Preprint
Article

This version is not peer-reviewed.

Automorphisms Group and Radical Polynomial of Standard Trilinear Forms

Submitted:

05 February 2025

Posted:

06 February 2025

You are already at the latest version

Abstract
Let V be a vector space of dimension n over a field K and let ω be a trivector of ∧³V. For such trivectors, we can associate three invariants, the automorphism group Aut(ω), the radical polynominal P(ω) and the commutant C(ω). We use the classification of trivectors of rank ≤9, we give a general rule for the standard trivector ω_{3k} in dimension 3k, the trivector with the transitive automorphism group and the trivector with an isotropic hyperplane ω_{2k+1} in dimension 2k+1. We compute their radical polynomials and the sizes of the groups automorphisms. We demonstrate that there exists a vector space V and a trivector ω of ∧³V where C(ω) is not a Frobenius algebra and dimV≤3dimC(ω). Finally, We give a classification of trivectors in dimension 8 over a finite field of characteristic 2 and its applications in the theory of codes.
Keywords: 
;  ;  ;  ;  

1. Introduction

Let V be a K vector space of dimension n and let 3 V be the third-degree exterior power space of V over the field K. Any element ω of 3 V is named trivector on V. By virtue of the canomical identification 3 V ( 3 V ) * , there is no diffrence between trivectors and trilinear alternating form. The classification of trilinear alternating forms is the study of the action of G L ( V ) on 3 V : f . ω = ( 3 f ) ( ω ) . For n 8 , this classification was completed for any fields and the number of orbits is finite. In dimension 9, the number of classes of trivectors over C is infinite (see [3]) and over F 2 is finite (there are 317 classes, see [6]).
In this paper we examine the general cause for the trivector ω 3 k in dimension n = 3 k , k 1 , called standard trilinear alternating form, the form of the transitive automorphism group ω L over L in which L is the extension of the field K and the trivector in dimension n = 2 k + 1 , k 3 with the isotropic hyperplane. We computed their groups of automorphisms and their radical polynomials. The main results are the Tables 1, 2, 3, 4 and 5 containing the trivectors ω 3 k and ω 2 k + 1 with the sizes of the group of automorphisms, the radical polynomials and the number of orbits of trivectors in dimension eight. The commutant of a trivector with a maximum rank of eight forms a Frobenius algebra with d i m V 3 dim C ( ω ) (See [10] Theorem 2.8, p.49), we show that this result is not true for n 9 .
The motivation behind this research stems from the graph theory, complexity and cryptography, in which they are interested in the alternating trilenear form equivalence (ATFE) problem and code loops, see [12] and [15]. We note that Frobenius algebras are significant in the algebraic approach.

2. Preliminaries

Let ω : V 3 K be a trilinear alternating form on a vector space V over a field K , d i m V = n . The trivector ω satisfies the equality ω ( x σ ( 1 ) , x σ ( 2 ) , x σ ( 3 ) ) = s g n ( σ ) ω ( x 1 , x 2 , x 3 ) for every permutation σ S 3 . Two forms ω 1 and ω 2 are equivalent, ω 1 ω 2 , if there exists a homomorphism bijective ϕ of V verifying:
ω 2 ( ϕ ( x 1 ) , ϕ ( x 2 ) , ϕ ( x 3 ) ) = ω 1 ( x 1 , x 2 , x 3 ) for   every x 1 , x 2 , x 3 V
One of the possible approaches to the classification of trivectors is to use invariants. We recall three invariants of trivectors: the automorphism group A u t ( ω ) , the radical polynomial P ( ω ) of ω introduced by J.Hora [6] and the commutant C ( ω ) .
Definition 1.
The group of automorphisms of ω, A u t ( ω ) , is defined by
A u t ( ω ) = { ϕ G L ( V ) / ϕ . ω = ω }
Example 1.
Let ω 3 be the trivector ω = e 1 e 2 e 3 , then A u t ( ω 3 ) = S L 3 ( K ) .
Definition 2.
The set R a d ( ω ) = { v V , ω ( v , . , . ) = 0 } is called the radical of ω and denoted by R a d ( ω ) . If R a d ( ω ) is trivial ( R a d ( ω ) = { 0 } ) , then ω is called non degenerate.
Fix v V and define radical R a d ω ( v ) of V as R a d ω ( v ) = { u V , ω ( u , v , . ) = 0 } . R a d ω ( v ) is a subspace of V. The rank of v V , r ω ( v ) = n d i m R a d ω ( v ) is an even number.
Definition 3.
Let K = F q be a finite field. The polynomial P ( ω ) defined by:
P ( ω ) = v V x r ( v ) y n r ( v )
or
P ( ω ) = i = 0 n 1 α i x i y n i
where α i N and i = 0 n 1 α i = q n , is the radical polynomial of ω.
Definition 4.
Two vectors u , v V * = V { 0 } are orthogonal u ω v , if u R a d ( v ) . The subspaces V 1 and V 2 of V are orthogonal V 1 V 2 , if v 1 ω v 2 for all v 1 V 1 and v 2 V 2 .
Definition 5.
We say that a non degenerate trilinear alternating form ω on V is decomposable if V = W 1 W 2 . . . W m , m 2 , and W i W j whenever i j . The restrictions of ω to W i are denoted by ω i . P ( ω ) is compatible with the orthogonal decomposition:
i f   ω = i ω i ,   t h e n   P ( ω ) = i P ( ω i )
Example 2.
Let ω 6 be the trivector ω 6 = e 1 e 2 e 3 + e 4 e 5 e 6 . The radical polynomial of ω 6 is equal to
P ( ω 6 ) = P ( e 1 e 2 e 3 ) × P ( e 4 e 5 e 6 ) = ( y 3 + 7 x 2 y ) 2 = y 6 + 14 x 2 y 4 + 49 x 4 y 2
Definition 6.
The commutant of ω, C ( ω ) is
C ( ω ) = { f E n d ( V ) : ω ( x , f ( y ) , z ) = ω ( x , y , f ( z ) ) , for every x , y , z V }
Definition 7.
Let A be an algebra of finite dimension over a field K. We say that A is a F.algebra if A Hom ( A , K ) (isomorphic as A-modules).
Note that if A is finite-dimensional K algebra over a field K. Then A is a Frobenius algebra if and only if there is a non-degenerate symmetric bilinear form ϕ : A × A K such that ϕ ( a b , c ) = ϕ ( a , b c ) for all a , b , c A .

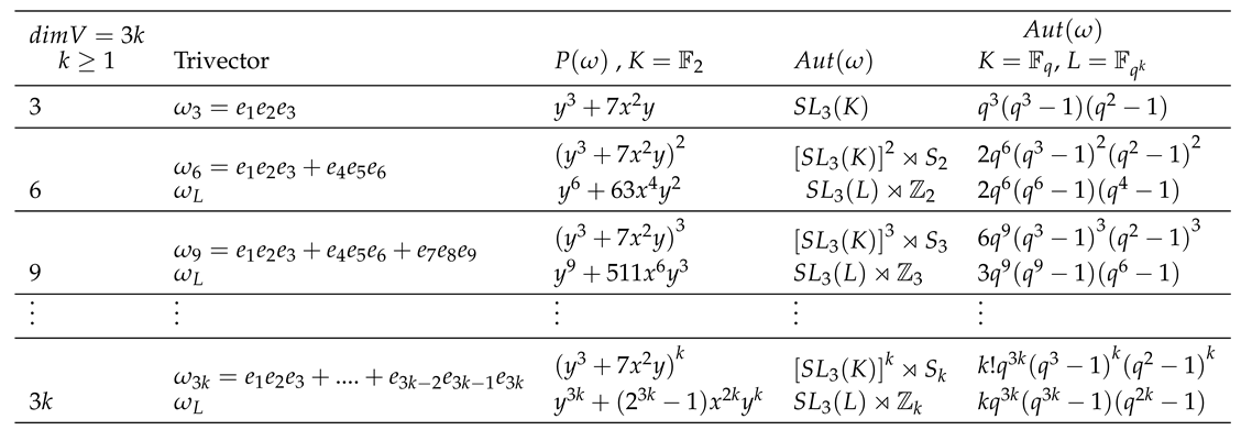
3. Invariants on Dimension 3 k

Standard Trilinear Form

Definition 8.
Let V be a 3 k - dimensional vector space over K and let B = { e 1 , e 2 , e 3 , . . . . , e 3 k 1 , e 3 k } be a fixed basis of V. A standard trilinear alternating form ω 3 k can be expressed as
ω 3 k = e 1 e 2 e 3 + e 4 e 5 e 6 + e 7 e 8 e 9 + . . . . + e 3 k 2 e 3 k 1 e 3 k = i = 1 k e 3 i 2 e 3 i 1 e 3 i
Since ω 3 k is a decomposable form, then P ( ω 3 k ) is compatible with the orthogonal decomposition and we have
P ( ω 3 k ) = i P ( ω i ) = ( y 3 + 7 x 2 y ) k
Proposition 1.
Let A u t ( ω 3 ) be the automorphism of ω 3 k , then it satisfies the exact sequence
1 [ S L 3 ( K ) ] k A u t ( ω 3 k ) S k 1
i.e.
A u t ( ω 3 k ) [ S L 3 ( K ) ] k S k
If K = F q , | A u t ( ω 3 k ) | = k ! q 3 k ( q 3 1 ) k ( q 2 1 ) k
Proof. 
The domain R ( ω 3 k ) = V 1 V 2 . . . V k = i = 1 k V i where V i = < e 3 i 2 , e 3 i 1 , e 3 i > , i = 1 , . . . , k is invariant i.e. if f A u t ( ω 3 k ) , f ( R ( ω 3 k ) ) R ( ω 3 k ) . So that f ( V i ) V σ ( i ) for permutation σ S k , we can define a groups homomorphism.
φ : A u t ( ω 3 k ) S k , φ ( f ) = σ where σ = V 1 V 2 V k V σ ( 1 ) V σ ( 2 ) V σ ( k )
φ is surjective, we deduce that the sequence
1 k e r φ A u t ( ω 3 k ) S k 1
is exact.
Let f k e r φ , then f ( V i ) V i , i = 1 , . . , k and from the equality 3 f ( ω 3 k ) = ω 3 k , hence f ( e 3 i 2 e 3 i 1 e 3 i ) = e 3 i 2 e 3 i 1 e 3 i , i = 1 , . . . , k
We can write the matrix of f as follows
M ( f ) = A 1 0 0 0 A 2 0 0 0 A k
with d e t A i = 1 , i = 1 , . . . , k then k e r φ [ S L 3 ( K ) ] k . □
The first Galois cohomology H 1 ( G , A u t ( ω ) ) where G = G a l ( K ¯ / K ) , K ¯ is the algebraic closure of K, distinguishes forms over K and ω K ¯ ω .
We consider ω = ω 3 k . If L is the extension of K, there exists a trivector ω L 3 V such that ω L ω 3 k and ω L L 3 ( V K L ) is L-isomorphic to ω 3 k . Let C be the set of orbits of the forms of ω 3 k . Since H 1 ( G , S L 3 ( K ) ) = 0 . The exact sequence of Galois cohomology sets gives us C = H 1 ( G , S k ) . Where H 1 ( G , S k ) { Etale K algebras of degree k } .
We obtain the following lemma
Lemma 1.
The trivector ω 3 k has a K-form ω L with the automorphisms group A u t ( ω L ) verify the following exact sequence:
1 S L 3 ( L ) A u t ( ω L ) Z k 1
i.e.
A u t ( ω L ) S L 3 ( L ) Z k
If K = F q , L = F q k and | A u t ( ω L ) | = k q 3 k ( q 3 k 1 ) ( q 2 k 1 ) .
Since A u t ( ω L ) contain S L 3 ( L ) and A u t ( S L n ( F q k ) ) contain the finite cyclic group G a l ( F q k / F q ) Z k , then A u t ( ω L ) is semi-direct product S L 3 ( L ) Z k .
The only non trivial trivector over F q with a transitive automorphisms group is the trivector arising from the three dimensional determinant over F q k (see J. Hora[6], page 11). So ω L is the only trivector in dimension 3 k with the transitive automorphisms group.
The trivector ω L is the only trivector with equal ranks of all non zero vectors v, r g ( v ) = 2 k = 3 k d i m R a d ( v ) , v 0 . Its radical polynomial is equal to
P ( ω L ) = y 3 k + ( 2 2 k 1 ) x 2 k y k
We get the following Table 1.
Table 1. Automorphisms group and radical polynomial of ω 3 k .
Table 1. Automorphisms group and radical polynomial of ω 3 k .
Preprints 148415 i001
Remark 1.
If K = F 2 , L = F 2 3 , we have
For d i m V = 3 , ω 3 = f 3 1 and | A u t ( ω 3 ) | = 168
For d i m V = 6 , ω 6 = f 6 1 , | A u t ( ω 6 ) | = 56448 and ω L = f 6 3 , | A u t ( ω L ) | = 120960
For d i m V = 9 , ω 9 = f 9 007 , | A u t ( ω 9 ) | = 6 . 2 9 ( 2 3 1 ) 3 ( 2 2 1 ) 3 = 28449792 and ω L = f 9 0004 , | A u t ( ω L ) | = 3 . 2 9 ( 2 9 1 ) ( 2 6 1 ) = 49448448 . (See J. Hora [6] Appendix A and B page 12-13).
Remark 2.
The trivector ω 9 has three K-forms ω 9 , ω L and ω L in which L = K ( t ) , t 3 = a and L = K × K , K = K ( α ) where α 2 = d ( d K * 2 ) .
Proof. 
Let L be an extension of degree 3 of K and F is a space of dimension 3 over L. We consider a standard basis { e 1 , e 2 , e 3 } of F, the determinant form is defined by: φ : 3 F L where φ ( e 1 e 2 e 3 ) = 1 . The trace form is T r : L K , we put ω L = T r L φ : F 3 K , ω L is a trivector of rank nine on V = F .
We take L = K ( t ) with t 3 = a in this case, the basis of V is
{ e 1 , e 2 , e 3 , e 4 = t e 1 , t e 5 = t e 2 t e 6 = t e 3 t e 7 = t 2 e 1 , e 8 = t 2 e 2 , e 9 = t 3 e 3 } .
We can calculate: ω L ( e 1 e 2 e 3 ) = 3 , ω L ( e 4 e 5 e 6 ) = 3 a , ω L ( e 7 e 8 e 9 ) = 3 a 2 , ω L ( e 1 e 5 e 9 ) = 3 q , ω L ( e 1 e 6 e 8 ) = 3 a , ω L ( e 2 e 4 e 9 ) = 3 a , ω L ( e 2 e 6 e 7 ) = 3 a , ω L ( e 9 e 4 e 8 ) = 3 a , ω L ( e 3 e 5 e 7 ) = 3 a and ω L ( e i e j e k ) = 0 otherwise. We obtain
1 3 ω L = e 1 e 2 e 3 + a e 4 e 5 e 6 + a 2 e 7 e 8 e 9 + a e 1 e 5 e 9 a e 1 e 6 e 8 + a e 2 e 4 e 9 a e 2 e 6 e 7 + a e 3 e 4 e 8 a e 3 e 5 e 7
and it follows that
ω L = e 1 e 2 e 3 + a e 4 e 5 e 6 + a 2 e 7 e 8 e 9 + a e 1 e 5 e 9 a e 1 e 6 e 8 + a e 2 e 4 e 9 a e 2 e 6 e 7 + a e 3 e 4 e 8 a e 3 e 5 e 7
If L = K × K , K = K ( α ) where α 2 = d ( d K * 2 ) , is a quadratic extension of K, in this case, the basis of V is { e 1 , e 2 , e 3 , e 4 = α e 1 , e 5 = α e 2 , e 6 = α e 3 , e 7 , e 8 , e 9 } . Then,
ω L ( e 1 e 2 e 3 ) = 3 , ω L ( e 7 e 8 e 9 ) = 3 , ω L ( e 1 e 2 e 5 ) = 3 d , ω L ( e 2 e 4 e 6 ) = 3 d , ω L ( e 3 e 4 e 5 ) = 3 d ,
and ω L ( e i e j e k ) otherwise.
We obtain
1 3 ω L = e 1 e 2 e 3 + d e 1 e 5 e 6 + d e 2 e 4 e 6 + d e 3 e 4 e 5 + e 7 e 8 e 9
and it follows that
ω L = e 1 e 2 e 3 + d e 1 e 5 e 6 + d e 2 e 4 e 6 + d e 3 e 4 e 5 + e 7 e 8 e 9 = ω 6 , 1 , d + e 7 e 8 e 9
If L = K × K × K = K 3 then F = L 3 = K 9 , by the same method we obtain ω 9 . □
If K = F q finite field of order q, L = F q 3 and L = F q 2 × F q .
We get the following Table 2.
Table 2. Automorphisms group and its size of ω 9
Table 2. Automorphisms group and its size of ω 9
Preprints 148415 i002
Remark 3.
In dimension 3 k , the expression of the trivector ω L seems to be a difficult problem (see Table 1.).

4. Invariants on Dimension 2 k + 1

4.1. General Rule for the Non Trivial Forms with an Isotropic Hyperplane

Let V be a vector space of dimension n, n = 2 k + 1 and let ω 2 k + 1 be a trivector of rank 2 k + 1 . There exists a basis B = { e 1 , e 2 , e 3 , . . . , e 2 k , e 2 k + 1 } such that
ω 2 k + 1 = e 1 ( e 2 e 3 + e 4 e 5 + . . . + e 2 k e 2 k + 1 )
It is the only trivector in dimension 2 k + 1 , k 2 with an isotropic hyperplane (Hyperplane W such that the restriction on W is the zero form).
Proposition 2.
Let A u t ( ω 3 ) be the automorphism of ω 3 k , then it satisfies the exact sequence
1 A A K * 1
1 K 2 k A S p 2 k ( K ) 1
i.e.
A u t ( ω 2 k + 1 ) S p 2 k ( K ) × K * × K 2 k
If K = F q , then | A u t ( ω 2 k + 1 ) | = q k 2 + 2 k ( q 1 ) i = 1 k ( q 2 i 1 )
Proof. 
We consider the set V 1 = { x V / x . ω = 0 } . If x = i = 1 2 k + 1 α i e i V 1 , we have x = α 1 e 1 , then V 1 = < e 1 > and 4 f ( x ω ) = f ( x ) 3 f ( ω ) = f ( x ) ω = 0 , for f A = A u t ( ω 2 k + 1 ) . Then f ( V 1 ) V 1 and there exists λ K * / f ( e 1 ) = λ e 1 . The matrix of f with a basis { e 1 , . . . , e 3 k } must have the form λ X 0 B , this we define a group of homomorphism surjective φ : A K * , φ ( f ) = λ .
Let f A = K e r φ : e 1 2 f ( e 2 e 3 + . . . . + e 2 k e 2 k + 1 ) = e 1 ( e 2 e 3 + . . . . + e 2 k e 2 k + 1 ) , which means 2 f ( e 2 e 3 + . . . . + e 2 k e 2 k + 1 ) = e 2 e 3 + . . . . + e 2 k e 2 k + 1 + x e 1 with x V 2 =
< e 2 , . . . . , e 2 k + 1 > . We consider g : V 2 V 2 the linear application with the matrix B : 2 g ( e 2 e 3 + . . . . + e 2 k e 2 k + 1 ) = e 2 e 3 + . . . . + e 2 k e 2 k + 1 . The homomorphism
ψ : A S p 2 k ( K ) defined by ψ ( f ) = B , is surjective and k e r ψ K 2 k . □
While observing the radical polynomial P ( ω ) of ω 5 , ω 7 and ω 9 , we deduce
The radical polynomial of ω 2 k + 1 is equal to
P ( ω 2 k + 1 ) = y 2 k + 1 + ( 2 2 k 1 ) x 2 y 2 k 1 + 2 2 k x 2 k y
We get the following Table 3.
Table 3. Automorphisms group and radical polynomial of ω 2 k + 1
Table 3. Automorphisms group and radical polynomial of ω 2 k + 1
Preprints 148415 i001
Remark 4.
If K = F 2 finite field of order 2, we have:
For d i m V = 5 , ω 5 = f 5 2 and | A u t ( ω 5 ) | = 11520
For d i m V = 7 , ω 7 = f 7 4 and | A u t ( ω 7 ) | = 92897280
For d i m V = 9 , ω 9 = f 9 1 and | A u t ( ω 9 ) | = 2 24 ( 2 1 ) i = 1 4 ( 2 2 i 1 ) = 12128668876800 , it is the class with the largest group of automorphisms. (See J. Hora [6] Appendix A and B page 12-13).

4.2. General Rule for the Form of the Type ω 2 k + 1 = e 1 e 2 e 3 + e 3 e 4 e 5 + e 5 e 6 e 7 + . . . . + e 2 k 1 e 2 k e 2 k + 1

Let V be a vector space of dimension n, n = 2 k + 1 and let ω 2 k + 1 be a trivector of rank 2 k + 1 . There exists a basis B = { e 1 , e 2 , e 3 , . . . , e 2 k , e 2 k + 1 } such that ω 2 k + 1 = e 1 e 2 e 3 + e 3 e 4 e 5 + e 5 e 6 e 7 + . . . . + e 2 k 1 e 2 k e 2 k + 1
Proposition 3.
Let A u t ( ω 3 ) be the automorphism of ω 3 k , then it satisfies the exact sequence
1 A A Z 2 1
1 A A ( K * ) k 1 1
1 K 3 k + 1 A S L 2 ( K ) × S L 2 ( K ) 1
i.e.
A = A u t ( ω 2 k + 1 ) = ( S L 2 ( K ) ) 2 × ( K * ) k 1 × K 3 k + 1 × Z 2
If K = F q , | A u t ( ω 2 k + 1 ) | = 2 q 3 k + 3 ( q 2 1 ) 2 ( q 1 ) k 1
Proof. 
We observe the domain (linear span) R = < e 3 , e 5 , e 7 , . . . , e 2 k + 1 = K e 3 K e 5 . . . K e 2 k 1 is invariant. We obtain
1 A A φ Z 2 1
φ ( f ) = 1 if f ( e 3 ) e 3 , f ( e 5 ) e 5 , . . . , f ( e 2 k + 1 ) e 2 k + 1 0 otherwise
Then A = { f / f A , f ( e 3 ) e 3 , f ( e 5 ) e 5 , . . . , f ( e 2 k + 1 ) e 2 k + 1 } therefore, k + 1 f stabilizer each of the two subspaces F 1 = { e 3 , e 5 , e 7 , . . , e 2 k 1 , e 2 k , e 2 k + 1 } and
F 2 = { e 1 , e 2 , e 3 , e 5 , e 7 , . . . , e 2 k 1 } . We can define a group homomorphisms
ψ : A ( K * ) k 1 , ψ ( f ) = ( f ( e 3 ) / e 3 , f ( e 5 ) / e 5 , . . . , f ( e 2 k 1 ) / e 2 k 1 )
Then
1 A A ( K * ) k 1 1
If f A = k e r ψ , f acts on e 1 e 2 and e 2 k e 2 k + 1 as S L 2 ( K ) × S L 2 ( K ) .
We obtain the exact sequence
1 K 3 k + 1 A S L 2 ( K ) × S L 2 ( K ) 1
If f is the identity over e 1 , e 2 , e 2 k and e 2 k + 1 (modulo P = { e 3 , e 5 , . . . , e 2 k 1 } ),
f ( e i ) = e i + v i , i { 1 , 2 , 2 k , 2 k + 1 } where v i P , then
f ( e 4 ) = e 4 + v 4 , f ( e 6 ) = e 6 + v 6 ,..., f ( e 2 k 2 ) = e 2 k 2 + v 2 k 2
A is an additive group isomorphic to K 3 k + 1
We get the following Table 4.
Table 4. Automorphisms group and its size of ω 2 k + 1
Table 4. Automorphisms group and its size of ω 2 k + 1
Preprints 148415 i004
Remark 5.
Remark 4.If K = F 2 , we have
For d i m V = 7 , ω 7 = f 7 1 , | A u t ( ω 7 ) | = 73728
For d i m V = 9 , ω 9 = f 9 23 , | A u t ( ω 9 ) | = 2 . 2 15 ( 2 2 1 ) 2 ( 2 1 ) 3 = 589824 (See J. Hora [6] Appendix A and B page 12-13).

5. Commutant of a Trivector and Frobenius Algebra

Proposition 4.
There exists a vector space V of dimension nine and ω 3 V in which C ( ω ) is not a F.algebra and dim V < 3 dim C ( ω ) .
Proof. 
Let ω be a trivector of rank nine (See [3] Table 1):
ω = e 1 e 2 e 9 + e 1 e 3 e 5 + e 1 e 4 e 6 + e 2 e 3 e 7 + e 2 e 4 e 8 + e 3 e 4 e 9
We consider f, an element of the commutant and M B , the matrix of f, where B is the standard basis, then by direct competitions we have:
ω f e 1 , e 2 , e 9 = ω e 1 , f e 2 , e 9 = ω e 1 , e 2 , f e 9 = a 11 = a 22 = a 99 ω f e 1 , e 3 , e 5 = ω e 1 , f e 3 , e 5 = ω e 1 , e 3 , f e 5 = a 11 = a 33 = a 55 ω f e 1 , e 4 , e 6 = ω e 1 , f e 4 , e 6 = ω e 1 , e 4 , f e 6 = a 11 = a 44 = a 66 ω f e 2 , e 3 , e 7 = ω e 2 , f e 3 , e 7 = ω e 2 , e 4 , f e 7 = a 22 = a 33 = a 77 ω f e 2 , e 4 , e 8 = ω e 2 , f e 4 , e 8 = ω e 2 , e 4 , f e 8 = a 22 = a 44 = a 88 ω f e 3 , e 4 , e 9 = ω e 3 , f e 4 , e 9 = ω e 3 , e 4 , f e 9 = a 33 = a 44 = a 99
Then,
a 11 = a 22 = a 33 = a 44 = a 55 = a 66 = a 77 = a 88 = a 99 = α
Also we have,
ω ( f ( e 1 ) , e 2 , e 3 ) = ω ( e 1 , f ( e 2 ) , e 3 ) = ω ( e 1 , e 2 , f ( e 3 ) ) a 71 = a 52 = a 93 = β ω ( f ( e 1 ) , e 2 , e 4 ) = ω ( e 1 , f ( e 2 ) , e 4 ) = ω ( e 1 , e 2 , f ( e 4 ) ) a 81 = a 62 = a 94 = γ ω ( f ( e 2 ) , e 3 , e 4 ) = ω ( e 2 , f ( e 3 ) , e 4 ) = ω ( e 2 , e 3 , f ( e 4 ) ) a 92 = a 83 = a 74 = τ ω ( f ( e 1 ) , e 3 , e 4 ) = ω ( e 1 , f ( e 3 ) , e 4 ) = ω ( e 1 , e 3 , f ( e 4 ) ) a 91 = a 63 = a 54 = μ ω f e i , e j , e k = ω e i , f e j , e k = ω e i , e j , f e k = 0 a i j = 0 , for the other cases .
M B ( f ) has the form
M B ( f ) = α 0 0 0 0 0 0 0 0 0 α 0 0 0 0 0 0 0 0 0 α 0 0 0 0 0 0 0 0 0 α 0 0 0 0 0 0 β 0 μ α 0 0 0 0 0 γ μ 0 0 α 0 0 0 β 0 0 τ 0 0 α 0 0 γ 0 τ 0 0 0 0 α 0 μ τ β γ 0 0 0 0 α ,
thus C ( ω ) = K V 1 V 2 V 3 V 4 with V i = K ε i , i = 1 , . . . , 4 and the matrices of ε 1 , ε 2 , ε 3 and ε 4 are presented by
M B ( ε 1 ) = 0 4 × 4 0 4 × 5 0 1 0 0 0 0 0 0 1 0 0 0 0 5 × 5 0 0 0 0 0 0 1 0 ,
M B ( ε 2 ) = 0 4 × 4 0 4 × 5 0 0 0 0 0 1 0 0 0 0 0 0 0 5 × 5 1 0 0 0 0 0 0 1 ,
M B ( ε 3 ) = 0 4 t i m e s 4 0 4 × 5 0 0 0 0 0 0 0 0 0 0 0 1 0 5 × 5 0 0 1 0 0 1 0 0 ,
and
M B ( ε 4 ) = 0 3 × 4 0 3 × 5 0 0 0 1 0 0 1 0 0 0 0 0 0 0 0 0 0 6 × 5 0 0 0 0 1 0 0 0 .
By computation we prove that ε 1 , ε 2 , ε 3 and ε 4 satisfy:
ε 1 2 = ε 2 2 = ε 3 2 = ε 4 2 = ε 1 ε 2 = ε 1 ε 3 = ε 1 ε 4 = ε 2 ε 1 = ε 3 ε 1 = ε 4 ε 1 = ε 2 ε 3 = ε 2 ε 4 = ε 3 ε 2 = ε 4 ε 2 = ε 3 ε 4 = ε 4 ε 3 = 0 .
If C ( ω ) is a Frobenius algebra, there exists a non-degenerate symmetric bilinear form ϕ : C ( ω ) × C ( ω ) K in which ϕ ( f g , h ) = ϕ ( f , g h ) where f , g , h C ( ω ) . We put C = M B ( ϕ ) = c i j the matrix of ϕ in the basis B = 1 , ε 1 , ε 2 , ε 3 , ε 4 , then
ϕ ε 1 , ε 2 = ϕ 1 . ε 1 , ε 2 = ϕ 1 , ε 1 ε 2 = ϕ ε 3 . ε 1 , ε 2 = ϕ ε 3 , ε 1 ε 2 = ϕ ε 4 . ε 1 , ε 2 = ϕ ε 4 , ε 1 ε 2 = 0 imply that c 23 = 0 ϕ ε 2 , ε 1 = ϕ 1 . ε 2 , ε 1 = ϕ 1 , ε 2 ε 1 = ϕ ε 3 . ε 2 , ε 1 = ϕ ε 3 , ε 2 ε 1 = ϕ ε 4 . ε 2 , ε 1 = ϕ ε 4 , ε 1 ε 2 = 0 imply that c 32 = 0 ϕ ε 1 , ε 3 = ϕ 1 . ε 1 , ε 3 = ϕ 1 , ε 1 ε 3 = ϕ ε 2 . ε 1 , ε 3 = ϕ ε 2 , ε 1 ε 3 = ϕ ε 4 . ε 1 , ε 3 = ϕ ε 4 , ε 1 ε 3 = 0 imply that c 24 = 0 ϕ ε 3 , ε 1 = ϕ 1 . ε 3 , ε 1 = ϕ 1 , ε 3 ε 1 = ϕ ε 2 . ε 3 , ε 1 = ϕ ε 2 , ε 3 ε 1 = ϕ ε 4 . ε 3 , ε 1 = ϕ ε 4 , ε 3 ε 1 = 0 imply that c 42 = 0 ϕ ε 1 , ε 4 = ϕ 1 . ε 1 , ε 4 = ϕ 1 , ε 1 ε 4 = ϕ ε 2 . ε 1 , ε 4 = ϕ ε 2 , ε 1 ε 4 = ϕ ε 3 . ε 1 , ε 4 = ϕ ε 3 , ε 1 ε 4 = 0 imply that c 25 = 0 ϕ ε 4 , ε 1 = ϕ 1 . ε 4 , ε 1 = ϕ 1 , ε 4 ε 1 = ϕ ε 2 . ε 4 , ε 1 = ϕ ε 2 , ε 4 ε 1 = ϕ ε 3 . ε 4 , ε 1 = ϕ ε 3 , ε 4 ε 1 = 0 imply that c 52 = 0 ϕ ε 2 , ε 3 = ϕ 1 . ε 2 , ε 3 = ϕ 1 , ε 2 ε 3 = ϕ ε 1 . ε 2 , ε 3 = ϕ ε 1 , ε 2 ε 3 = ϕ ε 4 . ε 2 , ε 3 = ϕ ε 4 , ε 2 ε 3 = 0 imply that c 34 = 0 ϕ ε 3 , ε 2 = ϕ 1 . ε 3 , ε 2 = ϕ 1 , ε 3 ε 2 = ϕ ε 1 . ε 3 , ε 2 = ϕ ε 1 , ε 3 ε 2 = ϕ ε 4 . ε 3 , ε 2 = ϕ ε 4 , ε 3 ε 2 = 0 imply that c 43 = 0 ϕ ε 2 , ε 4 = ϕ 1 . ε 2 , ε 4 = ϕ 1 , ε 2 ε 4 = ϕ ε 1 . ε 2 , ε 4 = ϕ ε 1 , ε 2 ε 4 = ϕ ε 3 . ε 2 , ε 4 = ϕ ε 3 , ε 2 ε 4 = 0 imply that c 35 = 0 ϕ ε 4 , ε 2 = ϕ 1 . ε 4 , ε 2 = ϕ 1 , ε 4 ε 2 = ϕ ε 1 . ε 4 , ε 2 = ϕ ε 1 , ε 4 ε 2 = ϕ ε 3 . ε 4 , ε 2 = ϕ ε 3 , ε 4 ε 2 = 0 imply that c 53 = 0 ϕ ε 3 , ε 4 = ϕ 1 . ε 3 , ε 4 = ϕ 1 , ε 3 ε 4 = ϕ ε 1 . ε 3 , ε 4 = ϕ ε 1 , ε 3 ε 4 = ϕ ε 2 . ε 3 , ε 4 = ϕ ε 2 , ε 3 ε 4 = 0 imply that c 45 = 0 ϕ ε 4 , ε 3 = ϕ 1 . ε 4 , ε 3 = ϕ 1 , ε 4 ε 3 = ϕ ε 1 . ε 4 , ε 3 = ϕ ε 1 , ε 4 ε 3 = ϕ ε 2 . ε 4 , ε 3 = ϕ ε 2 , ε 4 ε 3 = 0 imply that c 54 = 0 ϕ ε 1 , ε 1 = ϕ 1 . ε 1 , ε 1 = ϕ 1 , ε 1 2 = 0 imply that c 22 = 0 ϕ ε 2 , ε 2 = ϕ 1 . ε 2 , ε 2 = ϕ 1 , ε 2 2 = 0 imply that c 33 = 0 ϕ ε 3 , ε 3 = ϕ 1 . ε 1 , ε 3 = ϕ 1 , ε 3 2 = 0 imply that c 44 = 0 ϕ ε 4 , ε 4 = ϕ 1 . ε 4 , ε 4 = ϕ 1 , ε 4 2 = 0 imply that c 55 = 0
The matrix C is represented by
C = c 11 c 12 c 13 c 14 c 15 c 21 0 0 0 0 c 31 0 0 0 0 c 41 0 0 0 0 c 51 0 0 0 0 .
The rank of ϕ = 2 , different from 5, hence this contradicts the non-degeneracy of ϕ . We conclude that C ( ω ) is not a F.algebra and dim C ( ω ) = 5 . We deduce that dim V < 3 dim C ( ω ) . □

6. Classification of Trivectors in Dimension 8 over a Finite Field of Characteristic 2

For n = 8 , the classification of trivectors over finite fields, except for characteristic 2 or 3, and over a finite field of two elements has been done in [7] and [5] respectively. More recently a classifications have appeared for a finite field of characteristic 3 [9]. We give the following classification over F 2 m .
Theorem 1.
Let V be a vector space of dimension eight over a finite field F q of characteristic 2, q = 2 m . If m is odd, there are 20 inequivalent trivectors in 3 V which are of a full rank.
Table 5. The cardinality of the automorphisms groups A u t ω i for trivectors ω i of rank 8 over F 2 m . d ( F q * ) 2 , a ( F q * ) 3
Table 5. The cardinality of the automorphisms groups A u t ω i for trivectors ω i of rank 8 over F 2 m . d ( F q * ) 2 , a ( F q * ) 3
Preprints 148415 i005
Remark 6.
This classification was done over F 2 (see table 2 page 3468 in [5] or see Appendix A page 12 in [6]).

7. Weight Varieties of a Non-Degenerate Form

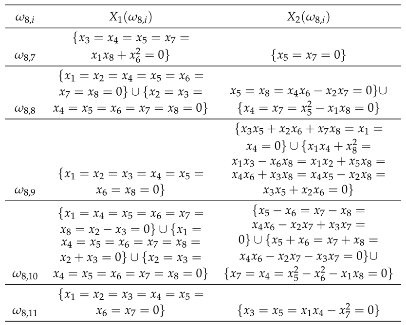
We can use the classification of trivectors in the theory of codes (See [13]).
Some undefined terms can be found in [13, page 426-429].
Similar arguments applied in [13] are used for determining the varieties X 1 ( ω 8 , i ) and X 2 ( ω 8 , i ) for some trivectors and we have:
Proposition 5.
The varieties X 1 ( ω 8 , i ) and X 2 ( ω 8 , i ) for 7 i 11 are given by:
Preprints 148415 i006

8. Conclusions

In this paper, by using the invariants of the trivectors, we deduce the general rule for some trivectors. As a future work, one can calculate the cardinalities of X 1 ( ω 8 , i ) and X 2 ( ω 8 , i ) and use them to fully determine the spectrum of C ( 3 , 8 ) .

References

  1. A. M. CohenandA. G. Helminck: Trilinear alternating forms on a vector space of dimension 7,Communications in algebra., 16 (1988) 1–25.
  2. D. Djokovic: Classification of trivectors of an eight dimensional real vector space, Linear Multilinear Algebr., 13 (1983) 3–39..
  3. A.G. Elashvili and E.B. Vinberg. Classification des trivecteurs d’un espace de dimension 9 ( en russe ). Trudy sem.Vekt ,Tenz. Anlisu XVIII 55 (1978), 197–233.
  4. G. B. Gurevitch: Foundations of the Theory of Algebraic Invariants, P. Noordhoff Ltd.,Groningen, the Netherlands (1964).
  5. J. HoraandP. Pudlák: Classification of 8-dimensional trilinear alternating forms over GF(2), Commun Algebra., 34 (2015) 3459–3471.
  6. J. HoraandP. Pudlák:Classification of 9-dimensional trilinear alternating forms over GF(2), Finite Fields and Their Applications., 70 (2021) 101788.
  7. N. MidouneandL. Noui: Trilinear alternating forms on a vector space of dimension 8 over a finite field, Linear and Multilinear Algebra., 61 (2013) 15–21.
  8. N. Midoune, L. Noui. K-forms of 2-step splitting trivectors. Int. J. Algebra 2 (2008), 369–382.
  9. N. Midoune , M.A. Rakdi . Trilinear alternating forms and related CMLs and GECs. International Journal of Group Theory 12 (2023), 227–235.
  10. L. Noui and Ph. Revoy. Formes multilinéaires alternées. Linear and Multilinear Algebra 1 (1994), 43–69. Blaise Pascal 1: 43-69.
  11. L. Noui: Transvecteur de rang 8 sur un corps algébriquement clos,Comptes Rendus de l’Académie des Sciences-Series I-Mathematics, 324 (1997) 611–614.
  12. E.O’Brien ,P. Vojtěchovskỳ Code loops in dimension at most 8. Journal of Algebra 2017, 473, 607–626.
  13. M.A. Rakdi , N. Midoune. Weights of the Fq-forms of 2-step splitting trivectors of rank 8 over a finite field. Carpathian Mathematical Publications 11 (2019), 422–430.
  14. J. Schouten. Klassifizierung der alternierenden Gröszen dritten Grades in 7 Dimensionen. Rendiconti del Circolo Matematico di Palermo (1884-1940) 55(1931), 137–156. [CrossRef]
  15. G. Tang, D. H. Duong, A. Joux, T. Plantard, Y. Qiao, and W. Susilo. Practical post-quantum signature schemes from isomorphism problems of trilinear forms. In O. Dunkelman and S. Dziembowsk, editors,Advances in Cryptology - EURO- Crypt 2022 - 41st Annual International Conference on the Theory and Applications of Cryptographic Techniques, Trondheim, Norway, May 30 - June 3, 2022, Proceedings, Part III, volume 13277 of Lecture Notes in Computer Science, pages 582-612, Springer, 2022.
  16. Borovoi, Mikhail, Willem A. de Graaf, and Hông Vân Lê. "Classification of real trivectors in dimension nine." Journal of Algebra 603 (2022), 118-163. [CrossRef]
Disclaimer/Publisher’s Note: The statements, opinions and data contained in all publications are solely those of the individual author(s) and contributor(s) and not of MDPI and/or the editor(s). MDPI and/or the editor(s) disclaim responsibility for any injury to people or property resulting from any ideas, methods, instructions or products referred to in the content.
Copyright: This open access article is published under a Creative Commons CC BY 4.0 license, which permit the free download, distribution, and reuse, provided that the author and preprint are cited in any reuse.
Prerpints.org logo

Preprints.org is a free preprint server supported by MDPI in Basel, Switzerland.

Subscribe

Disclaimer

Terms of Use

Privacy Policy

Privacy Settings

© 2026 MDPI (Basel, Switzerland) unless otherwise stated