example, for the first function, the R E ( φ , φ δ ) = 3.3483 is greater than R E ( φ , φ α ( δ ) ) = 0.0199 , for β = 7.1 , m = 8 and δ = 0.1 (see Table 7). For the second one, the R E ( φ , φ δ ) = 164.4764 is greater than R E ( φ , φ α ( δ ) ) = 0.5806 , for β = 7.9999999 , m = 8 and δ = 0.1 (see Table 8). In this latter function, the approximate solution φ α ( δ ) is far from the exact solution φ . In this case, we could apply an iterative method to obtain a better solution, taking φ α ( δ ) as an initial point.

4.2.4. Case 4: β < m 1 , for m = 2 ,...,12 and δ = 0.1 .

In this Section, we consider the case when β < m 1 for m = 2 , 3,...,12 and δ = 0.1 . Table 9 and Table 10 show that the relative errors of the approximations φ α ( δ ) and φ δ when δ = 0.1 , with the same two exact functions φ considered in the SubSection 4.1.
In Table 9, we observe that the R E ( φ , φ α ( δ ) ) from solutions with regularization φ α ( δ ) are less than the R E ( V , V δ ) . For some values of N, β and m given in this same Table, we can see that R E ( φ , φ α ( δ ) ) and R E ( φ , φ δ ) are of the same order, i.e., the solutions without regularization φ δ are close to regularized solutions φ α ( δ ) , however the regularized solutions φ α ( δ ) are better than the solutions without regularization. The R E ( φ , φ δ ) increases faster than the R E ( V , V δ ) starting in m = 3 . Furthermore, we can observe similar results in Table 10 where the R E ( φ , φ α ( δ ) ) are of the same order than R E ( V , V δ ) , for m = 2 , 3, 4, with β = 0.5 , δ = 0.1 , except for m = 5 , 6 , . . . , 12 . Nevertheless, the R E ( φ , φ δ ) increases faster than the R E ( V , V δ ) starting in m = 5 . For the values of m = 8 , 9 10, 11, and 12, the R E ( φ , φ α ( δ ) ) increases between 40% and 90%, but no more than R E ( φ , φ δ ) . In this case, the TRM does not provide a good approximate solution to the IP. However, as mentioned before, we could use the regularized solution φ α ( δ ) as an initial point of an iterative method to recover a better solution to the IP. Also, the relative errors of the recovered solutions φ δ without applying regularization increase suddenly, starting in m = 7 and m = 5 (see Table 9 and Table 10) for the functions φ ( x , y ) = x 2 y 2 and φ ( x , y ) = e x sin ( y ) for ( x , y ) S 1 , respectively. Here also, as in the previous cases, the parameter of regularization α ( δ ) changes depending on V δ , N, m and β .
Figure 11 and Figure 12 show the graphs of the exact measurement V and with error V δ with δ = 0.1 , the graphs exact potential φ and its approximations φ α ( δ ) (with regularization) and φ δ (without regularization), corresponding the functions φ ( x , y ) = x 2 y 2 and φ ( x , y ) = e x sin ( y ) for ( x , y ) S 1 , respectively. In both cases, as mentioned in the previous paragraph, the errors increase suddenly, starting in m = 7 for the first function and starting in m = 5 for the second one, as can be seen in Figure 11(b) and Figure 12(b), where we can see the ill-posedness of the IP if we do not apply regularization. For example, for the first function, the relative error R E ( φ , φ δ ) = 36.2964 is greater than R E ( φ , φ α ( δ ) ) = 0.0329 , for β = 6.3 , m = 12 y δ = 0.1 (see Table 9). For the second one, the R E ( φ , φ δ ) = 205.2009 is greater than R E ( φ , φ α ( δ ) ) = 0.4002 , for β = 0.5 , m = 8 and δ = 0.1 (see Table 10). In this case, we could use the regularized solution φ α ( δ ) as an initial point of an iterative method to recover a better solution to the IP.

4.2.5. Case 5: β < m 1 , when β is next to n or n 1 , where 0 < n m 1 , for m = 2 , . . . , 12 and δ = 0.1 .

In this Section, we consider the case when β < m 1 , when β is next to n or n 1 , where 0 < n m 1 , for m = 2 , . . . , 12 and δ = 0.1 . Table 11 and Table 12 show that the relative errors of the approximations φ α ( δ ) and φ δ when δ = 0.1 , for the same two exact functions φ considered in the SubSection 4.1.
In Table 11, we observe that R E ( φ , φ α ( δ ) ) < R E ( V , V δ ) . For m = 2 , we can see that R E ( φ , φ α ( δ ) ) and R E ( φ , φ δ ) are of the same order when β is next to 1 or 0 (taking n = 1 ), i.e., the solutions without regularization φ δ are close to regularized solutions φ α ( δ ) . However, the regularized approximates φ α ( δ ) are better than the solutions without regularization. The R E ( φ , φ α ( δ ) ) increases faster than the R E ( V , V δ ) starting in m = 3 , as shown in Figure 13(b) for β = 0.0001 , m = 3 and δ = 0.1 , where R E ( φ , φ α ( δ ) ) = 0.0556 and R E ( φ , φ δ ) = 0.2586 . These approximations φ α ( δ ) and φ δ are recovered from measurements with error V δ , shown in Figure 13(a). Also, we can observe similar results in Table 12 where R E ( φ , φ α ( δ ) ) and R E ( φ , φ δ ) are of the same order for m = 2 , 3, 4, and when β is next to n or n 1 (taking n = 1 , 1, and 3, respectively), for δ = 0.1 , nevertheless the R E ( φ , φ α ( δ ) ) increases between 17% and 38% but no more than the R E ( φ , φ δ ) for m = 5 , 6, 7, and 8. For the values of m = 9 , 10, 11, and 12 the R E ( φ , φ α ( δ ) ) increases around 90%, but no more than R E ( φ , φ δ ) . In this case, we could use the regularized solution φ α ( δ ) as an initial point of an iterative method to recover a better solution to the IP. Nevertheless, the relative errors of the recovered solutions φ δ without applying regularization increase suddenly, starting in m = 7 and m = 5 (see Table 11 and Table 12) for the functions φ ( x , y ) = x 2 y 2 and φ ( x , y ) = e x sin ( y ) for ( x , y ) S 1 , respectively. Here, the regularization parameters α ( δ ) also change depending on V δ , N, m and β .
Figure 13, Figure 14, Figure 15 and Figure 16 show the graphs of the exact measurement V and with error V δ with δ = 0.1 , the graphs of the exact potential φ and its approximations φ α ( δ ) (with regularization) and φ δ (without regularization), corresponding to the functions φ ( x , y ) = x 2 y 2 and φ ( x , y ) = e x sin ( y ) for ( x , y ) S 1 , respectively. In both cases, as mentioned in the previous paragraph, the errors increase suddenly starting in m = 7 for the first function and starting in m = 5 for the second one, as can be seen in Figure 14(b), Figure 15(b) and Figure 16(b), where we can see the ill-posedness of the IP if we do not apply regularization for m = 12 , 8 and m = 11 , respectively. For example, for the approximations φ δ and φ α ( δ ) shown in Figure 14(b) of the first function, the R E ( φ , φ δ ) = 131.9629 is much greater than R E ( φ , φ α ( δ ) ) = 0.0278 , for β = 4.9 , m = 12 and δ = 0.1 (see Table 11). For the approximations φ δ and φ α ( δ ) shown in Figure 15(b) of the second one, the R E ( φ , φ δ ) = 78.5332 is much greater than R E ( φ , φ α ( δ ) ) = 0.3781 , for β = 5.9999 , m = 8 y δ = 0.1 (see Table 12). Lastly, for the approximations φ δ and φ α ( δ ) shown in Figure 16(b) of the second one, the R E ( φ , φ δ ) = 2.8572 × 10 5 is greater than R E ( φ , φ α ( δ ) ) = 0.9312 , for β = 6.1 , m = 11 and δ = 0.1 (see Table 12). In these last two examples, when the approximate solutions φ α ( δ ) are not close to the exact solution φ , we could use the regularized solution φ α ( δ ) as an initial point of an iterative method to recover a better solution to the IP.

4.2.6. Case 6: β > m , for m = 1 , 2 ,...,13 and δ = 0.1 .

In this case, we consider the case when β > m , with m = 1 , 2 , . . . , 13 . for δ = 0.1 . Table 13 and Table 14 show that the relative errors of the approximations φ α ( δ ) and φ δ when δ = 0.1 , for the same two exact functions φ considered in the SubSection 4.1.
In Table 13, we observe that R E ( φ , φ α ( δ ) ) < R E ( V , V δ ) . For m = 1 , 2 , we can see that R E ( φ , φ α ( δ ) ) and R E ( φ , φ δ ) are of the same order when δ = 0.1 , i.e., the solutions without regularization φ δ are close to regularized solutions φ α ( δ ) . However, the regularized approximates φ α ( δ ) are better than the solutions without regularization. Additionally, the relative errors of the solutions without regularization φ δ increase faster starting in m = 3 . Furthermore, we can observe similar results in Table 14. In this case, the relative errors from solutions with regularization R E ( φ , φ α ( δ ) ) are less than the R E ( V , V δ ) for m = 1 , 2 , . . . , 6 , and increase between 29% and 46% for m = 7 , 8 , when δ = 0.1 . Nevertheless, the corresponding relative errors of the solutions with regularization increase between 88% and 96% for m = 9 , 10 , 11 , 12 , but no more than the corresponding R E ( φ , φ δ ) . The relative errors of the recovered solutions φ δ without regularization increase suddenly, starting in m 5 . For example, for β = 10.7 and m = 9 the R E ( φ , φ δ ) = 4.4110 × 10 3 . For m = 13 , the R E ( φ , φ α ( δ ) ) increases between 91% and 99%, but no more than the R E ( φ , φ δ ) ), for β > m , as well as for β < m and m 1 < β < m with δ = 0.1 . Moreover, as in the previous cases, the regularization parameters α ( δ ) change depending on the data with error V δ , the values N, m, and β . Analogous results can be obtained for values m 14 , as those obtained for m = 13 , which are not included in this work.

5. Discussion

The numerical tests show that the proposed algorithm usually gives good results. Even if the numerical results are unsatisfactory, they are enough to start an iterative method. In all cases, the regularized method is worth more than the method without regularization. After some numerical tests, we found that the series expansion of the solution to the fractional Cauchy problem can be truncated in N = 20 , N = 25 , or N = 30 .
When β < m for m = 1 , 2 , 7 , the results obtained are similar, i.e., the results obtained with and without regularization almost coincide. One possible explanation can be associated with the smoothing properties of the integral operator to have similar results when β > m , for m = 1 , 2 . In the other cases, the regularized case is better.
When m > 7 , the regularized method loses precision. However, the approximate solution obtained can be used as an initial point of a stable iterative method. From the numerical results, we want to emphasize that the solution by the Tikhonov regularization method of the classical Cauchy problem works adequately in all cases.
The Tikhonov regularization parameter, which was chosen by the L-curve method, was very large in some cases. We do not have an explanation for this situation, but we consider this an interesting topic that must be studied in future works.
In the classical Cauchy problem, the adjoint operator is associated with a boundary value problem called the adjoint problem. In the fractional Cauchy problem, we calculate the adjoint equation operator using its definition. One interesting question is whether a boundary value problem is associated with the adjoint operator. If the answer is positive, the following question arises: Can the adjoint operator be used in irregular regions?

6. Conclusions

This work proposes an algorithm to solve the fractional Cauchy problem obtained from the Tikhonov regularization and the circular harmonics. The numerical results show that the algorithm is feasible for various parameters. In some cases, despite not being a good approximation, the regularized solution is much better than the solution without regularization. So, the solution that delivers the algorithm can be used as an initial point for an iterative method.

Author Contributions

Conceptualization, J.J.C.M., J.A.A.V., E.H.M., M.M.M.C. and J.J.O.O.; methodology, J.J.C.M., J.A.A.V., E.H.M., M.M.M.C. and J.J.O.O.; software, J.J.C.M., J.A.A.V. and E.H.M.; validation, J.J.C.M., J.A.A.V., and J.J.O.O.; formal analysis, J.J.C.M., J.A.A.V., E.H.M., M.M.M.C., C.A.H.G. and J.J.O.O.; investigation, J.J.C.M., J.A.A.V., E.H.M., M.M.M.C., C.A.H.G. and J.J.O.O.; resources, J.J.C.M., J.A.A.V., E.H.M., M.M.M.C., C.A.H.G. and J.J.O.O.; data curation, J.J.C.M., J.A.A.V. and J.J.O.O.; writing—original draft preparation, J.J.C.M., J.A.A.V., E.H.M., M.M.M.C., C.A.H.G. and J.J.O.O.; writing—review and editing, J.J.C.M., J.A.A.V., E.H.M., M.M.M.C. and J.J.O.O.; visualization, J.J.C.M., J.A.A.V., E.H.M., M.M.M.C., C.A.H.G. and J.J.O.O.; supervision, J.J.C.M. and J.J.O.O.; project administration, J.J.C.M. and J.J.O.O.; funding acquisition, J.J.C.M., J.A.A.V., E.H.M., M.M.M.C. and J.J.O.O. All authors have read and agreed to the published version of the manuscript.

Funding

This research was funded by the National Council of Science and Technology in Mexico (CONACYT), VIEP-BUAP, and PRODEP-SEP.

Institutional Review Board Statement

Not applicable.

Informed Consent Statement

The original contributions presented in the study are included in the article, further inquiries can be addressed to the corresponding author.

Data Availability Statement

Not applicable.

Acknowledgments

We thank VIEP-BUAP for the support provided. Also, we thank the National Council for Humanities, Sciences and Technologies in Mexico (CONAHCYT) for the partial funding provided through a PhD scholarship for the second author.

Conflicts of Interest

The authors declare that they have no competing interests.

References

  1. Conde Mones, J.J.; Juárez Valencia, L.H.; Oliveros Oliveros, J.J.; León Velasco, D.A. Stable numerical solution of the Cauchy problem for the Laplace equation in irregular annular regions. Numerical Methods for Partial Differential Equations 2017, 33, 1799–1822. [Google Scholar] [CrossRef]
  2. Oliveros, J.; Morín, M.; Conde, J.; Fraguela, A. A regularization strategy for the inverse problem of identification of bioelectrical sources for the case of concentric spheres. Far East Journal of Applied Mathematics 2013, 77, 1–20. [Google Scholar]
  3. Berntsson, F.; Lars, E. Numerical solution of a Cauchy problem for the Laplace equation. Inverse Problems 2001, 17, 839–853. [Google Scholar] [CrossRef]
  4. Fraguela, A.; Oliveros, J.; Morín, M.; Cervantes, L. Inverse electroencephalography for cortical sources. Applied Numerical Mathematics 2005, 55, 191–203. [Google Scholar] [CrossRef]
  5. Kress, R. Inverse Dirichlet problem and conformal mapping. Mathematics and Computers in Simulation 2004, 66, 255–265. [Google Scholar] [CrossRef]
  6. Clerc, M.; Kybic, J. Cortical mapping by Laplace-Cauchy transmission using a boundary element method. Inverse Problems 2007, 23, 2589–2601. [Google Scholar] [CrossRef]
  7. Denisov, A.M.; Zakharov, E.V.; Kalinin, A.V.; Kalinin, V.V. Numerical solution of an inverse electrocardiography problem for a medium with piecewise constant electrical conductivity. Computational Mathematics and Mathematical Physics 2010, 50, 1172–1177. [Google Scholar] [CrossRef]
  8. Kalinin, A.; Potyagaylo, D.; Kalinin, V. Solving the inverse problem of electrocardiography on the endocardium using a single layer source. Frontiers in physiology 2019, 10. [Google Scholar] [CrossRef]
  9. Conde Mones, J.J.; Estrada Aguayo, E.R.; Oliveros Oliveros, J.J.; Hernández Gracidas, C.A.; Morín Castillo, M.M. Stable identification of sources located on interface of nonhomogeneous media. Mathematics 2021, 9, 1932. [Google Scholar] [CrossRef]
  10. Hernandez-Montero, E.; Fraguela-Collar, A.; Henry, J. An optimal quasi solution for the Cauchy problem for Laplace equation in the framework of inverse ECG. Mathematical Modelling of Natural Phenomena 2019, 14, 204. [Google Scholar] [CrossRef]
  11. Lee, J.Y.; Yoon, J.R. A numerical method for Cauchy problem using singular value decomposition, Communications Korean Mathematical Society 2001, 16, 487–508.
  12. Wei, T.; Chen, Y.G. A regularization method for a Cauchy problem of Laplace’s equation in an annular domain. Mathematics and Computers in Simulation 2012, 82, 2129–2144. [Google Scholar] [CrossRef]
  13. Zhou, D.; Wei, T. The method of fundamental solutions for solving a Cauchy problem of Laplace’s equation in a multi-connected domain. Inverse Problems in Science and Engineering 2008, 16, 389–411. [Google Scholar] [CrossRef]
  14. Chang, J.R.; Yeih, W.; Shieh, M.H. On the modified Tikhonov’s regularization method for the Cauchy problem of the Laplace equation. Journal of Marine Science and Technology 2001, 9, 113–121. [Google Scholar] [CrossRef]
  15. Cortes, M.; Fraguela, A.; Grebennikov, A.; Morín, M.; Oliveros, J. Stable solution of the Cauchy problem for the Laplace equation using surface potentials (in Spanish). Lecturas Matemáticas, 2011, 32, 61–77. [Google Scholar]
  16. Gong, X.; Yang, S. A local regularization scheme of Cauchy problem for the Laplace equation on a doubly connected domain. Boundary Value Problems 2023, 2023, 30. [Google Scholar] [CrossRef]
  17. Cheng, J.; Hon, Y.C.; Wei, T.; Yamamoto, M. Numerical computation of a Cauchy problem for Laplace’s equation. ZAMM-Journal of Applied Mathematics and MechanicsZeitschrift für Angewandte Mathematik und Mechanik: Applied Mathematics and Mechanics 2001, 81, 665–674. [Google Scholar] [CrossRef]
  18. Borachok, I.; Chapko, R.; Tomas Johansson, B. Numerical solution of a Cauchy problem for Laplace equation in 3-dimensional domains by integral equations. Inverse problems in science and engineering 2016, 24, 1550–1568. [Google Scholar] [CrossRef]
  19. Hào, D.N.; Lesnic, D. The Cauchy problem for Laplace’s equation via the conjugate gradient method. IMA Journal of Applied Mathematics 2000, 65, 199–217. [Google Scholar] [CrossRef]
  20. Caubet, F.; Dardé, J.; Godoy, M. On the data completion problem and the inverse obstacle problem with partial Cauchy data for Laplace’s equation. ESAIM: Control, Optimisation and Calculus of Variations 2019, 25, 30. [Google Scholar] [CrossRef]
  21. Amdouni, S.; Ben Abda, A. The Cauchy problem for Laplace’s equation via a modified conjugate gradient method and energy space approaches. Mathematical Methods in the Applied Sciences 2023, 46, 3560–3582. [Google Scholar] [CrossRef]
  22. León-Velasco, A.; Glowinski, R.; Juárez-Valencia, L.H. On the controllability of diffusion processes on the surface of a torus: A computational approach. Pacific Journal of Optimization 2015, 11, 763–790. [Google Scholar]
  23. Turmetov, B.K.; Nazarova, K.D. On a generalization of the Neumann problem for the Laplace equation. Mathematische Nachrichten 2019, 1–9. [Google Scholar] [CrossRef]
  24. Kirsch, A. An introduction to the mathematical theory of inverse problems, Applied Mathematical Sciences, 2nd ed.; Springer: New York, NY, USA, 2011; Volume 120. [Google Scholar]
Figure 1. Bi-dimensional circular annular region Ω .
Figure 1. Bi-dimensional circular annular region Ω .
Preprints 148430 g001
Figure 2. (a) Exact measurement V (black line) and with error V δ (red line). (b) Exact potential φ and its approximations φ α ( δ ) and φ δ applying regularization and without regularization, corresponding to the Example 1 for δ = 0.1 (see Table 1). We take α ( δ ) = 0.1 and N = 30 in this case.
Figure 2. (a) Exact measurement V (black line) and with error V δ (red line). (b) Exact potential φ and its approximations φ α ( δ ) and φ δ applying regularization and without regularization, corresponding to the Example 1 for δ = 0.1 (see Table 1). We take α ( δ ) = 0.1 and N = 30 in this case.
Preprints 148430 g002
Figure 3. (a) Exact measurement V (black line) and with error V δ (red line). (b) Exact potential φ and its approximations φ α ( δ ) and φ δ applying regularization and without regularization, corresponding to the Example 2 for δ = 0.1 (see Table 2). In this case, we take α ( δ ) = 0.1 and N = 30
Figure 3. (a) Exact measurement V (black line) and with error V δ (red line). (b) Exact potential φ and its approximations φ α ( δ ) and φ δ applying regularization and without regularization, corresponding to the Example 2 for δ = 0.1 (see Table 2). In this case, we take α ( δ ) = 0.1 and N = 30
Preprints 148430 g003
Figure 4. (a) Exact measurement V (black line) and with error V δ (red line). (b) Exact potential φ and its approximations φ α ( δ ) and φ δ , corresponding to the Example 1 for δ = 0.1 (see Table 3). In this case, we take α ( δ ) = 10 2 and N = 30 .
Figure 4. (a) Exact measurement V (black line) and with error V δ (red line). (b) Exact potential φ and its approximations φ α ( δ ) and φ δ , corresponding to the Example 1 for δ = 0.1 (see Table 3). In this case, we take α ( δ ) = 10 2 and N = 30 .
Preprints 148430 g004
Figure 5. (a) Exact measurement V (black line) and with error V δ (red line). (b) Exact potential φ and its approximations φ α ( δ ) and φ δ , corresponding to the Example 2 for δ = 0.1 (see Table 4). In this case, we take α ( δ ) = 10 4 and N = 30 .
Figure 5. (a) Exact measurement V (black line) and with error V δ (red line). (b) Exact potential φ and its approximations φ α ( δ ) and φ δ , corresponding to the Example 2 for δ = 0.1 (see Table 4). In this case, we take α ( δ ) = 10 4 and N = 30 .
Preprints 148430 g005
Figure 6. (a) Exact measurement V (black line) and with error V δ (red line). (b) Exact potential φ and its approximations φ α ( δ ) and φ δ , corresponding to the Example 1 for β = 1.5 , m = 2 and δ = 0.1 (see Table 5). In this case, we take α ( δ ) = 5 × 10 1 and N = 30 .
Figure 6. (a) Exact measurement V (black line) and with error V δ (red line). (b) Exact potential φ and its approximations φ α ( δ ) and φ δ , corresponding to the Example 1 for β = 1.5 , m = 2 and δ = 0.1 (see Table 5). In this case, we take α ( δ ) = 5 × 10 1 and N = 30 .
Preprints 148430 g006
Figure 7. (a) Exact measurement V (black line) and with error V δ (red line). (b) Exact potential φ and its approximations φ α ( δ ) and φ δ , corresponding to the Example 1 for β = 2.5 , m = 3 and δ = 0.1 (see Table 5). In this case, we take α ( δ ) = 2 × 10 1 and N = 20 .
Figure 7. (a) Exact measurement V (black line) and with error V δ (red line). (b) Exact potential φ and its approximations φ α ( δ ) and φ δ , corresponding to the Example 1 for β = 2.5 , m = 3 and δ = 0.1 (see Table 5). In this case, we take α ( δ ) = 2 × 10 1 and N = 20 .
Preprints 148430 g007
Figure 8. (a) Exact measurement V (black line) and with error V δ (red line). (b) Exact potential φ and its approximations φ α ( δ ) and φ δ , corresponding to the Example 2 for β = 7.5 , m = 8 and δ = 0.1 (see Table 6). In this case, we take α ( δ ) = 4.2 × 10 2 and N = 18 .
Figure 8. (a) Exact measurement V (black line) and with error V δ (red line). (b) Exact potential φ and its approximations φ α ( δ ) and φ δ , corresponding to the Example 2 for β = 7.5 , m = 8 and δ = 0.1 (see Table 6). In this case, we take α ( δ ) = 4.2 × 10 2 and N = 18 .
Preprints 148430 g008
Figure 9. (a) Exact measurement V (black line) and with error V δ (red line). (b) Exact potential φ and its approximations φ α ( δ ) and φ δ , corresponding to the Example 1 for β = 7.1 , m = 8 and δ = 0.1 (see Table 7). In this case, we take α ( δ ) = 10 2 and N = 20 .
Figure 9. (a) Exact measurement V (black line) and with error V δ (red line). (b) Exact potential φ and its approximations φ α ( δ ) and φ δ , corresponding to the Example 1 for β = 7.1 , m = 8 and δ = 0.1 (see Table 7). In this case, we take α ( δ ) = 10 2 and N = 20 .
Preprints 148430 g009
Figure 10. (a) Exact measurement V (black line) and with error V δ (red line). (b) Exact potential φ and its approximations φ α ( δ ) and φ δ , corresponding to the Example 1 for β = 7.9999999 , m = 8 and δ = 0.1 (see Table 8). In this case, we take α ( δ ) = 2 × 10 8 and N = 30 .
Figure 10. (a) Exact measurement V (black line) and with error V δ (red line). (b) Exact potential φ and its approximations φ α ( δ ) and φ δ , corresponding to the Example 1 for β = 7.9999999 , m = 8 and δ = 0.1 (see Table 8). In this case, we take α ( δ ) = 2 × 10 8 and N = 30 .
Preprints 148430 g010
Figure 11. (a) Exact measurement V (black line) and with error V δ (red line). (b) Exact potential φ and its approximations φ α ( δ ) and φ δ , corresponding to the Example 1 for β = 6.3 , m = 12 and δ = 0.1 (see Table 9). In this case, we take α ( δ ) = 10 8 and N = 20 .
Figure 11. (a) Exact measurement V (black line) and with error V δ (red line). (b) Exact potential φ and its approximations φ α ( δ ) and φ δ , corresponding to the Example 1 for β = 6.3 , m = 12 and δ = 0.1 (see Table 9). In this case, we take α ( δ ) = 10 8 and N = 20 .
Preprints 148430 g011
Figure 12. (a) Exact measurement V (black line) and with error V δ (red line). (b) Exact potential φ and its approximations φ α ( δ ) and φ δ , corresponding to the Example 2 for β = 0.5 , m = 8 and δ = 0.1 (see Table 10). In this case, we take α ( δ ) = 5 × 10 17 and N = 30 .
Figure 12. (a) Exact measurement V (black line) and with error V δ (red line). (b) Exact potential φ and its approximations φ α ( δ ) and φ δ , corresponding to the Example 2 for β = 0.5 , m = 8 and δ = 0.1 (see Table 10). In this case, we take α ( δ ) = 5 × 10 17 and N = 30 .
Preprints 148430 g012
Figure 13. (a) Exact measurement V (black line) and with error V δ (red line). (b) Exact potential φ and its approximations φ α ( δ ) and φ δ , corresponding to the Example 1 for β = 0.0001 , m = 3 and δ = 0.1 (see Table 11). In this case, we take α ( δ ) = 10 7 and N = 20 .
Figure 13. (a) Exact measurement V (black line) and with error V δ (red line). (b) Exact potential φ and its approximations φ α ( δ ) and φ δ , corresponding to the Example 1 for β = 0.0001 , m = 3 and δ = 0.1 (see Table 11). In this case, we take α ( δ ) = 10 7 and N = 20 .
Preprints 148430 g013
Figure 14. (a) Exact measurement V (black line) and with error V δ (red line). (b) Exact potential φ and its approximations φ α ( δ ) and φ δ , corresponding to the Example 1 for β = 4.9 , m = 12 and δ = 0.1 (see Table 11). In this case, we take α ( δ ) = 10 12 and N = 20 .
Figure 14. (a) Exact measurement V (black line) and with error V δ (red line). (b) Exact potential φ and its approximations φ α ( δ ) and φ δ , corresponding to the Example 1 for β = 4.9 , m = 12 and δ = 0.1 (see Table 11). In this case, we take α ( δ ) = 10 12 and N = 20 .
Preprints 148430 g014
Figure 15. (a) Exact measurement V (black line) and with error V δ (red line). (b) Exact potential φ and its approximations φ α ( δ ) and φ δ , corresponding to the Example 2 for β = 5.9999 , m = 8 and δ = 0.1 (see Table 12). In this case, we take α ( δ ) = 1.3 × 10 1 and N = 30 .
Figure 15. (a) Exact measurement V (black line) and with error V δ (red line). (b) Exact potential φ and its approximations φ α ( δ ) and φ δ , corresponding to the Example 2 for β = 5.9999 , m = 8 and δ = 0.1 (see Table 12). In this case, we take α ( δ ) = 1.3 × 10 1 and N = 30 .
Preprints 148430 g015
Figure 16. (a) Exact measurement V (black line) and with error V δ (red line). (b) Exact potential φ and its approximations φ α ( δ ) and φ δ , corresponding to the Example 2 for β = 6.1 , m = 11 and δ = 0.1 (see Table 12). In this case, we take α ( δ ) = 10 4 and N = 30 .
Figure 16. (a) Exact measurement V (black line) and with error V δ (red line). (b) Exact potential φ and its approximations φ α ( δ ) and φ δ , corresponding to the Example 2 for β = 6.1 , m = 11 and δ = 0.1 (see Table 12). In this case, we take α ( δ ) = 10 4 and N = 30 .
Preprints 148430 g016
Table 1. Numerical results applying TRM to solve the IP related to the classical Cauchy problem (2), for φ ( x , y ) = x 2 y 2 , ( x , y ) S 1 , and different values of δ and N.
Table 1. Numerical results applying TRM to solve the IP related to the classical Cauchy problem (2), for φ ( x , y ) = x 2 y 2 , ( x , y ) S 1 , and different values of δ and N.
δ N α ( δ ) RE ( V , V δ ) RE ( φ , φ α ( δ ) ) RE ( φ , φ δ )
0 20 0 0 0 0
0.1 20 0.1 0.1069 0.1465 0.8224
0.1 25 0.1 0.1034 0.1471 1.6048
0.1 30 0.1 0.1126 0.1435 3.0063
0.01 20 0.01 0.0102 0.0342 0.0663
0.01 25 0.01 0.0112 0.0360 0.2137
0.01 30 0.01 0.0114 0.0362 0.4820
0.001 20 0.001 9.0770 × 10 4 0.0050 0.0057
0.001 25 0.001 8.8517 × 10 4 0.0068 0.0122
0.001 30 0.001 9.5479 × 10 4 0.0083 0.0354
Table 2. Numerical results applying TRM to solve the IP related to the classical Cauchy problem (2), for φ ( x , y ) = e x sin ( y ) , ( x , y ) S 1 and different values of δ and N.
Table 2. Numerical results applying TRM to solve the IP related to the classical Cauchy problem (2), for φ ( x , y ) = e x sin ( y ) , ( x , y ) S 1 and different values of δ and N.
δ N α ( δ ) RE ( V , V δ ) RE ( φ , φ α ( δ ) ) RE ( φ , φ δ )
0 18 0 0 2.5338 × 10 17 2.4537 × 10 17
0.1 18 0.1 0.1161 0.1590 0.8005
0.1 25 0.1 0.1125 0.1571 1.6366
0.1 30 0.1 0.1340 0.1512 5.7825
0.01 18 0.01 0.0117 0.0357 0.0509
0.01 25 0.01 0.0105 0.0392 0.1485
0.01 30 0.01 0.0112 0.0364 0.3478
0.001 18 0.001 8.8274 × 10 4 0.0046 0.0048
0.001 25 0.001 9.9199 × 10 4 0.0095 0.0162
0.001 30 0.001 0.0011 0.0099 0.0423
Table 3. Numerical results applying TRM to solve IP related to the fractional Cauchy problem (12), for φ ( x , y ) = x 2 y 2 , ( x , y ) S 1 , and different values of δ and N.
Table 3. Numerical results applying TRM to solve IP related to the fractional Cauchy problem (12), for φ ( x , y ) = x 2 y 2 , ( x , y ) S 1 , and different values of δ and N.
δ N α ( δ ) β m RE ( V , V δ ) RE ( φ , φ α ( δ ) ) RE ( φ , φ δ )
0 20 0 0.5 1 0 1.1102 × 10 16 0
0.1 20 1 × 10 2 0.5 1 0.0970 0.0617 0.0880
0.1 25 1 × 10 2 0.5 1 0.0979 0.0719 0.0990
0.1 30 1 × 10 2 0.5 1 0.1038 0.0775 0.1217
0.01 20 1 × 10 4 0.5 1 0.0093 0.0037 0.0039
0.01 25 1 × 10 4 0.5 1 0.0091 0.0070 0.0070
0.01 30 1 × 10 4 0.5 1 0.0127 0.0072 0.0073
0.001 20 1 × 10 6 0.5 1 9.6950 × 10 4 8.9805 × 10 4 8.9826 × 10 4
0.001 25 1 × 10 6 0.5 1 8.3006 × 10 4 3.4557 × 10 4 3.4620 × 10 4
0.001 30 1 × 10 6 0.5 1 9.8327 × 10 4 5.4898 × 10 4 5.4925 × 10 4
Table 4. Numerical results applying TRM to solve IP related to the fractional Cauchy problem (12), for φ ( x , y ) = e x sin ( y ) , ( x , y ) S 1 , and different values of δ and N.
Table 4. Numerical results applying TRM to solve IP related to the fractional Cauchy problem (12), for φ ( x , y ) = e x sin ( y ) , ( x , y ) S 1 , and different values of δ and N.
δ N α ( δ ) β m RE ( V , V δ ) RE ( φ , φ α ( δ ) ) RE ( φ , φ δ )
0 18 0 0.5 1 0 2.4537 × 10 17 2.4537 × 10 17
0.1 18 1 × 10 4 0.5 1 0.1292 0.1196 0.1212
0.1 25 1 × 10 4 0.5 1 0.1732 0.1238 0.1296
0.1 30 1 × 10 4 0.5 1 0.1921 0.0624 0.0672
0.01 18 1 × 10 5 0.5 1 0.0147 0.0126 0.0129
0.01 25 1 × 10 5 0.5 1 0.0166 0.0124 0.0129
0.01 30 1 × 10 5 0.5 1 0.0177 0.0069 0.0071
0.001 18 1 × 10 6 0.5 1 0.0012 8.6623 × 10 4 9.1811 × 10 4
0.001 25 1 × 10 6 0.5 1 0.0017 8.6801 × 10 4 9.1904 × 10 4
0.001 25 1 × 10 6 0.5 1 0.0018 7.3211 × 10 4 7.7961 × 10 4
Table 5. Numerical results applying TRM to solve IP related to the fractional Cauchy problem (12) for δ = 0.1 and different values of β and m, where φ ( x , y ) = x 2 y 2 , ( x , y ) S 1 .
Table 5. Numerical results applying TRM to solve IP related to the fractional Cauchy problem (12) for δ = 0.1 and different values of β and m, where φ ( x , y ) = x 2 y 2 , ( x , y ) S 1 .
N α ( δ ) β m RE ( V , V δ ) RE ( φ , φ α ( δ ) ) RE ( φ , φ δ )
20 1 × 10 1 1.5 2 0.1027 0.0360 0.0392
25 8 × 10 1 1.5 2 0.1017 0.0518 0.0819
30 5 × 10 1 1.5 2 0.1136 0.0597 0.0718
20 2 × 10 1 2.5 3 0.0936 0.0508 0.4857
20 1 × 10 1 3.5 4 0.0969 0.0474 0.3523
20 1 × 10 0 4.5 5 0.0915 0.0421 1.5924
20 1 × 10 2 5.5 6 0.1112 0.0248 1.2606
20 1 × 10 1 6.5 7 0.1078 0.0366 5.8758
20 1 × 10 2 7.5 8 0.1045 0.0351 2.2946
20 1 × 10 2 8.5 9 0.0916 0.0197 16.6149
20 1 × 10 3 9.5 10 0.0996 0.0274 21.0258
20 1 × 10 3 10.5 11 0.0939 0.0176 46.6720
20 1 × 10 3 11.5 12 0.0861 0.0407 33.8060
Table 6. Numerical results applying TRM to solve IP related to the fractional Cauchy problem (12) for δ = 0.1 and different values of β and m, where φ ( x , y ) = e x sin ( y ) , ( x , y ) S 1 .
Table 6. Numerical results applying TRM to solve IP related to the fractional Cauchy problem (12) for δ = 0.1 and different values of β and m, where φ ( x , y ) = e x sin ( y ) , ( x , y ) S 1 .
N α ( δ ) β m RE ( V , V δ ) RE ( φ , φ α ( δ ) ) RE ( φ , φ δ )
18 1 × 10 2 1.5 2 0.1279 0.0342 0.0411
25 1 × 10 2 1.5 2 0.1780 0.0258 0.0264
30 1 × 10 2 1.5 2 0.1732 0.0439 0.0509
18 9 × 10 4 2.5 3 0.1629 0.1437 0.1504
18 4 × 10 1 3.5 4 0.1461 0.0931 0.3543
18 1.4 × 10 1 4.5 5 0.1466 0.1385 7.4132
18 1 × 10 1 5.5 6 0.1757 0.3306 9.1616
18 1 × 10 1 6.5 7 0.1512 0.3654 478.6290
18 4.2 × 10 2 7.5 8 0.1643 0.3822 310.6255
18 3 × 10 5 8.5 9 0.1732 0.8982 633.1135
18 2 × 10 7 9.5 10 0.2062 0.9546 4.0208 × 10 3
18 2 × 10 7 10.5 11 0.1712 0.8948 1.9672 × 10 5
18 8 × 10 8 11.5 12 0.1636 0.9326 2.2607 × 10 5
Table 7. Numerical results applying TRM to solve the IP related to the fractional Cauchy problem (12) for δ = 0.1 and different values of β and m, where φ ( x , y ) = x 2 y 2 , ( x , y ) S 1 .
Table 7. Numerical results applying TRM to solve the IP related to the fractional Cauchy problem (12) for δ = 0.1 and different values of β and m, where φ ( x , y ) = x 2 y 2 , ( x , y ) S 1 .
N α ( δ ) β m RE ( V , V δ ) RE ( φ , φ α ( δ ) ) RE ( φ , φ δ )
20 1 × 10 3 0.1 1 0.1093 0.0565 0.0765
20 1 × 10 5 0.0001 1 0.1032 0.0699 0.0705
20 1 × 10 12 0.0000001 1 0.1040 0.0394 0.0394
20 1 × 10 3 0.9 1 0.0922 0.0809 0.0817
20 1 × 10 8 0.9999 1 0.0988 0.0581 0.0583
20 1 × 10 12 0.9999999 1 0.0967 0.0921 0.1277
20 1 × 10 1 1.1 2 0.1081 0.0563 0.0647
20 5 × 10 2 1.0001 2 0.0931 0.0791 0.0984
20 1 × 10 2 1.0000001 2 0.0979 0.0901 0.0953
20 1 × 10 1 1.9 2 0.0980 0.0726 0.0746
20 1 × 10 5 1.9999 2 0.0971 0.0449 0.0488
20 1 × 10 11 1.9999999 2 0.1033 0.0997 0.1105
20 1 × 10 2 2.1 3 0.0998 0.0392 0.2108
20 1 × 10 2 2.0001 3 0.0905 0.0479 0.3250
20 1 × 10 2 2.0000001 3 0.0894 0.0264 0.1021
20 1 × 10 1 2.9 3 0.1110 0.0860 0.1731
20 1 × 10 5 2.9999 3 0.0999 0.0804 0.4756
20 1 × 10 11 2.9999999 3 0.1027 0.0672 0.3546
20 1 × 10 0 3.1 4 0.1061 0.0328 0.1583
20 1 × 10 2 3.9 4 0.1061 0.0738 0.5624
20 1 × 10 1 4.1 5 0.0863 0.0421 1.8856
20 1 × 10 0 4.9 5 0.1030 0.0401 0.2528
20 1 × 10 1 5.1 6 0.0751 0.0368 1.5197
20 1 × 10 2 5.9 6 0.0957 0.0438 1.0323
20 1 × 10 0 6.1 7 0.0917 0.0267 5.3155
20 1 × 10 0 6.9 7 0.1020 0.0600 5.5627
20 1 × 10 2 7.1 8 0.0935 0.0199 3.3483
20 1 × 10 2 7.0000001 8 0.0827 0.0206 1.7258
20 1 × 10 3 7.9 8 0.0870 0.0212 4.5019
20 1 × 10 8 7.9999999 8 0.0986 0.0454 4.2454
20 1 × 10 1 8.1 9 0.1155 0.0276 14.3075
20 1 × 10 2 8.9 9 0.0953 0.0342 34.0155
20 1 × 10 2 9.1 10 0.1013 0.0508 20.6047
20 1 × 10 4 9.9 10 0.0972 0.0095 24.1306
20 1 × 10 2 10.1 11 0.0941 0.0271 35.0730
20 1 × 10 3 10.9 11 0.0956 0.0090 90.0697
20 1 × 10 3 11.1 12 0.0951 0.0226 65.9229
20 1 × 10 4 11.9 12 0.0967 0.0475 101.7022
Table 8. Numerical results applying TRM to solve IP related to the fractional Cauchy problem (12) for δ = 0.1 and different values of β and m, where φ ( x , y ) = e x sin ( y ) , ( x , y ) S 1
Table 8. Numerical results applying TRM to solve IP related to the fractional Cauchy problem (12) for δ = 0.1 and different values of β and m, where φ ( x , y ) = e x sin ( y ) , ( x , y ) S 1
N α ( δ ) β m RE ( V , V δ ) RE ( φ , φ α ( δ ) ) RE ( φ , φ δ )
30 1 × 10 5 0.1 1 0.1429 0.0210 0.0230
30 1 × 10 6 0.0001 1 0.1849 0.0396 0.0401
30 1 × 10 13 0.0000001 1 0.1762 0.0314 0.0314
30 1 × 10 4 0.9 1 0.1674 0.0448 0.0452
30 1 × 10 8 0.9999 1 0.1299 0.0544 0.0575
30 1 × 10 15 0.9999999 1 0.1748 0.0271 0.0272
30 1 × 10 5 1.1 2 0.1613 0.0454 0.0454
30 1 × 10 5 1.0001 2 0.1829 0.0492 0.0493
30 1 × 10 5 1.0000001 2 0.1842 0.0584 0.0585
30 1 × 10 1 1.9 2 0.1739 0.0353 0.0431
30 1 × 10 6 1.9999 2 0.1870 0.0380 0.0413
30 1 × 10 12 1.9999999 2 0.1690 0.0609 0.0674
30 1 × 10 4 2.1 3 0.2071 0.0760 0.1016
30 1 × 10 8 2.0001 3 0.2114 0.1688 0.1689
30 × 10 9 2.0000001 3 0.1877 0.1176 0.1176
30 3 × 10 2 2.9 3 0.2256 0.1156 0.2868
30 1 × 10 6 2.9999 3 0.1676 0.0761 0.4059
30 5 × 10 13 2.9999999 3 0.2155 0.1581 0.1751
30 5 × 10 2 3.1 4 0.2057 0.1258 0.1717
30 1 × 10 0 3.9 4 0.2001 0.0881 0.3453
30 5 × 10 2 4.1 5 0.2545 0.3090 16.5294
30 1 × 10 0 4.9 5 0.2011 0.2408 6.8619
30 4 × 10 0 5.1 6 0.1983 0.4226 12.4482
30 5 × 10 1 5.9 6 0.2049 0.3878 7.9340
30 7 × 10 1 6.1 7 0.2124 0.4678 243.7232
30 6 × 10 1 6.9 7 0.2553 0.5497 363.0725
30 4 × 10 1 7.1 8 0.2463 0.4505 123.0513
30 5 × 10 1 7.0001 8 0.2452 0.2910 240.1527
30 2 × 10 1 7.0000001 8 0.2335 0.1839 119.2328
30 2 × 10 3 7.9 8 0.2184 0.1710 402.7594
30 1.3 × 10 2 7.9999 8 0.2308 0.3440 181.8997
30 2 × 10 8 7.9999999 8 0.1833 0.5806 164.4764
30 3 × 10 4 8.1 9 0.2548 0.8971 3.4981 × 10 3
30 2 × 10 6 8.9 9 0.2054 0.9059 2.8978 × 10 3
30 2 × 10 6 9.1 10 0.2260 0.8857 6.8133 × 10 3
30 7 × 10 7 9.9 10 0.2241 0.8896 6.2431 × 10 3
30 4 × 10 6 10.1 11 0.2233 0.9011 2.5172 × 10 5
30 2 × 10 8 10.9 11 0.2069 0.8934 1.9773 × 10 5
30 5 × 10 8 11.1 12 0.2479 0.9212 1.1346 × 10 5
30 5 × 10 9 11.9 12 0.2372 0.8996 3.4904 × 10 5
Table 9. Numerical results applying TRM to solve the IP related to the fractional Cauchy problem (12) for δ = 0.1 and different values of β and m, where φ ( x , y ) = x 2 y 2 , ( x , y ) S 1 .
Table 9. Numerical results applying TRM to solve the IP related to the fractional Cauchy problem (12) for δ = 0.1 and different values of β and m, where φ ( x , y ) = x 2 y 2 , ( x , y ) S 1 .
N α ( δ ) β m RE ( V , V δ ) RE ( φ , φ α ( δ ) ) RE ( φ , φ δ )
20 1 × 10 4 0.5 2 0.1037 0.0369 0.0371
25 1 × 10 4 0.5 2 0.1043 0.0846 0.0850
30 1 × 10 4 0.5 2 0.1123 0.0947 0.0952
20 1 × 10 7 0.1 3 0.0953 0.0558 0.3293
20 1 × 10 5 0.8 3 0.0928 0.0397 0.1176
20 1 × 10 3 1.6 4 0.1031 0.0692 0.3781
20 1 × 10 0 2.9 4 0.0988 0.0550 0.2616
20 1 × 10 10 0.5 5 0.1063 0.0493 2.3272
20 1 × 10 2 3.5 5 0.1002 0.0479 0.6521
20 1 × 10 10 0.5 6 0.0824 0.0664 1.0640
20 1 × 10 3 3.4 6 0.1156 0.0541 1.0860
20 1 × 10 16 0.5 7 0.1093 0.0251 11.3550
20 1 × 10 5 4.2 7 0.0871 0.0203 4.0183
20 1 × 10 16 0.5 8 0.0915 0.0280 3.7583
20 1 × 10 6 3.7 8 0.1097 0.0212 4.3335
20 1 × 10 22 0.5 9 0.0969 0.0195 21.9486
20 1 × 10 6 5.2 9 0.0841 0.0345 9.1221
20 1 × 10 22 0.5 10 0.1022 0.0290 22.9009
20 1 × 10 5 7.6 10 0.1073 0.0181 7.2447
20 1 × 10 28 0.5 11 0.0936 0.0300 122.7548
20 1 × 10 8 6.6 11 0.0886 0.0121 91.7074
20 1 × 10 28 0.5 12 0.0926 0.0149 30.3739
20 1 × 10 8 6.3 12 0.1007 0.0329 36.2964
Table 10. Numerical results applying TRM to solve IP related to the fractional Cauchy problem (12) for δ = 0.1 , β = 0.5 and different values of m, where φ ( x , y ) = e x sin ( y ) , ( x , y ) S 1 .
Table 10. Numerical results applying TRM to solve IP related to the fractional Cauchy problem (12) for δ = 0.1 , β = 0.5 and different values of m, where φ ( x , y ) = e x sin ( y ) , ( x , y ) S 1 .
N α ( δ ) β m RE ( V , V δ ) RE ( φ , φ α ( δ ) ) RE ( φ , φ δ )
20 1 × 10 4 0.5 2 0.1422 0.0274 0.0284
25 1 × 10 4 0.5 2 0.1537 0.0496 0.0551
30 1 × 10 4 0.5 2 0.1524 0.0585 0.0627
30 9 × 10 10 0.5 3 0.1619 0.1437 0.1438
30 5 × 10 8 0.5 4 0.1960 0.1656 0.2199
30 7 × 10 12 0.5 5 0.2014 0.1376 13.9836
30 4 × 10 12 0.5 6 0.2265 0.2261 8.6601
30 5 × 10 17 0.5 7 0.2419 0.2709 209.3490
30 5 × 10 17 0.5 8 0.2131 0.4002 205.2009
30 3 × 10 19 0.5 9 0.2154 0.8873 2.6220 × 10 3
30 1.4 × 10 19 0.5 10 0.2010 0.8863 4.1567 × 10 3
30 6 × 10 24 0.5 11 0.2148 0.9054 1.3299 × 10 5
30 3 × 10 24 0.5 12 0.2021 0.8935 1.6833 × 10 5
Table 11. Numerical results applying TRM to solve the IP related to the fractional Cauchy problem (12) for δ = 0.1 and different values of β and m, where φ ( x , y ) = x 2 y 2 , ( x , y ) S 1 .
Table 11. Numerical results applying TRM to solve the IP related to the fractional Cauchy problem (12) for δ = 0.1 and different values of β and m, where φ ( x , y ) = x 2 y 2 , ( x , y ) S 1 .
N α ( δ ) β m RE ( V , V δ ) RE ( φ , φ α ( δ ) ) RE ( φ , φ δ )
20 1 × 10 4 0.1 2 0.0981 0.0294 0.0312
20 1 × 10 4 0.0001 2 0.0880 0.0665 0.0702
20 1 × 10 4 0.0000001 2 0.0877 0.0420 0.0436
20 1 × 10 2 0.9 2 0.0825 0.0252 0.0301
20 1 × 10 2 0.9999 2 0.0896 0.0355 0.0383
20 1 × 10 2 0.9999999 2 0.0988 0.0497 0.0524
20 1 × 10 7 0.1 3 0.0984 0.0736 0.4041
20 1 × 10 7 0.0001 3 0.0988 0.0556 0.2586
20 1 × 10 7 0.0000001 3 0.1063 0.0633 0.5828
20 1 × 10 5 0.9 3 0.0824 0.0632 0.2671
20 1 × 10 4 0.9999 3 0.0940 0.0747 0.4997
20 5 × 10 5 0.9999999 3 0.0843 0.0582 0.2323
20 1 × 10 2 2.1 4 0.1133 0.0813 0.4297
20 1 × 10 0 2.9 4 0.1097 0.0494 0.2746
20 1 × 10 4 3.1 5 0.0841 0.0521 0.5721
20 1 × 10 1 3.9 5 0.0923 0.0284 0.9725
20 1 × 10 1 4.1 6 0.0982 0.0441 1.3912
20 1 × 10 1 4.9 6 0.1192 0.0261 0.2905
20 1 × 10 2 5.1 7 0.1027 0.0331 12.2005
20 1 × 10 0 5.9 7 0.0926 0.0324 2.2300
20 1 × 10 3 5.1 8 0.0928 0.0306 2.3248
20 1 × 10 3 5.0001 8 0.0936 0.0312 5.2064
20 1 × 10 18 5.0000001 8 0.1020 0.0174 1.3253
20 1 × 10 0 5.9 8 0.0967 0.0113 3.4116
20 1 × 10 0 5.9999 8 0.0946 0.0260 7.0605
20 1 × 10 15 5.9999999 8 0.0907 0.0275 1.9174
20 1 × 10 1 7.1 9 0.0849 0.0118 9.9754
20 1 × 10 0 7.9 9 0.0916 0.0224 16.5564
20 1 × 10 13 3.1 10 0.0930 0.0114 20.7949
20 1 × 10 11 3.9 10 0.1054 0.0197 31.4437
20 1 × 10 10 6.1 11 0.0978 0.0207 79.4649
20 1 × 10 7 6.9 11 0.1048 0.0109 59.7459
20 1 × 10 15 4.1 12 0.1035 0.0133 108.9786
20 1 × 10 12 4.9 12 0.0978 0.0278 131.9629
Table 12. Numerical results applying TRM to solve the IP related to the fractional Cauchy problem (12) for δ = 0.1 and different values of β and m, where φ ( x , y ) = e x sin ( y ) , ( x , y ) S 1 .
Table 12. Numerical results applying TRM to solve the IP related to the fractional Cauchy problem (12) for δ = 0.1 and different values of β and m, where φ ( x , y ) = e x sin ( y ) , ( x , y ) S 1 .
N α ( δ ) β m RE ( V , V δ ) RE ( φ , φ α ( δ ) ) RE ( φ , φ δ )
30 1 × 10 5 0.1 2 0.1918 0.0633 0.0669
30 1 × 10 5 0.0001 2 0.1747 0.0510 0.0551
30 1 × 10 5 0.0000001 2 0.1932 0.0408 0.0466
30 1 × 10 3 0.9 2 0.1678 0.0267 0.0338
30 1 × 10 2 0.9999 2 0.1879 0.0538 0.0996
30 1 × 10 3 0.9999999 2 0.1757 0.0330 0.0352
30 7 × 10 9 0.1 3 0.2035 0.1269 0.3288
30 3 × 10 9 0.0001 3 0.1945 0.0741 0.2384
30 6 × 10 10 0.0000001 3 0.1863 0.2035 0.2102
30 7 × 10 7 0.9 3 0.2208 0.1301 0.2493
30 2 × 10 6 0.9999 3 0.2057 0.0770 0.2885
30 5 × 10 7 0.9999999 3 0.2013 0.1809 0.2036
30 1 × 10 5 2.1 4 0.2001 0.1393 0.1397
30 3 × 10 2 2.9 4 0.1984 0.1061 0.2367
30 2 × 10 4 3.1 5 0.2106 0.2788 14.4371
30 6 × 10 3 3.9 5 0.1827 0.2914 6.9833
30 1 × 10 2 4.1 6 0.2299 0.3008 4.2311
30 5 × 10 1 4.9 6 0.1770 0.2723 3.9078
30 3 × 10 3 5.1 7 0.2095 0.1755 297.5818
30 5 × 10 2 5.9 7 0.1969 0.3580 51.0331
30 2 × 10 3 5.1 8 0.2424 0.2924 216.7317
30 3 × 10 3 5.0001 8 0.2004 0.3714 452.3457
30 1.4 × 10 3 5.0000001 8 0.1747 0.3650 239.9826
30 2 × 10 2 5.9 8 0.2001 0.3549 263.7365
30 1.3 × 10 1 5.9999 8 0.1829 0.3781 78.5332
30 5 × 10 1 5.9999999 8 0.2137 0.2490 311.6103
30 1.5 × 10 2 7.1 9 0.2263 0.8972 4.5033 × 10 3
30 1 × 10 4 7.9 9 0.2228 0.8943 4.3085 × 10 3
30 1 × 10 10 3.1 10 0.2658 0.8914 7.9703 × 10 3
30 8 × 10 8 3.9 10 0.2642 0.8948 5.5828 × 10 3
30 1 × 10 4 6.1 11 0.2378 0.9312 2.8572 × 10 5
30 5 × 10 3 6.9 11 0.2089 0.8950 5.1113 × 10 4
30 2 × 10 11 4.1 12 0.2311 0.8945 7.0888 × 10 4
30 4 × 10 9 4.9 12 0.1994 0.9057 7.9818 × 10 4
Table 13. Numerical results applying TRM to solve IP related to the fractional Cauchy problem (12) for δ = 0.1 and different values of β and m, where φ ( x , y ) = x 2 y 2 , ( x , y ) S 1 .
Table 13. Numerical results applying TRM to solve IP related to the fractional Cauchy problem (12) for δ = 0.1 and different values of β and m, where φ ( x , y ) = x 2 y 2 , ( x , y ) S 1 .
N α ( δ ) β m RE ( V , V δ ) RE ( φ , φ α ( δ ) ) RE ( φ , φ δ )
20 1 × 10 6 1.001 1 0.0949 0.0430 0.0432
20 1 × 10 14 1.5 1 0.0860 0.0825 0.0965
20 1 × 10 6 2.0001 2 0.0911 0.0574 0.0581
20 1 × 10 32 3.1 2 0.0809 0.0783 0.0863
20 1 × 10 1 3.01 3 0.0894 0.0278 0.1076
20 1 × 10 45 4.5 3 0.1048 0.0639 0.2370
20 1 × 10 5 4.1 4 0.0942 0.0294 0.1592
20 1 × 10 95 7.1 4 0.1051 0.0495 0.2588
20 1 × 10 4 5.0001 5 0.0792 0.0298 1.3533
20 1 × 10 33 6.1 5 0.0946 0.0165 0.4475
20 1 × 10 6 6.1 6 0.0907 0.0277 0.9987
20 1 × 10 48 7.5 6 0.0867 0.0276 0.6014
20 1 × 10 5 7.1 7 0.0932 0.0109 3.5379
20 1 × 10 50 8.6 7 0.1024 0.0131 3.1745
20 1 × 10 1 8.001 8 0.1135 0.0277 2.2757
20 1 × 10 46 9.4 8 0.0877 0.0180 3.6123
20 1 × 10 2 9.0001 9 0.0935 0.0163 22.9725
20 1 × 10 53 10.7 9 0.0979 0.0342 3.1946
20 1 × 10 1 10.0001 10 0.1046 0.0345 50.3389
20 1 × 10 49 11.5 10 0.0979 0.0179 12.7233
20 1 × 10 0 11.001 11 0.0834 0.0164 12.8627
20 1 × 10 53 12.6 11 0.0915 0.0331 44.9837
20 1 × 10 1 12.0001 12 0.1136 0.0195 121.2423
20 1 × 10 47 13.4 12 0.0822 0.0165 113.4837
20 1 × 10 1 11.5 13 0.0941 0.0155 420.7545
20 1 × 10 3 12.0001 13 0.0950 0.0280 319.2454
20 1 × 10 4 12.5 13 0.1188 0.0187 701.4226
20 1 × 10 1 12.9999 13 0.0925 0.0198 183.4905
20 1 × 10 29 13.5 13 0.0938 0.0219 400.2461
20 1 × 10 51 14.5 13 0.1112 0.0295 319.4336
Table 14. Numerical results applying TRM to solve IP related to the fractional Cauchy problem (12) for δ = 0.1 and different values of β and m, where φ ( x , y ) = e x sin ( y ) , ( x , y ) S 1 .
Table 14. Numerical results applying TRM to solve IP related to the fractional Cauchy problem (12) for δ = 0.1 and different values of β and m, where φ ( x , y ) = e x sin ( y ) , ( x , y ) S 1 .
N α ( δ ) β m RE ( V , V δ ) RE ( φ , φ α ( δ ) ) RE ( φ , φ δ )
30 3 × 10 5 1.001 1 0.1942 0.0575 0.1229
30 3 × 10 13 1.5 1 0.1687 0.0687 0.0965
30 6 × 10 6 2.0001 2 0.1681 0.0606 0.1017
30 1 × 10 32 3.1 2 0.1800 0.0660 0.0763
30 2 × 10 2 3.01 3 0.1855 0.1200 0.5139
30 5 × 10 44 4.5 3 0.2034 0.1517 1.0728
30 3 × 10 3 4.1 4 0.1930 0.0226 0.3616
30 5 × 10 93 7.1 4 0.2236 0.1517 0.4427
30 3.1 × 10 5 5.0001 5 0.2254 0.1550 13.8261
30 1.1 × 10 32 6.1 5 0.2046 0.1057 3.5558
30 6.3 × 10 4 6.0001 6 0.1984 0.1863 8.7178
30 6.4 × 10 46 7.5 6 0.2036 0.1233 4.9854
30 6.5 × 10 4 7.1 7 0.2188 0.3310 253.4635
30 4.4 × 10 36 8.2 7 0.1844 0.2976 36.0590
30 3.4 × 10 4 8.00001 8 0.1944 0.4695 460.0541
30 1.1 × 10 57 9.8 8 0.2512 0.4601 157.1510
30 3 × 10 1 9.0001 9 0.2299 0.8871 7.2299 × 10 3
30 5.1 × 10 57 10.7 9 0.2143 0.8912 4.4110 × 10 3
30 5 × 10 2 10.0001 10 0.2151 0.8907 2.0204 × 10 4
30 1 × 10 53 11.5 10 0.2191 0.8920 2.4527 × 10 3
30 6 × 10 3 11.0001 11 0.2632 0.8857 3.6429 × 10 5
30 9 × 10 50 12.4 11 0.2290 0.9571 1.8509 × 10 5
30 1.3 × 10 5 12.0001 12 0.2451 0.9564 3.7314 × 10 5
30 2.1 × 10 52 13.4 12 0.2211 0.9192 4.5936 × 10 5
30 5.9 × 10 10 11.5 13 0.2168 0.9964 1.3190 × 10 7
30 5 × 10 11 12.0001 13 0.2607 0.9994 1.0836 × 10 5
30 9 × 10 11 12.5 13 0.2326 0.9904 1.0214 × 10 7
30 1.1 × 10 9 12.9999 13 0.2439 0.9890 1.3107 × 10 7
30 1.3 × 10 29 13.5 13 0.2338 0.9895 5.7405 × 10 6
30 1.7 × 10 59 14.5 13 0.2424 0.9899 1.3997 × 10 7
Disclaimer/Publisher’s Note: The statements, opinions and data contained in all publications are solely those of the individual author(s) and contributor(s) and not of MDPI and/or the editor(s). MDPI and/or the editor(s) disclaim responsibility for any injury to people or property resulting from any ideas, methods, instructions or products referred to in the content.
Copyright: This open access article is published under a Creative Commons CC BY 4.0 license, which permit the free download, distribution, and reuse, provided that the author and preprint are cited in any reuse.
Prerpints.org logo

Preprints.org is a free preprint server supported by MDPI in Basel, Switzerland.

Subscribe

Disclaimer

Terms of Use

Privacy Policy

Privacy Settings

© 2026 MDPI (Basel, Switzerland) unless otherwise stated