Submitted:
24 December 2024
Posted:
26 December 2024
You are already at the latest version
Abstract
Keywords:
1. Introduction
- (1)
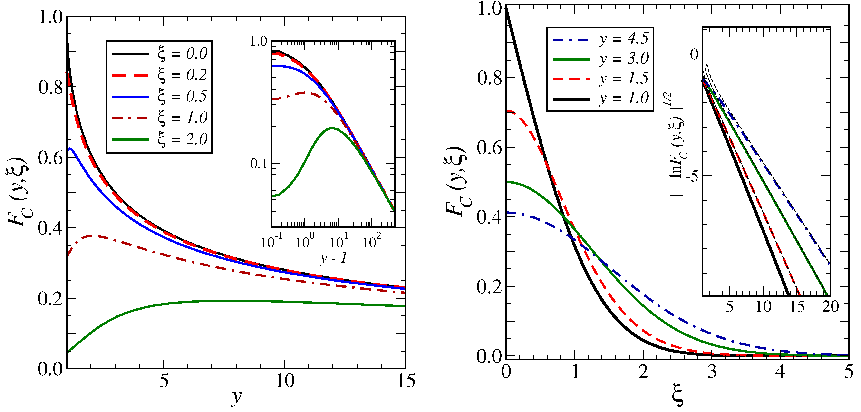
- slow dynamics (relaxations are slower than might be described by simple exponentials)
- (2)
- absence of time-translation-invariance
- (3)
- dynamical scaling
2. Critical Relaxations in Infinite-Size Systems
2.1. The Glauber-Ising Model
2.2. The Discrete Case
2.3. The Continuum Limit
3. Critical Relaxations in Finite-Size Systems
4. Conclusions
Acknowledgments
Appendix A. Analytical Derivations: Discrete Case
Appendix B. Analytical Derivations: Continuum Limit
Appendix C. Finite-Size Single-Time Correlator
Appendix D. Finite-Size Two-Time Correlator
Appendix E. On Humbert Function Identities
References
- M. Abramowitz and I.A. Stegun, Handbook of Mathematical Functions, Dover (New York 1965).
- R. Agrawal, F. Corberi, E. Lippiello, P. Politi, S. Puri, Phys. Rev. E103, 012108 (2021) [arxiv:2011.05030].
- R. Agrawal, F. Corberi, F. Insalata, S. Puri, Phys. Rev. E105, 034131 (2022) [arxiv:2111.10118].
- R. Agrawal, F. Corberi, E. Lippiello, S. Puri, Phys. Rev. E108, 044131 (2023) [arxiv:2305.06723].
- F.C. Alcaraz, M. Droz, M. Henkel, V. Rittenberg, Ann. of Phys. 230, 250 (1994) [arxiv:hep-th/9302112].
- M.A. Aliev, J. Math. Phys. 50, 083302 (2009).
- R. Almeida, K. Takeuchi, Phys. Rev. E104, 054103 (2021) [arxiv:2107.09043].
- F. Arceri, F.P. Landes, L. Berthier, G. Biroli, A statistical mechanics perspective on glasses and ageing, in R.A. Meyers (éd.) Encyclopedia of complexity and systems science, Springer (Heidelberg 2021) [arxiv:2006.09725].
- M.N. Barber, Finite-size scaling, in C. Domb, J.L. Lebowitz (éds), Phase transitions and critical phenomena, vol. 8, London (Academic Press 1983); p. 146.
- D. Barbier, P.H. de Freitas Pimenta, L.F. Cugliandolo, D.A. Stariolo, J. Stat. Mech. 073301 (2021) [arXiv:2103.12654].
- B. Berche, M. Henkel, R. Kenna, Rev. Bras. de Ensino de Física 31, 2602 (2009).
- B. Berche, M. Henkel, R. Kenna, J. Phys. Studies 13, 3201 (2009) [arXiv:0905.1886].
- J.G. Brankov, D.M. Danchev and N.S. Tonchev, Theory of critical phenomena in finite-size systems, World Scientific (Singapour 2000).
- A.J. Bray, Adv. Phys. 43, 357 (1994) [arXiv:cond-mat/9501089].
- A.J. Bray, A.D. Rutenberg, Phys. Rev. E49, R27 (1994) [arxiv:cond-mat/9303011] and E51, 5499 (1995) [arxiv:cond-mat/9409088].
- A.J. Bray, in V. Privman (éd) Nonequilibrium statistical mechanics in one dimension, Cambridge Univ. Press (Cambridge 1997); pp. 143-165.
- É. Brézin, J. Physique 43, 15 (1982).
- H. Christiansen, S. Majumder, W. Janke, J. Chem. Phys. 147, 094902 (2017) [arXiv:1708.03216].
- H. Christiansen, S. Majumder, W. Janke, Phys. Rev. E99, 011301 (2019) [arXiv:1808.10426].
- H. Christiansen, S. Majumder, M. Henkel, W. Janke, Phys. Rev. Lett. 125, 180601 (2020) [arxiv:1906.11815v2].
- H. Christiansen, S. Majumder, W. Janke, Phys. Rev. E103, 052122 (2021) [arXiv:2011.06098].
- H. Christiansen, S. Majumder, W. Janke, M. Henkel, Finite-size effects in ageing can be interpreted as sub-ageing, submitted to Phys. Rev. Lett. (2025).
- F. Corberi, E. Lippiello, M. Zannetti, Phys. Rev. E74, 04106 (2006) [arxiv:cond-mat/0610615].
- F. Corberi, E. Lippiello, P. Politi, J. Stat. Phys. 176, 510 (2019) [arxiv:1902.06142].
- F. Corberi, E. Lippiello, P. Politi, J. Stat. Mech. 074002 (2019) [arxiv:1904.05595].
- F. Corberi, A. Iannone, M. Kumar, E. Lippiello, P. Politi, Sci Post Phys. 10, 109 (2021).
- F. Corberi, S. dello Russo, L. Smaldone, J. Stat. Mech. 093206 (2024) [arXiv:2404.06917].
- L.F. Cugliandolo, in J.-L. Barrat, M. Feiglman, J. Kurchan, J. Dalibard (eds), Slow relaxations and non-equilibrium dynamics in condensed matter, Les Houches LXXVII, Springer (Heidelberg 2003), pp. 367-521 [arxiv:cond-mat/0210312].
- M. Droz, Z. Rácz, J. Schmidt, Phys. Rev. A39, 2141 (1989).
- X. Durang, J.-Y. Fortin, D. del Biondo, M. Henkel and J. Richert, J. Stat. Mech. P04002 (2010) [arxiv:1012.4724].
- X. Durang, J.-Y. Fortin, M. Henkel, J. Stat. Mech. P02030 (2011) [arXiv:1012.4724].
- B.U. Felderhof, Rep. Math. Phys. 1, 215 (1971); erratum 2, 151 (1971).
- L.A. Fernandez, E. Marinari, V. Martin-Mayor, I. Paga, J.J. Ruiz-Lorenzo, Phys. Rev. B100, 184412 (2019) [arxiv:1906.01646].
- M.E. Fisher, in M.S. Green (ed.) Critical phenomena, Proc. 51st Int. School `Enrico Fermi’, Academic Press (London 1971); p. 1.
- J.-Y. Fortin, J. Stat. Mech. P09033 (2014) [arXiv:1402.6901].
- D. Gessert, H. Christiansen, W. Janke,Phys. Rev. E109, 044148 (2024) [arxiv:2404.04214].
- R. Glauber, J. Math. Phys. 4, 294 (1963).
- C. Godrèche, J.-M. Luck, J. Phys. A33, 1151 (2000) [arXiv:cond-mat/9911348].
- C. Godrèche, J.-M. Luck, J. Phys. A55, 495001 (2022) [arXiv:2208.12512].
- P.-C. Hang, Note on the Humbert function Ψ1, [arxiv.2410.21985].
- P.-C. Hang, M.-J. Luo, SIGMA 20, 074 (2024) [arxiv:2403.14942].
- P.-C. Hang, M.-J. Luo, J. Math. Anal. Appl. 541, 128707 (2025) [arxiv:2405.00325].
- P.-C. Hang, M. Henkel, M.-J. Luo, in preparation (2025).
- M. Henkel, G.M. Schütz, J. Phys. A37, 591 (2004) [arXiv:cond-mat/0308466].
- M. Henkel and M. Pleimling, “Non-equilibrium phase transitions vol. 2: ageing and dynamical scaling far from equilibrium”, Springer (Heidelberg 2010).
- M. Henkel, Condensed Matt. Phys. 26, 13501 (2023) [arXiv:2211.03657].
- M. Henkel, Generalised time-translation-invariance in simple ageing, in V. Dobrev (éd), Springer Proceedings in Mathematics and Statistics 473, at press (2025).
- F. Ionita, H. Meyer-Ortmanns, Phys. Rev. Lett. 112, 094101 (2014).
- C. Itzykson, J.-M. Drouffe, Théorie statistique des champs, vol 2, Éditions CNRS (Paris 1989);C. Itzykson, J.-M. Drouffe, Statistical field theory, vol 2., Cambridge Univ. Press (Cambridge 1989).
- W. Janke, H. Christiansen, S. Majumder, Eur. Phys. J. ST 232, 1693 (2023).
- Y.G. Joh, R, Orbach, G.G. Wood, J. Hammann, E.Vincent, J. Phys. Soc. Jpn. 69, 215 (2000) Suppl. A, [arXiv:cond-mat/0002040].
- G.G. Kenning, D.M. Tennant, C.M. Rost, F. Garrote da Silva, B.J. Walters, Q. Zhai, D.C. Harrison, E.D. Dahlberg, R.L. Orbach, Phys. Rev. B98, 104436 (2018).
- P.L. Krapivsky, S. Redner, E. Ben-Naim, A kinetic view of statistical physics, Cambridge University Press (Cambridge 2010).
- K. Krebs, M.P. Pfannmüller, B. Wehefritz, H. Hinrichsen, J. Stat. Phys. 78, 1429 (1994) [arXiv:cond-mat/9402017], [arXiv:cond-mat/9402018].
- K. Krebs, M.P. Pfannmüller, H. Simon, B. Wehefritz, J. Stat. Phys. 78, 1471 (1994) [arXiv:cond-mat/9402019].
- E. Lippiello, M. Zannetti, Phys. Rev. E61, 3369 (2000) [arXiv:cond-mat/0001103].
- S. Majumder, W. Janke, Phys. Rev. E93, 032506 (2016).
- S. Majumder, H. Christiansen, W. Janke, Eur. Phys. J. B93, 142 (2020) [arxiv:1910.03394].
- N. Mason, A.N. Pargellis, B. Yurke, Phys. Rev. Lett. 70, 190 (1993).
- P. Mayer, L. Berthier, J.P. Garrahan, P. Sollich, Phys. Rev. E68, 016116 (2003) [arXiv:cond-mat/0301493].
- P. Mayer, P. Sollich, J. Phys. A37, 9 (2004) [arXiv:cond-mat/0301493].
- P. Mayer, P. Sollich, L. Berthier, J.P. Garrahan, J. Stat. Mech. P05002 (2005) [arXiv:cond-mat/0502271].
- F. Müller, H. Christiansen, W. Janke, Phys. Rev. Lett. 133, 237102 (2024) [arxiv:2409.08050].
- A.P. Prudnikov, Yu.A. Brychkov, O.I. Marichev, Integrals and series, vol. 1: elementary functions, Gordon and Breach (New York 1986).
- A.P. Prudnikov, Yu.A. Brychkov, O.I. Marichev, Integrals and series, vol. 2: special functions, Gordon and Breach (New York 1986).
- A.P. Prudnikov, Yu.A. Brychkov, O.I. Marichev, Integrals and series, vol. 3: more special functions, Gordon and Breach (New York 1990).
- S. Puri, V. Wadhawan (eds), Kinetics of phase transitions, Taylor and Francis (London 2009).
- H.M. Srivastava, P.W. Karlsson, Multiple gaussian hypergeometric series, Ellis Horwood (Chichester 1985).
- L.C.E. Struik, Physical ageing in amorphous polymers and other materials, Elsevier (Amsterdam 1978).
- M. Suzuki, Prog. Theor. Phys. 58, 1142 (1977).
- U.C. Täuber, Critical dynamics: a field-theory approach to equilibrium and non-equilibrium scaling behaviour, Cambridge University Press (Cambridge 2014).
- G. Verley, R. Chétrite, D. Lacoste, J. Stat. Mech. P10025 (2011) [arXiv:1108.1135].
- E. Vincent, in T. Chakraborty (éd), Encyclopedia of Condensed Matter Physics, Vol. 2, pp. 371-387, Oxford University Press (Oxford 20242) [arxiv:2208.00981].
- S. Wald, M. Henkel, Int. Transf. Spec. Funct. 29, 95 (2018) [arxiv:1707.06273].
- D. Warkotsch, M. Henkel, W. Janke, in preparation (2025).
- N. Zamponi, E. Zamponi, S.A. Cannas, D.R. Chialvo, Sci. Rep. 12, 17074 (2022) [arxiv:2010.16020].
- Q. Zhai, D.C. Harrison, D. Tennant, E.D. Dahlberg, G.G. Kenning, R.L. Orbach, Phys. Rev. B95, 054304 (2017).
- Q. Zhai, V. Martin-Mayor, D. L. Schlagel, G.G. Kenning, R.L. Orbach, Phys. Rev. B100, 094202 (2019) [arXiv:2002.07478].
| 1 | |
| 2 | |
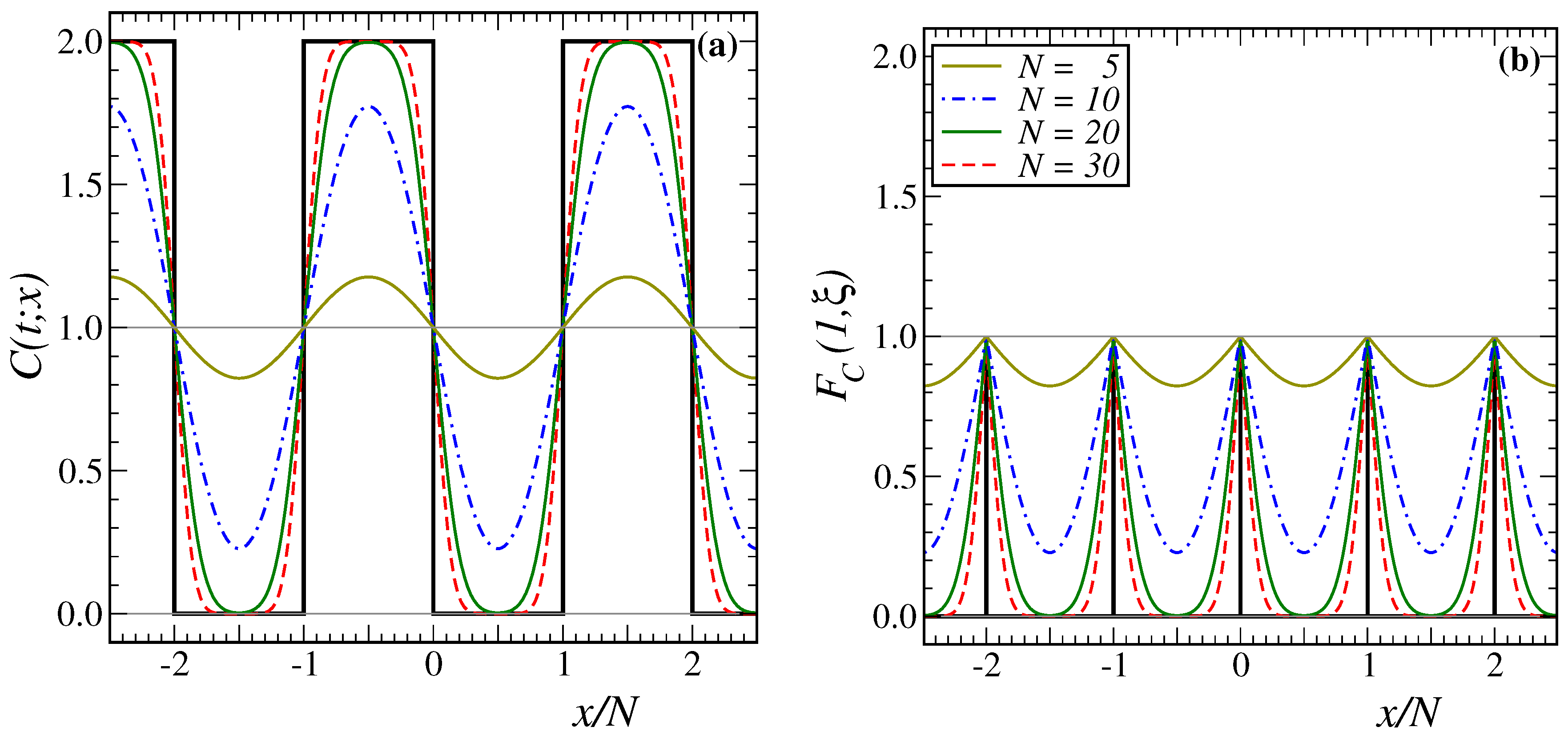
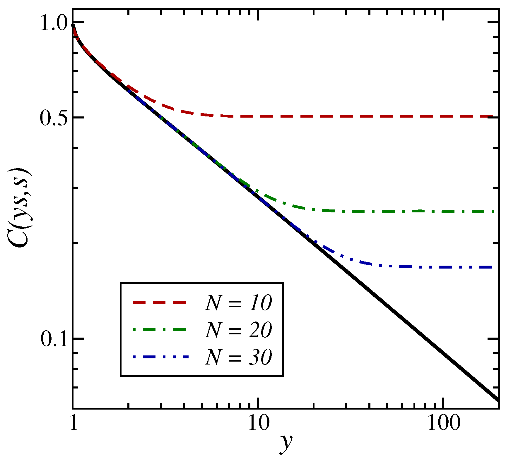
| 3 | The systematic study of finite-size effects, by which we mean the consequences of the system being in a restricted spatial volume of linear size N, and the associated finite-size scaling has a long history indeed for equilibrium phase transitions [9,13,17,34] and as well for equilibrium dynamics [70]. Early examples of finite-size studies in non-equilibrium systems include [5,54,55]. Finite-size effects in glassy dynamics are studied in [10,33,76] and experimentally in [51,52,77,78]. They are also one possibility to artificially create spurious sub-ageing effects [22]. |
| 4 | |
| 5 | Initial correlations are irrelevant at large times in the Glauber-Ising model [44]. |
| 6 | For a disordered initial condition , the site-dependent magnetisation for all times. |
| 7 | |
| 8 | This is valid in the scaling limit of (7) where , but is kept fixed. This will always be taken in what follows, where t and x are re-scaled time and space coordinates. |
| 9 | When considering the scaling influence of the temperature through , the two-time auto-correlator can be expressed via another Humbert function [38]. Taking into account all three scaling variables will likely involve a three-argument Lauricella/Horn hypergeometric series. |
| 10 | This might as well have been derived from (A8) or (A5) by the asymptotic expansion [1] of the modified Bessel function . |





Disclaimer/Publisher’s Note: The statements, opinions and data contained in all publications are solely those of the individual author(s) and contributor(s) and not of MDPI and/or the editor(s). MDPI and/or the editor(s) disclaim responsibility for any injury to people or property resulting from any ideas, methods, instructions or products referred to in the content. |
© 2024 by the authors. Licensee MDPI, Basel, Switzerland. This article is an open access article distributed under the terms and conditions of the Creative Commons Attribution (CC BY) license (http://creativecommons.org/licenses/by/4.0/).
