Preprint
Article

This version is not peer-reviewed.

Drought Monitoring in the Agrotechnological Districts of the Semear Digital Center

A peer-reviewed article of this preprint also exists.

Submitted:

24 January 2025

Posted:

27 January 2025

You are already at the latest version

Abstract

Drought affects the agricultural sector, posing challenges for farm management, particularly among medium- and small-scale producers. This study calculates the Standardized Precipitation-Evapotranspiration Index (SPEI) using climate data derived from remote sensing products to assess drought frequency and intensity in the Agrotechnological Districts (DATs) of the Semear Digital Center. DATs are characterized by a high concentration of small and medium-sized farms. The SPEI, a robust tool for evaluating the increasing severity of droughts under global warming conditions, was calculated for timescales of 3 and 6 months, covering the period from 2000 to 2024. Drought intensity was classified into five categories: slight drought (S0), moderate drought (S1), severe drought (S2), extreme drought (S3), and exceptional drought (S4). Moderate and slight drought were the most frequently observed drought severity categories in the DATs. However, temporal trend analyses revealed variations among these regions. While Vacaria Ingaí, and Guia Lopes da Laguna presented no trend (SPEI-3 and SPEI-6 months), negative trends were observed in the majority of the DATs, indicating a potential increase in drought severity. Clustering analyses consistently grouped Jacupiranga and Vacaria, suggesting similar drought patterns. These findings offer crucial information for developing strategies to mitigate agricultural risks associated with drought.

Keywords: 
;  ;  ;  ;  ;  ;  ;  ;  ;  

1. Introduction

The Semear Digital Center aims to enhance the productivity of small and medium-sized farms through research, development, and innovation in information and communication technologies (ICT). To achieve this goal, ten municipalities in Brazil, located across different states and biomes, were selected based on socio-economic indicators, including the concentration of small and medium-sized farms. Agrotechnological Districts (DATs) located in these municipalities are pilot regions where smart farming solutions are implemented according to the specific needs of farmers [1].
Between 2013 and 2022, drought events resulted in approximately R$251 billion in damages and losses to Brazilian agriculture and livestock, with agriculture being the most affected sector, accounting for 65% of this value [2]. According to [3], drought impacts crop production and can lead to famine, social conflicts over water allocation, and significant migration flows.
Small and medium-sized farms are particularly vulnerable to the adverse effects of drought [4]. The increasing frequency and intensity of droughts, driven by climate change, are expected to exacerbate these challenges [5]. Consequently, drought assessments are essential for effective risk management and mitigation strategies, contributing to building agricultural resilience.
One of the most commonly used indices to monitor and analyze drought occurrences and severity is the Standardized Precipitation Evapotranspiration Index (SPEI). The SPEI relies on precipitation and temperature data. Temperature is one of the variables to estimate evapotranspiration via the Thornthwaite methodology. By incorporating the effects of temperature variations into drought assessments, the SPEI becomes a robust tool for evaluating the increasing severity of droughts under global warming conditions [6].
Due to the scarcity of long-term climate observation data from ground meteorological stations, remote sensing products are increasingly used to obtain extended climate time series [7,8,9].
This study calculates the SPEI using long-term climate data derived from remote sensing products to assess drought frequency and intensity in the Agrotechnological Districts of the Semear Digital Center.

2. Materials and Methods

2.1. Study Area

The Agrotechnological Districts—Alto Alegre (SP), Boa Vista do Tupim (BA), Breves (PA), Caconde (SP), Guia Lopes da Laguna (MS), Ingaí (MG), Jacupiranga (SP), Lagoinha (SP), São Miguel Arcanjo (SP), and Vacaria (RS) —are situated in different biomes and states of Brazil, presenting diverse elevation. These regions exhibit distinct climatic conditions based on Köppen’s climate classification [10] (Figure 1).
The Alto Alegre, Caconde, Jacupiranga, Lagoinha, São Miguel Arcanjo, Ingaí, and Vacaria DATs are located in the Atlantic Forest biome. The first five are situated in São Paulo state, while the last two are located in Minas Gerais and Rio Grande do Sul states, respectively.
The Boa Vista do Tupim, Guia Lopes da Laguna, and Breves DATs are located in the Caatinga, Cerrado, and Amazon biomes, respectively, and are situated in the states of Bahia, Mato Grosso do Sul, and Pará.
Breves and Guia Lopes da Laguna have an Af climate corresponding to a tropical climate without a dry season. Caconde, Ingaí and Lagoinha exhibit a Cwb, a humid subtropical climate with dry winters and temperate summers. Jacupiranga and São Miguel Arcanjo present a Cfa climate, defined as a humid subtropical oceanic climate without a dry season and with hot summers. Vacaria has a Cfb climate, representing a humid subtropical oceanic climate without a dry season and temperate summers. Alto Alegre exhibits an Aw, a tropical climate with dry winters. Boa Vista do Tupim presents a BSh, a dry semi-arid climate typical of low latitude and altitude regions [10].
According to the Copernicus Global and European Digital Elevation Model (GLO-30 product) [11], Ingaí has the highest mean elevation, at 953.64 m, while Breves has the lowest, at 17.22 m. Jacupiranga and Guia Lopes da Laguna have mean elevations of 103.56 m and 285.32 m, respectively. São Miguel Arcanjo has a mean elevation of 700.89 m, while Alto Alegre and Boa Vista do Tupim have mean elevations close to 435 m. Caconde, Vacaria, and Lagoinha have mean elevations exceeding 850 m.

2.2. Climate Data and SPEI Calculations

To validate the climate time series derived from remote sensing products, we utilized precipitation and temperature data from the Agritempo database [12], covering the period from March 2000 to October 2024. The remote sensing products used included temperature data from the Moderate Resolution Imaging Spectroradiometer (MODIS) [13], specifically the MOD11A1.061 product, and daily precipitation data from the Climate Hazards Center InfraRed Precipitation with Station data (CHIRPS) [14], using the UCSB-CHG/CHIRPS/DAILY product. These data were accessed via the Google Earth Engine platform (Figure 2).
The data derived from MODIS and CHIRPS were aggregated into monthly values and validated through correlation analysis. The validation involved calculating the Pearson correlation coefficient by comparing the aggregated values to Agritempo data. After validation, MODIS temperature data, along with the latitude of the DATs, were then used to calculate potential evapotranspiration via the Thornthwaite method. This calculation was performed using a Python script, following the methodology outlined in [6].
Finally, the monthly precipitation and evapotranspiration data were used to calculate the SPEI using the R Package SPEI, at 3- and 6-month time scales, to monitor agricultural drought conditions.

2.3. SPEI Intensity and Frequency

The SPEI was classified into different degrees of intensity following the methodology described in [15]. Drought intensity was divided into five categories: slight drought (S0), moderate drought (S1), severe drought (S2), extreme drought (S3), and exceptional drought (S4) (Table 1).
The classification process was implemented using a Python script. Additionally, a frequency graph was generated to display the incidence of each drought category for the SPEI at 3- and 6-month time scales, considering the entire time series.

2.4. SPEI Tendency

The Mann–Kendall trend test and Sen’s slope were applied to detect trends in the SPEI index across the DATs. This nonparametric statistical test identifies whether there is an increasing or decreasing pattern over time. The null hypothesis (H₀) indicates the absence of a trend, while the alternative hypothesis (H₁) suggests a monotonic trend. The analysis was performed in Python using the pymannkendall package.

2.5. Clustering

The DATs were grouped based on SPEI results at 3- and 6-month time scales in Python, using three clustering methods:
  • KMeans with the number of clusters fixed at 3 (three);
  • Density-Based Spatial Clustering of Applications with Noise (DBSCAN) with the premises that points must be within a maximum distance of 0.5 to be considered neighbors, and a cluster must consist of at least 2 (two) points; and
  • Dendrogram (Ward’s method) with the number of final groups set to 3 (three).

3. Results

3.1. Validation of Climate Data Derived from Remote Sensing

Figure 3 and Figure 4 present the correlation between temperature data from MODIS and Agritempo, and precipitation data from CHIRPS and Agritempo, respectively.
The temperature data from MODIS showed strong agreement with the temperature data from Agritempo, with Pearson correlation coefficients ranging from 0.83 to 0.95 for the Alto Alegre, Caconde, Guia Lopes da Laguna, Ingaí, Jacupiranga, Lagoinha, São Miguel Arcanjo, and Vacaria DATs. The lowest coefficient was observed for Breves (0.45), followed by Boa Vista do Tupim (0.74) (Figure 3).
Similarly, the precipitation data from CHIRPS demonstrated strong agreement with the precipitation data from Agritempo. The Pearson correlation coefficients ranged from 0.75 to 0.88 for the Alto Alegre, Boa Vista do Tupim, Breves, Caconde, Ingaí, Jacupiranga, Lagoinha, and Vacaria DATs. The Guia Lopes da Laguna and São Miguel Arcanjo DATs presented coefficients closest to 0.7 (Figure 4).

3.2. Climate

The mean monthly temperature, precipitation, and potential evapotranspiration for the Agrotechnological Districts are shown in Figure 5.
The Alto Alegre Agrotechnological District, which has an Aw climate (tropical climate with a dry winter), experiences a rainy season from October to March, with mean monthly precipitation ranging from approximately 115 mm in October to 234 mm in January. The dry season occurs between April and September, with precipitation varying from approximately 17 mm in August to 55 mm in April. During the rainy season, temperatures are high, oscillating between 25.4 °C in March and 27.4 °C in November. The lowest temperatures occur in June (19.8 °C) and July (19.5 °C). The highest values of mean monthly potential evapotranspiration are observed between November and January, varying from 157 mm in January to 167.2 mm in December.
The Boa Vista do Tupim Agrotechnological District is characterized by a BSh climate (dry semi-arid low latitude and altitude climate). The rainy season spans November to April, with mean monthly precipitation peaking at 72.2 mm in April. The dry season encompasses May to October, with precipitation ranging from 10.3 mm in September to 35.4 mm in May. Both temperature and potential evapotranspiration are high, with the highest values observed in October (27.4 °C and 164.6 mm, respectively) and the lowest in June (20.6 °C and 69.3 mm, respectively).
The Breves and Guia Lopes da Laguna DATs, both classified as Af climate (tropical climate without a dry season), exhibit differences in precipitation, potential evapotranspiration, and temperature intervals. In Guia Lopes da Laguna, located in the Cerrado biome, the highest precipitation occurs from October to May, ranging from 110.4 mm in May to 186.9 mm in January. The lowest precipitation is recorded between June and September, varying from 42.3 mm in July to 82.4 mm in September. Minimum values of temperature and potential evapotranspiration occur between May and July, ranging from 20.4 °C in July to 21.1 °C in May, and from 67.5 mm to 75.8 mm, respectively. Maximum values occur between October and April, with temperatures ranging from 23.1 °C in August to 27.6 °C in October and potential evapotranspiration oscillating between 98.8 mm (August) and 176.22 mm (October).
Conversely, in Breves, located in the Amazon biome, the highest precipitation occurs between December and May, with values ranging from 252.4 mm in December to 404.3 mm in March. The lowest precipitation is recorded between June and November, varying from 123.6 mm in November to 225.9 mm in June. Both potential evapotranspiration and temperature show less variation, remaining within intervals of 92–109 mm and 23–24 °C, respectively.
The Caconde, Ingaí, Jacupiranga, Lagoinha, São Miguel Arcanjo, and Vacaria DATs are characterized by a humid subtropical climate and are located in the Atlantic Forest biome. With the exception of Vacaria, these districts experience six months of rainy season (October to March) and six months of dry season (April to September). The lowest temperature and potential evapotranspiration values in these districts occur between May and July. Excluding Vacaria, temperatures range from approximately 16 °C to 23 °C, and potential evapotranspiration values vary from 50 mm to 115 mm.
In the Vacaria Agrotechnological District, precipitation is well-distributed throughout the year, with a brief period of low precipitation (below 100 mm) between June and September. Temperature and potential evapotranspiration vary from 10.3 °C in July to 21.5 °C in December, and from 32.3 mm in July to 108.6 mm in December, respectively.

3.3. SPEI-3 Months

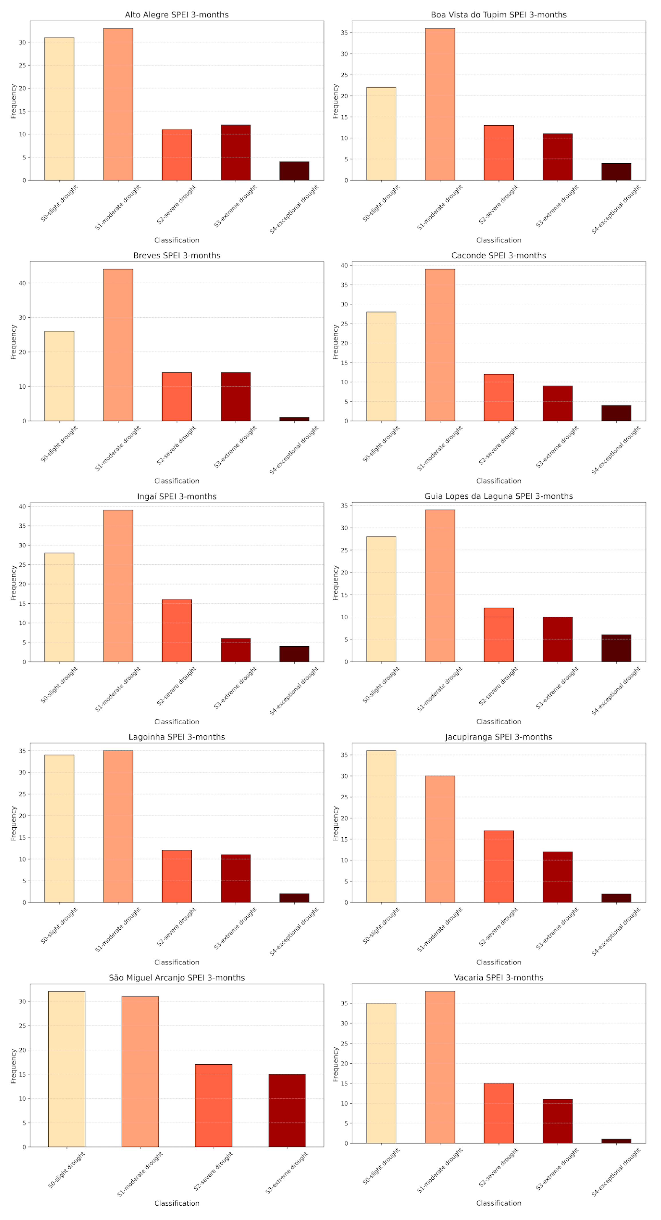
The SPEI at a 3-month time scale is shown in Figure 6, while Figure 7 presents the frequency and severity of drought events in the Agrotechnological Districts based on the SPEI index.
In the period from March 2000 to October 2024, the more expressive drought (exceptional drought category) occurred in the following months: July 2024 (SPEI = - 2.3) for Alto Alegre, in June 2012 (SPEI = -2.9) for Boa Vista do Tupim, in August 2024 for Breves (SPEI = -2.1), Caconde (SPEI = -2.8), and Ingaí (SPEI = -2.5), in February 2022 (SPEI = -2.2) for Guia Lopes da Laguna, in December 2019 for Jacupiranga (SPEI = -2.1), in February 2014 for Lagoinha (SPEI = -2.4), in June 2000 for São Miguel Arcanjo (SPEI = -2.0), and in November 2020 for Vacaria (SPEI = -2.1) (Figure 6).
The most frequent drought category in Alto Alegre Agrotechnological District was S1-moderate drought (n = 33), followed by S0-slight drought (n = 31), S3-extreme drought (n = 12), S2-severe drought (n = 11) and lastly S4-exceptional drought (n = 4), totaling 91 drought occurrences (Figure 7).
In Boa Vista do Tupim Agrotechnological District, 86 drought events were observed, with the S1-moderate drought (n = 36) being the most frequent category, followed by S0-slight drought (n = 22), S2-severe drought (n = 13), S3-extreme drought (n = 11), and S4-exceptional drought (n = 4).
In the Agrotechnological District of Breves, a total of 99 drought episodes were identified: 44 classified as S1 (moderate drought), 26 as S0 (slight drought), 14 as S2 (severe drought), 14 as S3 (extreme drought), and 1 as S4 (exceptional drought).
The Caconde Agrotechnological District experienced a total of 92 drought occurrences, including 39 classified as S1 (moderate drought), 28 as S0 (slight drought), 12 as S2 (severe drought), 9 as S3 (extreme drought), and 4 as S4 (exceptional drought).
In the Guia Lopes da Laguna Agrotechnological District, 90 drought events were recorded, including 34 classified as S1 (moderate drought), 28 as S0 (slight drought), 12 as S2 (severe drought), 10 as S3 (extreme drought), and 6 as S4 (exceptional drought)
In the Ingaí Agrotechnological District, 93 drought episodes were recorded, comprising 39 classified as S1 (moderate drought), 28 as S0 (slight drought), 16 as S2 (severe drought), 6 as S3 (extreme drought), and 4 as S4 (exceptional drought).
In the Jacupiranga Agrotechnological District, the most common drought category was S0 (slight drought) with 36 occurrences, followed by S1 (moderate drought) with 30 occurrences, S2 (severe drought) with 17 occurrences, S3 (extreme drought) with 12 occurrences, and S4 (exceptional drought) with 2 occurrences, totaling 97 drought episodes.
For the Lagoinha Agrotechnological District, S1 (moderate drought) was the most frequent category, with 35 occurrences, followed by S0 (slight drought) with 34 occurrences, S2 (severe drought) with 12 occurrences, S3 (extreme drought) with 11 occurrences, and S4 (exceptional drought) with 2 occurrences, resulting in a total of 94 drought episodes.
The São Miguel Arcanjo Agrotechnological District did not register any S4 (exceptional drought) occurrences but recorded a total of 95 drought episodes, comprising 32 classified as S0 (slight drought), 31 as S1 (moderate drought), 17 as S2 (severe drought), and 15 as S3 (extreme drought).
The Vacaria Agrotechnological District recorded the highest number of drought episodes, totaling 100. These included 38 classified as S1 (moderate drought), 35 as S0 (slight drought), 15 as S2 (severe drought), 11 as S3 (extreme drought), and 1 as S4 (exceptional drought).
Table 2 presents the results of the Mann–Kendall test and Sen’s slope analysis for SPEI at a 3-month time scale across the Agrotechnological Districts. A decreasing trend was observed in Alto Alegre, Boa Vista do Tupim, Breves, Caconde, Jacupiranga, and São Miguel Arcanjo, while Guia Lopes da Laguna, Ingaí, Lagoinha, and Vacaria showed no significant trend.
Among the Agrotechnological Districts with a decreasing trend, Breves exhibited the most negative Sen’s slope (-0.0038). Within the group showing no trend, Lagoinha and Vacaria had positive Sen’s slope values (0.001 and 0.0003, respectively), while Guia Lopes da Laguna and Ingaí exhibited slight negative values (-0.0008 and -0.0005, respectively) (Table 2).

3.4. SPEI-3 Months Clusters

Figure 8 presents the K-means, Density-Based Spatial Clustering of Applications with Noise (DBSCAN), and dendrogram clusters for the SPEI at a 3-month time scale.
According to the K-means clustering analysis, the DATs were grouped as follows: Alto Alegre, Caconde, Ingaí, and São Miguel Arcanjo formed one cluster; Breves, Boa Vista do Tupim, Guia Lopes da Laguna, and Lagoinha formed another; and Jacupiranga and Vacaria comprised a third group.
In contrast, the DBSCAN clustering analysis grouped Alto Alegre, Jacupiranga, and Vacaria DATs into one cluster, with the remaining DATs forming a second cluster. Similarly, the dendrogram analysis showed Jacupiranga and Vacaria DATs grouped together, while the remaining DATs were clustered into a separate group.

3.5. SPEI-6 Months

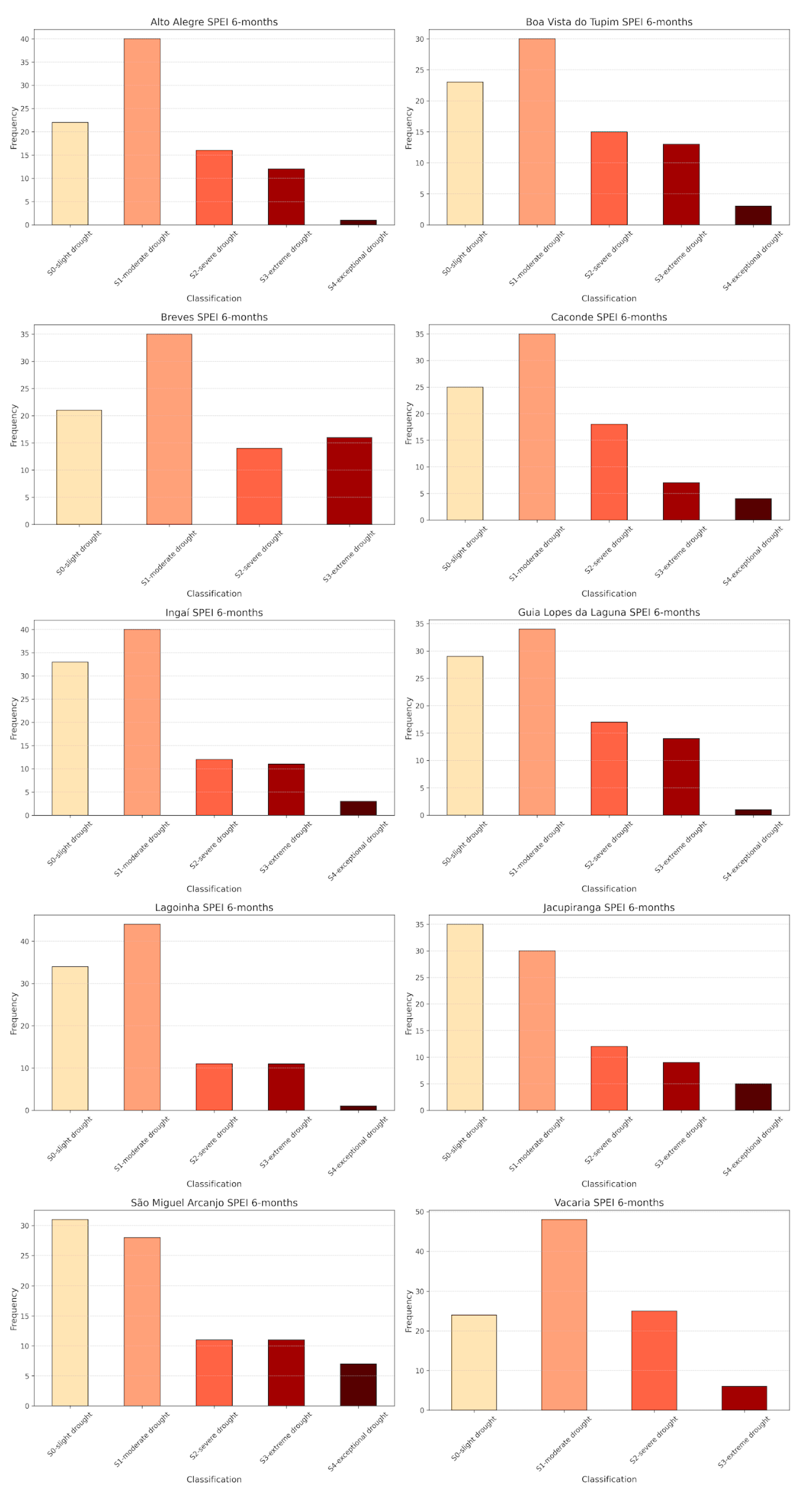
The SPEI at a 6-month time scale is shown in Figure 9, while Figure 10 illustrates the frequency and severity of drought events.
From March 2000 to October 2024, the most significant drought events (classified as exceptional drought, S4) for SPEI at a 6-month time scale occurred in the following months: November 2020 (SPEI = -2.1) in Alto Alegre, September 2012 (SPEI = -2.6) in Boa Vista do Tupim, January 2016 (SPEI = -2.0) in Breves, December 2020 (SPEI = -2.8) in Caconde, September 2024 (SPEI = -2.2) in Ingaí and Lagoinha, March 2024 (SPEI = -2.2) in Guia Lopes da Laguna, January 2020 (SPEI = -2.1) in Jacupiranga, June 2024 (SPEI = -2.3) in São Miguel Arcanjo, and December 2021 (SPEI = -2.0) in Vacaria (Figure 9).
In the Alto Alegre Agrotechnological District, the most frequent drought category for SPEI at a 6-month time scale was S1 (moderate drought), with 40 occurrences, followed by S0 (slight drought) with 22 occurrences, S2 (severe drought) with 16 occurrences, S3 (extreme drought) with 12 occurrences, and S4 (exceptional drought) with 1 occurrence, totaling 91 drought episodes (Figure 10).
In the Boa Vista do Tupim Agrotechnological District, 84 drought occurrences were recorded. The most frequent category was S1 (moderate drought) with 30 occurrences, followed by S0 (slight drought) with 23, S2 (severe drought) with 15, S3 (extreme drought) with 13, and S4 (exceptional drought) with 3 occurrences.
For the Breves Agrotechnological District, a total of 86 drought episodes were observed, including 35 classified as S1 (moderate drought), 21 as S0 (slight drought), 16 as S3 (extreme drought), and 14 as S2 (severe drought).
The Caconde Agrotechnological District recorded 89 drought occurrences, comprising 35 classified as S1 (moderate drought), 25 as S0 (slight drought), 18 as S2 (severe drought), 7 as S3 (extreme drought), and 4 as S4 (exceptional drought).
In the Guia Lopes da Laguna Agrotechnological District, 95 drought episodes were observed, including 34 classified as S1 (moderate drought), 29 as S0 (slight drought), 17 as S2 (severe drought), 14 as S3 (extreme drought), and 1 as S4 (exceptional drought).
The Ingaí Agrotechnological District reported 99 drought occurrences, consisting of 40 classified as S1 (moderate drought), 33 as S0 (slight drought), 12 as S2 (severe drought), 11 as S3 (extreme drought), and 3 as S4 (exceptional drought).
In the Jacupiranga Agrotechnological District, the most common drought category was S0 (slight drought), with 35 occurrences, followed by S1 (moderate drought) with 30, S2 (severe drought) with 12, S3 (extreme drought) with 9, and S4 (exceptional drought) with 5, totaling 91 drought episodes.
The Lagoinha Agrotechnological District experienced 101 drought occurrences, with S1 (moderate drought) as the most frequent category (44 occurrences), followed by S0 (slight drought) with 34, S2 (severe drought) with 11, S3 (extreme drought) with 11, and S4 (exceptional drought) with 1.
The São Miguel Arcanjo Agrotechnological District reported 88 drought episodes, including 31 classified as S0 (slight drought), 28 as S1 (moderate drought), 11 as S2 (severe drought), 11 as S3 (extreme drought), and 7 as S4 (exceptional drought).
The Vacaria Agrotechnological District, which did not register any S4 (exceptional drought) events, recorded the highest total number of drought occurrences at 103. These included 48 classified as S1 (moderate drought), 24 as S0 (slight drought), 25 as S2 (severe drought), and 6 as S3 (extreme drought).
Table 3 presents the Mann–Kendall and Sen’s slope results for SPEI at a 6-month time scale across the Agrotechnological Districts. A decreasing trend was observed in Alto Alegre, Boa Vista do Tupim, Breves, Caconde, Jacupiranga, and São Miguel Arcanjo DATs, while Guia Lopes da Laguna, Ingaí, and Vacaria showed no significant trend. Lagoinha, however, exhibited an increasing trend.
Breves exhibited the most negative Sen’s slope value (-0.0040) among the districts with a decreasing trend. Within the group showing no significant trend, Vacaria displayed a positive Sen’s slope value (0.0005), while Guia Lopes da Laguna and Ingaí recorded slightly negative values (-0.0001 and -0.0006, respectively). Lagoinha, on the other hand, demonstrated an increasing trend with a Sen’s slope value of 0.0026.

3.6. SPEI-6 Months Clusters

Figure 11 presents the K-means, DBSCAN, and dendrogram clusters for the SPEI on a 6-month time scale.
Based on K-means clustering analysis, the DATs of Alto Alegre, Caconde, Ingaí, and São Miguel Arcanjo form one cluster, while Breves, Boa Vista do Tupim, Guia Lopes da Laguna, and Lagoinha form a second cluster. The DATs of Jacupiranga and Vacaria constitute a distinct third cluster. In contrast, DBSCAN clustering groups Alto Alegre, Jacupiranga, and Vacaria DATs together, with the remaining DATs forming a separate cluster. The dendrogram analysis similarly places Jacupiranga and Vacaria DATs in one group, distinct from all other DATs.

4. Discussion

Validation of climate data from remote sensing products (MODIS and CHIRPS) demonstrated strong agreement with Agritempo ground observations, reinforcing their reliability for drought analysis. However, MODIS temperature data showed lower correlations in Breves (0.45), likely due to high cloud coverage in the Amazon region impacting sensor measurements. This contrasts with previous findings reporting correlations above 0.8 for MODIS and ERA-Interim data in Amazon [16]. CHIRPS precipitation data correlated well with Agritempo observations (coefficients > 0.7), aligning with studies confirming its accuracy across Brazilian regions. [17,18,19].
Climatic analysis revealed substantial variability across DATs due to diverse biomes and elevations. The tropical Aw climate in Alto Alegre presented distinct rainy and dry seasons impacting agricultural planning, while the semi-arid BSh climate at Boa Vista do Tupim highlighted water scarcity challenges, exacerbated by high PET values and low precipitation. Breves (Amazon biome) displayed consistent rainfall and lower PET variability, contrasting with Guia Lopes da Laguna (Cerrado biome), which experienced pronounced dry seasons and PET fluctuations. Humid subtropical DATs (Atlantic Forest biome) exhibited moderate water stress, while Vacaria, characterized by consistently low temperatures and PET, showed reduced susceptibility to high water stress.
The SPEI analyses revealed the short-term (SPEI-3) and medium-term (SPEI-6) drought dynamics through the DATs. Exceptional drought, the most severe drought class, was sporadic but impactful. For this severity class, short-term drought episodes included June 2012 (SPEI = -2.9, Boa Vista do Tupim) and August 2024 (SPEI = -2.8, Caconde), reflecting rapid yet intense moisture deficits. In contrast, medium-term drought events highlighted prolonged episodes, such as those in December 2020 (SPEI = -2.8, Caconde) and September 2012 (SPEI = -2.6, Boa Vista do Tupim). According to [20], the 2011/2012 hydrological year exhibited the most severe drought conditions in Brazil’s Northeast region, where the municipality of Boa Vista do Tupim is located
The Agrotechnological District of Caconde, a significant coffee-producing region in Brazil, garnered media attention in 2020 and 2024 due to the exceptional droughts experienced during these years. These events were notable for their substantial impact on coffee productivity [21] and prices [22].
Moderate and slight drought were the most frequently observed drought severity categories in the DATs. However, temporal trend analyses revealed variations among these regions. Negative SPEI trends (SPEI-3 and SPEI-6 months) were observed in the Breves and Caconde DATs, indicating worsening drought conditions. In contrast, the Lagoinha DAT exhibited an increasing SPEI-6-month trend, suggesting improving moisture availability. Meanwhile, the absence of significant trends in regions such as Vacaria reflects stable yet variable drought conditions.
Consistent with this study, research conducted in 2015 by [23] indicated that drought events in the Amazon region, where the Agrotechnological District of Breves is located, are expected to intensify throughout the 21st century, posing significant risks to agriculture and increasing the likelihood of wildfires.
Clustering analysis grouped DATs with similar drought profiles, emphasizing shared climatic challenges and adaptation needs. For example, Jacupiranga and Vacaria consistently formed a distinct cluster characterized by high drought frequency but stable trends, while DATs such as Alto Alegre and São Miguel Arcanjo clustered due to moderate drought frequency and decreasing trends.
The combination of K-means, DBSCAN, and dendrogram analyses underscored the complexity of spatial drought patterns and highlighted the potential for regional collaboration in managing water resources. The consistent grouping of certain DATs reveals opportunities for shared resource management strategies and policy development. These findings emphasize the need for tailored drought mitigation approaches that address local climate conditions while leveraging cluster-based insights to optimize agricultural resilience and water management strategies.

5. Conclusions

Temperature data from MODIS and precipitation data from CHIRPS can be a reliable data source for drought analysis.
The frequency and intensity of droughts varied across the Agrotechnological Districts of the Semear Digital Center. The results indicated that the most severe droughts (S4 - exceptional drought) occurred at different times across the DATs, reflecting regional climatic variability.
The most frequently observed drought severity categories in the DATs were moderate and slight drought. However, temporal trend analyses revealed variations among these regions. The Mann–Kendall trend analysis revealed a significant decline in the SPEI index in six districts, with Breves showing the steepest decline (Sen’s slope = -0.0040). In contrast, districts such as Lagoinha and Vacaria exhibited positive slope values, indicating stability or a slight increase in water availability. Clustering analyses (K-means, DBSCAN, and dendrogram) revealed consistent patterns, grouping districts such as Jacupiranga and Vacaria together based on similarities.
These findings emphasize the importance of climate monitoring and adaptive strategies to mitigate agricultural risks associated with drought, particularly for small and medium-sized farms. In this context, the implementation of public policies and digital technologies for water management and agricultural planning can be crucial to enhancing the resilience of these production systems in the face of climate change.
The results of this study have the potential to inform the development of targeted drought mitigation strategies, such as early warning systems, improved irrigation practices, and access to drought-resistant crops.
Future research should integrate land use, vegetation cover, and socioeconomic data to enhance drought impact assessments and improve climate adaptation planning.

Supplementary Materials

The following supporting information can be downloaded at: Preprints.org, Figure S1: title; Table S1: title; Video S1: title.

Author Contributions

Conceptualization, T. L. da S., L. A. S. R., S. R. M. E., M. D. and S. M. F. S.; methodology, T. L. da S., L. A. S. R., S. R. M. E. and M. D.; software, T. L. da S.; validation, T. L. da S; formal analysis,T. L. da S.; investigation, T. L. da S., L. A. S. R. and T. D.; resources, L. A. S. R. and S. M. F. S.; data curation, T. L. da S.; writing—original draft preparation, T. L. da S.; writing—review and editing, L. A. S. R., S. R. M. E., M. D. and S. M. F. S.; visualization, T. L. da S.; supervision, L. A. S. R., S. R. M. E., M. D., and S. M. F. S; project administration, L. A. S. R. and S. M. F. S; funding acquisition, L. A. S. R. and S. M. F. S. All authors have read and agreed to the published version of the manuscript.

Funding

This study was financed, in part, by the São Paulo Research Foundation (FAPESP), Brasil. Process Number #2024/10569-5 and #2022/09319-9.

Data Availability Statement

The original contributions presented in this study are included in the article. Further inquiries can be directed to the corresponding author.

Acknowledgments

This study was financed, in part, by the São Paulo Research Foundation (FAPESP), Brasil. Process Number #2024/10569-5 and #2022/09319-9.

Conflicts of Interest

The authors declare no conflicts of interest.

References

  1. Semear Digital. Available online: https://www.semear-digital.cnptia.embrapa.br/dats/ (accessed on 11 January 2025).
  2. Confederação Nacional de Municípios. Prejuízos da agropecuária nos últimos 10 anos; CNM: Brasília, Brasil, 2023. [Google Scholar]
  3. Van Ginkel, M.; Biradar, C. Drought Early Warning in Agri-Food Systems. Climate 2021, 9, 134. [Google Scholar] [CrossRef]
  4. Sass, K. S.; Konak, A.; Macedo, M. B. de; Benso, M. R.; Shrimpton, E.; Balta-Ozkan, N.; Sarmah, T.; Mendiondo, E. M.; Silva, G. J. da; Silva, P. G. C. da; Nardocci, A. C.; Jacobson, M. Enhancing drought resilience and vulnerability assessment in small farms: A global expert survey on multidimensional indicators. International Journal of Disaster Risk Reduction 2024, 110, 104616. [Google Scholar] [CrossRef]
  5. Intergovernmental Panel on Climate Change (IPCC). Central and South America. In Climate Change 2022—Impacts, Adaptation and Vulnerability: Working Group II Contribution to the Sixth Assessment Report of the Intergovernmental Panel on Climate Change; Cambridge University Press: Cambridge, UK, 2023; Volume 1, pp. 1689–1816. [Google Scholar] [CrossRef]
  6. Vicente-Serrano, S. M.; Beguería, S.; López-Moreno, J. I. A Multiscalar Drought Index Sensitive to Global Warming: The Standardized Precipitation Evapotranspiration Index. J. Climate 2010, 23, 1696–1718. [Google Scholar] [CrossRef]
  7. Khand, K.; Taghvaeian, S.; Gowda, P.; Paul, G. A Modeling Framework for Deriving Daily Time Series of Evapotranspiration Maps Using a Surface Energy Balance Model. Remote Sens. 2019, 11, 508. [Google Scholar] [CrossRef]
  8. Junior, A.L.P.; Biudes, M.S.; Machado, N.G.; Vourlitis, G.L.; Geli, H.M.E.; Santos, L.O.F.d.; Querino, C.A.S.; Ivo, I.O.; Neto, N.L. Assessment of Remote Sensing and Re-Analysis Estimates of Regional Precipitation over Mato Grosso, Brazil. Water 2021, 13, 333. [Google Scholar] [CrossRef]
  9. Li, Z.-L.; Wu, H.; Duan, S.-B.; Zhao, W.; Ren, H.; Liu, X.-Y.; Leng, P.; Tang, R.; Ye, X.; Zhu, J.; Sun, Y.; Si, M.; Liu, M.Z.; Li, J; Zhang, X.; Shang, G.; Tang, B.; Yan, G.; Zhou, C. Satellite Remote Sensing of Global Land Surface Temperature: Definition, Methods, Products, and Applications. Reviews of Geophysics 2023, 61, e2022RG000777. [Google Scholar] [CrossRef]
  10. Alvares, C. A.; Stape, J. L.; Sentelhas, P. C.; de Moraes Gonçalves, J. L.; Sparovek, G. Köppen’s Climate Classification Map for Brazil. Meteorologische Zeitschrift 2013, 22, 711–728. [Google Scholar] [CrossRef]
  11. European Union, Copernicus Land Monitoring Service. (2024). Copernicus Digital Elevation Model GLO-30. Available online: https://dataspace.copernicus.eu/ (accessed on 12 December 2024).
  12. Agritempo. Available online: https://www.agritempo.gov.br/br/sobre-nos/ (accessed on 10 December 2024).
  13. Wan, Z.; Hook, S.; Hulley, G. MOD11A1 MODIS/Terra Land Surface Temperature/Emissivity Daily L3 Global 1 km SIN Grid V061 [Data set]. NASA EOSDIS Land Processes DAAC. 2015. Available online: https://developers.google.com/earth-engine/datasets/catalog/MODIS_061_MOD11A1#dois (accessed on 12 December 2024). [CrossRef]
  14. Funk, C.; Peterson, P.; Landsfeld, M.; Pedreros, D.; Verdin, J.; Shukla, S.; Husak, G.; Rowland, J.; Harrison, L.; Hoell, A.; Michaelsen, J. The Climate Hazards Infrared Precipitation with Stations—a New Environmental Record for Monitoring Extremes. Scientific Data 2015, 2, 150066. [Google Scholar] [CrossRef] [PubMed]
  15. Monitor de Secas do Brasil. Available online: https://monitordesecas.ana.gov.br/tabela-de-classificacao (accessed on 10 December 2024).
  16. Jiménez-Muñoz, J. C.; Sobrino, J. A.; Mattar, C.; Malhi, Y. Spatial and Temporal Patterns of the Recent Warming of the Amazon Forest. J. Geophys. Res. Atmos. 2013, 118, 5204–5215. [Google Scholar] [CrossRef]
  17. Paredes-Trejo, F. J.; Barbosa, H. A.; Lakshmi Kumar, T. V. Validating CHIRPS-Based Satellite Precipitation Estimates in Northeast Brazil. Journal of Arid Environments 2017, 139, 26–40. [Google Scholar] [CrossRef]
  18. Caparoci Nogueira, S.; Moreira, M.; Lordelo Volpato, M. Evaluating Precipitation Estimates from Eta, TRMM and CHRIPS Data in the South-Southeast Region of Minas Gerais State—Brazil. Remote Sens. 2018, 10, 313. [Google Scholar] [CrossRef]
  19. de Oliveira-Júnior, J. F.; da Silva Junior, C.A.; Teodoro, P. E.; Rossi, F. S.; Blanco, C. J. C.; Lima, M.; de Gois, G.; Correia Filho, W. L. F.; Santiago, D. de B.; Vanderley, M. H. G. dos S. Confronting CHIRPS Dataset and in Situ Stations in the Detection of Wet and Drought Conditions in the Brazilian Midwest. Int J Climatol. 2021, 41, 4478–4493. [Google Scholar] [CrossRef]
  20. Cunha, A. P. M. A.; Zeri, M.; Deusdará Leal, K.; Costa, L.; Cuartas, L. A.; Marengo, J. A.; Tomasella, J.; Vieira, R. M.; Barbosa, A. A.; Cunningham, C.; Cal Garcia, J. V.; Broedel, E.; Alvalá, R.; Ribeiro-Neto, G. Extreme Drought Events over Brazil from 2011 to 2019. Atmosphere 2019, 10, 642. [Google Scholar] [CrossRef]
  21. G1. Available online: https://g1.globo.com/sp/sao-carlos-regiao/noticia/2020/10/09/falta-de-chuva-e-baixa-umidade-do-ar-devem-causar-prejuizo-a-safra-do-cafe-em-caconde.ghtml (accessed on 10 December 2024).
  22. AP News. Available online: https://apnews.com/article/brazil-climate-change-drought-coffee-harvest-a6516a4b314e6ba7c11513c08afb6996 (accessed on 10 December 2024).
  23. Marengo, J. A.; Espinoza, J. C. Extreme Seasonal Droughts and Floods in Amazonia: Causes, Trends and Impacts. Int. J. Climatol. 2016, 36, 1033–1050. [Google Scholar] [CrossRef]
Figure 1. Location Map of the Agrotechnological Districts and Agritempo Weather Stations.
Figure 1. Location Map of the Agrotechnological Districts and Agritempo Weather Stations.
Preprints 147207 g001
Figure 2. Flowchart of the Standardized Precipitation Evapotranspiration Index (SPEI) calculation process.
Figure 2. Flowchart of the Standardized Precipitation Evapotranspiration Index (SPEI) calculation process.
Preprints 147207 g002
Figure 3. Correlation between temperature data from MODIS and Agritempo.
Figure 3. Correlation between temperature data from MODIS and Agritempo.
Preprints 147207 g003
Figure 4. Correlation between precipitation data from CHIRPS and Agritempo.
Figure 4. Correlation between precipitation data from CHIRPS and Agritempo.
Preprints 147207 g004
Figure 5. Climograph of the Agrotechnological Districts, showing monthly precipitation, potential evapotranspiration (PET), and temperature.
Figure 5. Climograph of the Agrotechnological Districts, showing monthly precipitation, potential evapotranspiration (PET), and temperature.
Preprints 147207 g005
Figure 6. Standardized Precipitation Evapotranspiration Index (SPEI) from March 2000 to October 2024 at a 3-month time scale.
Figure 6. Standardized Precipitation Evapotranspiration Index (SPEI) from March 2000 to October 2024 at a 3-month time scale.
Preprints 147207 g006
Figure 7. Frequency and severity of drought events in the Agrotechnological Districts for the Standardized Precipitation Evapotranspiration Index (SPEI) at a 3 -month time scale.
Figure 7. Frequency and severity of drought events in the Agrotechnological Districts for the Standardized Precipitation Evapotranspiration Index (SPEI) at a 3 -month time scale.
Preprints 147207 g007
Figure 8. K-means, Density-Based Spatial Clustering of Applications with Noise (DBSCAN), and dendrogram clusters for the Standardized Precipitation Evapotranspiration Index at a 3 -month time scale.
Figure 8. K-means, Density-Based Spatial Clustering of Applications with Noise (DBSCAN), and dendrogram clusters for the Standardized Precipitation Evapotranspiration Index at a 3 -month time scale.
Preprints 147207 g008
Figure 9. Standardized Precipitation Evapotranspiration Index (SPEI) from March 2000 to October 2024 at a 6-month time scale.
Figure 9. Standardized Precipitation Evapotranspiration Index (SPEI) from March 2000 to October 2024 at a 6-month time scale.
Preprints 147207 g009
Figure 10. Frequency and severity of drought events in the Agrotechnological Districts for the Standardized Precipitation Evapotranspiration Index (SPEI) at a 6 -month time scale.
Figure 10. Frequency and severity of drought events in the Agrotechnological Districts for the Standardized Precipitation Evapotranspiration Index (SPEI) at a 6 -month time scale.
Preprints 147207 g010
Figure 11. K-means, Density-Based Spatial Clustering of Applications with Noise (DBSCAN), and dendrogram clusters for the Standardized Precipitation Evapotranspiration Index at a 6-month time scale.
Figure 11. K-means, Density-Based Spatial Clustering of Applications with Noise (DBSCAN), and dendrogram clusters for the Standardized Precipitation Evapotranspiration Index at a 6-month time scale.
Preprints 147207 g011
Table 1. Drought intensity categories.
Table 1. Drought intensity categories.
ID Category SPEI Probably Impacts
S0 Slight drought -0.5 to -0.79 Reduced planting, decrease in crops and pasture growth.
S1 Moderate drought -0.8 to -1.29 Some damage to crops and pastures; streams, reservoirs, or wells at low levels; developing or imminent water shortages; voluntary water use restrictions requested.
S2 Severe drought -1.3 to -1.59 Crop or pasture losses likely; water shortages common; mandatory water restrictions imposed.
S3 Extreme drought -1.6 to -1.99 Major crop and pasture losses; widespread water shortages; strict water restrictions enforced.
S4 Exceptional drought <-2 Exceptional and widespread crop and pasture losses; severe water shortages in reservoirs, streams, and wells, creating emergency situations.
Source: Adapted from [15]. SPEI = Standardized Precipitation Evapotranspiration Index.
Table 2. Mann–Kendall and Sen’s slope results for the Agrotechnological Districts for the Standardized Precipitation Evapotranspiration Index at a 3-month time scale.
Table 2. Mann–Kendall and Sen’s slope results for the Agrotechnological Districts for the Standardized Precipitation Evapotranspiration Index at a 3-month time scale.
Agrotechnological Districts Z P-Value Trend Sen’s Slope
Alto Alegre -2.8279 0.0046 Decreasing -0.0020
Boa Vista do Tupim -2.5110 0.0120 Decreasing -0.0018
Breves -5.2855 0.0000 Decreasing -0.0038
Caconde -2.6451 0.0082 Decreasing -0.0020
Guia Lopes da Laguna -1.0637 0.2874 No trend -0.0008
Ingaí -0.7076 0.4792 No trend -0.0005
Jacupiranga -4.0282 0.0001 Decreasing -0.0029
Lagoinha 1.486 0.137 No trend 0.001
São Miguel Arcanjo -3.1877 0.0014 Decreasing -0.0024
Vacaria 0.3562 0.7217 No trend 0.0003
Table 3. Mann–Kendall and Sen’s slope results for the Agrotechnological Districts for the Standardized Precipitation Evapotranspiration Index at a 6-month time scale.
Table 3. Mann–Kendall and Sen’s slope results for the Agrotechnological Districts for the Standardized Precipitation Evapotranspiration Index at a 6-month time scale.
Agrotechnological Districts Z P-Value Trend Sen’s Slope
Alto Alegre -3.4757 0.0005 Decreasing -0.0027
Boa Vista do Tupim -3.9556 0.0001 Decreasing -0.0029
Breves -5.6072 0.0000 Decreasing -0.0040
Caconde -3.2431 0.0012 Decreasing -0.0025
Guia Lopes da Laguna -0.1459 0.8840 No trend -0.0001
Ingaí -0.8403 0.4007 No trend -0.0006
Jacupiranga -5.1334 0.0000 Decreasing -0.0037
Lagoinha 3.3443 0.0008 Increasing 0.0026
São Miguel Arcanjo -4.4920 0.0000 Decreasing -0.0035
Vacaria 0.7173 0.4732 No trend 0.0005
Disclaimer/Publisher’s Note: The statements, opinions and data contained in all publications are solely those of the individual author(s) and contributor(s) and not of MDPI and/or the editor(s). MDPI and/or the editor(s) disclaim responsibility for any injury to people or property resulting from any ideas, methods, instructions or products referred to in the content.
Copyright: This open access article is published under a Creative Commons CC BY 4.0 license, which permit the free download, distribution, and reuse, provided that the author and preprint are cited in any reuse.
Prerpints.org logo

Preprints.org is a free preprint server supported by MDPI in Basel, Switzerland.

Subscribe

Disclaimer

Terms of Use

Privacy Policy

Privacy Settings

© 2026 MDPI (Basel, Switzerland) unless otherwise stated