5. Experimental Section
5.1. Chemistry, General
Oxygen and moisture sensitive reactions were carried out under nitrogen, dried with silica gel with moisture indicator (orange gel, VWR, Darmstadt, Germany) and in dry glassware (Schlenk flask or Schlenk tube). All solvents were of analytical or technical grade quality. Thin layer chromatography (tlc): tlc silica gel 60 F254 on aluminum sheets (VWR). Flash chromatography (fc): Silica gel 60, 40–63 µm (VWR); parentheses include: diameter of the column (∅), length of the stationary phase (l), fraction size (v) and eluent. Automated flash chromatography: IsoleraTM Spektra One (Biotage®); parentheses include: cartridge size, flow rate, eluent, fractions size was always 20 mL. Melting point: Melting point system MP50 (Mettler Toledo, Gießen, Germany), open capillary, uncorrected. MS: MicroTOFQII mass spectrometer (Bruker Daltonics, Bremen, Germany); deviations of the found exact masses from the calculated exact masses were 5 ppm or less; the data were analyzed with DataAnalysis® (Bruker Daltonics). NMR: NMR spectra were recorded in deuterated solvents on Agilent DD2 400 MHz and 600 MHz spectrometers (Agilent, Santa Clara CA, USA); chemical shifts (δ) are reported in parts per million (ppm) against the reference substance tetramethylsilane and calculated using the solvent residual peak of the undeuterated solvent; coupling constants are given with 0.5 Hz resolution; assignment of 1H and 13C NMR signals was supported by 2-D NMR techniques where necessary.IR: FT/IR IR Affinity®-1 spectrometer (Shimadzu, Düsseldorf, Germany) using ATR technique.
5.2. HPLC Methods for the Determination of the Purity
5.2.1. HPLC Method 1
HPLC: Merck Hitachi Equipment; UV detector: L-7400; autosampler: L-7200; pump: L-7100; degasser: L-7614; column: LiChrospher® 60 RP-select B (5 μm); LiChroCART® 250-4 mm cartridge; flow rate: 1.0 mL/min; injection volume: 5.0 or 10 μL; detection at λ = 210 nm; solvents: A: water with 0.05 % (v/v) trifluoroacetic acid; B: acetonitrile with 0.05 % (v/v) trifluoroacetic acid: gradient elution: (A %): 0-4 min: 90 %, 4-29 min: 90 → 0 %, 29-31 min: 0 %, 31-31.5 min: 0 → 90 %, 31.5-40 min: 90 %. Data acquisition: HSM software; manual integration.
5.2.2. HPLC Method 2
An Ultimate system by Thermo Scientific was used to determine the purity of the synthesized compounds at a detection wavelength of 210 nm: guard column: Zorbax SB-Aq 12.5x4.6 mm cartridge; column: Zorbax SB-Aq StableBond analytical 150x4.6 mm; UV-detector: UltiMate VWD-3400RS variable Wavelength Detector; autosampler: UltiMate 3000; pump: Ultimate LPG-3400SD; degasser: Ultimate AFC- 3000: data acquisition: Chromeleon Client 6.80 (Dionex Corpor). Data were evaluated by manual integration. Gradient used to determine purities via HPLC, Tetrabutylammonium phosphate buffer (5 mM) in H2O / CH3CN, flow rate: 1.0 mL·min-1 at room temperature; 0 min: 20 % CH3CN, 20 min: 80 % CH3CN, 30 min: 20 % CH3CN.
5.3. General Methods
General numbering of the BODIPY core:

5.3.1. General Procedure A for the Synthesis of Monomethoxy Bodipy Derivatives
Under N2 the respective BODIPY dye (1.0 eq.) was dissolved in CH2Cl2 (140 mL/mmol). The solution was cooled down to 0 °C and under stirring TMSOTf (5.0 eq.) was added dropwise. After stirring for 2.5 min at 0 °C, methanol (100 eq.) and DIPEA (10 eq.) were added to the solution. The mixture was allowed to warm up to room temperature and H2O (140 mL/mmol) was added. The mixture was stirred for 20 min. The organic layer was separated and washed with H2O (3 x 140 mL/mmol), dried (Na2SO4), filtered and concentrated in vacuo. The crude product was purified as described in the particular procedure.
5.3.2. General Procedure B for the Synthesis of 1,2,3-Triazoles
Alkynylated senicapoc derivative 8 (1.0 eq.) and the corresponding azide substituted BODIPY dye (1.0 eq.) were dissolved in DMF (80 mL/mmol) and H2O (65 mL/mmol). Sodium ascorbate (6.6 eq.) and CuSO4 (6.5 eq.) were added, and the mixture was stirred at room temperature for 16 h. Afterwards, ethyl acetate (150 mL/mmol) and LiCl solution (5 % wt in H2O, 150 mL/mmol) were added. The organic layer was separated and washed with LiCl solution (5 % wt in H2O, 3 x 150 mL/mmol). The organic layer was dried (Na2SO4), filtered and concentrated in vacuo The crude product was purified as mentioned.
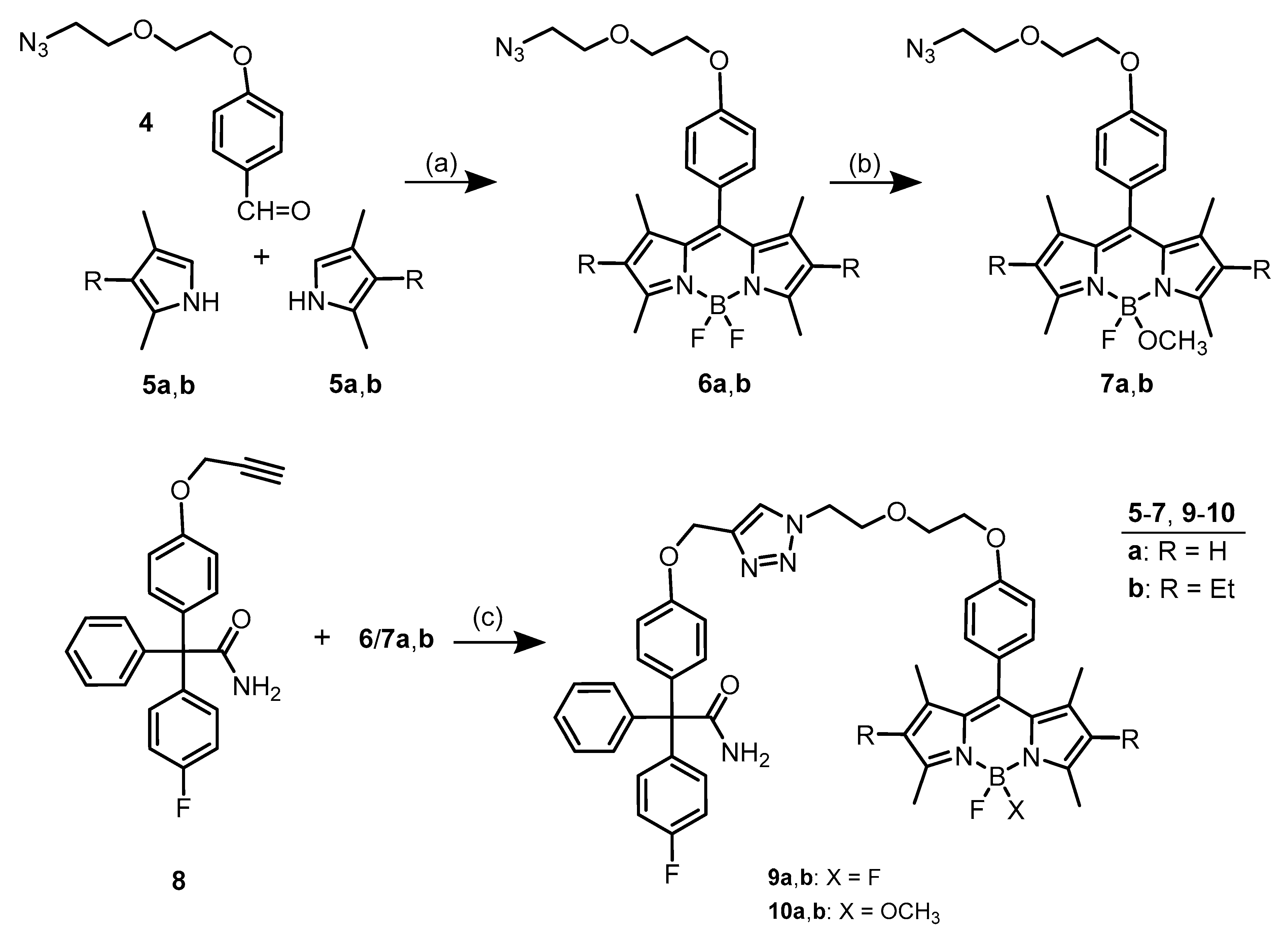
5.4. Synthesis of Senicapoc Bodipy Conjugates Containing a Phenylene Moiety in the Linker
8-[4-(2-(2-Azidoethoxy)ethoxy)phenyl]-2,6-diethyl-4,4-difluoro-1,3,5,7-tetramethyl-4-bora-3a,4a-diaza-s-indacene (6b)

Under moisture, oxygen, and light free conditions, 3-ethyl-2,4-dimethylpyrrole (5b, 1.72 mL, 12.8 mmol, 2.0 eq.) and benzaldehyde 4 (1.50 g, 6.37 mmol,1.0 eq.) were dissolved in dry CH2Cl2 (30 mL/mmol). Trifluoroacetic acid (2 drops) was added and the mixtures was stirred at room temperature overnight. A solution of 2,3,5,6-tetrachloro-1,4-benzoquinone (DDQ, 1.57 g, 6.37 mmol, 1.0 eq.) in CH2Cl2 (10 mL) was added and the mixture was stirred at room temperature for 30 min. Et3N (4.86 mL, 35.0 mmol, 5.5 eq.) was added and the mixture was stirred at room temperature for 15 min. After cooling the solution down to 0 °C, BF3 · OEt2 (BF3 · OEt2 (4.84 mL, 38.2 mmol, 6.0 eq.) was added slowly and the mixture was stirred at room temperature overnight (16 h). H2O (30 mL/mmol) was added and the mixture was stirred at room temperature for 1 h. The organic layer was separated, washed with H2O (3 x 30 mL/mmol), dried (Na2SO4), filtered and concentrated in vacuo. The crude product was filtered over silica with CH2Cl2. The filtrate was concentrated in vacuo and the product was purified by flash chromatography (Ø = 5 cm, h = 15 cm, V = 30 mL, cyclohexane : ethyl acetate = 9 : 1), Rf = 0.21 (cyclohexane : ethyl acetate = 10 : 1). Red solid, mp 115 °C, yield 564 mg (17 %). Purity (HPLC, method 2): 97.2 % (tR = 22.2 min). C27H34BF2N5O2 (Mr = 509.4). 1H NMR (600 MHz, DMSO-d6): δ (ppm) = 0.94 (t, J = 7.5 Hz, 6H, 2-CH2CH3, 6-CH2CH3), 1.31 (s, 6H, 1-CH3, 7-CH3(indacene)), 2.29 (q, J = 7.5 Hz, 4H, 2-CH2CH3, 6-CH2CH3), 2.43 (s, 6H, 3-CH3, 5-CH3(indacene)), 3.42 – 3.47 (m, 2H, OCH2CH2N3), 3.67 – 3.72 (m, 2H, OCH2CH2N3), 3.81 – 3.85 (m, 2H, OCH2CH2O), 4.16 – 4.21 (m, 2H, OCH2CH2O), 7.09 – 7.14 (m, 2H, 3-H(Ph), 5-H (Ph)), 7.21 – 7.26 (m, 2H, 2-H(Ph), 6-H (Ph)). 13C NMR (151 MHz, DMSO-d6): δ (ppm) = 11.5 (2C, 1-CH3(indacene), 7-CH3(indacene)), 12.2 (2C, 3-CH3(indacene), 5-CH3(indacene)), 14.5 (2C, 2-CH2CH3(indacene), 6-CH2CH3(indacene)), 16.4 (2C, 2-CH2CH3(indacene), 6-CH2CH3(indacene)), 49.9 (1C, OCH2CH2N3), 67.2 (1C, OCH2CH2O), 68.8 (1C, OCH2CH2O), 69.4 (1C, OCH2CH2N3), 115.1 (2C, C-3(Ph), C-5(Ph)), 126.7 (1C, C-8(indacene)), 129.3 (2C, C-2(Ph), C-6(Ph)), 130.4 (2C, C-8a(indacene), C-7a(indacene)), 132.4 (2C, C-2(indacene), C-6(indacene)), 138.1 (2C, C-1(indacene), C-7(indacene)), 140.6 (1C, C-1(Ph)), 152.9 (2C, C-3(indacene), C-5(indacene)), 159.0 (1C, C-4(Ph)). Exact mass (ESI): (m/z) = 510.2889 (calcd. 510.2847 C27H34BF2N5O2 [M+H]+). IR (neat): ṽ (cm-1) = 2963 (C-H, aliph), 2924 (C-H, aliph), 2110 (N=N=N), 1535 (C=C, arom), 1470 (C=C, arom), 1288 (C-O).
8-{4-[2-(2-Azidoethoxy)ethoxy]phenyl}-2,6-diethyl-4-fluoro-4-methoxy-1,3,5,7-tetramethyl-4-bora-3a,4a-diaza-s-indacene (7b)

According to General Procedure A, bodipy dye 6b (150 mg, 0.29 mmol, 1.0 eq.), TMSOTf (0.26 mL, 1.47 mmol, 5.0 eq.), methanol (1.20 mL, 29.4 mmol, 100 eq.) and DIPEA (0.51 mL, 2.94 mmol, 10 eq.) were reacted stepwise in CH2Cl2. The crude product was purified by automatic flash column chromatography; column 1: (ø = 3 cm, h = 15 cm, V = 10 mL, CH2Cl2 : CH3OH = 99 : 1), column 2: (ø = 2 cm, h = 20 cm, V = 10 mL, CH2Cl2 : MeOH = 98 : 2), Rf = 0.21 (CH2Cl2 : CH3OH = 98 : 2). Red solid, mp 155 °C, yield 69.2 mg (46 %). Purity (HPLC, method 2): 90.7 % (tR = 20.7 min). C28H37BFN5O3 (Mr = 521.4). 1H NMR (600 MHz, DMSO-d6): δ (ppm) = 0.94 (t, J = 7.6 Hz, 6H, 2-CH2CH3, 6-CH2CH3), 1.30 (s, 6H, 1-CH3(indacene), 7-CH3(indacene)), 2.29 (q, J = 7.6 Hz, 4H, 2-CH2CH3, 6-CH2CH3), 2.42 (s, 6H, 3-CH3(indacene), 5-CH3(indacene)), 2.78 (s, 3H, OCH3), 3.42 – 3.47 (m, 2H, OCH2CH2N3), 3.67 – 3.72 (m, 2H, OCH2CH2N3), 3.81 – 3.85 (m, 2H, OCH2CH2O), 4.16 – 4.20 (m, 2H, OCH2CH2O), 7.07 – 7.14 (m, 2H, 3-H(Ph), 5-H(Ph)), 7.18 – 7.25 (m, 2H, 2-H(Ph), 6-H(Ph)). 13C NMR (151 MHz, DMSO-d6): δ (ppm) = 11.5 (2C, 1-CH3(indacene), 7-CH3(indacene)), 12.1 (d, J = 2.1 Hz, 2C, 3-CH3(indacene), 5-CH3(indacene)), 14.6 (2C, 2-CH2CH3, 6-CH2CH3), 16.5 (2C, 2-CH2CH3, 6-CH2CH3), 48.4 (1C, OCH3), 49.9 (1C, OCH2CH2N3), 67.2 (1C, OCH2CH2O), 68.8 (1C, OCH2CH2O), 69.4 (1C, OCH2CH2N3), 115.0 (1C, C-3(Ph)), 115.1 (1C, C-5(Ph)), 127.2 (1C, C-8(indacene)), 129.4 (2C, C-2(Ph), C-6 (Ph)), 131.2 (2C, C-8a(indacene), C-7a(indacene)), 132.1 (2C, C-2(indacene), C-6(indacene)), 136.9 (2C, C-1(indacene), C-7(indacene)), 140.4 (1C, C-1(Ph)), 152.9 (2C, C-3(indacene), C-5(indacene)), 158.9 (1C, C-4(Ph)). Exact mass (ESI): (m/z) = 490.2812 (calcd. 490.2784 for C28H37BFN5O3 [M-OMe]+). IR (neat): ṽ (cm-1) = 2959 (C-H, aliph), 2929 (C-H, aliph), 2094 (N=N=N), 1539 (C=C, arom), 1462 (C=C, arom), 1111 (C-O).
2-{4-[(1-{2-[4-(2,6-Diethyl-4,4-difluoro-1,3,5,7-tetramethyl-4-bora-3a,4a-diaza-s-indacen-8-yl)phenoxy]ethoxyethyl}-1,2,3-triazol-4-yl)methoxy]phenyl}-2-(4-flluorophenyl)-2- phenylacetamide (9b)

According to General Procedure B, bodipy dye 6b (100 mg, 0.20 mmol, 1.0 eq.), propargyl ether 8 (70.6 mg, 0.20 mmol, 1.0 eq.), sodium ascorbate (257 mg, 1.30 mmol, 6.6 eq.) and CuSO4 (204 mg, 1.28 mmol, 6.5 eq.) were reacted in DMF and H2O. The crude product was purified by flash column chromatography, column 1: (Ø = 2.5 cm, h = 15 cm, V = 10 mL, CH2Cl2 : CH3OH = 99 : 1); automatic flash column chromatography; column 1: (cartridge: SNAP KP-Sil, 25 g (Biotage®), ethyl acetate : cyclohexane, gradient 50 : 50 → 85 : 15, 25 mL/min), column 2: (cartridge: SNAP KP-Sil, 25 g (Biotage®), ethyl acetate : cyclohexane, gradient 50 : 50 → 90 : 10, 25 mL/min), column 3: (cartridge: SNAP C18, 12 g (Biotage®), CH3CN : H2O, gradient 60 : 40 → 100 : 0, 12 mL/min), Rf = 0.42 (CH2Cl2 : CH3OH = 98 : 2). Red solid, mp 109 °C, yield 29.5 mg (18 %). Purity (HPLC, method 2): 99.2 % (tR = 22.1 min). C50H52BF3N6O4 (Mr = 868.8). 1H NMR (600 MHz, DMSO-d6): δ (ppm) = 0.92 (t, J = 7.6 Hz, 6H, 2-CH2CH3, 6-CH2CH3), 1.29 (s, 6H, 1-CH3(indacene), 7-CH3(indacene)), 2.27 (q, J = 7.5 Hz, 4H, 2-CH2CH3, 6-CH2CH3), 2.42 (s, 6H, 3-CH3(indacene), 5-CH3(indacene)), 3.76 – 3.81 (m, 2H, OCH2CH2O), 3.92 (t, J = 5.2 Hz, 2H, NCH2CH2O), 4.11 – 4.15 (m, 2H, OCH2CH2O), 4.59 (t, J = 5.2 Hz, 2H, NCH2CH2O), 5.11 (s, 2H, aryl-O-CH2), 6.60 (bs, 1H, NH2), 6.94 – 6.99 (m, 2H, 3-H(OPh), 5-H(OPh)), 7.05 – 7.12 (m, 6H, 3-H(FPh), 5-H(FPh), 2-H(OPh), 6-H(OPh), 3-H(dye-Ph), 5-H(dye-Ph)), 7.14 – 7.22 (m, 7H, 2-H(dye-Ph), 6-H(dye-Ph), 2-H(Ph), 6-H (Ph), 2-H(FPh), 6-H(FPh), 4-H(Ph)), 7.25 – 7.31 (m, 2H, 3-H(Ph), 5-H(Ph)), 7.51 (bs, 1H, NH2), 8.24 (s, 1H, CH(triazole)). 13C NMR (151 MHz, DMSO-d6): δ (ppm) = 11.5 (2C, 1-CH3(indacene), 7-CH3(indacene)), 12.2 (2C, 3-CH3(indacene), 5-CH3(indacene)), 14.5 (2C, 2-CH2CH3, 6-CH2CH3), 16.4 (2C, 2-CH2CH3, 6-CH2CH3), 49.3 (1C, NCH2CH2O), 61.1 (1C, aryl-O-CH2), 65.9 (1C, CCONH2), 67.0 (1C, OCH2CH2O), 68.6 (1C, OCH2CH2O), 68.8 (1C, NCH2CH2O), 113.8 (2C, C-3(OPh), C-5(OPh)), 114.2 (d, J = 21.2 Hz, 2C, C-3(FPh), C-5(FPh)), 115.1 (2C, C-3(dye-Ph), C-5(dye-Ph)), 124.9 (1C, C-5(triazole)), 126.4 (1C, C-4(Ph)), 126.8 (1C, C-8(indacene)), 127.7 (2C, C-3(Ph), C-5(Ph)), 129.3 (2C, C-2(dye-Ph), C-6(dye-Ph)), 129.9 (2C, C-2(Ph), C-6(Ph)), 130.4 (2C, C-7a(indacene), C-8a(indacene)), 131.2 (2C, C-2(OPh), C-6(OPh)), 132.0 (d, J = 8.0 Hz, 2C, C-2(FPh), C-6(FPh)), 132.4 (2C, C-2(indacene), C-6(indacene)), 136.0 (1C, C-1(OPh)), 138.1 (2C, C-1(indacene), C-7(indacene)), 140.3 (d, J = 3.45 Hz, 1C, C-1(FPh)), 140.6 (1C, C-1(dye-Ph)), 142.5 (1C, C-4(triazole)), 144.0 (1C, C-1(Ph)), 152.9 (2C, C-3(indacene), C-5(indacene)), 156.5 (1C, C-4(OPh)), 158.9 (1C, C-4(dye-Ph)), 160.5 (d, J = 243.8 Hz, 1C, C-4(FPh)), 174.1 (1C, CONH2). Exact mass (ESI): (m/z) = 849.4120 (calcd. 849.4106 for C50H52BF3N6O4 [M-F]+). IR (neat): ṽ (cm-1) = 3496 (CON-H), 2933 (C-H, aliph), 1678 (C=O), 1543 (C=C, arom), 1504 (C=C, arom), 1189 (C-O).
2-{4-[(1-{2-[4-(2,6-Diethyl-4-fluoro-4-methoxy-1,3,5,7-tetramethyl-4-bora-3a,4a-diaza-s-indacen-8-yl)phenoxy]ethoxyethyl}-1,2,3-triazol-4-yl)methoxy]phenyl}-2-(4-flluorophenyl)-2- phenylacetamide (10b)

According to General Procedure B, bodipy dye 7b (31.1 mg, 0.06 mmol, 1.0 eq.), propargyl ether 8 (21.4 mg, 0.06 mmol, 1.0 eq.), sodium ascorbate (77.9 mg, 0.39 mmol, 6.6 eq.) and CuSO4 (61.8 mg, 0.39 mmol, 6.5 eq.) were reacted in DMF and H2O. The crude product was purified by automatic flash column chromatography; column 1: (cartridge: SNAP KP-Sil, 10 g (Biotage®), ethyl acetate : cyclohexane, gradient 50 : 50 → 85 : 15, 25 mL/min), column 2: (cartridge: SNAP C18, 12 g (Biotage®), CH3CN : H2O, gradient 60 : 40 → 100 : 0, 12 mL/min), Rf = 0.45 (CH2Cl2 : CH3OH = 95 : 5). Red solid, mp 106 °C, yield 15.7 mg (30 %). Purity (HPLC, method 2): 94.0 % (tR = 20.9 min). C51H55BF2N6O5 (Mr = 880.8). 1H NMR (600 MHz, DMSO-d6): δ (ppm) = 0.92 (t, J = 7.5 Hz, 6H, 2-CH2CH3, 6-CH2CH3), 1.28 (s, 6H, 1-CH3(indacene), 7-CH3(indacene)), 2.27 (q, J = 7.5 Hz, 4H, 2-CH2CH3, 6-CH2CH3), 2.42 (s, 6H, 3-CH3(indacene), 5-CH3(indacene)), 2.76 (s, 3H, OCH3), 3.76 – 3.81 (m, 2H, OCH2CH2O), 3.92 (t, J = 5.2 Hz, 2H, NCH2CH2O), 4.10 – 4.15 (m, 2H, OCH2CH2O), 4.59 (t, J = 5.2 Hz, 2H, NCH2CH2O), 5.11 (s, 2H, aryl-O-CH2), 6.60 (bs, 1H, NH2), 6.93 – 6.99 (m, 2H, 3-H(OPh), 5-H(OPh)), 7.03 – 7.12 (m, 6H, 3-H(FPh), 5-H(FPh), 2-H(OPh), 6-H(OPh), 3-H(dye-Ph), 5-H(dye-Ph)), 7.14 – 7.25 (m, 7H, 2-H(dye-Ph), 6-H(dye-Ph), 2-H(Ph), 6-H(Ph), 2-H(FPh), 6-H(FPh), 4-H(Ph)), 7.25 – 7.31 (m, 2H, 3-H(Ph), 5-H(Ph)), 7.51 (bs, 1H, NH2), 8.24 (s, 1H, CH(triazole)). 13C NMR (151 MHz, DMSO-d6): δ (ppm) = 11.5 (2C, 1-CH3(indacene), 7-CH3(indacene)), 12.1 (d, J = 1.8 Hz, 2C, 3-CH3(indacene), 5-CH3(indacene)), 14.6 (2C, 2-CH2CH3, 6-CH2CH3), 16.5 (2C, 2-CH2CH3, 6-CH2CH3), 48.5 (d, J = 6.4 Hz, 1C, OCH3), 49.3 (1C, NCH2CH2O), 61.1 (1C, aryl-O-CH2), 65.9 (1C, CCONH2), 67.0 (1C, OCH2CH2O), 68.6 (1C, OCH2CH2O), 68.8 (1C, NCH2CH2O), 113.8 (2C, C-3(OPh), C-5(OPh)), 114.2 (d, J = 21.3 Hz, 2C, C-3(FPh), C-5(FPh)), 115.0 (1C, C-3(dye-Ph)), 115.1 (1C, C-5(dye-Ph)), 124.9 (1C, C-5(triazole)), 126.4 (1C, C-4(Ph)), 127.2 (1C, C-8(indacene)), 127.7 (2C, C-3(Ph), C-5(Ph)), 129.4 (bs, 2C, C-2(dye-Ph), C-6(dye-Ph)), 129.9 (2C, C-2(Ph), C-6(Ph)), 131.1 – 131.2 (m, 4C, 2C, C-2(OPh), C-6(OPh), C-8a(indacene), C-7a(indacene)), 132.0 (d, J = 8.7 Hz, 4C, C-2(FPh), C-6(FPh), C-2(indacene), C-6(indacene)), 136.0 (1C, C-1(OPh)), 140.3 (d, J = 3.0 Hz, 1C, C-1(FPh)), 140.4 (1C, C-1(dye-Ph)), 142.5 (1C, C-4(triazole)), 144.0 (1C, C-1(Ph)), 152.9 (2C, C-3(indacene), C-5(indacene)), 156.5 (1C, C-4(OPh)), 158.8 (1C, C-4(dye-Ph)), 160.6 (d, J = 143.9 Hz, 1C, C-4(FPh)), 174.1 (1C, CONH2). Exact mass (ESI): (m/z) = 849.4123 (calcd. 849.4111 for C51H55BF2N6O5 [M-OMe]+). IR (neat): ṽ (cm-1) = 3495 (CON-H), 2945 (C-H, aliph), 1678 (C=O), 1605 (C=C), 1543 (C=C, arom), 1504 (C=C, arom), 1184 (C-O).
5.5. Synthesis of Senicapoc Bodipy Conjugates Containing an Aliphatic Linker
8-(4-Chlorobutyl)-4,4-difluoro-1,3,5,7-tetramethyl-4-bora-3a,4a-diaza-s-indacene (12a)[
35]

Under moisture, oxygen, and light free conditions, 5-chlorovaleryl chloride ((11, 0.9 mL, 6.97 mmol,1.0 eq.) was dissolved in dry CH2Cl2 (25 mL/mmol) and the solution was cooled down to 0 °C. 2,4-Dimethylpyrrole (5a, 1.50 mL, 15.0 mmol, 2.2 eq.) was slowly added to the mixture. After stirring for 30 min at 0 °C, the mixture was allowed to warm up to room temperature and was stirred for another 30 min. Et3N (2.90 mL, 20.9 mmol, 3.0 eq.) was added slowly and the mixture was stirred at room temperature for 15 min. After cooling the solution down to 0 °C, BF3 · OEt2 (4.40 mL, 34.8 mmol, 6.0 eq.) was added slowly and the mixture was allowed to warm up to room temperature. After stirring for 14 h, H2O (30 mL/mmol) was added and the mixture was stirred at room temperature for 15 min. The organic layer was separated, washed with H2O (3 x 30 mL/mmol), dried (Na2SO4), filtered and concentrated in vacuo. The crude product was filtered over silica with CH2Cl2. The filtrate was concentrated in vacuo and the residue was purified by automatic flash column chromatography (cartridge: SNAP KP-Sil, 50 g (Biotage®), CH2Cl2 : cyclohexane, gradient 20 : 80 → 55 : 45, 50 mL/min), Rf = 0.51 (cyclohexane : ethyl acetate = 4 : 1). Orange solid, mp 164 °C, yield 1.28 g (54 %). Purity (HPLC, method 2): 84.2 % (tR = 19.0 min). C17H22BClF2N2 (Mr = 338.6). 1H NMR (500 MHz, CDCl3): δ (ppm) = 1.76 – 1.84 (m, 2H, CCH2CH2CH2CH2Cl), 1.88 – 2.03 (m, 2H, CCH2CH2CH2CH2Cl), 2.42 (s, 6H, 1-CH3(indacene), 7-CH3(indacene)), 2.52 (s, 6H, 3-CH3(indacene), 5-CH3(indacene)), 2.94 – 3.01 (m, 2H, CCH2CH2CH2CH2Cl), 3.58 (t, J = 6.3 Hz, 2H, CCH2CH2CH2CH2Cl), 6.06 (s, 2H, 2-CH(indacene), 6-CH(indacene)). 13C NMR (126 MHz, CDCl3): δ (ppm) = 14.6 (2C, 1-CH3(indacene), 7-CH3(indacene)), 16.5 (2C, 3-CH3(indacene), 5-CH3(indacene)), 27.7 (1C, CCH2CH2CH2CH2Cl), 29.1 (1C, CCH2CH2CH2CH2Cl), 33.1 (1C, CCH2CH2CH2CH2Cl), 44.4 (1C, CCH2CH2CH2CH2Cl), 121.9 (2C, C-2(indacene), C-6(indacene)), 131.5 (2C, C-8a(indacene), C-7a(indacene)), 140.4 (2C, C-1(indacene), C-7(indacene)), 145.5 (1C, C-8(indacene)), 154.2 (2C, C-3(indacene), C-5(indacene)). Exact mass (ESI): (m/z) = 339.1547 (calcd. 339.1606 C17H22BClF2N2 [M+H]+). IR (neat): ṽ (cm-1) = 2980 (C-H, aliph), 1547 (C=C, arom), 1504 (C=C, arom), 1304 (C-N), 714 (C-Cl).
8-(4-Chlorobutyl)-2,6-diethyl-4,4-difluoro-1,3,5,7-tetramethyl-4-bora-3a,4a-diaza-s-indacene (12b)

Under moisture, oxygen, and light free conditions, 5-chlorovaleryl chloride (11, 0.33 mL, 2.59 mmol, 1.0 eq.), was dissolved in dry CH2Cl2 (25 mL/mmol) and the solution was cooled down to 0 °C. 3-Ethyl-2,4-dimethylpyrrole (5b, 0.75 mL, 5.56 mmol, 2.2 eq.) was slowly added to the mixture. After stirring for 30 min at 0 °C, the mixture was allowed to warm up to room temperature and was stirred for another 30 min. Et3N (1.10 mL, 7.77 mmol, 3.0 eq.) was added slowly and the mixture was stirred at room temperature for 15 min. After cooling the solution down to 0 °C, BF3 · OEt2 (1.60 mL, 13.0 mmol, 5.0 eq.) was added slowly and the mixture was allowed to warm up to room temperature. After stirring for 14 h, H2O (30 mL/mmol) was added and the mixture was stirred at room temperature for 15 min. The organic layer was separated, washed with H2O (3 x 30 mL/mmol), dried (Na2SO4), filtered and concentrated in vacuo. The crude product was filtered over silica with CH2Cl2. The filtered solution was concentrated in vacuo and the product was purified by automatic flash column chromatography (cartridge: SNAP KP-Sil, 50 g (Biotage®), CH2Cl2 : cyclohexane, gradient 30 : 70 → 60 : 40, 50 mL/min), Rf = 0.65 (cyclohexane : ethyl acetate = 4 : 1). Red solid, mp 111 °C, yield 572 mg (56 %). Purity (HPLC, method 2): 73.0 % (tR = 21.7 min). C21H30BClF2N2 (Mr = 394.7). 1H NMR (600 MHz, DMSO-d6): δ (ppm) = 1.05 (t, J = 7.6 Hz, 6H, 2-CH2CH3(indacene), 6-CH2CH3(indacene)), 1.77 – 1.84 (m, 2H, CCH2CH2CH2CH2Cl), 1.94 – 1.99 (m, 2H, CCH2CH2CH2CH2Cl), 2.34 (s, 6H, 1-CH3(indacene), 7-CH3(indacene)), 2.38 – 2.43 (m, 4H, 2-CH2CH3(indacene), 6-CH2CH3(indacene)), 2.50 (s, 6H, 3-CH3(indacene), 5-CH3(indacene)), 2.93 – 3.10 (m, 2H, CCH2CH2CH2CH2Cl), 3.59 (t, J = 6.3 Hz, 2H, CCH2CH2CH2CH2Cl). 13C NMR (101 MHz, CDCl3): δ (ppm) = 12.6 (2C, 3-CH3(indacene), 5-CH3(indacene)), 13.5 (2C, 1-CH3(indacene), 7-CH3(indacene)), 15.0 (2C, 2-CH2CH3(indacene), 6-CH2CH3(indacene)), 17.3 (2C, 2-CH2CH3(indacene), 6-CH2CH3(indacene)), 27.8 (1C, CCH2CH2CH2CH2Cl), 29.0 (1C, CCH2CH2CH2CH2Cl), 33.1 (1C, CCH2CH2CH2CH2Cl), 44.5 (1C, CCH2CH2CH2CH2Cl), 131.0 (2C, C-8a(indacene), C-7a(indacene)), 132.9 (2C, C-2(indacene), C-6(indacene)), 135.7 (2C, C-1(indacene), C-7(indacene)), 143.8 (1C, C-8(indacene)), 152.5 (2C, C-3(indacene), C-5(indacene)). Exact mass (ESI): (m/z) = 394.2104 (calcd. 394.2159 C21H30BClF2N2 [M]+). IR (neat): ṽ (cm-1) = 2962 (C-H, aliph), 1543 (C=C, arom), 1477 (C=C, arom), 721 (C-Cl).
8-(4-Azidobutyl)-4,4-difluoro-1,3,5,7-tetramethyl-4-bora-3a,4a-diaza-s-indacene (13a)[
36]

Alkyl chloride 12a (800 mg, 2.36 mmol, 1.0 eq.) and NaN3 (306 mg, 4.72 mmol, 2.0 eq.) were dissolved in DMF (50 mL). The mixture was heated to 40 °C and stirred for 24 h. LiCl solution (5 % wt in H2O, 50 mL) was added to the mixture. After stirring for 15 min, the mixture was extracted with ethyl acetate (3 x 50 mL). The organic ethyl acetate phase was washed with LiCl solution (5 % wt in H2O, 3 x 150 mL). The organic layer was separated, dried (Na2SO4), concentrated in vacuo and purified by automatic flash column chromatography (cartridge: SNAP KP-Sil, 50 g (Biotage®), CH2Cl2 : cyclohexane, gradient 35 : 65 → 60 : 40, 50 mL/min), Rf = 0.49 (cyclohexane : ethyl acetate = 4 : 1). Orange solid, mp 129 °C, yield 714 mg (88 %). Purity (HPLC, method 2): 97.2 % (tR = 18.9 min). C17H22BF2N5 (Mr = 345.2). 1H NMR (600 MHz, DMSO-d6): δ (ppm) = 1.57 – 1.67 (m, 2H, CCH2CH2CH2CH2N3), 1.69 – 1.78 (m, 2H, CCH2CH2CH2CH2N3), 2.40 (s, 6H, 1-CH3(indacene), 7-CH3(indacene)), 2.42 (s, 6H, 3-CH3(indacene), 5-CH3(indacene)), 2.92 – 3.00 (m, 2H, CCH2CH2CH2CH2N3), 3.43 (t, J = 6.6 Hz, 2H, CCH2CH2CH2CH2N3), 6.24 (s, 2H, 2-CH(indacene), 6-CH(indacene)). 13C NMR (151 MHz, DMSO-d6): δ (ppm) = 14.1 (2C, 1-CH3(indacene), 7-CH3(indacene)), 15.8 (2C, 3-CH3(indacene), 5-CH3(indacene)), 27.2 (1C, CCH2CH2CH2CH2N3), 28.3 (1C, CCH2CH2CH2CH2N3), 28.6 (1C, CCH2CH2CH2CH2N3), 50.1 (1C, CCH2CH2CH2CH2N3), 121.7 (2C, C-2(indacene), C-6(indacene)), 130.7 (2C, C-8a(indacene), C-7a(indacene)), 140.8 (2C, C-1(indacene), C-7(indacene)), 146.2 (1C, C-8(indacene)), 153.2 (2C, C-3(indacene), C-5(indacene)). Exact mass (ESI): (m/z) = 346.2032 (calcd. 346.2014 C17H22BF2N5 [M+H]+). IR (neat): ṽ (cm-1) = 2982 (C-H, aliph), 2928 (C-H, aliph), 2091 (N=N=N), 1550 (C=C, arom), 1304 (C-N).
8-(4-Azidobutyl)-2,6-diethyl-4,4-difluoro-1,3,5,7-tetramethyl-4-bora-3a,4a-diaza-s-indacene (13b)[
37]

Alkyl chloride 12b (500 mg, 1.27 mmol, 1.0 eq.) and NaN3 (165 mg, 2.53 mmol, 2.0 eq.) were dissolved in DMF (30 mL). The mixture was heated to 40 °C and stirred for 24 h. LiCl solution (5 % wt in H2O, 30 mL) was added to the mixture. After stirring for 15 min, the mixture was extracted with ethyl acetate (3 x 30 mL). The organic ethyl acetate phase was washed with LiCl solution (5 % wt in H2O, 3 x 90 mL). The organic layer was separated, dried (Na2SO4), concentrated in vacuo and purified by automatic flash column chromatography (cartridge: SNAP KP-Sil, 50 g (Biotage®), ethyl acetate : cyclohexane, gradient 0 : 100 → 15 : 85, 50 mL/min), Rf = 0.61 (cyclohexane : ethyl acetate = 4 : 1). Red solid, mp 124 °C, yield 256 mg (50 %). Purity (HPLC, method 2): 94.1 % (tR = 21.6 min). C21H30BF2N5 (Mr = 401.3). 1H NMR (600 MHz, DMSO-d6): δ (ppm) = 1.00 (t, J = 7.5 Hz, 6H, 2-CH2CH3(indacene), 6-CH2CH3(indacene)), 1.58 – 1.66 (m, 2H, CCH2CH2CH2CH2N3), 1.74 (quint, J = 7.0 Hz, 2H, CCH2CH2CH2CH2N3), 2.34 (s, 6H, 1-CH3(indacene), 7-CH3(indacene)), 2.37 – 2.42 (m, 10H, 2-CH2CH3(indacene), 6-CH2CH3(indacene), 3-CH3(indacene), 5-CH3(indacene)), 2.97 – 3.03 (m, 2H, CCH2CH2CH2CH2N3), 3.44 (t, J = 6.7 Hz, 2H, CCH2CH2CH2CH2N3). 13C NMR (151 MHz, DMSO-d6): δ (ppm) = 12.1 (2C, 3-CH3(indacene), 5-CH3(indacene)), 12.8 (2C, 1-CH3(indacene), 7-CH3(indacene)), 14.7 (2C, 2-CH2CH3, 6-CH2CH3(indacene)), 16.5 (2C, 2-CH2CH3(indacene), 6-CH2CH3(indacene)), 27.2 (1C, CCH2CH2CH2CH2N3), 28.3 (1C, CCH2CH2CH2CH2N3), 28.6 (1C, CCH2CH2CH2CH2N3), 50.1 (1C, CCH2CH2CH2CH2N3), 130.1 (2C, C-8a(indacene), C-7a(indacene)), 132.4 (2C, C-2(indacene), C-6(indacene)), 136.2 (2C, C-1(indacene), C-7(indacene)), 144.6 (1C, C-8(indacene)), 151.5 (2C, C-3(indacene), C-5(indacene)). Exact mass (ESI): (m/z) = 402.2654 (calcd. 402.2640 C21H30BF2N5 [M+H]+). IR (neat): ṽ (cm-1) = 2980 (C-H, aliph), 2933 (C-H, aliph), 2107 (N=N=N), 1563 (C=C, arom), 1190 (C-N).
8-(4-Azidobutyl)-4-fluoro-4-methoxy-1,3,5,7-tetramethyl-4-bora-3a,4a-diaza-s-indacene (14a)

According to General Procedure A, bodipy dye 13a (200 mg, 0.58 mmol, 1.0 eq.), TMSOTf (0.53 mL, 2.90 mmol, 5.0 eq.), methanol (2.30 mL, 57.9 mmol, 100 eq.) and DIPEA (1.0 mL, 5.79 mmol, 10 eq.) were reacted stepwise in CH2Cl2. The crude product was purified by automatic flash column chromatography (cartridge: SNAP KP-Sil, 25 g (Biotage®), ethyl acetate : cyclohexane, gradient 5 : 95 → 20 : 80, 25 mL/min), Rf = 0.24 (ethyl acetate : cyclohexane = 1 : 4). Orange solid, mp 93 °C, yield 128 mg (62 %). Purity (HPLC, method 2): 99.7 % (tR = 17.0 min). C18H25BFN5O (Mr = 357.2). 1H NMR (600 MHz, DMSO-d6): δ (ppm) = 1.58 – 1.67 (m, 2H, CCH2CH2CH2CH2N3), 1.73 (quint, J = 7.0 Hz, 2H, CCH2CH2CH2CH2N3), 2.39 (s, 6H, 3-CH3(indacene), 5-CH3(indacene)), 2.42 (s, 6H, 1-CH3(indacene), 7-CH3(indacene)), 2.66 (s, 3H, OCH3), 2.94 – 3.00 (m, 2H, CCH2CH2CH2CH2N3), 3.43 (t, J = 6.7 Hz, 2H, CCH2CH2CH2CH2N3), 6.20 (s, 2H, 2-CH(indacene), 6-CH(indacene)). 13C NMR (151 MHz, DMSO-d6): δ (ppm) = 14.1 (d, J = 2.2 Hz, 2C, 3-CH3(indacene), 5-CH3(indacene)), 15.9 (2C, 1-CH3(indacene), 7-CH3(indacene)), 27.2 (1C, CCH2CH2CH2CH2N3), 28.3 – 28.9 (m, 2C, CCH2CH2CH2CH2N3), 48.2 (d, J = 6.6 Hz, 1C, OCH3), 50.1 (1C, CCH2CH2CH2CH2N3), 121.5 (2C, C-2(indacene), C-6(indacene)), 131.5 (2C, C-8a(indacene), C-7a(indacene)), 139.7 (2C, C-1(indacene), C-7(indacene)), 145.9 (1C, C-8(indacene)), 153.1 (2C, C-3(indacene), C-5(indacene)). Exact mass (ESI): (m/z) = 326.1980 (calcd.326.1952 for C18H25BFN5O [M-OCH3]+). IR (neat): ṽ (cm-1) = 2953 (C-H, aliph), 2812 (C-H, aliph), 2083 (N=N=N), 1547 (C=C, arom), 1107 (C-O).
8-(4-Azidobutyl)-2,6-diethyl-4-fluoro-4-methoxy-1,3,5,7-tetramethyl-4-bora-3a,4a-diaza-s-indacene (14b)

According to General Procedure A, bodipy dye 13b (100 mg, 0.25 mmol, 1.0 eq.), TMSOTf (0.23 mL, 1.25 mmol, 5.0 eq.), methanol (1.0 mL, 24.9 mmol, 100 eq.) and DIPEA (0.43 mL, 2.49 mmol, 10 eq.) were reacted stepwise in CH2Cl2. The crude product was purified by automatic flash column chromatography; (cartridge: SNAP KP-Sil, 25 g (Biotage®), ethyl acetate : cyclohexane, gradient 5 : 95 → 18 : 82, 25 mL/min), Rf = 0.51 (ethyl acetate : cyclohexane = 1 : 4).
Red solid, mp 98 °C, yield 69.6 mg (68 %). Purity (HPLC, method 2): 79.2 % (tR = 20.1 min). C22H33BFN5O (Mr = 413.3). 1H NMR (400 MHz, DMSO-d6): δ (ppm) = 1.00 (t, J = 7.5 Hz, 6H, 2-CH2CH3, 6-CH2CH3(indacene)), 1.56 – 1.67 (m, 2H, CCH2CH2CH2CH2N3), 1.68 – 1.79 (m, 2H, CCH2CH2CH2CH2N3), 2.34 (s, 6H, 1-CH3(indacene), 7-CH3(indacene)), 2.35 – 2.43 (m, 10H, 2-CH2CH3(indacene), 6-CH2CH3(indacene), 3-CH3(indacene), 5-CH3(indacene)), 2.63 (s, 3H, OCH3), 2.96 – 3.05 (m, 2H, , CCH2CH2CH2CH2N3), 3.44 (t, J = 6.5 Hz, 2H, CCH2CH2CH2CH2N3). 13C NMR (101 MHz, DMSO-d6): δ (ppm) = 12.0 (d, J = 2.3 Hz, 2C, 3-CH3(indacene), 5-CH3(indacene)), 12.9 (2C, 1-CH3(indacene), 7-CH3(indacene)), 14.8 (2C, 2-CH2CH3, 6-CH2CH3), 16.6 (2C, 2-CH2CH3, 6-CH2CH3), 27.2 (1C, CCH2CH2CH2CH2N3), 28.6 (bs, 2C, CCH2CH2CH2CH2N3), 48.3 (bs, 1C, OCH3), 50.1 (1C, CCH2CH2CH2CH2N3), 130.9 0 (2C, C-8a(indacene), C-7a (indacene)), 132.0 (2C, C-2(indacene), C-6(indacene)), 134.9 (2C, C-1(indacene), C-7 (indacene)), 144.5 (1C, C-8(indacene)), 151.5 (2C, C-3(indacene), C-5(indacene)). Exact mass (ESI): (m/z) = 413.2698 (calcd. 413.2762 for C22H33BFN5O [M]+). IR (neat): ṽ (cm-1) = 2971 (C-H, aliph), 2803 (C-H, aliph), 2098 (N=N=N), 1544 (C=C, arom), 1111 (C-O).
2-[4-({1-[4-(4,4-Difluoro-1,3,5,7-tetramethyl-4-bora-3a,4a-diaza-s-indacen-8- yl)butyl]-1,2,3-triazol-4-yl}methoxy)phenyl]-2-(4-fluorophenyl)-2- phenylacetamide (15a)

According to General Procedure B, azide 13a (90.1 mg, 0.26 mmol, 1.0 eq.), propargyl ether 8 (93.7 mg, 0.26 mmol, 1.0 eq.), sodium ascorbate (310 mg, 1.57 mmol, 6.0 eq.) and CuSO4 (271 mg, 1.70 mmol, 6.5 eq.) were reacted in DMF and H2O. The crude product was purified by automatic flash column chromatography; column 1: (cartridge: SNAP KP-Sil, 25 g (Biotage®), ethyl acetate : cyclohexane, gradient 70 : 30 → 90 : 10, 25 mL/min), column 2: (cartridge: SNAP C18, 12 g (Biotage®), CH3CN : H2O, gradient 70 : 30 → 100 : 0, 12 mL/min), Rf = 0.40 (CH2Cl2 : CH3OH = 95 : 5). Orange solid, mp 113 °C, yield 110 mg (60 %). Purity (HPLC, method 2): 96.7 % (tR = 19.5 min). C40H40BF3N6O2 (Mr = 704.6). 1H NMR (599 MHz, CDCl3): δ (ppm) = 1.64 – 1.72 (m, 2H, CCH2CH2CH2CH2N), 2.15 (quint, J = 7.3 Hz, 2H, CCH2CH2CH2CH2N), 2.35 (s, 6H, 1-CH3(indacene), 7-CH3(indacene)), 2.50 (s, 6H, 3-CH3(indacene), 5-CH3(indacene)), 2.96 – 3.02 (m, 2H, CCH2CH2CH2CH2N), 4.39 (t, J = 7.1 Hz, 2H, CCH2CH2CH2CH2N), 5.19 (s, 2H, aryl-O-CH2), 5.74 (s, 1H, NH2), 5.77 (s, 1H, NH2), 6.04 (s, 2H, 2-CH(indacene), 6-CH(indacene)), 6.88 – 6.95 (m, 2H, 3-H(OPh), 5-H(OPh)), 6.95 – 7.01 (m, 2H, 3-H(FPh), 5-H(FPh)), 7.14 – 7.20 (m, 2H, 2-H(OPh), 6-H(OPh)), 7.23 – 7.25 (m, 2H, 2-H(Ph), 6-H(Ph)), 7.27 – 7.33 (m, 5H, 2-H(FPh), 6-H(FPh), 3-H(Ph), 4-H(Ph), 5-H(Ph)), 7.58 (s, 1H, CH(triazole)). 13C NMR (151 MHz, CDCl3): δ (ppm) = 14.6 (s, 2C, 3-CH3(indacene), 5-CH3(indacene)), 16.6 (2C, 1-CH3(indacene), 7-CH3(indacene)), 27.7 (1C, CCH2CH2CH2CH2N), 28.8 (1C, CCH2CH2CH2CH2N), 30.5 (1C, CCH2CH2CH2CH2N), 50.2 (1C, CCH2CH2CH2CH2N), 62.2 (1C, aryl-O-CH2), 66.5 (1C, CCONH2), 114.3 (2C, C-3(OPh), C-5(OPh)), 114.9 (d, J = 21.2 Hz, 2C, C-3(FPh), C-5(FPh)), 122.0 (2C, C-2(indacene), C-6(indacene)), 122.9 (1C, C-5(triazole)), 127.5 (1C, C-4(Ph)), 128.3 (2C, C-3(Ph), C-5(Ph)), 130.3 (2C, C-2(Ph), C-6(Ph)), 131.5 (2C, C-7a(indacene), C-8a(indacene)), 131.7 (2C, C-2(OPh), C-6(OPh)), 132.2 (d, J = 7.8 Hz, 2C, C-2(FPh), C-6(FPh)), 135.9 (1C, C-1(OPh)), 139.3 (d, J = 3.5 Hz, 1C, C-1(FPh)), 140.3 (2C, C-1(indacene), C-7(indacene)), 143.4 (1C, C-1(Ph)), 144.3 (1C, C-4(triazole)), 144.9 (1C, C-8(indacene)), 154.5 (2C, C-3(indacene), C-5(indacene)), 157.4 (1C, C-4(OPh)), 161.8 (d, J = 247.3 Hz, 1C, C-4(FPh)), 175.8 (1C, CONH2). Exact mass (ESI): (m/z) = 685.3287 (calcd. 685.3268 for C40H40BF3N6O2 [M-F]+). IR (neat): ṽ (cm-1) = 3498 (CON-H), 2955 (C-H, aliph), 1678 (C=O), 1605 (C=C), 1547 (C=C, arom), 1227 (C-F), 1184 (C-O).
2-[4-({1-[4-(4-Fluoro-4-methoxy-1,3,5,7-tetramethyl-4-bora-3a,4a-diaza-s-indacen-8-yl)butyl]-1,2,3-triazol-4-yl}methoxy)phenyl]-2-(4-fluorophenyl)-2- phenylacetamide (16a)

According to General Procedure A, bodipy dye 14a (40.0 mg, 0.11 mmol, 1.0 eq.), propargyl ether 8 (40.2 mg, 0.11 mmol, 1.0 eq.), sodium ascorbate (119 mg, 0.66 mmol, 6.0 eq.) and CuSO4 (114 mg, 0.715 mmol, 6.5 eq.) were reacted in DMF and H2O. The crude product was purified by automatic flash column chromatography; column 1: (cartridge: SNAP KP-Sil, 25 g (Biotage®), ethyl acetate : cyclohexane, gradient 70 : 30 → 90 : 10, 25 mL/min), column 2: (cartridge: SNAP C18, 12 g (Biotage®), CH3CN : H2O, gradient 60 : 40 → 100 : 0, 12 mL/min), Rf = 0.34 (CH2Cl2 : CH3OH = 95 : 5). Orange solid, mp 115 °C, yield 38.8 mg (49 %). Purity (HPLC, method 2): 95.2 % (tR = 18.1 min). C41H43BF2N6O3 (Mr = 716.6). 1H NMR (599 MHz, CDCl3): δ (ppm) = 1.65 – 1.74 (m, 2H, CCH2CH2CH2CH2N), 2.15 (quint, J = 7.4 Hz, 2H, CCH2CH2CH2CH2N), 2.36 (s, 6H, 1-CH3(indacene), 7-CH3(indacene)), 2.50 (s, 6H, 3-CH3(indacene), 5-CH3(indacene)), 2.84 (s, 3H, OCH3), 2.97 – 3.03 (m, 2H, CCH2CH2CH2CH2N), 4.40 (t, J = 7.1 Hz, 2H, CCH2CH2CH2CH2N), 5.19 (s, 2H, aryl-O-CH2), 5.74 (s, 1H, NH2), 5.77 (s, 1H, NH2), 6.04 (s, 2H, 2-CH(indacene), 6-CH(indacene)), 6.90 – 6.95 (m, 2H, 3-H(OPh), 5-H(OPh)), 6.95 – 7.01 (m, 2H, 3-H(FPh), 5-H(FPh)), 7.15 – 7.20 (m, 2H, 2-H(OPh), 6-H(OPh)), 7.22 – 7.25 (m, 2H, 2-H(Ph), 6-H(Ph)), 7.27 – 7.34 (m, 5H, 2-H(FPh), 6-H(FPh), 3-H(Ph), 4-H(Ph), 5-H(Ph)), 7.59 (s, 1H, CH(triazole)). 13C NMR (151 MHz, CDCl3): δ (ppm) = 14.7 (d, J = 2.4 Hz, 2C, 3-CH3(indacene), 5-CH3(indacene)), 16.6 (2C, 1-CH3(indacene), 7-CH3(indacene)), 27.8 (1C, CCH2CH2CH2CH2N), 28.9 (1C, CCH2CH2CH2CH2N), 30.6 (1C, CCH2CH2CH2CH2N), 49.2 (d, J = 6.6 Hz, 1C, OCH3), 50.2 (1C, CCH2CH2CH2CH2N), 62.2 (1C, aryl-O-CH2), 66.5 (1C, CCONH2), 114.3 (2C, C-3(OPh), C-5(OPh)), 114.9 (d, J = 21.3 Hz, 2C, C-3(FPh), C-5(FPh)), 122.0 (2C, C-2(indacene), C-6(indacene)), 122.9 (1C, C-5(triazole)), 127.5 (1C, C-4(Ph)), 128.3 (2C, C-3(Ph), C-5(Ph)), 130.3 (2C, C-2(Ph), C-6(Ph)), 131.7 (2C, C-2(OPh), C-6(OPh)), 132.1 – 132.3 (m, 4C, C-7a(indacene), C-8a(indacene), C-2(FPh), C-6(FPh)), 135.9 (1C, C-1(OPh)), 139.2 – 139.5 (m, 3C, 1C, C-1(FPh), C-1(indacene), C-7(indacene)), 143.4 (1C, C-1(Ph)), 144.3 (1C, C-4(triazole)), 144.6 (1C, C-8(indacene)), 154.6 (2C, C-3(indacene), C-5(indacene)), 157.4 (1C, C-4(OPh)), 161.8 (d, J = 247.0 Hz, 1C, C-4(FPh)), 175.8 (1C, CONH2). Exact mass (ESI): (m/z) = 685.3322 (calcd. 685.3268 C41H43BF2N6O3 [M-OMe]+). IR (neat): ṽ (cm-1) = 3497 (CON-H), 2945 (C-H, aliph), 1678 (C=O), 1605 (C=C), 1547 (C=C, arom), 1300 (C-F), 1184 (C-O).
2-[4-({1-[4-(2,6-Diethyl-4-fluoro-4-methoxy-1,3,5,7-tetramethyl-4-bora-3a,4a-diaza-s-indacen-8-yl)butyl]-1,2,3-triazol-4-yl}methoxy)phenyl]-2-(4-fluorophenyl)-2- phenylacetamide (16b)

According to General Procedure B, bodipy dye 14b (26.1 mg, 0.07 mmol, 1.0 eq.), propargyl ether 8 (28.9 mg, 0.07 mmol, 1.0 eq.), sodium ascorbate (86.3 mg, 0.44 mmol, 6.2 eq.) and CuSO4 (75.3 mg, 0.47 mmol, 6.7 eq.) were reacted in DMF and H2O. The crude product was purified by automatic flash column chromatography; column 1: (cartridge: SNAP KP-Sil, 10 g (Biotage®), ethyl acetate : cyclohexane, gradient 50 : 50 → 80 : 20, 12 mL/min), Rf = 0.37 (CH2Cl2 : CH3OH = 95 : 5). Red solid, mp 117 °C, yield 44.0 mg (81 %). Purity (HPLC, method 2): 97.3 % (tR = 20.4 min). C45H51BF2N6O3 (Mr = 772.7). 1H NMR (599 MHz, CDCl3): δ (ppm) = 1.03 (t, J = 7.6 Hz, 6H, 2-CH2CH3, 6-CH2CH3), 1.70 (bs, 2H, CCH2CH2CH2CH2N), 2.16 (quint, J = 7.5 Hz, 2H, CCH2CH2CH2CH2N), 2.28 (s, 6H, 1-CH3(indacene), 7-CH3(indacene)), 2.39 (q, J = 7.6 Hz, 4H, 2-CH2CH3, 6-CH2CH3), 2.49 (s, 6H, 3-CH3(indacene), 5-CH3(indacene)), 2.82 (s, 3H, OCH3), 3.02 – 3.08 (m, 2H, CCH2CH2CH2CH2N), 4.41 (bs, 2H, CCH2CH2CH2CH2N), 5.19 (s, 2H, aryl-O-CH2), 5.74 (s, 1H, NH2), 5.77 (s, 1H, NH2) 6.90 – 6.94 (m, 2H, 3-H(OPh), 5-H(OPh)), 6.95 – 7.01 (m, 2H, 3-H(FPh), 5-H(FPh)), 7.18 (d, J = 8.4 Hz, 2H, 2-H(OPh), 6-H(OPh)), 7.23 – 7.25 (m, 2H, 2-H(Ph), 6-H(Ph)), 7.27 – 7.33 (m, 5H, 2-H(FPh), 6-H(FPh), 3-H(Ph), 4-H(Ph), 5-H(Ph)), 7.59 (s, 1H, CH(triazole)). 13C NMR (151 MHz, CDCl3): δ (ppm) = 12.5 (d, J = 2.8 Hz, 2C, 3-CH3(indacene), 5-CH3(indacene)), 13.6 (2C, 1-CH3(indacene), 7-CH3(indacene)), 15.0 (2C, 2-CH2CH3, 6-CH2CH3), 17.4 (2C, 2-CH2CH3, 6-CH2CH3), 27.8 (1C, CCH2CH2CH2CH2N), 28.9 (1C, CCH2CH2CH2CH2N), 30.6 (1C, CCH2CH2CH2CH2N), 49.2 (d, J = 6.3 Hz, 1C, OCH3), 50.3 (1C, CCH2CH2CH2CH2N), 62.2 (1C, aryl-O-CH2), 66.5 (1C, CCONH2), 114.3 (2C, C-3(OPh), C-5(OPh)), 114.9 (d, J = 21.3 Hz, 2C, C-3(FPh), C-5(FPh)), 123.0 (1C, C-5(triazole)), 127.5 (1C, C-4(Ph)), 128.3 (2C, C-3(Ph), C-5(Ph)), 130.3 (2C, C-2(Ph), C-6(Ph)), 131.7 (4C, C-2(OPh), C-6(OPh), C-1(indacene), C-7(indacene)), 132.2 (d, J = 7.9 Hz, 2C, C-2(FPh), C-6(FPh)), 132.9 (2C, C-7a(indacene), C-8a(indacene)), 134.6 (2C, C-2(indacene), C-6(indacene)), 135.9 (1C, C-1(OPh)), 139.3 (d, J = 3.4 Hz, 1C, C-1(FPh)), 143.0 (1C, C-8(indacene)), 143.4 (1C, C-1(Ph)), 144.2 (1C, C-4(triazole)), 152.9 (2C, C-3(indacene), C-5(indacene)), 157.4 (1C, C-4(OPh)), 161.8 (d, J = 247.1 Hz, 1C, C-4(FPh)), 175.8 (1C, CONH2). Exact mass (ESI): (m/z) = 741.3953 (calcd. 741.3900 for C45H51BF2N6O3 [M-OMe]+). IR (neat): ṽ (cm-1) = 3497 (CON-H), 2931 (C-H, aliph), 2859 (C-H, aliph), 1680 (C=O), 1586 (C=C), 1485 (C-H), 1253 (C-F), 1111 (C-O).
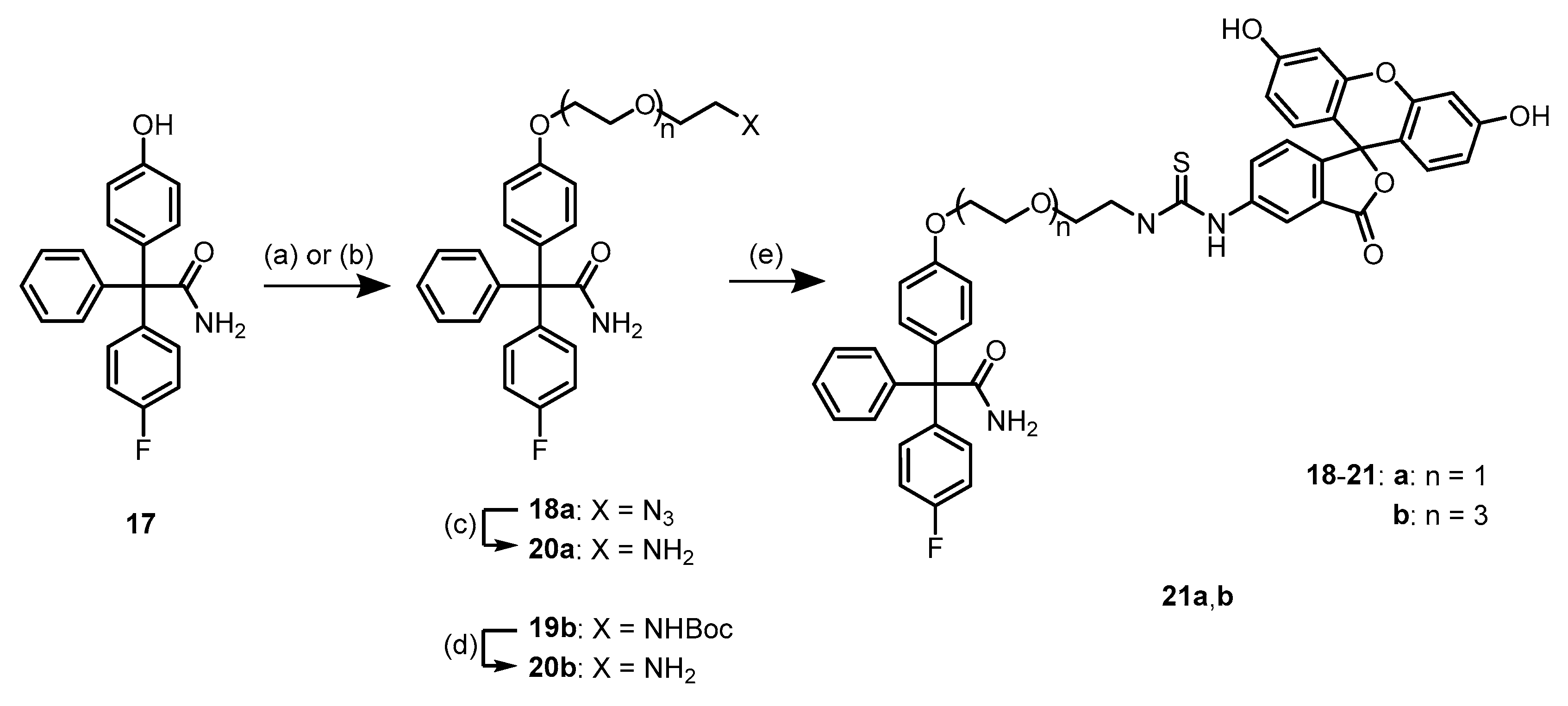
5.6. Synthesis of Fluorescein-Labeled Senicapoc Derivatives
2-{4-[2-(2-Azidoethoxy)ethoxy]phenyl}-2-(4-fluorophenyl)-2-phenylacetamide (18a)

Phenol 17 (200 mg, 0.62 mmol, 1.0 eq.), 2-(2-azidoethoxy)ethyl tosylate TsOCH2CH2OCH2CH2N3, 178 mg, 0.62 mmol, 1 eq.) and Cs2CO3 (101 mg, 0.32 mmol, 0.5 eq.) were dissolved in DMF (8 mL). The mixture was stirred at 80 °C overnight. After cooling down to room temperature, the mixture was concentrated in vacuo. Ethyl acetate (10 mL) was added and the mixture was washed with LiCl solution (5 % wt in H2O, 3 x 10 mL). The organic layer was dried (Na2SO4), filtered and concentrated in vacuo. The residue was used without further purification. Rf = 0.38 (cyclohexane : ethyl acetate = 1 : 1). Colorless oil, yield 190 mg (70 %). Purity (HPLC, method 1): 82.7 % (tR = 22.5 min). C24H23FN4O3 (Mr = 434.5). 1H NMR (600 MHz, CD3OD): δ (ppm) = 3.38 (t, J = 4.9 Hz, 2H, OCH2CH2N3), 3.71 – 3.74 (m, 2H, OCH2CH2N3), 3.83 – 3.87 (m, 2H, OCH2CH2O), 4.12 – 4.16 (m, 2H, OCH2CH2O), 6.87 – 6.91 (m, 2H, 3-H(OPh), 5-H(OPh)), 6.97 – 7.04 (m, 2H, 3-H(FPh), 5-H(FPh)), 7.13 – 7.18 (m, 2H, 2-H(OPh), 6-H(OPh)), 7.25 – 7.31 (m, 7H, 2-H(FPh), 6-H(FPh), 2-H(Ph), 3-H(Ph), 4-H(Ph), 5-H(Ph), 6-H(Ph)). 13C NMR (151 MHz, CD3OD): δ (ppm) = 51.8 (1C, OCH2CH2N3), 68.7 (1C, CCONH2), 68.7 (1C, OCH2CH2O), 70.8 (1C, OCH2CH2O), 71.3 (1C, OCH2CH2N3), 115.0 (2C, C-3(OPh), C-5(OPh)), 115.3 (d, J = 21.4 Hz, 2C, C-3(FPh), C-5(FPh)), 128.1 (1C, C-4(Ph)), 129.0 (2C, C-3(Ph), C-5(Ph)), 131.4 (2C, C-2(Ph), C-6(Ph)), 132.7 (2C, C-2(OPh), C-6(OPh)), 133.5 (d, J = 7.6 Hz, 2C, C-2(FPh), C-6(FPh)), 136.9 (1C, C-1(OPh)), 141.2 (d, J = 3.4 Hz, 1C, C-1(FPh)), 145.0 (1C, C-1(Ph)), 146.5, 159.2 (1C, C-4(OPh)), 162.2 (d, J = 246.1 Hz, 1C, C-4(FPh)). A signal for the C-atom CONH2 is not seen in the spectrum. Exact mass (APCI): (m/z) = 435.1769 (calcd. 435.1832 for C24H23FN4O3 [M+H+]+). IR (neat): ṽ (cm-1) = 3471(N-H), 2920 (C-H, aliph), 2866 (C-H, aliph), 2094 (N=N=N), 1678 (C=O), 1601 (C=C, arom), 1504 (C=C, arom).
tert-Butyl N-(2-{2-[2-(2-{4-[α-carbamoyl-α-(4-fluorophenyl)benzyl]phenoxy} ethoxy)ethoxy]ethoxy}ethyl)carbamate (19b)

Phenol 17 (50 mg, 0.16 mmol, 1.0 eq.), tosylate TsO(CH2CH2O)3CH2CH2NHBoc, (69.6 mg, 0.16 mmol, 1.0 eq.) and Cs2CO3 (23.4 mg, 0.08 mmol, 0.5 eq.) were dissolved in DMF (5 mL) and the mixture was heated to reflux overnight. The mixture was allowed to cool down to room temperature and the solvent was removed under reduced pressure. Ethyl acetate (10 mL) was added to the residue and the mixture was washed with LiCl solution (5 % wt in H2O, 3 x 10 mL). The organic layer was dried (Na2SO4), filtered and concentrated in vacuo. The residue was used without further purification. Rf = 0.14 (cyclohexane : ethyl acetate = 33 : 67). Colorless oil, yield 93.4 mg (100 %). Purity (HPLC, method 1): 66.3 % (tR = 22.3 min). C33H41FN2O7 (Mr = 596.7). 1H NMR (600 MHz, CD3OD): δ (ppm) = 1.42 (s, 9H, 3 x CH3), 3.19 – 3.21 (m, 2H, CH2CH2NHBoc), 3.48 – 3.50 (m, 2H, CH2CH2NHBoc), 3.58 – 3.59 (m, 2H, OCH2), 3.62 – 3.64 (m, 2H, OCH2), 3.65 – 3.66 (m, 2H, OCH2), 3.68 – 3.72 (m, 2H, OCH2), 3.82 – 3.85 (m, 2H, PhOCH2CH2), 4.12 – 4.15 (m, 2H, PhOCH2CH2), 6.89 (d, J = 8.9 Hz, 2H, 3-H(OPh), 5-H(OPh)), 6.98 – 7.04 (m, 2H, 3-H(FPh), 5-H(FPh)), 7.16 (d, J = 9.0 Hz, 2H, 2-H(OPh), 6-H(OPh)), 7.24 – 7.32 (m, 7H, 2-H(FPh), 6-H(FPh), 2-H(Ph), 3-H(Ph), 4-H(Ph), 5-H(Ph), 6-H(Ph)). 13C NMR (151 MHz, CD3OD): δ (ppm) = 28.8 (3C, 3 x CH3), 41.3 (1C, OCH2CH2NHBoc), 68.6 (1C, PhOCH2CH2), 69.8 (1C, CCONH2), 70.8 (1C, PhOCH2CH2), 71.0 (1C, OCHCH2NHBoc), 71.3 (1C, OCH2), 71.6 (1C, OCH2), 71.6 (1C, OCH2), 71.7 (1C, OCH2), 80.1 (1C, C(CH3)3), 115.0 (2C, C-3(OPh), C-5(OPh)), 115.3 (d, J = 21.4 Hz, 2C, C-3(FPh), C-5(FPh)), 128.1 (1C, C-4(Ph)), 129.0 (2C, C-3(Ph), C-5(Ph)), 131.4 (2C, C-2(Ph), C-6(Ph)), 132.7 (2C, C-2(OPh), C-6(OPh)), 133.5 (d, J = 7.7 Hz, 2C, C-2(FPh), C-6(FPh)), 136.9 (1C, C-1(OPh)), 141.2 (d, J = 3.5 Hz, 1C, C-1(FPh)), 145.0 (1C, C-1(Ph)), 158.4 (1C, C=OBoc), 159.2 (1C, C-4(OPh)), 163.0 (d, J = 245.6 Hz, 1C, C-4(FPh)), 178.5 (1C, CONH2). Exact mass (APCI): (m/z) = 497.2488 (calcd. 497.2452 for C33H41FN2O7 [M-C5H10O2/+H+]+). IR (neat): ṽ (cm-1) = 3478 (N-H), 2937 (C-H, aliph), 2870 (C-H, aliph), 1678 (C=O), 1607 (C=C, arom), 1504 (C=C, arom).
2-{4-[2-(2-Aminoethoxy)ethoxy]phenyl}-2-(4-fluorophenyl)-2-phenylacetamide (20a)

Azide 18a (150 mg, 0.35 mmol, 1.0 eq) and 10 % Pd/C (3.5 mg) were added to ethyl acetate (5 mL) and the mixture was stirred under H2-atmosphere (5 bar) for 1 h. The suspension was filtered over Celite® and the solution was concentrated in vacuo. The primary amine 20a was used without further purification. Colorless oil, yield 140 mg (98 %). C24H25FN2O3 (Mr = 408.5). Exact mass (APCI): (m/z) = 409.1902 (calcd. 409.1928 for C24H25FN2O3 [M+H+]+).
2-[4-(2-{2-[3-(3',6'-Dihydroxy-3-oxo-3
H-spiro[[
2]benzofuran-1,9'-xanthen]-5-yl)thioureido]ethoxy}ethoxy)phenyl]-2-(4-fluorophenyl)-2-phenylacetamide (21a)

Primary amine 20a (100 mg, 0.24 mmol, 1.0 eq.) and fluorescein isothiocyanate (FITC, 114 mg, 0.29 mmol, 1.2 eq.) were dissolved in CH2Cl2 (5 mL). Et3N (0.04 mL, 0.29 mmol, 1.2 eq.) was added and the mixture was stirred overnight at room temperature. The mixture was concentrated in vacuo and the residue was purified by automatic flash column chromatography (cartridge: SNAP C18, 12 g (Biotage®), H2O : CH3CN, gradient 90 : 10 → 20 : 80, 12 mL/min), Rf = 0.68 (CH3OH : CH2Cl2 = 10 : 90). Orange solid, mp 168 °C, yield 83.0 mg (43 %). Purity (HPLC, method 1): 96.3 % (tR = 20.9 min). C45H36FN3O8S (Mr = 797.9). 1H NMR (600 MHz, CD3OD): δ (ppm) = 3.75 – 3.79 (m, 2H, OCH2CH2N), 3.82 – 3.89 (m, 4H, OCH2CH2OCH2CH2N), 4.15 (t, J = 4.6 Hz, 2H, OCH2CH2O), 6.57 (dd, J = 8.9/2.3 Hz, 2H, 2’-H(FITC), 7’-H(FITC)), 6.67 (d, J = 2.3 Hz, 2H, 4’-H(FITC), 5’-H(FITC)), 6.84 – 6.87 (m, 2H, 3-H(OPh), 5-H(OPh)), 6.89 (d, J = 8.9 Hz, 2H, 1’-H(FITC), 8’-H(FITC)), 6.96 (t, J = 8.6 Hz, 2H, 3-H(FPh), 5-H(FPh)), 7.09 (s, 1H, 7-H(FITC)), 7.10 – 7.12 (m, 2H, 2-H(OPh), 6-H(OPh)), 7.19 – 7.26 (m, 7H, 2-H(FPh), 6-H(FPh), 2-H(Ph), 3-H(Ph), 4-H(Ph), 5-H(Ph), 6-H(Ph)), 7.70 (dd, J = 8.2/2.1 Hz, 1H, 6-H(FITC)), 8.03 (s, 1H, 4-H(FITC)). Signals for OH and NH protons are not seen in the spectrum. 13C NMR (151 MHz, CD3OD): δ (ppm) = 45.6 (1C, OCH2CH2N), 67.8 (1C, CCONH2), 68.7 (1C, OCH2CH2O), 70.7 (2C, CH2OCH2),103.7 (2C, C-4’(FITC), C-5’(FITC)), 115.1 (2C, C-3(OPh), C-5(OPh)), 115.3 (d, J = 21.4 Hz, 2C, C-3(FPh), C-5(FPh)), 116.5 (2C, C-2’(FITC), C-7’(FITC)), 121.9 (1C, C-4(FITC)), 128.0 (1C, C-4(Ph)), 128.1 (1C, C-7(FITC)), 128.8 (1C, C-6(FITC)), 129.0 (2C, C-3(Ph), C-5(Ph)), 131.3 – 131.4 (m, 4C, C-1’(FITC), C-8’(FITC), C-2(Ph), C-6(Ph)), 132.7 (2C, C-2(OPh), C-6(OPh)), 133.4 (d, J = 7.8 Hz, 2C, C-2(FPh), C-6(FPh)), 136.9 (1C, C-1(OPh)), 141.1 (1C, C-1(FPh)), 145.0 (1C, C-1(Ph)), 156.4 (2C, C-3’(FITC), C-6’(FITC)), 159.1 (1C, C-4(OPh)), 162.9 (d, J = 245.3 Hz, 1C, C-4(FPh)), 171.9 (1C, C-3(FITC)), 178.4 (1C, CONH2). Due to the low intensity, signals for C-1(FITC), C-3a(FITC), C-5a(FITC), C-7a(FITC), C-4a’(FITC), C-8a’(FITC), C-9a’(FITC), C-10a’(FITC) and S=C could not be identified. Exact mass (ESI): (m/z) = 798.2362 (calcd. 798.2285 for C45H36FN3O8S [M+H+]+). IR (neat): ṽ (cm-1) = 3400 – 3100 (O-H, N-H), 3050 (C-H arom), 2927 (C-H, aliph), 2120 (S=C), 1751 (C=O), 1581 (C=C, arom), 1501 (C=C, arom).
2-(4-{12-[3-(3',6'-Dihydroxy-3-oxo-3
H-spiro[[
2]benzofuran-1,9'-xanthen]-5-yl)thioureido]-1,4,7,10-tteraoxadodecan-1-yl}phenyl)-2-(4-fluorophenyl)-2-phenylacetamide (21b)

Boc derivative 19b (84.0 mg, 0.14 mmol, 1.0 eq.) was dissolved in CH2Cl2 (10 mL). After addition of TFA (2 drops), rising gas bubbles were observed. The mixture was stirred overnight at room temperature. The solvent was removed under reduced pressure yielding primary amine 20b as yellow oil. The crude product (20b, 50 mg) and fluorescein isothiocyanate (FITC, 54.9 mg, 0.14 mmol, 1.4 eq.) were dissolved in CH2Cl2. Et3N (0.02 mL, 0.14 mmol, 1.4 eq.) was added and the mixture was stirred overnight at room temperature. The mixture was concentrated in vacuo and the residue was purified by automatic flash column chromatography; column 1 (cartridge: SNAP C18, 12 g (Biotage®), H2O : CH3CN, gradient 90 : 10 → 0 : 100, 12 mL/min), column 2 (cartridge: SNAP C18, 12 g (Biotage®), H2O : CH3CN, gradient 90 : 10 → 20 : 80, 12 mL/min), Rf = 0.68 (CH3OH: CH2Cl2 = 10 : 90). Orange solid, mp 150 °C, yield 49.2 mg (40 %). Purity (HPLC, method 1): 63.4 % (tR = 21.0 min). C49H44FN3O10S (Mr = 886.0). 1H NMR (600 MHz, DMSO-d6): δ (ppm) = 3.63 – 3.67 (m, 8H, 4 x OCH2), 3.69 (t, J = 5.2 Hz, 2H, OCH2CH2NH), 3.79 (t, J = 4.7 Hz, 2H, PhOCH2CH2O), 3.80 – 3.86 (m, 2H, OCH2CH2NH), 4.06 (t, J = 4.7 Hz, 2H, PhOCH2CH2O), 6.56 (dd, J = 8.9/2.3 Hz, 2H, 2’-H(FITC), 7’-H(FITC)), 6.66 (d, J = 2.4 Hz, 2H, 4’-H(FITC), 5’-H(FITC)), 6.82 (d, J = 8.9 Hz, 2H, 3-H(OPh), 5-H(OPh)), 6.85 (d, J = 9.0 Hz, 2H, 1’-H(FITC), 8’-H(FITC)), 6.98 (t, J = 8.8 Hz, 2H, 3-H(FPh), 5-H(FPh)), 7.10 – 7.14 (m, 3H, 7-H(FITC), 2-H(OPh), 6-H(OPh)), 7.22 – 7.28 (m, 7H, 2-H(FPh), 6-H(FPh), 2-H(Ph), 3-H(Ph), 4-H(Ph), 5-H(Ph), 6-H(Ph)), 7.76 (dd, J = 8.6/2.3 Hz, 1H, 6-H(FITC)), 8.07 (s, 1H, 4-H(FITC)). Signals for OH and NH protons are not seen in the spectrum. 13C NMR (151 MHz, DMSO-d6): δ (ppm) = 45.5 (1C, OCH2CH2N), 67.8 (1C, CCONH2), 68.6 (1C, PhOCH2CH2O), 69.8 (1C, OCH2CH2N), 70.8 (1C, PhOCH2CH2N), 71.6 (4C, 4 x OCH2), 103.7 (2C, C-4’(FITC), C-5’(FITC)), 115.0 (2C, C-3(OPh), C-5(OPh)), 115.3 (d, J = 21.3 Hz, 2C, C-3(FPh), C-5(FPh)), 116.3 (2C, C-2’(FITC), C-7’(FITC)), 121.4 (1C, C-4(FITC)), 128.0 (1C, C-4(Ph)), 128.1 (1C, C-7(FITC)), 129.0 (2C, C-3(Ph), C-5(Ph)), 129.0 (1C, C-6(FITC)), 131.1 (2C,C-1’(FITC), C-8’(FITC)), 131.4 (2C, C-2(Ph), C-6(Ph)), 132.7 (2C, C-2(OPh), C-6(OPh)), 133.5 (d, J = 7.9 Hz, 2C, C-2(FPh), C-6(FPh)), 136.8 (1C, C-1(OPh)), 141.1 (d, J = 3.4 Hz, 1C, C-1(FPh)), 145.0 (1C, C-1(Ph)), 159.1 (1C, C-4(OPh)), 162.9 (d, J = 245.8 Hz, 1C, C-4(FPh)), 171.8 (1C, C-3(FITC)), 178.5 (1C, CONH2). Due to the low intensity, signals for C-1(FITC), C-3a(FITC), C-5a(FITC), C-7a(FITC), C-3’(FITC), C-4a’(FITC), C-6’(FITC), C-8a’(FITC), C-9a’(FITC), C-10a’(FITC) and S=C could not be identified. Exact mass (APCI): (m/z) = 886.2892 (calcd. 886.2809 for C49H44FN3O10S [M+H+]+). IR (neat): ṽ (cm-1) = 3400 – 3200 (O-H), 2933 (C-H, aliph), 2864 (C-H, aliph), 2120 (S=C), 1751 (C=O, lactone), 1663 (C=O), 1582 (C=C, arom), 1501 (C=C, arom).
5.7. Determination of the logD7.4. Value
The logD
7.4 values were recorded as reported in ref. [
28,
29]
5.8. Determination of the logP Value
The logP values were recorded as reported in ref. [
31]
5.9. UV-Vis Absorption and Time-Resolved Photoluminescence Spectroscopy
All solvents used were of spectrometric grade (Uvasol®). UV-visible absorption spectra were measured using a Shimadzu UV-VIS spectrophotometer (UV-3600i). Photoluminescence quantum yields were measured with a Hamamatsu Photonics absolute PL quantum yield measurement system (C9920-02) equipped with a L9799-01 CW Xe light source (150 W), a monochromator, a C7473 photonic multi-channel analyzer, an integrating sphere and employing U6039-05 software (Hamamatsu Photonics, Ltd., Shizuoka, Japan). Steady-state excitation and emission spectra were recorded on a FluoTime 300 spectrometer from PicoQuant equipped with a 300 W ozone-free Xe lamp (200-1100 nm), a 10 W Xe-flash lamp (200-1100 nm, pulse width ca. 1 µs) with repetition rates of 1 – 300 Hz, a double-grating excitation monochromator (Czerny-Turner type, grating with 1200 lines/mm, blaze wavelength: 300 nm), diode lasers (pulse width < 20 ps) operated by a computer-controlled laser driver PDL-828 “Sepia II” (repetition rate up to 80 MHz, burst mode for slow and weak decays), two emission monochromators (Czerny-Turner, selectable between double-grating blazed at 500 nm with 2.7 nm/mm dispersion and 1200 lines/mm, or single-grating blazed at 1250 nm with 5.4 nm/mm dispersion and 600 lines/mm) with adjustable slit width between 25 μm and 7 mm. Glam-Thompson polarizers for excitation (after the Xe-lamps) and emission (after the sample). Different sample holders (Peltier-cooled mounting unit ranging from -15 to 110 °C or an adjustable front-face sample holder), along with two detectors (namely a PMA Hybrid-07 from PicoQuant with transit time spread FWHM < 50 ps, 200 – 850 nm, or a H10330C-45-C3 NIR detector with transit time spread FWHM 0.4 ns, 950 – 1400 nm from Hamamatsu) were used. Steady-state spectra and photoluminescence lifetimes were recorded in TCSPC mode by a PicoHarp 300 (minimum base resolution 4 ps) or in MCS mode by a TimeHarp 260 (where up to several ms can be traced). Emission and excitation spectra were corrected for source intensity (lamp and grating) by standard correction curves. For samples with lifetimes in the ns order, an instrument response function calibration (IRF) was performed using a diluted Ludox® dispersion. Lifetime analysis was performed using the commercial EasyTau 2 software (PicoQuant). The quality of the fit was assessed by minimizing the reduced chi squared function (χ2 ) and visual inspection of the weighted residuals and their autocorrelation.
5.10. Methods for Cell Staining Experiments
5.10.1. Cell Culture
The cells were cultured and prepared in cooperation with the Instiute of Physiology II by Ilka Neumann.
The A549-3R and HEK293 cell lines were cultured in DEMEM-high glucose (Dulbecco’s modified Eagle’s medium - high glucose, Sigma Aldrich) supplemented with 10 % FBS (fetal bovine serum, FBS Superior, Biochrom GmbH, Germany) and incubated at 37 °C and 5 % CO2.
For the experiments, glass bottom dishes (GBD) were covered with 250 µL of 0.1 % poly-L-lysine and incubated for 30 – 45 min at room temprature. In the meantime, the cell lines (A549-3R or HEK293) were trypsinized and counted. Subsequently, after removing the poly-L-lysin and washing the GBD with 1 mL of PBS, 15,000 cells in 2 mL DMEM-high glucose and 10 % FBS were added to the GBD. The cells were incubated for 24 h at 37 °C and 5 % CO2. After incubation the cells were used for the next procedures.
5.10.2. Fixation of the Cells
For the fixation of the cells, the DMEM medium was removed from the GBD after incubation for 24 h, and the cells were washed with 1 mL of PBS. Subsequently, 1 mL of 4 % paraformaldehyde in PBS solution was added to the GBD and the mixture was incubated for 30 min at room temperature. Thereafter, the cells were washed five times with 1 mL of PBS and used for the cell staining experiments.
5.10.3. Reagents
Stock solutions: The fluorescently labeled senicapoc derivatives 53 – 65, 69 and 72 and BODIPY dyes 35, 43 and 46 were prepared in stock solutions at a concentration of 10 mM in DMSO. Senicapoc (7) in stock solutions with concentrations of 30 mM and 60 mM in DMSO were prepared.
Staining/blocking solutions: For the staining solutions the stock solutions of the senicapoc derivatives 55 – 65, 69 and 72 and the BODIPY dyes 35, 43 and 46 were either diluted with PBS 1 : 1000 for a 10 µM solution or 2 : 1000 for a 20 µM solution. The senicapoc stock solutions were diluted with PBS in a 1:1000 ratio to generate 30 µM and 60 µM senicapoc blocking solutions. All staining/blocking solutions were prepared in Eppendorf® tubes and were vortexed for 1 min by using a Vortex (Scientific®).
Permeabilization solution: For the permeabilization solution 0.1 % saponin was dissolved in PBS supplemented with 10 % FCS (fetal calf serum, FCS Superior).
Primary antibody staining solution: A rabbit anti-KCa3.1 antibody (#AV35098, Sigma Aldrich) was diluted in a ratio of 1 : 300 or 1 : 500 in the permeabilization solution.
Secondary antibody staining solution: A goat anti-rabbit antibody labeled with Cyanin 3 (Cy) was diluted in a ratio of 1 : 500 or 1 : 1000 in the permeabilization solution.
5.10.4. Cell Staining Protocols
Protocol 1: standard staining protocol
After fixation of the cells (Chapter 3.4.1.2) 300 µL of the 10 µM staining solution was added to the GBD. The cells were incubated for 10 min at 4 °C in a dark chamber. After incubation, the cells were washed five times with 1 mL of PBS and used subsequently for fluorescence microscopy.
Protocol 2: staining of living cells
The cells were used without fixation. After incubation of the cells for 24 h (Chapter 3.4.1.1) the medium was removed, and the cells were washed three times with 1 mL of PBS. Subsequently, the cells were stained as described in protocol 1.
Protocol 3: blocking with senicapoc using fixed cells
After fixation of the cells (Chapter 3.4.1.2), 300 µL of a 30 µM solution of senicapoc blocking solution was added to the GBD. The GBD was incubated for 5 min at 4 °C. After incubation, the solution was removed and a mixture of 150 µL of 60 µM senicapoc solution and 150 µL of 20 µM staining solution were added to the GBD. The cells were incubated for 10 min at 4 °C in a dark chamber. Subsequently, the cells were washed five times with PBS and then used for fluorescence microscopy.
Protocol 4: blocking with senicapoc using living cells
The cells were used without fixation. After incubating the cells for 24 h (Chapter 3.4.1.1) the medium was removed, and the cells were washed three times with 1 mL of PBS. Subsequently, the cells were stained as described in protocol 3.
Protocol 5: staining after permeabilization
After fixation of the cells (Chapter 3.4.1.2), 1 mL of permeabilization solution was added to the GBD. The cells were incubated for 30 min at 4 °C and afterwards washed three times with PBS. Subsequently, protocol 1 was performed.
Protocol 6: staining with antibodies
After fixation of the cells (Chapter 3.4.1.2), the cells were permeabilized with 1 mL of permeabilization solution for 30 min. The solution was removed from the cells and 200 µL of primary antibody staining solution was added. The cells were incubated for 2 h at 4 °C in a dark chamber. After incubation, the cells were washed three times with PBS and 200 µL of the secondary antibody staining solution was added to the GBD. The cells were incubated for 30 min at 4 °C in a dark chamber and followed by three times washing with 1 mL of PBS. Subsequently, the cells were used for fluorescence microscopy with the TRITC filter set.
Protocol 7: co-staining with fluorescently labeled ligands and antibodies
Protocol 7a: labeling with fluorescently labeled senicapoc derivative first and secondly with the antibody
The cells were treated as described in protocol 5 to permeabilize the cells. Subsequently, staining solution was added and the cells were incubated for 10 min as described in protocol 1. After washing the cells three times with PBS, protocol 6 for the antibody staining was performed. Subsequently, the cells were used for fluorescence microscopy.
Protocol 7b: Labeling eith the antibody first and subsequently with the fluorescently labeled senicapoc derivative
The cells were stained with antibodies as described in protocol 6. Afterwards, the cells were stained with 300 µL of staining solution and the mixture was incubated for 10 min at 4 °C in a dark chamber. Subsequently, the cells were washed five times with 1 mL of PBS and were used for fluorescence microscopy.
5.10.5. Fluorescence Microscopy
An Axiovert 200 inverted microscope (Carl Zeiss AG) with a x100 oil immersion objective and a digital camera (SPOT RT SE from Diagnostic Instruments Inc.) were used. The camera was controlled by MetaVue software (version 6.3r6, Visitron, Germany). Two different filter sets were employed, the FITC filter set (Carl Zeiss Filter Set 10 bandwidth excitation filter 450 – 490, color splitter 510, bandpass filter 515 – 565) and the TRITC filter set (Carl Zeiss Filter Set 15, bandpass excitation filter 546/12, dichroic mirror 580, emission filter Long Pass 590).
Using the free imaging software ImageJ (1.53f51, NIH, USA), squares with an edge length of 50 x 50 pixels, corresponding to an area of 9 µm2, were randomly placed in a cell and signals with Full Width at Half Maximum (FWHM) of ≤ 5 pixels (~300 nm) were counted as a KCa3.1 channel. For the evaluation, 7 squares were analyzed.
For all experiments, at least three biological replicates (N = 3) were performed and for each replicate 3 cells (n = 3) were analyzed.
5.11. Patch Clamp Experiments
5.11.1. Cell Culture
Cells were cultured and prepared in cooperation with the Institute pf Physiology II by Sandra Schimmelpfennig. A549-3R cells were used for the experiments. The cells were cultured in DMEM with 4.5 g/L glucose and supplemented with 10 % FCS at 37 °C and 5 % CO2 in cell culture dishes (Ø = 10 cm).
5.11.2. Reagents
Bath solution: 140 mM NaCl, 5 mM KCl, 10 mM HEPES, 1 mM MgCl and 1 mM CaCl2 in an aqueous solution; pH = 7.4 with NaOH.
Pipette solution: 140 mM KCl, 10 mM HEPES, 1.3 mM EGTA, 1 mM MgCl and 1.217 mM CaCl2 in an aqueous solution; pH = 7.4 with NaOH; free Ca2+ concentration of 1 µM.
1-EBIO solution: 100 mM stock solution of 1-EBIO (2) in DMSO was diluted with the bath solution to 50 µM.
Test solution: 10 mM stock solutions of imaging compounds 56, 57 and 59 in DMSO were diluted with the bath solution to 1 µM.
Senicapoc solution: 10 mM stock solution of senicapoc (7) in DMSO was diluted with bath solution to 1 µM.
The final concentration of DMSO in the application solutions was 0.15 %.
5.11.3. Whole Cell Patch Clamp Experiment
Patch clamp experiments were performed in cooperation with the Institute of Physiology I by Elke Naß and Dr. Laura Vinnenberg.
Whole cell patch clamp experiments were conducted at room temperature using borosilicate glass pipettes (GC150TF-10, Harvard Ltd., USA) connected to an EPC-10 amplifier (HEKA Electronics, Lambrecht, Germany). The typical electrode resistance was 3 – 4 MOhm, while the series resistance was in the range of 5 – 15 MOhm. Series resistance compensation of > 30 % was routinely used. Voltage-clamp experiments on cultured cells were controlled by PatchMaster software (HEKA Electronics, Germany). Current density was calculated by dividing the current amplitude determined at the end of the depolarization voltage ramp to +60 mV by the membrane capacitance obtained from the slow capacitance compensation. The calculated free Ca2+ concentration of the pipette solution was 1 µmol/l to obtain full activation of the KCa channels during the patch clamp experiments. The test solutions were applied for a time period of 1 – 2 min. A multi-barreled application pipette with a tip diameter of ~100 µm was used for test solution applications close to the recorded cell. Recordings were analyzed using FitMaster and statistical analysis was calculated by Origin (OriginPro 2023b).