1. Introduction
Human communication involves the interpersonal exchange of ideas, wishes, and feelings among people. The development of social- and verbal communication skills is a significant developmental step for infants and children and is critical for their intelligence, the development of cognition, their future communicative participation, and thus for their future lives. Earlier research primarily investigated children's speech and language skills, but in the last years the importance of pragmatic communicative skills has been recognized [
1,
2,
3,
4,
5,
6,
7,
8]. The scientific and educational importance of communication skills is reflected in the introduction of social (pragmatic) communication disorder as a new category in the fifth edition of the
Diagnostic and Statistical Manual of Mental Disorders [
9]. The importance of communication is also emphasized in the International Classification of Functioning, Disability and Health (ICF) [
10]. Nevertheless, uncertainties and unanswered questions remain [
11].
The concept of communication is complex. An infant’s smiling and crying represent the first type of communication [
12]. Andalo et al. [
13] documented that the development of language and communication is partially based on physical motoric development. According to Piaget et al. [
14] and Zollinger [
15] the development of communication is linked to the child's ability to play, recognise symbols, and triangulate. In recent years, numerous publications and reviews on child communication have appeared and contributed to a better understanding [
6,
16,
17,
18,
19]. However, it should not be overlooked that individual elements of communication do not necessarily reflect communicative participation. Ultimately, however, it is communicative participation that is of crucial importance [
7,
11].
To assess communication-skills in preschool children some studies attempted caregiver questionnaires. The FOCUS (
Focus on the Outcomes of Communication Under Six) questionnaire examines the communicative skills of subjects under the age of six years and is also used to correlate communication and DLD development in children [
20]. In the vast majority of all studies the development of communication is assessed on the analysis of various test-procedures or questionnaires, furthermore on patient-reported outcome measures or parents’ reports concerning communicative skills [
16]. However, communicative skills do not necessarily equate to possessing the ability of “communicative participation” [
7,
11,
18]. To our best knowledge currently there exist no objective testing methods to characterize communicative abilities in preschool children
In Germany, specialised logopaedic / speech therapy kindergartens exist. The concept of logopaedic kindergartens is founded on scientific evidence showing that children with speech and language impairments benefit from appropriate therapy. The multimodal approach of these kindergartens involving the participation of specialized educators, speech therapists, occupational therapists, and psychologists aims to help the children to integrate into mainstream schools and pursue vocational training later in life [
21,
22].
Prior to admission to a speech therapy kindergarten, other significant impairments apart from speech development disorders must be excluded. Furthermore, children must have received 30 hours or more of unsuccessful outpatient speech therapy. Upon admission, children are aged between 4 and 6 years, and the average duration of therapy is 18 months. The ratio of children to educators in the logopaedic kindergarten is 8:1.5, thus significantly better than that in regular kindergarten with a ratio of 25:3.
Pedagogical research [
23,
24] has shown that objective skills such as a high IQ (hard skill) do not necessarily guarantee success or stimulate an optimal development. Instead, soft skills, such as the environment or intensive practice (life skills), seem to be crucial for a positive long-term development. The authors suggest that this situation might be comparable for speech-language development. This implies that in agreement with Cunningham et al. [
7,
18] individual language skills, such as articulation, vocabulary or phonological awareness (hard skills) or single communicative skills alone are not sufficient for children’s language or communicative development and participation outcome. It is important that soft skills, such as interindividual communication and language practice must be further developed. Enhancing these soft skills could potentially improve the long-term prognosis of children with DLD and communication disorders.
Consequently, this explorative study investigated verbal interpersonal communication of preschool children with their peers as an important aspect of communicative participation behaviour in young children with DLD. Additionally, we introduced video analysis as a novel method to analyse communicative development and participation in preschool children. One important research hypothesis investigates whether speech-language therapy will improve DLD and communication concurrently.
2. Methods
2.1. Study Design
The authors present a prospective observational study in a speech therapy kindergarten in Hanover, Germany, over one therapy year (2016 to 2017). Nine preschool children (7 boys, 2 girls) (
Table 1) with DLD were included in the study. Informed consent was obtained from parents and caregivers prior to enrolment. At study enrolment, the children were aged 4-6 years. All children had a pronounced developmental language disorder (ICD-10: F 80.9) and minor additional disorders, such as problems associated with the oral musculature (ICD-10: F 82) [
25] (see Appendix 1).
As part of the admission process, parents were required to consent to various examinations, and the results of these were analysed for the present study. No additional examinations were conducted specifically for this study.
2.2. Participants
All children underwent a psychological and a speech-therapy assessment upon admission. Within the therapy year all children were routinely tested 4 times per therapy year with regard to their language skills and 2 to 3 times per year regarding their overall development. Similar to the initial assessments, these examinations are based on various test procedures and the judgement of the therapists and educators (
Table 2 and
Table 3; Appendices 1, 2, 3a and 3b) and guided the logopaedic and pedagogical treatment plan, finally.
2.3. Methods and Analysis of Communication Skills
The authors developed an internal assessment protocol for communication evaluation previously unreported.
Based on this protocol, the children's communication behaviour was assessed qualitatively or semi-quantitatively by educators and speech therapists using standardised methodology on admission and at regular intervals of 3 to 4 months (
Table 2 and
Table 3; Appendixes 1 and 2).
Given the children's frequent difficulties in passing objective tests, all children in the study groups were also routinely assessed using Zollinger's developmental profiles (Appendix 2). Zollinger's [
15] non-standardised developmental profiles are qualitative assessments of four skills (i.e., practical-gnostic, symbolic, linguistic, social-communicative criteria) which have shown to be present in approximately 80% of children aged 9 to 42 months. However, Zollinger’s test results in the present study are limited by the fact that the children analysed are significantly older than 42 months. But the developmental profiles were a valuable aid for a pedagogical-therapeutic routine.
In general, it is evident that all standardised and non-standardised test procedures can only characterise single aspects of the children's abilities and/or disorders. Thus, multiple, simultaneous testing procedures - as conducted in this study - most accurately reflect the abilities and limitations of the different children.
2.4. Pedagogical Principles
As described above, all children were extensively tested when they started kindergarten and individual support plans were created based on the results. The criteria for these examinations included self-confidence, social skills, knowledge of materials and motor skills (Appendix 3a and 3b). The development of these abilities, which were either missing or not fully developed according to age, was then specifically supported by pedagogical means. Typically, a pedagogic review was conducted four times during the therapy year and the support measures were adjusted accordingly. As stated pedagogical principles for the children focused on the criteria "temperament and personality functions", "energy and drive functions", "basic learning", and "general tasks and demands"(ICF-CY 2007) [
26].
The specialized educators (1,5 educators for 8 children) tried to improve the children's abilities with targeted measures, entertained them and sang with them. Reading aloud was not possible due to the children's impaired abilities. In contrast to the speech therapists, the educators did not correct the children in their speech – linguistic corrections were made only by the speech therapists
2.5. Video-Documentation and -Analysis
The individual quantitative examinations of communication behaviour were performed using video analyses of the children at the beginning of the therapy year (0 months) and after 3, 7, and 10 months. Speech, behaviour, and verbal communication skills of all children in the study group were documented for one hour, starting from 8:15 to 9:15 am. During this observation period, the children acted autonomously without intervention from teachers and/or therapists.
Evaluation of the recordings were conducted by qualified speech therapists and a medical expert specialising in treatment of children with language impairment. In borderline situations, the assessment of the majority of assessors was accepted.
The verbal communication behaviour of the children involved was analysed for a duration of 10 seconds every 2 minutes. The three assessors categorised the quantitative communication behaviour of the children as "verbal expressive action” (Av) and the language reaction or answer as "verbal responsive action” (Rv). In addition, "non-verbal expressive action” (An), such as hand gestures or facial expression, "non-verbal responsive action” (Rn), and "no interaction” (D0) were evaluated. The criteria for the assessment of non-verbal responsive actions were observable gestures, movement, and significant facial expressions. Highly subtle reactions, such as a wink, are neglected due to the scope of this investigation. However, it has previously been shown that these reactions are significant in the assessment of communication skills [
27].
The communication activities Av, Rv, An, Rn, and D0 were extrapolated for the observation hours and presented as percentage proportions per hour (% / h). Consequently, 28 to 30 evaluations per hour were conducted for each child, and a total of 4 observation hours were recorded at 0, 3, 7, and 10 months throughout the therapy year.
In 2022, five years after discharge, a telephone follow-up survey was conducted to evaluate the study participants, including their current school-level of education (
Figure 1).
The primary outcome measure was the quantitative and qualitative change in interpersonal speech-language (SL) and communication behaviour in the kindergarten group (peer-group) over the course of one therapy year as measured by standardised test-procedures, but also judged by subjective assessments of the therapy team. An objective method to assess communication was video documentation.
Secondary outcome measures included the level of secondary schooling achieved and language skills at the time of, and following, discharge from the kindergarten.
2.6. Significance of Other Influencing Factors
The authors are aware that certain factors influencing language and communication development were not considered in this study that may alter results. Examples include the children’s IQ, the number of siblings, or similar variables. Among others, Alons et al. [
16] and Cunningham et al [
8] have documented a wide range of such influencing factors.
The authors believe that, despite (or perhaps because of) the data reduction performed, the study results provide important insights into children’s development of language and communication skills.
In terms of study design, this exploratory study involves a small number of subjects, making statistical analysis mathematically inappropriate.
3. Results
Table 1 summarises the characteristics of the study participants, including age, native family language, IQ, number of siblings and characterization of SL-disorder according to ICD [
25]. Five children came from non-native German-speaking families (Child: D1, P, D2, J1, E). However, German was also the everyday language in these households. Logopaedic speech therapy assessment established that the extent of German language problems was comparable in all study participants, regardless of their language background (Appendix 1). For children of a non-German speaking background, caregiver feedback confirmed the similarities of speech problems in both languages. The details on the different logopaedic criteria and the language status before and after therapy are presented in Appendix 1.
All study participants demonstrated verbal communication disorders to varying degrees and with different problems (Appendix 1).
Figure 2 summarises verbal address (Av) and shows that all the children communicated or tried to communicate to varying degrees regardless of their individual disorders. Within the therapy year no systematic development is detectable.
The ratio between Av (active verbal expressive action) and Rv (verbal responsive action) was defined as an indicator for individual social communication (communicative participation) of the children. The authors classified the Av / Rv ratio with a range between < 0.9 and 1.1 as “normal”, indicating an appropriate balance between verbal expression and reaction. An Av/Rv ratio of more than 1.1 due to a low Rv was classified as “irregular, less communicative”.
A general (weak) correlation was observed between expressive Av (%/ h) and responsive Rv (%/ h) action with a Pearson correlation coefficient of r = 0.881. The correlation between An (%/ h) and Rn (%/ h) for the corresponding non-verbal communication behavior was considerably lower with a Pearson correlation coefficient of r = 0.475.
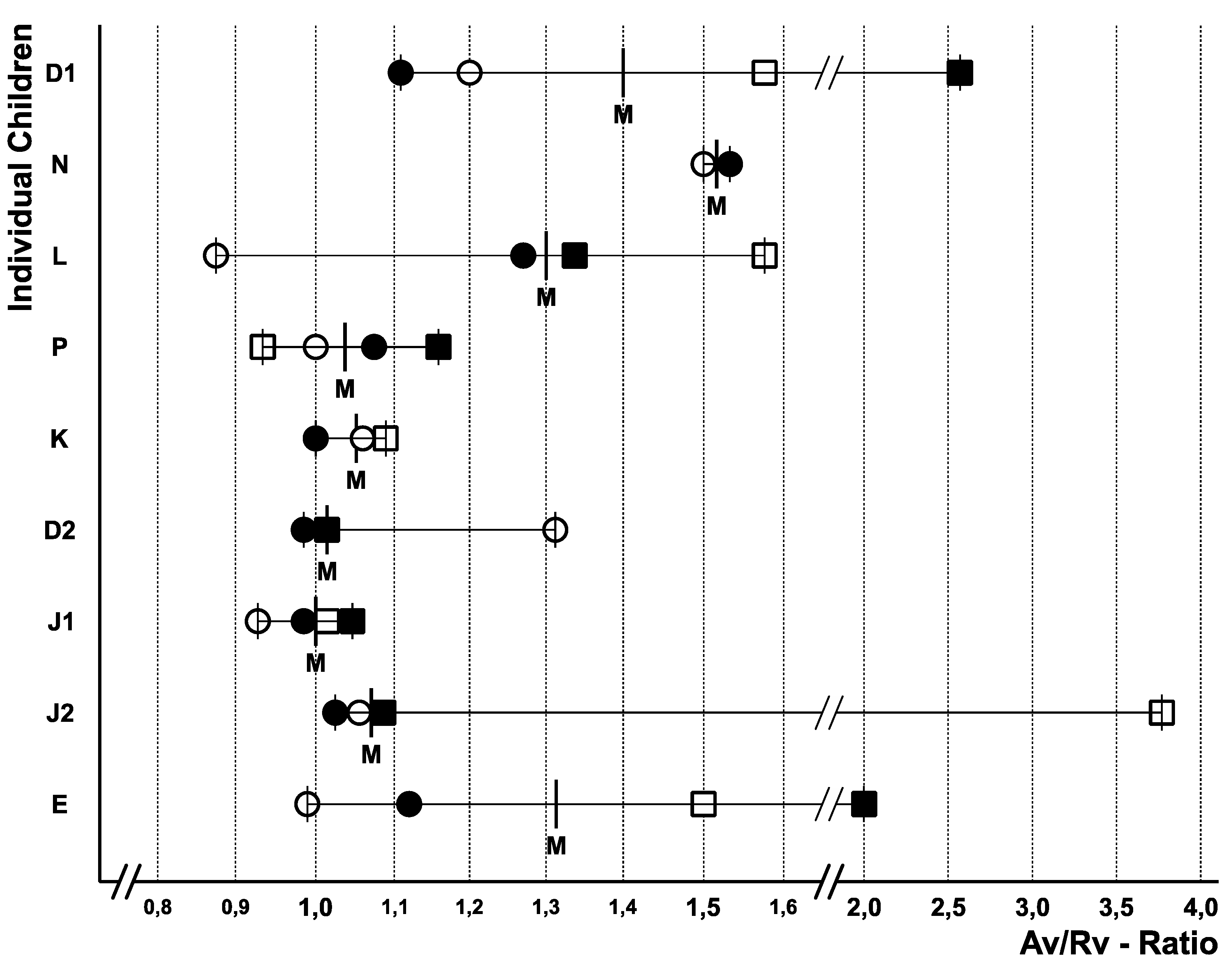
The balance between “verbal expressive action” and “responsive reaction” is thought to be important for verbal interpersonal communication. The authors expressed this via repeated evaluation of the Av/Rv ratio (i.e., the ratio of verbal expressive action to verbal response), as shown in
Figure 3. This Av/Rv ratio proved to be a useful method for quantifying communication behaviour, although it varies significantly throughout the year. The median Av/Rv ratio correlated with the additional assessments of communication behaviour (
Figure 4,
Table 3, and Appendixes 1 and 2). During these video-investigations, children acted independently of adult presence and influence, thus, being able to solely communicate with their peers. It has previously been shown that the presence of adults alters communication behaviour in preschool children [
3,
28,
29].
Figure 3 demonstrates a median Av/Rv ratio greater than 1.1 for children D1, N, L and E. The authors interpreted this ratio as non-reciprocal communication behaviour, displaying a large amount of verbal share Av (in part without the apparent intention to communicate) and a low reactive share Rv. Children P, K, D2, J1 and J2 with an Av/ Rv ratio between
<0.9 and 1.1 appeared to have predominantly ”normal” communication behaviour with equally weighted proportions of responsive and reactive verbal behaviour, therefore displaying a “give and take” behaviour. In the present study the Av/Rv ratio fluctuated substantially over the course of the study year.
Clearly observable non-verbal communication (consisting of actions (An) and non-verbal reactions (Rn)) was rarely detected with a median of 5% per hour (range: 2 - 12.5 % per hour).
According to the assessment of speech-therapists, educators, and test procedures in general, the children's linguistic phonological, phonetic, and grammatical progress was better than their verbal communicative progress over the course of the therapy year (
Figure 4,
Table 3, Appendix 1).
.
In a telephone follow-up five years after discharge, three (D1, N, E) of the four children (D1, N,E, L) with a high Av/Rv ratio (Av/Rv
> 1.1) and the assessment “pronounced communication disorder” were attending a “high-level secondary school” (german “Gymnasium”/ “Realschule” / IGS; characterized by the academic level, refers to types of secondary schools) (
Figure 1; characterization of school types in Germany: see Appendix 4). In comparison, two (P, J2) of four children (P, D2, J1, J2) with significant speech language impairment and presumed “normal” communication behaviour (based on Av/Rv < 1.1) were attending a “specialized school” with distinct support measures.
In the present study two (L, J2) of three children with DLD and oral dysfunction (L, D2, J2) had to attend a “specialized school” or “speech therapy school” in the long term.
4. Discussion
In this study all examined preschool children suffered of DLD and all of them expressed their desire to communicate with their peers. The verbal communication behaviour of the children as core competence for their individual development and communicative participation was determined by their peer group without adult influence. Children’s communication amongst their peers varies from that displayed in the presence of adults [
3,
29], in particular in young children developing language skills and children with language disorders. Research findings give some evidence that not necessarily logopaedic therapy methods but practice and environment might be decisive for a successful development [
8,
11,
18] similar to pedagogical development [
23,
24].
All children in this study showed varying degrees of improvement in linguistic aspects such as phonology, phonetics, and/or grammar, during the therapy year as determined by test procedures and the assessment of therapists. This result is in agreement with the studies of Cunningham et al [
3,
29], Levickis [
11] and Law et al [
30]. In contrast, unexpectedly, the examined children showed no significant changes or development in communicative verbal address (Av) or in the ratio Av/Rv as measured by objective video documentation throughout the year. Presumably, the ratio Av/Rv is an important hint for individual and interpersonal communication abilities/ communicative participation. These observations were interpreted as a long-term verbal communication disorder and are consistent with the published literature [
31]. According to Buzhardt et al [
32] the simultaneous impairments in speech-language and communication may be an indicator for increased risk for autism spectrum disorder. However, in the present study all children with communicative problems analysed gave no evidence for autism spectrum disorder and even showed positive speech/ language- and communicative development in the long-term.
For participation and development of the children the linguistic abilities as well as communication skills and social abilities are highly important [
1,
5,
33]. Whilst very often therapy differentiates between linguistic and communicative abilities, linguistic abilities are an important prerequisite for communication. Linguistic abilities can be supported and improved by intensive speech therapy [
34]. For the development of communication skills and communicative participation, the authors believe that in addition to the linguistic skills a combination of exercise and environment are crucial and that logopaedic and pedagogical support are important additional measures. This interpretation of the study findings is in conclusion with other studies [
7,
8,
23].
In the present study, all preschool children with DLD showed a strong desire to communicate with one another, despite their speech and communication challenges. This finding shows how children use their communication abilities to engage with others and seems to indicate a strong individual intrinsic motivation [
7,
10,
11,
35,
36].
Although no significant improvement in children with mainly communication skills was observed during the therapy period, the children’s long-term development seemed surprisingly successful illustrated by their attendance at regular secondary schools. In comparison to the above group, the long-term academic development of the children with predominant DLD and “normal” communicative behaviour was less accomplished.
The observation of a positive development of communication after intensive pedagogical care during preschool age also corresponds to the observations of Mortensen et al. [
37], Whitehouse et al. [
38], Dickinson et al. [
39], and others. It is debatable whether social, educational, or physical problems or a lack of educational support are critical determinants of the long-term problems of children with language development and communication disorders, as described by Botting et al. [
40], Maggio et al. [
41], and Johnson et al. [
42]. From the pedagogical aspect Stamm [
23,
24] emphasises the importance of practice and a positive environment which is in accordance with the findings of Cunningham et al [
8] and Alons [
16].
The present study offers valuable insights to the children’s perspective to use communication for engagement in life, but also has certain limitations. It is a prospective, long-term observational study focused on the communication behavior of preschool children with DLD in a speech therapy kindergarten. Unlike many studies that rely on questionnaires, this research aims to provide a more direct objective and comprehensive understanding through video documentation, various tests, and evaluations by specialized professionals. However, the sample size is small, with just nine children who vary significantly in their individual conditions such as number of siblings, mother tongue and others. The data was assessed and summarized by three examiners (a physician, a speech therapist, and a pedagogical therapist). Additional limitations include the intra-observer reliability of grading, the socio-economic context of the kindergarten studied, and potential linguistic characteristics unique to the German language.
In conclusion, although the study was limited by a small sample size and a simplified model, the findings suggest that the speech-language- and communication environment plays a crucial role for the development of children. Results indicate that all children have a strong desire to engage in communicative participation with their peers. There is also some evidence that the first signs of communication problems can be recognised early in young children. In addition, we believe that video documentation and subsequent computerized analysis (for example utilizing machine learning or artificial intelligence) can also be a significant aid in the future assessment of possible communicative disorders in preschool children with DLD.
5. Conclusion
This study is a prospective study in which we expected a continuous, largely parallel improvement of speech and verbal communication due to continuous therapy. However, evidence exists that two groups with different disorder foci emerged, and they differed over the course of the therapy year. The present study suggests that children with mostly DLD problems predominantly require speech therapy. Children with a predominant verbal communication problem could have an incipient or existing “social (pragmatic) communication disorder”. According to the current literature, a combination of educational and speech therapy seems to be helpful for this type of disorder. Overall, our findings show that an improvement in language skills does not necessarily lead immediately to improved communication behaviour.
Despite the aforementioned limitations and the small, heterogeneous group of children with DLD studied – along with the resulting statistical challenges – the authors believe that further large-scale studies would be beneficial
5.1. What This Paper Adds:
Little is known about the relations between language and verbal communication development in preschool children with DLD. In general, it is assumed that language and verbal communication development occur largely in parallel.
In the present study, evidence suggests that young children can be divided into two distinct groups: one group primarily exhibits language disorders, while the other shows predominantly verbal communication difficulties. However, independent of their impairment, all children want to engage in communication/ communicative participation with their peers. It is important to note that speech-language therapy may not lead to simultaneous improvements in speech-language and communication skills.
The authors suggest that speech therapy should be sought for preschool children with a speech disorder, and a combination of educational and speech therapy interventions should be used for children with a verbal communication disorder.
Appendix 1: Speech-Language Development Status at the Beginning (B) and End (E) of Speech Therapy in the Logopaedic Kindergarten (Based on Assessment by SL-Teachers).

Appendix 2: Skills Necessary for Speech-Language Development Before and After Therapy (According to Zollinger [15]. The Data Refer to Individual Abilities Compared to Normally Developed 3.5-Year-Old Children. Legend: (↓)↓: (Strongly) Impaired; Ø: Average; ↑: Enhanced.
| Name |
IQ |
Before Therapy |
Age (years) |
After Therapy |
| |
Practical-gnostic |
Symbolic |
Linguistic |
Social communicative
|
|
Social communicative
|
Linguistic |
Symbolic |
Practical-gnostic
|
| D1 |
↑ |
↓↓ |
Ø |
↓↓ |
↓↓ |
6 |
↓↓ |
Ø |
Ø |
Ø |
| N |
Ø |
Ø |
Ø |
↓↓ |
↓↓ |
5 |
↓↓ |
↓↓ |
Ø |
Ø |
| L |
Ø |
Ø |
Ø |
↓↓ |
↓ |
5 |
Ø |
↓↓ |
Ø |
Ø |
| P |
↓ |
Ø |
Ø |
↓↓ |
↓↓ |
5 |
↓↓ |
Ø |
Ø |
Ø |
| K |
Ø |
Ø |
Ø |
↓ |
Ø |
5 |
Ø |
↓ |
Ø |
Ø |
| D2 |
|
Ø |
Ø |
↓↓ |
↓↓ |
5 |
↓↓ |
↓↓ |
Ø |
Ø |
| J1 |
↑ |
Ø |
Ø |
Ø |
Ø |
5 |
Ø |
Ø |
Ø |
Ø |
| J2 |
|
Ø |
Ø |
↓↓ |
↓ |
5 |
Ø |
Ø |
Ø |
Ø |
| E |
Ø |
Ø |
↓ |
↓ |
Ø |
4 |
Ø |
Ø |
↓Ø |
Ø |
Appendix 3a: Non-Verbal Parameter for the Assessment of Emotional and Social Qualities (Assessed by Educators).
| PARAMETERS |
ASSESSMENT SCORE |
| |
below average |
average |
above average |
| Frustration tolerance |
1 |
2 |
3 |
| Ability to accept criticism |
1 |
2 |
3 |
| Social competence |
1 |
2 |
3 |
| Compliance with rules |
1 |
2 |
3 |
| Ability to form relationships |
1 |
2 |
3 |
| Maximum points |
|
|
15 |
| Average points |
|
10 |
|
| Minimum points |
5 |
|
|
Appendix 3b: Assessment of Social and Emotional Qualities of the Various Children by Educators and Therapists. Criteria as Shown in Table 3a.
Child:
| |
D1 |
N |
L |
P |
K |
D2 |
J1 |
J2 |
E |
Frustration tolerance |
1 |
2 |
2 |
1 |
2 |
1 |
2 |
3 |
1 |
Ability to accept criticism |
2 |
2 |
2 |
2 |
2 |
2 |
3 |
2 |
1 |
Social competence |
2 |
3 |
2 |
1 |
2 |
3 |
3 |
3 |
2 |
Compliance with rules |
3 |
3 |
2 |
1 |
2 |
3 |
3 |
1 |
2 |
Ability to form relationships |
1 |
1 |
3 |
3 |
2 |
2 |
1 |
2 |
1 |
| |
|
|
|
|
|
|
|
|
|
Total Points
|
9
|
11
|
11
|
8
|
10
|
11
|
12
|
11
|
7
|
Appendix 4: Characterization of School Types in Germany:
The German "Gymnasium" specifically refers to a type of secondary high school that prepares students for university education.
“Realschule” refers to a type of secondary school that provides a more practical and vocational education compared to the academically focused Gymnasium, typically for students aged around 10 to 16.
The “IGS” integrates various educational tracks, offering a range of academic and vocational courses within the same institution, allowing students to choose different pathways based on their abilities and interests.
References
- White, A., Communication in the early years: An introduction (ECE resources). Available online: https://theeducationhub.org.nz/category/ece-resources/communication-and-oral-language-in- ece/2019.
- Hickman, M. The pragmatics of reference in child language: Some issues in developmental theory. In:Hickman, M., (eds): Social and functional approaches to language and thought (New York: Academic Press), 1987, pp 165-184.
- Falkum, I.L. Pragmatic development: learning to use language to communicate. Project: Acquiring Figurative Meanings: A Study in Developmental Pragmatics 2018 (accessed 10.02.2021).
- Cutting, A.L., Dunn, J. Theory of mind, emotion understanding, language and family background: Individual differences and interrelations. Child Development 1999, 70(4), 853 – 865.
- Barron, B. When smart groups fail. Journal of Learning Sciences, 2003, 12(3), 307-59.
- Schoon, I.,Parsons, S., Rush, R., Law, J., Childhood language skills and adult literacy: a 29-years follow-up study. Pediatrics 2010, 125:e459-466. [CrossRef]
- Cunningham, B.J.,Thomas-Stonell, N., Rosenbaum, P., Assessing communicative participation in preschool children with the Focus on the Outcomes of Communication Under Six: a scoping review. Developmental Medicine & Child Neurology 2020, 63, 47-53. [CrossRef]
- Cunningham, B.J., Hanna St.E., Rosenbaum, P., Thomas-Stonell, N., Oddson, B. Factors Contributing to Preschooler`s Communicative Participation Outcomes: Findings from a Population-Based Longitudinal Cohort Study in Ontario, Canada. American Journal of Speech-Language Pathology 2018, 7. https://ir.lib.uwo.
- Diagnostic and Statistical Manual of Mental Disorders. 5th edit., Text Revision, DSM-5-TR.
- World Health Organization. International Classification of Functioning, Disability and health (ICF). Geneva: World Health Organisation, 2001.
- Levickis, P. , Measuring communicative participation in population-based sample of children with speech and language difficulties. Developmental Medicine & Child Neurology, 2017, 59, 993–994 (Commentary). [Google Scholar] [CrossRef]
- Schneider-Antrich, P., Entwicklung und Themen von Peerbeziehungen. Verfügbar unter. Available online: http://www.kita-fachtexte.de 2011 (accessed on 20 July 2021).
- Andalò, B, Rigo, F, Rossi, G, Majorano, M, Lavelli, M. Do motor skills impact on language development between 18 and 30 months of age? Infant Behav Dev. 2022 Feb;66:101667. [CrossRef] [PubMed]
- Piaget, J., Stöber, N., Loch, W., Sprechen und Denken des Kindes. (Pädagogischer Verlag Schwann, Düsseldorf),1975.
- Zollinger, B.,2015, Die Entdeckung der Sprache 1975, (9th edit), (Bern: Haupt).
- Alons, E., Brauner, L., Luinge, M., Terwee, C.B.,Ewijk van, L., Gerrits, E. Review Article Identifying relevant concepts for the development of a communicative participation item bank for children and adolescents: A systematic review of existing instruments. Journal of Speech, Language and Hearing Research, 2024, 67, 1186-1205. [CrossRef]
- Doove, B.M., Feron, F.J.M., Os van, J., Drukker, M Preschool Communication: Early Identification of Concerns About Preschool Language Development and Social Participation. Frontiers in Public Health, 2021, 8, Article 546536. [CrossRef]
- Cunningham, B.J., Hanna, St.E., Oddson, B., Thomas-Stonell, N., Rosenbaum, P. A population-based study of communicative participation in preschool children with speech-language impairments. Developmental Medicine & Child Neurology 2017, 59, 1049-1055. [CrossRef]
- Martynenko, I. State of Communication Activity of Elder reschool Children with Developmental Language Disorders. Internation Journal of Pedagogy Innovation and New Technologies. 2016, 3. [Google Scholar] [CrossRef]
- Thomas-Stonell, N., Oddson, B.E., Robertson, B., Rosenbaum, P.L., Development of the FOCUS (Focus on the Outcomes of Communication Under Six), a communication outcome measure for preschool children. Developmental Medicine & Child Neurology2010, 52(1): 47-53. [CrossRef]
- Flöther, M., Schlüter, E., Bruns, T., Interdisziplinaere Foerderung und Behandlung bei Hoer- und Sprachstoerungen - Ergebnisse zur Wirksamkeit eines Konzepts aus Niedersachen (Multidisciplinary assessment and management of children with hearing and language disorders – an assessment of the effectiveness of a concept from Lower Saxony, Germany). LOGOS Interdisziplinaer 2011, 19, 282–292.
- Ullrich, D., Ullrich, K., Marten, M., A longitudinal assessment of early childhood education with integrated speech therapy for children with significant language impairment in Germany. Int Journal of Language and Communication Disorders 2014 49, 558-566.
- Stamm, M. Begabung, Kultur und Schule. Mythen, Gegenmythen und wissenschaftliche Erkenntnisse zu den Grundlagen der Begabtenförderung. Zeitschrift für internationale Bildungsforschung und Entwicklungspädagogik, 2010, 33, 1, 25-33.
- Stamm, M. Lebenskompetenz schlägt Intelligenz. Dossier 1/24, Swiss Education 2024. https://margitstamm.ch/dokumente/dossiers.html (16.07.
- ICD-10, International Statistical Classification of Diseases and Related Health Problems. 10th revision, 5th edit., 2016, WHO.
- ICF-CY International Classification of Functioning, Disability and Health – Children + Youth Version; 2007, WHO.
- Boyatzis, C., Satyaprasad, C., Children’s facial and gestural decoding and encoding: relations between skills and with popularity. Journal of Nonverbal Behavior, 1994, 18, (1), 37–55.
- Randhawa, E., Das frühkindliche Selbstkonzept. Struktur, Entwicklung, Korrelate und Einflußfaktoren. Dissertation 2012. Available online: https://opus.ph-heidelberg.de/frontdoor/delivery/index/docld/42/file/Randhawa_Dissertation.
- Lloyd-Esenkaya, A., Russell, J., St Clair, M.C., 2020, Review: What Are the Peer Interaction Strengths and Difficulties in Children with Developmental Language Disorder? A Systematic Review. Int. J. Environ. Res. Public Health 17, 3140. [CrossRef]
- Law, J., Garrett, Z., Nye, C.. Speech and language therapy interventions for children with primary speech and language delay or disorder. Cochrane Database Syst Rev 2003, 3, CD004110.
- Timm, A. Sprache und Interaktion im Kindergarten. Eine quantitativ-qualitative Analyse der sprachlichen und kommunikativen Kompetenzen von drei- bis sechsjährigen Kindern. (Bad Heilbrunn. Julius Klinkhard), 2009.
- Buzhardt, J., Wallisch, A., Irvin, D., Boyd, B., Salley, B., Jia, F. Exploring Growth in Expressive Communication of Infants and Toddlers With Autism Spectrum Disorder. Journal of Early Intervention. 2022, 44(1), 3-22. https.//doi.org/10.1177/1053815121995578.
- Heckman, J. J. Investing in disadvantaged young children is an economically efficient policy. Committee for Economic Development. In “Building the Economic Case for Investments in Preschool” Committee for Economic Development. (New York, USA),2006, (accessed 2015).
- Gallagher, A.L., Chiat, S., Evaluation of speech and language therapy interventions for pre-school children with specific language impairment: a comparison of outcomes following specialist intensive, nursery-based and no intervention. International Journal of Language and Communication Disorders, 2009, 44(5), 616-638.
- Coombes, L., Bristowe, K., Ellis-Smith, C., Aworinde, J., Fraser, L.K., Downing, J., Bluebond-Langener, M., Chambers, L., Murtagh, F.E.M., Harding, R., Enhancing validity, reliability and participation in self-reported health outcome for children and young people: A systematic review of recall period, response scale format, and administration modality. Quality of Life Research, 2021, 30(7), 1803-1832. [CrossRef]
- Khadka, J., Kwon, J., Petrou, S, Lancsar, E, Ratcliffe, J. Mind the (inter-rater) gap. An investigation of self-reported versus proxy-reported assessments in the derivation of childhood utility values for economic evaluation: A systematic review. Social Science & Medicine, 2019, 240, Article 112543. [CrossRef]
- Mortensen, J.A., Barnet, M.A., Teacher-child interactions in Infant/ toddler child care and socioemotional development. Early Education and Development,2015, 26 (2),1-21.
- Whitehouse, A.J.O., Varcin, K.J., Pilar, S., Billingham, W., Alvares, G.A., Barbaro, J., Bent, C.A. et al., Effect of Preemptive Intervention on Developmental Outcomes Among Infants Showing Early Signs of Autism. A Randomized Clinical Trial of Outcomes to Diagnosis. JAMA Pediatrics 2021, 175 (11): e213298. [CrossRef]
- Dickinson, D.K., Porche,M.V., Relation between language experiences in preschool classrooms and children`s kindergarten and fourth-grade language and reading abilities. Child Development, 2011, 82(3), 870-886.
- Botting, N., Conti-Ramsden, G., Social and Behavioural Difficulties in Children with Language Impairment. Child Language Teaching and Therapy, 2000, 16(2), 105-120.
- Maggio, V., Grana, N.E., Richaudeau, A., Torres, S., Giannotti, A., Suburo, A.M., Behavior Problems in Children with Specific Language Impairment. Journal of Child Neurology 2014, 29(2), 194–202.
- Johnson,C.J., Beitchman, J.H., Brownlie, E.B., Twenty-year Follow-up of Children with and without Speech-Language-Impairments: Family, Educational, Occupational, and Quality of Life Outcomes, American Journal of Speech-Language Pathology, 2010, 19(1) :51-65.
- Snijders-Oomen. Non-verbal Intelligence Test SON-R 2,5-7; Hild, P., Winkel, M., Wijnberg-Williams, B., Laros, J. (eds), ), (Swets & Zeitlinger B.V.: Lisse, The Netherland). 1997.
- Grimme, H. SETK 3-5: Sprachentwicklungstest für 3-5jährige Kinder, (Göttingen: Hogrefe). 2001.
- Kiese-Himmel, C. AWST-R: Aktiver Wortschatztest für 3-5jährige Kinder, (Göttingen: Hogrefe). 2005.
- Kauschke, C., Siegmülle, J., Patholinguistische Diagnostik bei Sprachentwicklungsstörungen, 2nd edit., (Göttingen: Hogrefe). 2009.
- KABC-II – Kaufman Assessment Battery for Children, 2nd edit., Kaufman A.S.& Kaufman, N.L. (eds.). Deutsche Bearbeitung Hrsg. Melchers, P. & Melchers, M., (Göttingen: Hogrefe). 2015.
- Zimmer R., Volkamer, M; MOT4-6: Motoriktest für vier- bis sechsjährige Kinder, 2nd ed.; (Landsberg: Verlag Weinheim).1987.
|
Disclaimer/Publisher’s Note: The statements, opinions and data contained in all publications are solely those of the individual author(s) and contributor(s) and not of MDPI and/or the editor(s). MDPI and/or the editor(s) disclaim responsibility for any injury to people or property resulting from any ideas, methods, instructions or products referred to in the content. |
© 2025 by the authors. Licensee MDPI, Basel, Switzerland. This article is an open access article distributed under the terms and conditions of the Creative Commons Attribution (CC BY) license (http://creativecommons.org/licenses/by/4.0/).