Submitted:
05 February 2025
Posted:
06 February 2025
Read the latest preprint version here
Abstract
Pyrolysis is a major thermochemical conversion technology utilized in converting biomass to liquid fuel and bioproducts. A major process in this technology is the thermal decomposition of biomass which determines the pyrolysis products distribution. In order to optimize the distribution of these pyrolysis products, it is imperative to understand the thermal decomposition behaviors of the biomass feedstocks. The objective of this study was to investigate the thermal decomposition behaviors of Public Miscanthus and Kanlow Switchgrass using isoconversional methods. Thermogravimetric analysis was carried out by heating the biomass samples from room temperature to 700 ⁰C in an inert condition at heating rates of 5, 15, and 25 ºC/min. Three isoconversional methods (Friedman, Ozawa-Flynn-Wall, and Kissinger-Akhira-Sunrose) were used in estimating the kinetic parameters. The thermal decomposition process for the biomass samples was divided into three broad stages based on the temperature range, namely, moisture & light volatile release (< 200 ℃), devolatilization & biochar formation (200 – 400 ℃), and poly-condensation & biochar aromatization (> 400 ℃). The estimated activation energy values were influenced by the fractional conversion. There was a variation in the activation energy values estimated by the isoconversional methods, which is due to the difference in their estimation approach.
Keywords:
1. Introduction
2. Materials and Methods
2.1. Materials
2.2. Thermogravimetric Analysis
2.3. Thermal Decomposition Kinetics
2.4. Kinetic Analysis
2.4.1. Friedman Method
2.4.2. Ozawa-Flynn-Wall (OFW) Method
2.4.3. Kissinger-Akahira-Sunrose (KAS) Method
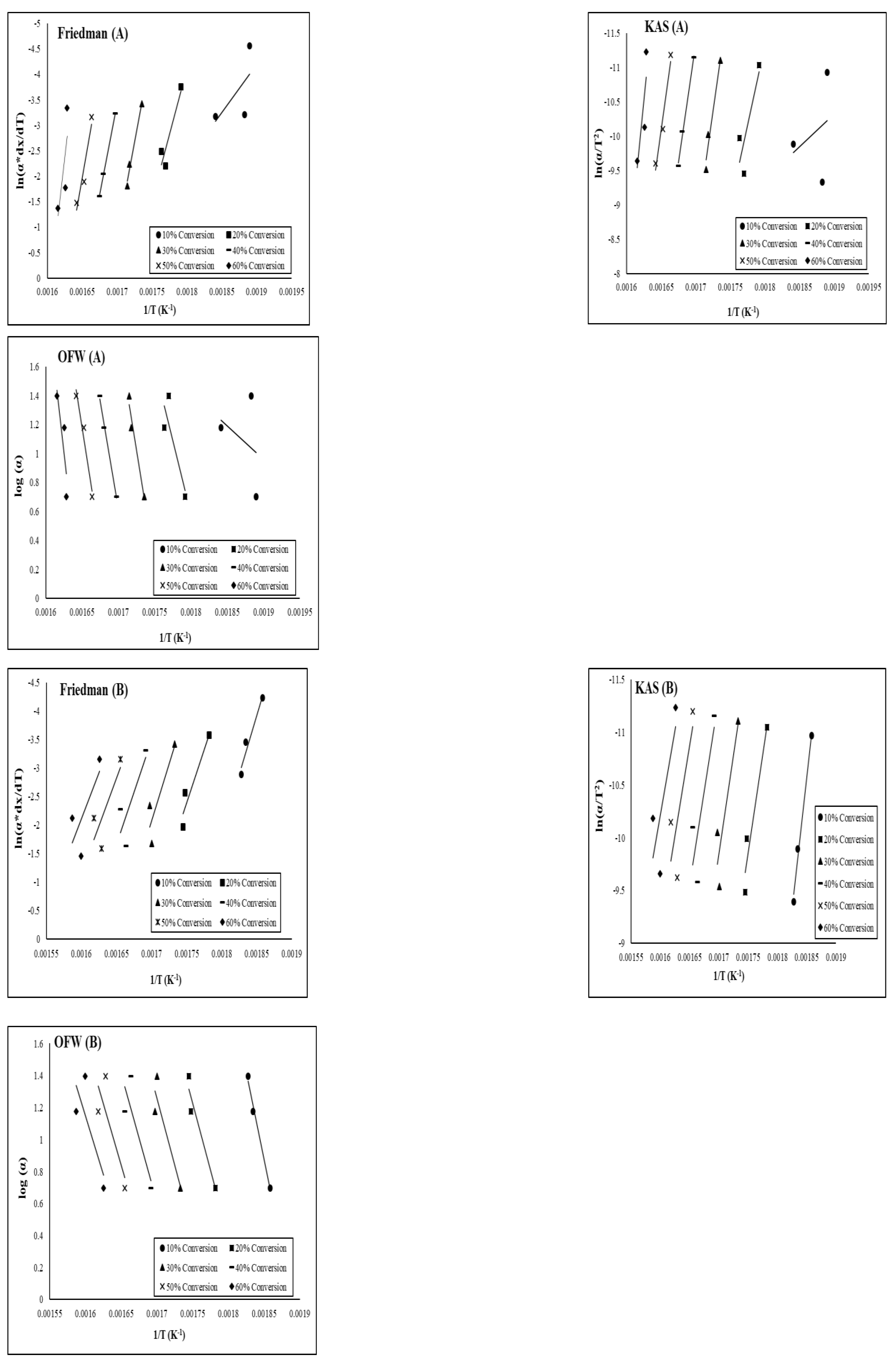
3. Results and Discussion
3.1. Thermogravimetric Analysis
3.2. Kinetic Analysis
4. Conclusions
Author Contributions
Funding
Conflicts of Interest
References
- Oginni, O.; Singh, K.; Zondlo, J.W. Pyrolysis of dedicated bioenergy crops grown on reclaimed mine land in West Virginia. Journal of Analytical and Applied Pyrolysis 2017, 123, 319–329. [Google Scholar]
- Mohan, D.; Pittman, C.U.; Steele, P.H. ; Pyrolysis of wood/biomass for bio-oil: A critical review. Energy & Fuels 2006, 20, 848–889. [Google Scholar]
- Raveendran, K.; Ganesh, A.; Khilar, K.C. Pyrolysis characteristics of biomass and biomass components. Fuel 1996, 75, 987–998. [Google Scholar]
- Gaur, S.; Reed, T.B. Thermal data for natural and synthetic fuels; Marcel Decker, Inc.: New York, NY, 1998. [Google Scholar]
- Li, C.; Zhang, J.; Gu, J.; Yuan, H.; Chen, Y. Insight into the role of varied acid-base sites on fast pyrolysis kinetics and mechanism of cellulose. Waste Management 2021, 135, 140–149. [Google Scholar]
- Lin, Y.-Y.; Chen, W.-H.; Colin, B.; Lin, B.-J.; Leconte, F.; Petrissans, A.; Petrissans, M. Pyrolysis kinetics of potassium-impregnated rubberwood analyzed by evolutionary computation. Bioresource Technology 2021, 319, 124145. [Google Scholar]
- Collard, F.X.; Blin, J. A review on pyrolysis of biomass constituents: Mechanisms and composition of the products obtained from the conversion of cellulose, hemicelluloses and lignin. Renewable and Sustainable Energy Reviews 2014, 38, 594–608. [Google Scholar]
- Amini, E.; Safdari, M.-S.; Johnson, N.; Weise, D.R.; Fletcher, T.H. Pyrolysis kinetics of wildland vegetation using model-fitting methods. Journal of Analytical and Applied Pyrolysis 2021, 157, 105167. [Google Scholar]
- White, J.E.; Catallo, W.J.; Legendre, B.L. Biomass pyrolysis kinetics: A comparative critical review with relevant agricultural residue case studies. Journal of Analytical and Applied Pyrolysis 2011, 91, 1–33. [Google Scholar]
- Lee, S.B.; Fasina, O. TG-FTIR analysis of switchgrass pyrolysis. Journal of Analytical and Applied Pyrolysis 2009, 86, 39–43. [Google Scholar] [CrossRef]
- Fasina, O.; Littlefield, B. TG-FTIR analysis of pecan shells thermal decomposition. Fuel Processing Technology 2012, 102, 61–66. [Google Scholar]
- Mishra, R.K.; Mohanty, K. Pyrolysis kinetics and thermal behavior of waste sawdust biomass using thermogravimetric analysis. Bioresource Technology 2018, 251, 63–74. [Google Scholar] [CrossRef] [PubMed]
- Niu, H.; Liu, N. Thermal decomposition of pine branch: Unified kinetic model on pyrolytic reactions in pyrolysis and combustion. Fuel 2015, 160, 339–345. [Google Scholar] [CrossRef]
- Rego, F.; Dias, A.P.S.; Casquilho, M.; Rosa, F.C.; Rodrigues, A. Pyrolysis kinetics of short rotation coppice poplar biomass. Energy 2020, 207, 118191. [Google Scholar] [CrossRef]
- Dong, Z.; Cai, J. Isoconversional kinetic analysis of sweet sorghum bagasse pyrolysis by modified logistic mixture model. Journal of the Energy Institute 2018, 91, 513–518. [Google Scholar] [CrossRef]
- Lewandowski, I.; Scurlock, J.M.O.; Lindvall, E.; Christou, M. The development and current status of perennial rhizomatous grasses as energy crops in the US and Europe. Biomass and Bioenergy 2003, 25, 335–361. [Google Scholar] [CrossRef]
- Oginni, O.; Singh, K. Pyrolysis characteristics of Arundo donax harvested from a reclaimed mine land. Industrial Crops and Products 2019, 133, 44–53. [Google Scholar] [CrossRef]
- Cortes, A.M.; Bridgwater, A.V. Kinetic study of the pyrolysis of miscanthus and its acid hydrolysis residue by thermogravimetric analysis. Fuel Processing Technology 2015, 138, 184–193. [Google Scholar] [CrossRef]
- Sadaka, S.; Liechty, H.; Pelkki, M.; Blazier, M. Pyrolysis and combustion kinetics of raw and carbonized cottonwood and switchgrass agroforests. Bioresources 2015, 10, 4498–4518. [Google Scholar] [CrossRef]
- Sadaka, S.; Sharara, M.A.; Ashworth, A.; Keyser, P.; Allen, F.; Wright, A. Characterization of biochar from switchgrass carbonization. 2014; 7, 548–567. [Google Scholar]
- Mohamed, B.; Bi, X.; Li, L.Y.; Leng, L.; Salama, E.-S.; Zhou, H. Bauxite residue as a catalyst for microwave-assisted pyrolysis of switchgrass to high quality bio-oil and biochar. Chemical Engineering Journal 2021, 426, 131294. [Google Scholar] [CrossRef]
- Chaganti, V.N.; Ganjegunte, G.; Meki, M.N.; Kiniry, J.R.; Niu, G. Switchgrass biomass yield and composition and soil quality as affected by treated wastewater irrigation in an arid environment. Biomass and Bioenergy 2021, 151, 106160. [Google Scholar] [CrossRef]
- Friedman, H.L. Kinetics of thermal degradation of char-forming plastics from thermogravimetry. Application to a phenolic plastic. Journal of Polymer Science Part C: Polymer Symposia 1964, 6, 183–195. [Google Scholar] [CrossRef]
- Soria-Verdugo, A.; Goos, E.; García-Hernando, N.; Riedel, U. Analyzing the pyrolysis kinetics of several microalgae species by various differential and integral isoconversional kinetic methods and the Distributed Activation Energy Model. Algal Research 2018, 32, 11–29. [Google Scholar] [CrossRef]
- Jin, W.; Singh, K.; Zondlo, J. Pyrolysis kinetics of physical components of wood and wood-polymers using isoconversion method. Agriculture 2013, 3, 12–32. [Google Scholar] [CrossRef]
- Xiong, Z.; Wang, Y.; Syed-Hassan, S.S.A.; Hu, X.; Han, H.; Su, S.; Xu, K.; Jiang, L.; Guo, J.; Berthold, E.E.S.; Hu, S.; Xiang, J. Effects of heating rate on the evolution of bio-oil during its pyrolysis. Energy Conversion and Management 2018, 163, 420–427. [Google Scholar] [CrossRef]
- Oginni, O.; Singh, K. Effect of carbonization temperature on fuel and caffeine adsorption characteristics of white pine and Norway spruce needle derived biochars. Industrial Crops and Products 2021, 162, 113261. [Google Scholar] [CrossRef]
- Dietenberger, M.A.; Hasburgh, L.E. Wood products: Thermal degradation and fire, in: Reference Module in Materials Science and Materials Engineering, Elsevier, 2016.



| Property | Kanlow Switchgrass [1] |
Public Miscanthus [1] | Miscanthus [18] |
Switchgrass [19,20,21,22] |
| Structural composition (%) | ||||
| Lignin | 9.27 | 10.31 | 21.90 | 6.3 – 7.3 |
| Hemicellulose | 31.56 | 28.91 | 29.60 | 28.5 – 31 |
| Cellulose | 36.27 | 36.94 | 40.80 | 35 – 39 |
| Extractives | 19.84 | 20.14 | 7.70 | - |
| Proximate composition (% dry basis) | ||||
| Fixed carbon | 17.03 | 18.06 | 25.00 | 17 – 21 |
| Volatile | 80.59 | 80.57 | 72.90 | 73 – 77 |
| Ash | 1.21 | 1.37 | 2.00 | 3.8 – 6.3 |
| Fractional Conversion | Public Miscanthus | Kanlow Switchgrass | |||||
| Friedman E (kJ/mol) |
KAS E (kJ/mol) |
OFW E (kJ/mol) |
Friedman E (kJ/mol) |
KAS E (kJ/mol) |
OFW E (kJ/mol) |
||
| 0.1 | 156.80 | 78.59 | 83.22 | 340.64 | 414.23 | 402.22 | |
| 0.2 | 426.08 | 386.35 | 376.29 | 310.21 | 310.99 | 304.49 | |
| 0.3 | 614.48 | 586.47 | 566.87 | 334.80 | 313.11 | 306.76 | |
| 0.4 | 590.51 | 565.82 | 547.43 | 301.32 | 298.50 | 293.10 | |
| 0.5 | 639.80 | 602.92 | 582.91 | 280.28 | 283.37 | 278.95 | |
| 0.6 | 984.09 | 833.04 | 801.93 | 270.40 | 266.99 | 263.73 | |
| Average | 568.63 | 508.87 | 493.11 | 306.28 | 314.53 | 308.21 | |
Disclaimer/Publisher’s Note: The statements, opinions and data contained in all publications are solely those of the individual author(s) and contributor(s) and not of MDPI and/or the editor(s). MDPI and/or the editor(s) disclaim responsibility for any injury to people or property resulting from any ideas, methods, instructions or products referred to in the content. |
© 2025 by the authors. Licensee MDPI, Basel, Switzerland. This article is an open access article distributed under the terms and conditions of the Creative Commons Attribution (CC BY) license (http://creativecommons.org/licenses/by/4.0/).