Submitted:
16 January 2025
Posted:
17 January 2025
You are already at the latest version
Abstract
Keywords:
1. Introduction
2. Materials and Methods
2.1. Manufacture of Heating Furnaces
2.2. Programming Thermal and Microstructural Evolution Models from Thermal Histories
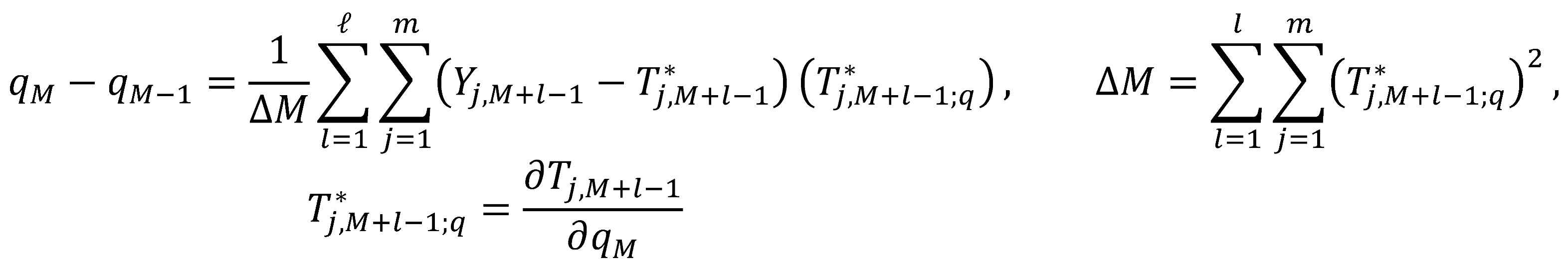
2.3. Programming the Thermal Evolution Model by Estimating Boundary Conditions
2.4. Programming the Thermal and Microstructural Evolution Model
2.5. Design of the Positioning System for Steel Probes
-
2 -FUYU ball screw linear stage
- o
- X - Model FSL120-C710 E1000 BC B86 - Nema 34 3-phase stepper motor 128 mm length Model FMDT220A42NOM
- o
- Z - Model FSL80-C710 E800 BC B60S - Nema 24 2-phase brake motor Model FMDD50D40NOM
- 3-axis controller Model FMC4030
- 100W DC power supply Model LRS-100-24
- Limit Switch NPN-NO
- Cable chain, brackets and screws
- 2 m aluminium frame height
3. Results
4. Discussion
5. Conclusions
Author Contributions
Acknowledgements
Conflicts of Interest
Abbreviations
| CAE | Computer-Aided Engineering |
| IHCP | Inverse Heat Conduction Problem |
| CCT | Continuous Cooling Transformation Diagrams |
| TTT | Temperature Time Transformation Diagrams |
| JMAK | Johnson-Mehl-Avrami-Kolmogorov equation |
| SFS | Sequential Function Specification |
| ASTM | American Society for Testing and Materials |
References
- ASTM Standard D6200-01. Standard Test Method for Determination of Cooling Characteristics of Quench Oils by Cooling Curve Analysis. ASTM International 2012, West Conshohocken.
- ASTM Standard D6482-06. Standard Test Method for Determination of Cooling Characteristics of Aqueous Polymer Quenchants by Cooling Curve Analysis with Agitation (Tensi Method). ASTM International 2011, West Conshohocken.
- ASTM Standard D6549-06. Standard Test Method for Determination of Cooling Characteristics of Quenchants by Cooling Curve Analysis with Agitation (Drayton Unit). ASTM International 2011, West Conshohocken.
- Hernández-Morales, B. , et al. Cooling curve analysis using an interstitial-free steel probe. In 19th ASM Heat Treating Society Conference and Exposition including Steel Heat Treating in the New Millenium: An International Symposium in Honor of Professor George Krauss. 1999, 284-291.
- Meekisho, L. , Hernandez-Morales, B., Tellez-Martinez, J.S., Chen, X. Computer-aided cooling curve analysis using WinProbe. International Journal of Materials and Product Technology 2005, 24, 155–169. [Google Scholar] [CrossRef]
- Campbell, P.C. , Hawbolt, E. B., Brimacombe, J.K. Application of microstructural engineering to the controlled cooling of steel wire rod, Editor(s): G.E., Ruddle, A.F., Crawley, In Proceedings of Metallurgical Society of Canadian Institute of Mining and Metallurgy, Pergamon, 1988, 309-330, ISBN 9780080357706., Editor(s): G.E. [CrossRef]
- Campbell, P.C. , Hawbolt, E.B. & Brimacombe, J.K. Microstructural engineering applied to the controlled cooling of steel wire rod: Part, I. Experimental design and heat transfer. Metall Trans A 1991, 22, 2769–2778. [Google Scholar] [CrossRef]
- Campbell, P.C. , Hawbolt, E.B. & Brimacombe, J.K. Microstructural engineering applied to the controlled cooling of steel wire rod: Part II. Microstructural evolution and mechanical properties correlations. Metall Trans A 1991, 22, 2779–2790. [Google Scholar] [CrossRef]
- Campbell, P.C. , Hawbolt, E.B. & Brimacombe, J.K. Microstructural engineering applied to the controlled cooling of steel wire rod: Part III. Mathematical model formulation and predictions. Metall Trans A 1991, 22, 2791–2805. [Google Scholar] [CrossRef]
- Prasanna Kumar, T. Coupled Analysis of Surface Heat Flux, Microstructure Evolution, and Hardness during Immersion Quenching of a Medium Carbon Steel in Plant Conditions. Materials Performance and Characterization 2012, 1, 1–MPC104477. [Google Scholar] [CrossRef]
- Babu, K. , Prasanna Kumar, T. Mathematical Modeling of Surface Heat Flux During Quenching. Metall Mater Trans B 2010, 41, 214–224. [Google Scholar] [CrossRef]
- Babu, K. , Prasanna Kumar, T.S. Comparison of Austenite Decomposition Models During Finite Element Simulation of Water Quenching and Air Cooling of AISI 4140 Steel. Metall Mater Trans B 2014, 45, 1530–1544. [Google Scholar] [CrossRef]
- Felde, I. , Réti, T., Evaluation Of Hardening Performance of Cooling Media by Using Inverse Heat Conduction Methods and Property Prediction. Strojniski Vestnik - Journal of Mechanical Engineering 2010, 56, 77–83. [Google Scholar]
- Méndez, J. Diseño Y Construcción de un Horno Eléctrico para el Secado de los Bobinados de Motores de hasta 10 Hp, Thesis in Engineering, ESFOT, Quito Ecuador, 12. http://bibdigital.epn.edu.ec/handle/15000/4639. 20 January 1500. [Google Scholar]
- https://www.comsol.
- Bird, R.B. , Stewart, W.E., & Lightfoot, E.N. Transport Phenomena, 2nd ed.; John Wiley & Sons Inc.: New York, United States of America, 2007. [Google Scholar]
- Wicks, C.E. , & Wilson, R.E., Fundamentals of Momentum Heat & Mass Transfer., 6th ed.; John Wiley & Sons Inc.: New York, United States of America, 2015. [Google Scholar]
- Cengel, Y.A. , & Boles, M.A. Thermodynamics. An Engineering Approach. The McGraw‐Hill Companies, Inc.; New York, U.S.A., 2011.
- Téllez-Martínez, J.S. , Sánchez-Hernández, M.Z., Vega-Flores, M.J., Pintor-Estrada, A.A., Alva-Medrano, H.E, & Herrera-Sandoval, N.E., Analysis of a Fundamental Procedure for Solving the Inverse Heat Conduction Problem Applied to Simple Systems. In Book Heat Transfer - Advances in Fundamentals and Applications, 1st ed.; Muhammad Ali, H., and Indra Mahlia, T.M., IntechOpen. UK, 2023. [CrossRef]
- Guimarães, J.C.R. , Rios, P.R. (2009). Unified description of martensite microstructure and Kinetics. J Mater Sci 2009, 44, 998–1005. [Google Scholar] [CrossRef]
- Koistinen, D.P. , Marburger, R.E., A General Equation Prescribing the Extent of the Austenite-Martensite Transformation in Pure Iron-Carbon Alloys and Plain Carbon Steels. Acta Metall 1959, 59–60. [Google Scholar] [CrossRef]
- Lee, SJ. , Van Tyne, C.J. A Kinetics Model for Martensite Transformation in Plain Carbon and Low-Alloyed Steels. Metall Mater Trans A 2012, 43, 422–427. [Google Scholar] [CrossRef]
- Huyan, F. , Hedström, P. , Borgenstam, A., Modelling of the Fraction of Martensite in Low-alloy Steels, In Proceedings Materials Today, 2015, 2, S561–S564. [Google Scholar] [CrossRef]
- Wen, Y. , Huang, F., Rong, Y., Guo, Z., Evaluation of Kinetic Equation of Athermal Martensitic Transformation in Low Carbon Steels. In: Marquis, F. (eds) Proceedings of the 8th Pacific Rim International Congress on Advanced Materials and Processing. 2013. Springer: Cham. [CrossRef]
- Groover, M.P. , Fundamentals of Modern Manufacturing, 4th ed.; John Wiley & Sons Inc.: USA, 2010. [Google Scholar]
- Agarwal, P.K. , Brimacombe, J.K. Mathematical Model of Heat Flow and Austenite-Perlite Transformation in Eutectoid Carbon Steel Rods for Wire. Metall Trans B 1981, 12, 121–133. [Google Scholar] [CrossRef]
- Wong, A. , Modelling the stability and transformation kinetics of retained austenite in steels. Materials Science and Technology 2022, 38, 676–688. [Google Scholar] [CrossRef]
- Canale, L.C.F. , Albano, L., Totten, G.E., Meekisho, L., 12.03 Hardenability of Steel. In Comprehensive Materials Processing, editor(s): Hashmi, S., Ferreira Batalha, G., Van Tyne, C.J., Yilbas, B., Elsevier: 2014; pp. 39–97, ISBN 9780080965338. [CrossRef]









| Record | Minimal in housing | Maximum in housing | Minimum in Probe |
|---|---|---|---|
| CAE | 65.25 | 178.88 | 1123.41 |
| Furnace | 36 | 167.8 | 1098 |
Disclaimer/Publisher’s Note: The statements, opinions and data contained in all publications are solely those of the individual author(s) and contributor(s) and not of MDPI and/or the editor(s). MDPI and/or the editor(s) disclaim responsibility for any injury to people or property resulting from any ideas, methods, instructions or products referred to in the content. |
© 2025 by the authors. Licensee MDPI, Basel, Switzerland. This article is an open access article distributed under the terms and conditions of the Creative Commons Attribution (CC BY) license (http://creativecommons.org/licenses/by/4.0/).