Preprint
Article

This version is not peer-reviewed.

Exploring Factors Influencing the Sustainable Development of Recreational Fisheries in Zhejiang Province, China

Submitted:

09 January 2025

Posted:

10 January 2025

You are already at the latest version

Abstract
The research on the influencing factors of recreational fishery is an important reference index for local decision-makers, and its actual feedback lacks field consideration. By deeply analyzing the intrinsic relationship between the current situation of recreational fisheries and the needs of tourists, we can accurately understand the needs and preferences of tourists and obtain real quality feedback on products or services. Focusing on the recreational fishery in Xiangshan County, this study used Exploratory Factor Analysis to evaluate and analyze the sustainable impact factors of five recreational fisheries, including resources, infrastructure, service quality, fishing culture and recreational fishery activities, by constructing the framework of "environment + industry + culture", and found that infrastructure and natural environment had the greatest impact. Based on this, the construction of demonstration areas, reasonable planning of infrastructure, the development of fishery cultural activities, the importance of safety production and other countermeasures and suggestions, emphasizing the development of characteristic products, the improvement of service quality, the strengthening of ecological protection and resource management, so as to achieve the sustainable development of recreational fishery in Xiangshan County, and promote the upgrading of fishery industry and the inheritance of fishery culture.
Keywords: 
;  ;  

1. Introduction

Xiangshan County is in the middle of the eastern coast of Zhejiang Province, China, and is a peninsula surrounded by the sea on three sides [1]. Xiangshan is rich in marine resources, including diverse marine life and beautiful island scenery, abundant fishery resources, a dense number of fishing villages, and the famous Shipu Fishing Port Ancient Town, Dongmen Fishing Village and China Fishing Village and other tourist attractions. Xiangshan's marine fishing culture tradition has a long history and rich and colorful contents, such as the Chinese Fishing Festival, fishing songs, March three sands, and other representative fishing cultures have been effectively inherited, preserved, and promoted. The long history of fishery production and profound fishing culture provide unique conditions for the development of recreational fishery. At present, recreational fisheries have been welcomed by consumers [2,3]. However, in the rapid development of the recreational fishery industry, some problems have also been exposed, which are mainly reflected in: the overexploitation of some fishery resources, the relatively weak environmental protection awareness of tourists, the relative lack of new recreational fishery projects, the lack of public infrastructure to support the recreational fishery industry, and the recreational fishery projects cannot be well matched with tourist attractions and it is difficult to retain tourists. The recreational fishery in Xiangshan County also has the above problems, and exploring the sustainable development of this industry is a very practical and significant topic.
The "China Recreational Fishery Development Monitoring Report (2024)" comprehensively summarizes the development of China's recreational fishery, pointing out that in recent years, the scale of China's recreational fishery has continued to expand and the business format has been continuously innovated, but at the same time, it is also facing challenges such as intensified market competition and intensified resource and environmental constraints [4]. Recreational fishery is an emerging industrial form based on fishery resources and combined with tourism, sightseeing, entertainment, and other elements. It can not only enrich the economic structure of the fishery, but also promote the development of related industries, increase the income of fishermen, and achieve the sustainable development of the fishery [4]. Chen et al. (2024) studied the influencing factors of the sustainability of coastal recreational fisheries in China from the perspective of spatial spillover. The study found that the sustainability of recreational fisheries is not only influenced by local factors, but also by policy, economic, social, cultural, and ecological aspects. In order to improve the sustainability of recreational fisheries, management and policy measures need to be developed based on these factors [5,6,7].
Wang Shunping (2024) pointed out that inheriting and promoting marine fishing culture can empower the revitalization of fishing village industries, of which recreational fishing is an important starting point [8]. Liu Jiayang et al. (2024) analyzed the current situation of marine ranching recreational fisheries in China, and believed that it has broad development prospects, but there are also some problems, such as imperfect infrastructure and low service uality [9]. Song Yujin et al. (2022) discussed the development model of recreational fishery tourism in the context of marine ranching, and put forward the idea of integrated development of "fishery + tourism"[10]. Chen Guiying (2023) studied the layout characteristics and development trend of China's coastal recreational fishery from the perspective of spatial layout, which provides a reference for the planning of recreational fishery infrastructure [11,12].
From the perspective of ecological and environmental protection, this paper constructs a common development framework of "environment + industry + culture". It aims to promote the sustainable development of recreational fishery and the sustainable use of fishery resources in Xiangshan, promote the upgrading of fishery industry, inherit and promote fishing culture, and realize the overall coordinated development of economy, society, culture and ecology [13]. From the environmental dimension [14], Accelerate ecological protection and restoration, implement water ecological protection plans, strengthen water quality monitoring and pollution control, and protect the fishery ecological environment [15]. Create a distinctive fishery landscape, such as a fishing port wharf, an ancient fishing port city, etc. Improve the infrastructure of recreational fisheries, including fishing areas, sightseeing platforms, catering, and accommodation facilities, etc., to enhance the tourist experience. Development of a diverse range of recreational fishery products [9], strengthen the integration of recreational fishery with tourism, culture, and other industries, and create characteristic fishery tourism routes and products. Improve the service quality of recreational fishery from the industrial dimension, strengthen the training of practitioners, and improve the service level and tourist satisfaction. Establish and improve the inheritance and protection mechanism of fishing culture from the cultural dimension [16]. In-depth excavation and sorting of fishing cultural resources, including fishing songs, fishing dances, fishing customs, fishing gear, etc [17].
The purpose of this study is to understand the current situation of recreational fishery development and the needs of tourists in Xiangshan County, and put forward targeted opinions after on-site consideration. This study was designed to use Exploratory Factor Analysis to analyze the influencing factors of sustainable development of recreational fisheries in Target County, and to provide improvement strategies for managers in the region according to the needs of different types of tourists. Firstly, the influencing factors of the local sustainable development of recreational fisheries were identified through relevant literature and field visits. Then, factor analysis was used to analyze the credibility, validity, and factor analysis of 19 indicators of demand to determine the reliability of the influencing factors and have a certain degree of support for the sustainable development of recreational fisheries. Based on the analysis, the most influential factors are identified. Based on these analyses, develop a core response strategy.

2. Materials and Methods

2.1. Study Area

Xiangshan County is in the eastern region of Zhejiang Province, in the middle of the coastal area of Zhejiang Province, and is a peninsula county. Xiangshan is surrounded by the sea on three sides, and the sea area is vast, consisting of Xiangshan Peninsula and 593 islands and reefs [18]. The West Shanghai Port in the north of Xiangshan, the Songlan Mountain Resort and Xitong Port in the east, the ancient city of Shipu Fishing Port, China Fishing Village, Hua'ao Island, Yushan Islands and Tantoushan Island in the east are both high-quality tourist areas [19],It is also particularly suitable for the development of recreational fisheries.

2.2. Data Acquisition

After using CNKI to sort out the literature on sustainable development in recent years, the development and sustainable use of recreational fishery in Xiangshan County were analyzed in five aspects: natural resource protection, recreational fishery infrastructure, recreational fishery activities, fishing culture, and recreational fishery service quality.
In the specific data collection scheme, four aspects of natural resource protection are mainly considered: "control of the degree of industrialization around the recreation area, setting up ecological protection areas in the process of recreational fishery activities, control of fishing and industrial wastewater discharge in the process of recreational fishery activities, and natural resource management in the process of recreational fishery activities".
In view of the four main considerations of recreational fishery infrastructure, such as reasonable planning of infrastructure (roads, wharves, hotels, etc.) in the process of recreational fishery activities, the combination of recreational fishing wharves and fishing boat wharves, the convenience of reservation and use of recreational fishing boat wharves, and the increase in the number of beds in hotels and B&Bs in the process of recreational fishing activities, the main considerations are "recreational fishery infrastructure".
For recreational fishery activities, the main considerations are "the launch of smart cities in the process of recreational fishery activities (online observation of road conditions, reservation and cancellation of various activities, display of specific charges), the setting of activities such as sea fishing events in the process of recreational fishery activities, the addition of new recreational fishery activities, and the increase of recreational fishing activities (nets laid in the water, waiting for the fish to swim to the top of the net, timely lifting of nets, and then using a net to catch catches), tidal flats (catching mud snails, catching razor clams, etc.) activities," and so on 4 in the same direction for analysis.
Focusing on fishing culture, two main issues are considered: "learning about fishery and fishing culture when participating in recreational fishing activities, and being able to participate in festivals such as the "Open Fishing Festival" when participating in recreational fishing activities.
In view of the quality of recreational fishery services, five main considerations were studied: "clear and accurate information and consulting services (such as activity content, cost, etc.) obtained before participating in recreational fishery activities, efficiency and professionalism of staff solving problems in recreational fishery activities, professional training of service personnel in recreational fishery activities, service quality improvement, safety guarantee in recreational fishery activities, and richness of catering in recreational fishery activities".
A total of 19 ingredients were selected, and each survey content was selected as "very important", "important", "fair", "acceptable" and "not important", as shown in Table 1.
From August 12 to September 1, 2024, a total of 108 questionnaires were collected through the "Questionnaire Star".

2.3. Data Analysis

SPSS software was used to analyze the credibility, validity, and principal component analysis of the above related data.

2.3.1. Cronbach Reliability Analysis

Credibility analysis for the questionnaire on the sustainable development and utilization of recreational fisheries in Xiangshan, it can ensure that the questions in the questionnaire can clearly and accurately reflect the respondents' views, attitudes or behaviors on factors related to the sustainable development of recreational fisheries, and the results of these measurements should be consistent in different situations.
In this study, we performed a reliability analysis on a set of questionnaire data, using Cronbach's alpha coefficient as an evaluation tool. The sample size was 108 and the questionnaire contained a total of 23 items. Firstly, the alpha coefficient is analyzed, if this value is higher than 0.8, it means that the reliability is high, and if the value is between 0.7~0.8, it means that the reliability is good. If this value is between 0.6~0.7, it means that the reliability is acceptable; If the value is less than 0.6, the reliability is not good, if the CITC value is lower than 0.3, the item can be deleted, and if the value of the "Deleted α Coefficient" is significantly higher than the α factor, the item can be deleted and re-analyzed.
The results of the analysis showed that Cronbach's alpha coefficient was 0.927. According to Nunnally's (1978) criteria, a Cronbach's alpha coefficient of 0.70 and above is generally considered to have good internal consistency, while 0.90 and above indicates a high level of reliability in the questionnaire. Therefore, the Cronbach's alpha coefficient of this questionnaire is 0.927, which is much higher than the threshold of 0.90, and it can be seen from the above table that the reliability coefficient value is 0.948 (see Table 2), which is greater than 0.9, indicating that the reliability of the research data is of high quality [33].
After the credibility analysis, it can be confirmed that the "Xiangshan County Recreational Fishery Sustainable Development and Utilization Questionnaire" is a high-confidence questionnaire, and the research results are reliable.

2.3.2. Validity Analysis

Exploratory Factor Analysis, we can evaluate the degree of support for the sustainable development of recreational fishery such as natural resource protection, recreational fishery infrastructure, recreational fishery activities, fishing culture, and recreational fishery service quality.
The factors were extracted by principal component analysis, as shown in Table 4, and set to natural resources, infrastructure, fishing culture and recreational fishery activities, and service quality according to the research situation in this paper, and each factor was explained according to the factor load matrix.
Five factors were extracted through factor analysis, and the specific results were as follows: Factor 1 (facilities and management of recreational fishing activities) explained 35.90% of the variance, mainly focusing on the convenience of reservation at recreational fishing wharves, the number of hotel beds, and the rationality of infrastructure. Factor 2 (Ecological Conservation and Resource Management) explained the 18.10% variance, including the views on the importance of ecological protection areas and the rigor of natural resource management. Factor 3 (activity diversity and cultural heritage) explains the 7.78% variance, which relates to the diversity of leisure activities and the learning of fishery culture. Factor 4 (Information Services and Problem Solving) explains the 6.67% variance, focusing mainly on the clarity of information consulting services and the professionalism of the staff in solving problems. Factor 5 (Safety and Service Quality) explains the 5.52% variance, emphasizing the professional training of safety and security and service personnel.
ResultsThrough PCA, five factors were extracted, and the specific results were as follows: PC1 (Facilities and Management of Recreational Fishing Activities) explained 35.90% of the variance, mainly focusing on the convenience of reservation at the recreational fishing boat wharf, the number of hotel beds, and the rationality of the infrastructure. PC2 (Ecological Conservation and Resource Management) explains the variance of 18.10%, including views on the importance of ecological reserves, the rigor of natural resource management, etc. PC3 (Activity Diversity and Cultural Heritage) explains the 7.78% variance, which relates to the diversity of leisure activities and the learning of fishing culture. PC4 (Information Services and Problem Solving) explains the 6.67% variance, focusing mainly on the clarity of information consulting services and the professionalism of the staff in solving problems. PC5 (Security & Quality of Service) explains the 5.52% variance, emphasizing the professional training of safety and security and service personnel.
The recreational fishery in Xiangshan County has shown high validity in terms of resources and environment, infrastructure, social culture, safety, and services, but it is still necessary to pay attention to the balance of development within the system [34]‌.

2.3.3. Data Normalization and Factor Testing

Data standardization and factor testing are two key steps in the data analysis of the questionnaire on sustainable development and utilization of recreational fisheries in Xiangshan County, which help to ensure the accuracy and reliability of the data. The magnitude of different indicators varies greatly, and direct analysis may lead to biased results in favor of larger indicators, using "Descriptive Statistics" - > "Normalized Variables" (Z-scores) to normalize the data. The purpose of this step is to eliminate the differences in dimensions and ranges between different variables, so that the results of factor analysis are more accurate [35]. Through standardization, several large differences can be eliminated, so that each indicator has the same weight in the data analysis. Factor testing is used to explore the underlying structure in data, i.e., to explain the correlation between multiple variables by a few factors [36]. In the survey of recreational fishery in Xiangshan County, factor testing can help identify the key factors affecting the sustainable development of recreational fishery.
The factor analysis process starts with the method of selecting the extraction factors, here the principal component analysis method is selected, and the number of factors to be extracted is set. In this questionnaire data analysis, the number of factors was determined according to the criterion that the eigenvalue was greater than 1. To get a more explanatory factor, choose to perform a factor rotation, such as an orthogonal rotation (e.g., Varimax). The rotated factor loading matrix will make it easier to interpret the combination of variables that each factor represents. If the KMO value is higher than 0.8, it indicates that the research data is very suitable for extracting information (the validity is very good from the side); then the correspondence between the item and the factor is analyzed; if the correspondence is basically consistent with the psychological expectation of the study, it indicates that the validity is good; this paper analyzes the development and sustainable use of recreational fishery in Shanxi County, including the environment of recreational fishery activities, the infrastructure construction of Xiangshan County, the display of recreational fishery activities and fishing culture, and the training and safety of recreational fishery related personnel. According to Table 4, the KMO value was 0.894, higher than 0.8, indicating that the study data were suitable for extracting information, and the validity of the questionnaire data was good. Moreover, the significance level of Bartlett test x is almost equal to 0, which proves that the data indicators are not independent of each other, and the data of the "Xiangshan County Recreational Fishery Sustainable Development Questionnaire" are suitable for factor analysis, and the correlation between the questionnaire data can be seen in the data matrix analysis.
Table 4. KMO and Bartlett tests.
Table 4. KMO and Bartlett tests.
The Number of KMO Sampling Appropriateness 0.894
Bartlett sphericity test 1858.619
Approximate chi-square 171
Degree of freedom .000
Distinctiveness 0.894

3. Results and Discussions

3.1. PCA Score

For the comprehensive evaluation using the principal component score, it is necessary to establish the equation of the relationship between the principal component and the study item in the "linear combination coefficient matrix" (based on the standardized data to establish the relationship expression).
In Principal Component Analysis (PCA), the linear relationship between the original variable (the analysis term) and the principal component is described. We have 19 primitive variables N1,N2,N3,...,N19 and 5 principal components PC1,PC2,PC3, PC4,PC5, and the mathematical formula relationship can be expressed as:
P C i = j = 1 p a i j X j
When using factor analysis for the purpose of information enrichment, the Component Score Coefficient Matrix table is ignored. If you use factor analysis for weight calculation, you need to use the Component Score Coefficient Matrix to establish an equation of the relationship between the factor and the study item (based on the normalized data to establish a relationship expression) as follows:
PC1=-0.098N1+0.026N2-0.114N3-0.008N4+0.157N5-0.023N6-0.004N7-0.218N8+0.030N9+0.227N10+0.235N11+0.315N12+0.185N13+0.172N14+0.141N15+0.044N16-0.078N17-0.190N18-0.101N19
PC2=0.112N1+0.312N2+0.367N3+0.366N4+0.218N5+0.031N6-0.049N7-0.173N8-0.016N9-0.057N10+0.027N11+0.054N12-0.011N13-0.119N14-0.125N15-0.040N16-0.168N17+0.088N18-0.096N19
PC3=-0.238N1-0.201N2+0.015N3-0.052N4-0.283N5-0.049N6+0.074N7+0.066N8+0.163N9-0.133N10-0.259N11-0.189N12-0.009N13+0.091N14+0.169N15+0.292N16+0.077N17+0.490N18+0.497N19
PC4=0.003N1-0.054N2-0.021N3-0.187N4+0.035N5+0.410N6+0.252N7+0.650N8+0.231N9-0.034N10-0.031N11-0.271N12-0.101N13-0.087N14-0.049N15-0.284N16-0.025N17+0.129N18+0.041N19
PC5=0.584N1+0.029N2-0.087N3-0.030N4-0.172N5-0.186N6-0.029N7+0.140N8-0.258N9+0.010N10+0.011N11-0.024N12-0.012N13+0.015N14-0.043N15+0.189N16+0.631N17-0.217N18-0.017N19
And the composite score is calculated by multiplying the product of the variance explanation rate (normalization) and the factor score after rotation. The formula for the current data is as follows:
(31.227* PC1+17.914* PC2 +11.466* PC 3 +11.161* PC 4 + 8.850* PC 5)/80.619
PCA=0.387* PC1 + 0.222* PC2 + 0.142* PC3 + 0.138* PC4 + 0.110* PC5
This is the principal component score for each sample, which reflects the projection of the sample on each principal component. According to Table 5 and Equation 1, Table 6 shows that the recreational fishery activities of influencing factor 3 are the highest in the comprehensive score, so it is believed that more recreational fishery-related activities should be added in the development process of Xiangshan recreational fishery, such as the setting of wrench points, tidal flats (catching mud snails, clams, etc.), characteristic fishing family entertainment, marine cultural experience, etc. PC4 fishing culture and PC5 service quality and safety management should also be further valued in recreational fishery activities, and relevant management policies should be done.

3.2. Analysis of Recreational Fishery Development and Sustainable Use in Xiangshan County

According to the results of Table 6 of the factor load matrix, the content represented by the factors: factor 1 focuses on ecological protection and environmental management, emphasizing the participants' concerns about ecological protection area setting and industrial wastewater discharge control; Factor 2 mainly involves the rational planning of infrastructure, including the construction of hardware facilities such as roads and docks; Factor 3 mainly relates to the design of recreational fishing activities, including the convenience of recreational fishing boat docks, the accuracy of information and consulting services, etc., which reflects the participants' attention to the quality of activity management. Factor 4 mainly reflects the diversity and cultural experience of fishing culture, such as participating in fishery-related knowledge learning and festival activities. Factor 5 is related to the service and safety management of leisure activities, which reflects the participants' attitudes towards the management and control of staff services and safety issues related to recreational fisheries in Shan County.
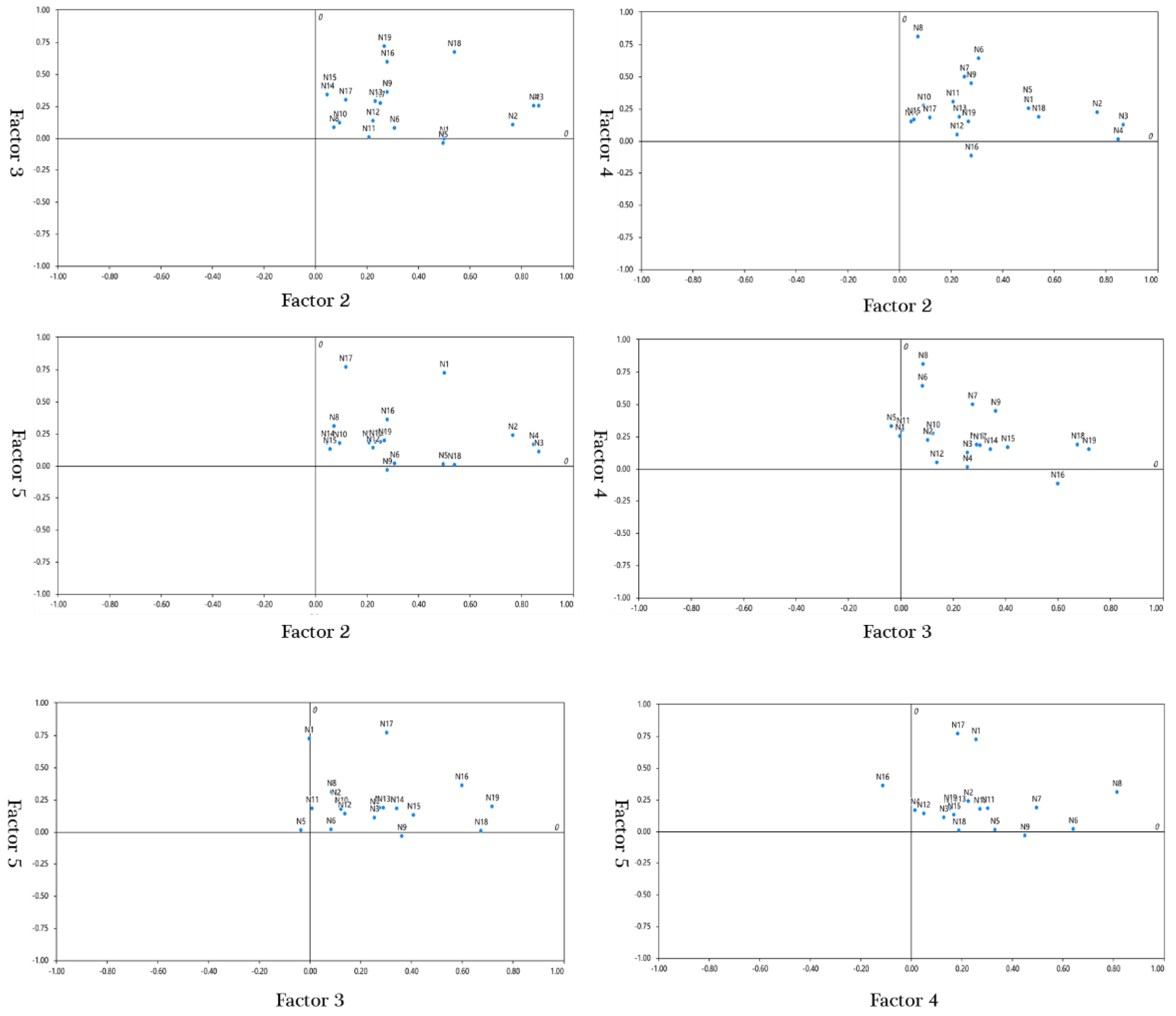
The larger the load in the factor loading matrix, the closer the relationship between the variable and the factor [38]. A visual method in factor analysis that represents the load (i.e., correlation or weight) of the original variable (also known as an observed variable or metric) on each factor. In Table 5, after the rotation of Varimax, the factor loading matrix can be developed in Figure 1, and all related problems account for a high proportion in the development process of Xiangshan recreational fishery, and in the development process, several aspects can be actively developed at the same time.
The five factors in the questionnaire have a certain impact on the development and sustainable use of recreational fishery in Shan County, as shown in Table 5, the sum of the three factors of marine environmental protection, infrastructure construction and diversity of recreational fishery activities can reach 59.652%, and these three factors have a great impact on the industrial development of recreational fishery in Shan County, which can be planned and deployed in the later development.
SDG 14.2 states: "By 2020, sustainably manage marine and coastal ecosystems to maintain the health and abundance of oceans, including by strengthening resilience to disasters"[37]. With the rise of recreational fisheries, some tourists' misbehavior towards the marine environment may lead to the destruction of marine ecosystems, and environmental protection awareness needs to be strengthened. The construction of infrastructure in recreational fishery plays a decisive role in the development of recreational fishery.
In Figure 1 of the load map, we can see the future development of recreational fishery in Xiangshan, in addition to improving the traditional infrastructure such as waterways, transportation, ports, etc., it is also necessary to build ecological, civilized, convenient, green, humanistic recreational fishery infrastructure. In the past few years, Xiangshan County has built several recreational fishing infrastructures, such as recreational fishing boat docks, marine parks, hotel facilities, etc., to provide tourists with a high-quality recreational fishing experience.
In summary, from the results of factor analysis, the factors involved in Xiangshan recreational fishery activities can be summarized into five main dimensions. Firstly, the facilities and management factors show that participants attach great importance to infrastructure and information service, and highlight the importance of efficient information transmission and problem handling capabilities in improving participants' satisfaction. This is in line with the demands of modern leisure activities. Secondly, the factors of ecological protection and resource management show that the participants pay more attention to environmental protection, reflecting the importance of sustainable development in the current society. In addition, the results of the diversity of activities and the factors of cultural inheritance also emphasize the richness of leisure activities and the importance of cultural education. The service convenience and problem-solving factors and finally the focus on the safety and service quality factors show the basic needs of participants for the safety and security of the event.

4. Development Strategies and Recommendations

Build a recreational fishery demonstration area, promote environmentally friendly fishery production methods, and reduce the impact on the environment. Establish a nature reserve for rare aquatic life to provide additional protection for specific fishery resources. Prevent and control water pollution and marine environmental pollution, maintain normal water quality and quantity, and protect the living environment of aquatic organisms ‌[38].
The planning should consider environmental protection and ecological balance to ensure that the development of recreational fisheries will not cause damage to the marine ecological environment. According to market demand and tourist preferences, the type, scale, and layout of recreational fishery infrastructure should be reasonably planned [39,40]. ‌Combined with local fishery resources, natural landscapes and cultural characteristics, the coordinated development of recreational fisheries and other industries is realized.
Carry out fishing culture publicity activities, such as fishing culture festivals, fishing clubs, etc., to enhance the public's understanding and interest in fishing culture. Strengthen the education and inheritance of fishing culture [29,41]. Establish a fishing culture inheritance base and inheritor system, and cultivate a new generation of fishery culture inheritors. Cultural Innovation and Development. Promote the integration and innovation of fishing culture with modern science and technology, art, and other elements, and create fishery culture products with the characteristics of the times. Develop fishery culture derivatives, such as fishery culture souvenirs, fishery culture theme hotels, etc., and expand the fishery culture industry chain.
Enhance the attention of recreational fishery practitioners to safe production, and realize that safety is the premise and foundation of fishery development Make practitioners fully understand the laws and regulations, operating procedures, and emergency treatment knowledge of fishery safety production [42]. Through practical exercises, employees can improve their self-rescue and mutual rescue capabilities and emergency response capabilities in emergency situations.
Xiangshan County has abundant marine fishery resources, which provides a solid foundation for recreational fisheries. In the process of research, it has become a key point to promote the structural adjustment of the fishery industry in the development of recreational fishery in Shishan County, which can effectively drive local fishermen to change production and increase income, increase employment in fishing villages, and promote the economic development and transformation of fishing villages [43]. The development of recreational fisheries cannot ignore the impact on the ecological environment. How to maintain the marine ecological environment and achieve sustainable development while rapidly developing recreational fisheries is an important challenge for Xiangshan County [44]‌. Combined with the unique fishery resources and marine culture of Xiangshan County, develop novel and unique recreational fishery products [45]. Such as the setting of wrench points, tidal flats (catching mud snails, clams, etc.), characteristic fishing family entertainment, marine culture experience, etc. In order to meet the diversified and personalized needs of tourists, strengthen the sense of service, optimize the service process, and ensure that tourists enjoy an intimate and efficient service experience in leisure fishery activities, to win word of mouth and repeat customers.
It is the only way for the sustainable development of recreational fishery to actively develop ecological recreational fishery, fully emphasize the protection of natural landscape and natural resources by recreational fishery, pay attention to the protection of local natural resources and fishing culture in Xiangshan, and pay more attention to the education of recreational fishery tourists [46]. Through the formulation of relevant policies, guide tourists to go to sea in a civilized manner, strengthen marine environmental protection education, and protect the ecological environment of recreational fishing areas.
Establish a mechanism for the investigation and management of fishery resources, strictly control the number of catches, and ensure the sustainable use of fishery resources. Strengthen pre-job and regular training for recreational fishery practitioners, and increase knowledge training on marine environment, fish species, and marine protection. Improve its service level and provide more professional and considerate services.
Full transportation ecological coverage, improve recreational fishery infrastructure; The whole space fishing culture display increases the connotation of recreational fishery; Build a characteristic brand in the region and improve the quality of recreational fishery services; Many festivals are held to enrich recreational fishery products [47]. Through the diversity of fishing culture, we should increase the innovation of recreational fishery activities, carry out more diversified and innovative recreational fishery activities, attract more tourists to participate, and promote the sustainable development of recreational fishery.
One of the significant problems faced by recreational fisheries-related products is the lack of a distinct local identity, which makes it difficult to stand out in the market. At the same time, practitioners in this field are relatively weak in terms of professional knowledge reserves, which directly affects the improvement of service quality. As a result, the overall service level of service providers is relatively low, and it is urgent to strengthen systematic training and management measures to effectively improve service quality and ensure that customers can get a more satisfactory and personalized experience.

5. Conclusions

China's Xiangshan is a traditional fishing county with a long history, and its Shipu Fishing Port has a history of hundreds of years of fishing, and fishery technology and culture have been well inherited and developed. With the development of China's modern social economy and leisure tourism, recreational fishing has become an important industry to promote the economy of fishing ports. In order to better promote the high-quality development of recreational fishery in Xiangshan, it is necessary to comprehensively understand the overall status and main influencing factors of local recreational fishery. Therefore, this paper explores 19 influencing factors from five aspects, including resources, infrastructure, service quality, fishing culture, and recreational fishery activities, through field research, data review and questionnaire survey, and shows that infrastructure and natural environment have the greatest impact on the development degree of local recreational fishery through SPSS analysis. Accordingly, some countermeasures and suggestions were put forward, such as rational planning of infrastructure, strengthening ecological protection, attaching importance to the conservation of fishery resources, and building a recreational fishery demonstration area.

Author Contributions

Conceptualization, J.-L.L.; methodology, J.-L.L.; software, J.-L.L.; validation, J.-L.L.; formal analysis, J.-L.L.; investigation, J.-L.L.; resources, J.-L.L.; data curation, J.-L.L.; writing—original draft preparation, J.-L.L.; writing—review and editing, J.-L.L.; visualization, W.-G.Q.; supervision, W.-G.Q.; project administration, W.-G.Q.; funding acquisition, W.-G.Q.; All authors have read and agreed to the published version of the manuscript.

Funding

This study was supported by the Xiangshan County Marine Leisure (Trigger Point) Construction Management Research Project of Xiangshan County Port and Shipping Center, Project No. 21037007123

Data Availability Statement

Not applicable.

Acknowledgments

Thanks to Professor WeiGuo Qian for helping to complete the topic selection and financial support of the thesis during the thesis, and thank Professor Ta-Jen Chu for helping to check the paper. All authors would like to thank to the reviewers for their constructive criticism and improvement of the manuscript.

Conflicts of Interest

The authors declare no conflict of interest.

References

  1. Su, Y.G. Tradition and inheritance. Zhejiang Gongshang University Press, Hangzhou 2020. (In Chinese).
  2. Qi, C.G. Discussion on the development types and management models of recreational fishery (Part I). Scientific Fish Farming. 2022,12,77-8. (In Chinese).
  3. Zhao, Z.L. Analysis of high-quality development benefits and countermeasures of marine ranching in Dalian, 2023. (In Chinese).
  4. Monitoring report on the development of recreational fisheries in China (2024). Available online: https://www.fmiri.ac.cn/info/1016/27640.htm (accessed on 10 September 2024).
  5. Chen, G.; Yang, Z.; Zhao, Q. Understanding the influencing factors affecting the sustainability of China's coastal recreational fisheries: A spatial spillover perspective. Ocean Coast. Manag. 2025,260, 107487.
  6. Bova, C.S.; Potts, W.M.; Radford, Z. Tools for assessing recreational fisheries compliance—an underappreciated yet essential component of management. Rev. Fish Biol. Fish. 2024, 1-22. [CrossRef]
  7. Ran, Z.; Qijun J. A study on the influencing factors and improvement strategies of perceived value of recreational fishing customers on their willingness to revisit. Appl. math. nonlinear sci. 2024, 9(1),1-15. [CrossRef]
  8. Wang, S.P. Exploring the road of inheriting and promoting marine fishing culture to empower the industrial revitalization of fishing villages. China Fisheries 2024,11, 60-1. (In Chinese).
  9. Liu, J.Y.; Lian, M.Y. Chen, Y.Y. Current situation and development countermeasures of recreational fisheries in marine ranches in China. Agric. Eng. 2024, 14(11),151-8. (In Chinese).
  10. Song, Y.J.; Tian, T,; Yang , J. Research on the development model of recreational fishery tourism in the context of marine ranching. Marine Development and Management, 2022, 39(01): 110-6. (In Chinese).
  11. Chen, G.Y, ;Zhao,Q.L,; Qi, S.Q. Analysis of spatial distribution and influencing factors of recreational fishery in Hainan Province. Journal of Shanghai Ocean University, 2022, 31(02): 542-53. (In Chinese).
  12. Chen, G.Y.; Zhao, Q.L.; Qi, S.Q. Spatial distribution and influencing factors of recreational fisheries in 11 coastal provinces (municipalities and autonomous regions) of China [J]. China Journal of Agricultural Resources and Regional Planning, 2023, 44(08): 64-73. (In Chinese).
  13. Su, Z. Analysis on the Development of Cultural Leisure Tourism Industry under Industry Convergence. Conference Proceedings, 2010, 11.
  14. Kane, D.S. Pope,K.L,;Koupal,K.D,; Natural resource system size can be used for managing recreational use. Ecological Indicators, 2022, 145: 109711.
  15. Löki, V. Nagy,J.; Neményi,Z. Exploring ecological knowledge in recreational fishing for conservation purposes: A literature review. Global Ecology and Conservation, 2023: e02697.
  16. Shi, S.S.; He, J.M,; Liu, J.Q. The influence and development suggestions of Xiangshan fishing culture on marine tourism and marine economy under the background of location integration in the Yangtze River Delta. Economic Research Guide, 2017, (10): 162-99.
  17. Wang, W.; Hong, X.C. Harmony between people and the sea, inheritance of marine culture. Environmental Economics, 2022, (17): 30-5.
  18. Fishery Chronicle Compilation Office of Xiangshan County Oceanic and Fishery Bureau. Fishery chronicle of Xiangshan County. Fang Zhi Publishing House, BeJing,2008;pp.1-88 (In Chinese).
  19. Xiang, Y.X.; Su, Y.J. Zou,Z.S.; Comprehensive research on the development of marine tourism industry in Zhejiang Province. . Zhejiang University Press. HangZhou,China, 2018;pp. (In Chinese) (找书页).
  20. Song, X.H. The development of modern fishery in Suzhou under the background of industrialization. Jiangsu Rural Economy, 2012, (12): 27-30.
  21. Cookw, S.J. Arlinghaus,R,;Johnson,B.M,; Recreational fisheries in inland waters. Freshwater fisheries ecology, 2015: 449-65.
  22. Wang, P. Zhou, R.X.; Jin, J.L. Discussion on the coupling and coordination evaluation of regional ecological protection and high-quality development. People's Yellow River, 2024, 46 (12): 17-23.
  23. Chai, S.S. Theory and practice of recreational fishery development, Ph.D. Dissertation,Ocean University of China, Qingdao City, Shandong Province,2008.
  24. Zhang, L.L. Countermeasures and suggestions for the development of recreational fishery. Heilongjiang Fisheries, 2015, (03): 27-9.
  25. Chen, G.Y. Research on the spatial layout of China's coastal recreational fishery from the perspective of high-quality development. Master’sThesis, Shanghai Ocean University,Shang Hai,China,2023. (In Chinese).
  26. Huang, Y.X.; Zhou, H,R.; Ying, J.D. Analysis of Influencing Factors of Recreational Fishery Development in China: An Empirical Test Based on Literature Visualization and Measurement Methods. China Fishery Economics, 2023, 41(01): 94-103. (In Chinese).
  27. Ma, P.; Wang, S,J.; Zhao, Z.Y. Research on the Development Countermeasures of Recreational Sea Fishing Industry in Shandong Province. China Fisheries, 2022, (11): 54-6. (In Chinese).
  28. Wang, S.Y.; Qu, Y.; Zhang,Y. A Study on the Transformation and Development of Recreational Fishery in the Context of Common Prosperity: A Case Study of Zhoushan City, Zhejiang Province. Rural Economy and Science and Technology, 2022, 33(19): 65-7,75. (In Chinese).
  29. Baek,K.K.;Changho,O.;Hoon,P.B.; Improving the Feasibility and Direction of Establishing the Fishing Education Promotion Agency for a Sustainable Fishing Culture. Journal of Coastal Research, 2024, 116(sp1): 488-92.
  30. Yang, T.; The Construction Practice of Local Festivals from the Perspective of Ritual-Customs Interaction: A Case Study of the Fishing Festival in Xiangshan, China. Festival Research, 2023, (01): 120-35.
  31. Liu, H. A Case Study of the Convention and Exhibition Industry Promoting the Development of Local Cultural Activities: A Case Study of the Fishing Festival in Xiangshan County, Zhejiang Province,Exhibition Economics, 2024, (02): 1-4. (In Chinese).
  32. Zhang, Z.G.; Research on the development countermeasures of recreational fishery in Zhoushan City,Master’sThesis,Zhejiang Ocean University, Zhejiang China,2012. (In Chinese).
  33. Zhou, J.; Ma,S.P. SPSSAU research data analysis methods and applications.Publishing House of Electronics Industry, Beijing, China ,2024.01.pp.147-159. (In Chinese).
  34. Yang, Y.; Song,H. Research on the evaluation system of sustainable development of recreational fishery: Based on WSR methodology, Journal of Beijing University of Aeronautics and Astronautics (Social Sciences), 2023, 36(05): 137-44.
  35. Basot, M.; Pereira,J.M. An SPSS R-menu for ordinal factor analysis. Journal of statistical software, 2012, 46: 1-29.
  36. Yong, A.G.; Pearce,S. A beginner’s guide to factor analysis: Focusing on exploratory factor analysis. Tutorials in quantitative methods for psychology, 2013, 9(2): 79-94. [CrossRef]
  37. Guo, H.D. Report on Earth Big Data Supporting the Sustainable Development Goals China 2022.Beijing:Science Press, Beijing, China ,2023.11.pp,214-263. (In Chinese).
  38. Varade, M.L.; Choi, F. Helmuth B, et al. Catching versus Counting: Comparing the Pro-Environmental Attitudes, Behaviors, and Climate Concerns of Recreational Fishers and Citizen Scientists, Sustainability, 2022, 15,1: 307. [CrossRef]
  39. Farella, A.G.;Tasstti,A.N. Mengon,S.; Ecosystem-Based MSP for Enhanced Fisheries Sustainability: An Example from the Northern Adriatic (Chioggia—Venice and Rovigo, Italy). Sustainability, 2021, 13,3.
  40. Wang, C.Y.; Gao,F. On the classification of marine leisure tourism resources and their development principles, Journal of Harbin University of Commerce (Social Sciences), 2009, 01: 109-11. (In Chinese).
  41. Lu, C.C. Thoughts on Promoting the Protection, Inheritance and Promotion of Chinese Fishing Culture, China Fisheries, 2024, 08, 66-9. (In Chinese).
  42. Notice of the Department of Agriculture and Rural Affairs of Hainan Province on Printing and Distributing the Specifications for the Construction of High-quality Recreational Fishery Demonstration Bases in Hainan Province and the Interim Measures for the Identification, Operation Monitoring and Management of High-quality Recreational Fishery Demonstration Bases in Hainan Province. Communiqué of Hainan Provincial People's Government,Available online: https://agri.haian.gov.cn/hnsnyt/xxgk/gfxwj/202312/t20231208_3545139.html.( accessed on October, 2024).
  43. Zheng, B. Research on the current situation and development countermeasures of recreational fishery in Xiangshan County,Zhejiang Agricultural Sciences, Master’sThesis, Zhejiang University, Zhejiang Hangzhou,2015. (In Chinese).
  44. Wang, S.; Tian, T.; Wu,Z.X. Exploration of ecological development model in southern Dalian. Marine Exploitation and Management, 2024, 41,06: 128-36. (In Chinese).
  45. Peng, L.W.; Jiang,Q.J. Analysis of Recreational Fishery Product Types and Market Positioning from the Perspective of Consumer Preference.China Fishery Economics, 2020, 38,05,67-76. (In Chinese).
  46. Sha, T.; Li, Q. Blue Book of Ecological Development Report on China's Ecotourism Development 2022-2023. Beijing: Social Sciences Academic Press: Beijing China., 2022; pp.75-125. (In Chinese).
  47. Dong, H.G.; Ding,L. Research on the innovation and development of tourism industry from the perspective of industrial integration,Beijing:Economic Science Press, Beijing China,2019;pp.8-120.
Figure 1. Load diagram of the interrelationship between the five factors.
Figure 1. Load diagram of the interrelationship between the five factors.
Preprints 145719 g001aPreprints 145719 g001b
Table 1. Survey content and data.
Table 1. Survey content and data.
Factor Number Ingredients Very Important Significant Ordinary Acceptable Unimportant
Conservation of natural resources N1 The degree of industrialization around the recreation area is controlled [20] 69 24 7 7 1
N2 Ecological protection areas are set up in the course of recreational fishing activities [21] 74 28 1 5 0
N3 Control of fishing and industrial wastewater discharge during recreational fishing activities 85 20 0 3 0
N4 Management of natural resources (e.g., islands, beaches, tidal flats, forests, seascapes, etc.) in the course of recreational fishing activities [22] 77 27 1 3 0
Recreational fisheries infrastructure N5 The infrastructure (roads, docks, hotels, etc.) during recreational fishing activities is well planned [23,24] 53 37 12 5 1
N6 The recreational fishing boat pier is combined with the fishing boat marina [25] 63 34 7 2 2
N7 Ease of booking and use of the recreational fishing boat marina [26] 64 38 3 3 0
N8 The number of beds in hotels and B&Bs has increased in the course of recreational fishing activities [25] 53 32 15 5 3
Recreational fishing activities N9 Smart city launch during recreational fishing activities (online observation of road conditions, booking and cancellation of activities, display of specific charges)[26] 61 42 2 2 1
N10 Recreational fishing activities, sea fishing events and other activities are set up [27] 51 37 13 5 2
N11 Increase new types of recreational fisheries [25] 55 40 5 6 2
N12 In the process of recreational fishery activities, increase the leisure wrench (a kind of net laying in the water, waiting for the fish to swim to the top of the net, lifting the net in time, and then using the net to catch the catch), tidal flat (catching mud snails, catching razor clams, etc.). [28] 60 37 5 4 2
Fishing culture N13 When participating in recreational fishing activities, students learn about fishing and fishing culture[29] 62 36 5 5 0
N14 When participating in recreational fishing activities, you can participate in festivals such as the "Open Fishing Festival"[30,31]. 60 35 9 3 1
N15 The information and consultation information obtained before participating in recreational fishing activities (e.g., activity content, cost, etc.) is clear and accurate 68 32 2 5 1
N16 The efficiency and professionalism of the staff in recreational fishing activities 71 30 4 2 1
N17 Professional training and service quality improvement of service personnel in recreational fishery activities [24] 67 28 10 2 1
N18 Safety and security in recreational fishing activities [23] 88 19 0 1 0
N19 The abundance of food and beverage in recreational fishing activities [32] 74 30 1 3 0
Table 2. Cronbach reliability analysis.
Table 2. Cronbach reliability analysis.
Cronbach Reliability Analysis
Number of items Sample size Cronbach α coefficients
19 100 0.948
Table 4. Explanation of total variance.
Table 4. Explanation of total variance.
Total variance explained
Initial eigenvalues Extract the sum of squares of the load Sum of squares of rotational loads
Ingredients Total Variance % Cumulative % Total Varianc% Cumulative % Total Varianc% Cumulative %
N1 6.780 55.709 55.709 10.404 54.757 54.757 5.933 31.226 31.226
N2 1.151 9.457 65.166 2.037 10.722 65.480 3.402 17.904 49.130
N3 .881 7.237 72.404 1.217 6.404 71.884 2.182 11.483 60.613
N4 .643 5.282 77.685 .947 4.982 76.865 2.120 11.158 71.772
N5 .455 3.742 81.428 .713 3.754 80.619 1.681 8.848 80.619
N6 .421 3.457 84.885
N7 .344 2.829 87.714
N8 .265 2.179 89.893
N9 .229 1.883 91.776
N10 .190 1.559 93.335
N11 .151 1.237 94.571
N12 .136 1.120 95.692
N13 .120 .982 96.674
N14 .098 .808 97.482
N15 .091 .749 98.230
N16 .076 .625 98.855
N17 .055 .454 99.310
N18 .047 .384 99.693
N19 .037 .307 100.000
Table 5. Matrix of linear combination coefficients.
Table 5. Matrix of linear combination coefficients.
Ingredients Factor1 Factor2 Factor3 Factor4 Factor5
N1 0.189 0.268 0.260 0.491 -0.225
N2 0.236 0.300 0.147 -0.090 -0.218
N3 0.174 0.495 0.029 -0.169 -0.036
N4 0.202 0.429 -0.061 -0.140 -0.197
N5 0.225 0.017 0.230 -0.274 -0.199
N6 0.221 -0.052 0.350 -0.182 0.215
N7 0.258 -0.078 0.136 -0.008 0.184
N8 0.181 -0.070 0.483 0.218 0.444
N9 0.257 -0.090 0.032 -0.224 0.244
N10 0.252 -0.271 0.035 -0.027 -0.145
N11 0.252 -0.211 0.141 -0.062 -0.233
N12 0.252 -0.202 -0.111 -0.109 -0.341
N13 0.271 -0.153 -0.100 -0.042 -0.107
N14 0.243 -0.239 -0.173 0.025 -0.024
N15 0.242 -0.221 -0.203 -0.014 0.058
N16 0.231 0.061 -0.434 0.199 -0.027
N17 0.210 0.018 -0.032 0.640 -0.023
N18 0.199 0.299 -0.244 -0.151 0.402
N19 0.234 0.073 -0.337 0.070 0.340
Table 6. Composite Score Scale.
Table 6. Composite Score Scale.
Composite Score Scale PCA Score
1 PC3 0.947
2 PC4 0.779
3 PC5 0.762
4 PC1 0.706
5 PC2 0.489
Table 7. Factor Loading Matrix.
Table 7. Factor Loading Matrix.
Factorial Load Matrix
Ingredients 1 2 3 4 5
1 .712 .403 .379 .356 .246
2 -.562 .672 -.089 .149 .450
3 .008 .299 .483 -.820 -.070
4 .100 .539 -.328 .069 -.766
5 -.408 -.085 .713 .417 -.381
Disclaimer/Publisher’s Note: The statements, opinions and data contained in all publications are solely those of the individual author(s) and contributor(s) and not of MDPI and/or the editor(s). MDPI and/or the editor(s) disclaim responsibility for any injury to people or property resulting from any ideas, methods, instructions or products referred to in the content.
Copyright: This open access article is published under a Creative Commons CC BY 4.0 license, which permit the free download, distribution, and reuse, provided that the author and preprint are cited in any reuse.
Prerpints.org logo

Preprints.org is a free preprint server supported by MDPI in Basel, Switzerland.

Subscribe

Disclaimer

Terms of Use

Privacy Policy

Privacy Settings

© 2026 MDPI (Basel, Switzerland) unless otherwise stated