Preprint
Article

This version is not peer-reviewed.

Dynamically Tunable Multifunction Attenuator Based on Graphene Integrated Dual-Mode Microstrip Resonators

A peer-reviewed article of this preprint also exists.

Submitted:

20 December 2024

Posted:

20 December 2024

You are already at the latest version

Abstract
In this paper, a design method of tunable multifunctional attenuators is proposed by analyzing the characterization of dual-mode microstrip resonators loaded by graphene sandwiched structure (GSS). Firstly, the odd-even mode method is applied to analyze the resonance characteristics of two common GSS loaded dual-mode resonators, which clearly describe the influence of graphene on these resonators. Then, two kinds of multifunction attenuator with dynamically tunable attenuation are proposed based on graphene integrated dual-mode resonators, which enables controllable characteristics and multi-frequency transmission options for traditional attenuating devices. Finally, all the proposed multifunctional attenuators are fabricated and measured. The experimental results are in good agreement with the simulation results, which further verifies the conclusions and design method proposed in this paper.
Keywords: 
;  ;  ;  

1. Introduction

With the continuous development and of preparation methods and processing technology, graphene-based materials are being widely used in the design of new electromagnetic devices due to their excellent properties [1,2,3,4,5]. In the microwave band, graphene-based materials prepared by different improved processes often have different properties, thus suitable for the design of different devices. For example, the properties of omnidirectional resistance and easy printing of graphene ink is particularly suitable for the design of absorbers with periodic structure [6,7,8] and multi-way dividers [9]. Multilayer graphene films through high temperature annealing and rolling and with the properties of high conductivity and flexibility are ideal for the design of pressure sensors [10] and wearable antennas [11]. In addition to the above materials, graphene-based materials with controllable electrical conductivity is the hotspot recently. Both of few-layer graphene flakes and graphene nanoplates have controllable conductivity and small size, which make them suitable for the design of tunable attenuator [12,13,14,15] and reconfigurable antenna [16]. However, tunable devices based on graphene nanoplates always require additional bias circuits, which make it difficult to be apply to the design of multifunctional devices. Graphene sandwiched structure (GSS) is a kind of graphene-based material processed from two monolayers graphene and ionic liquid, which also has controllable conductivity and can be used for the design of tunable attenuator [17,18,19]. The surface resistance of GSS can be controlled only by applying a vertical voltage on the two pieces of monolayer graphene. So, GSS is well suited for the design of integrated devices. For example, by loading GSS on spoof surface plasmon polariton (SSPP) transmission line with a low noise amplifier (LNA) chip, a dynamically tunable integrated device for attenuation, amplification and transmission can be designed [18]. Since no additional bias circuit is required, the loading of the GSS does not affect the operation of the LNA.
In this paper, the GSS is integrated with two kinds of microwave dual-mode resonators to analyze the influence of graphene on the different modes of these resonators. Then, two conclusions and a design method for multifunction attenuator are proposed through comparing the resonant intensity of different modes. At last, some multifunction attenuators are designed and fabricated according to the proposed method. The measured results show that all these multifunction attenuators can achieve controllable attenuation by applying vertical voltage on the GSS be loaded on the resonators.

2. Characterization of Dual-Mode Microstrip Resonators Loaded with Graphene Sandwiched Structure

The microstrip dual-mode resonators have open structure and clear electromagnetic field distribution, making them easier to be integrated with graphene. In order to study the effect of loading graphene on the dual-mode resonators, GSSs are loaded on the different positions of two common resonators.
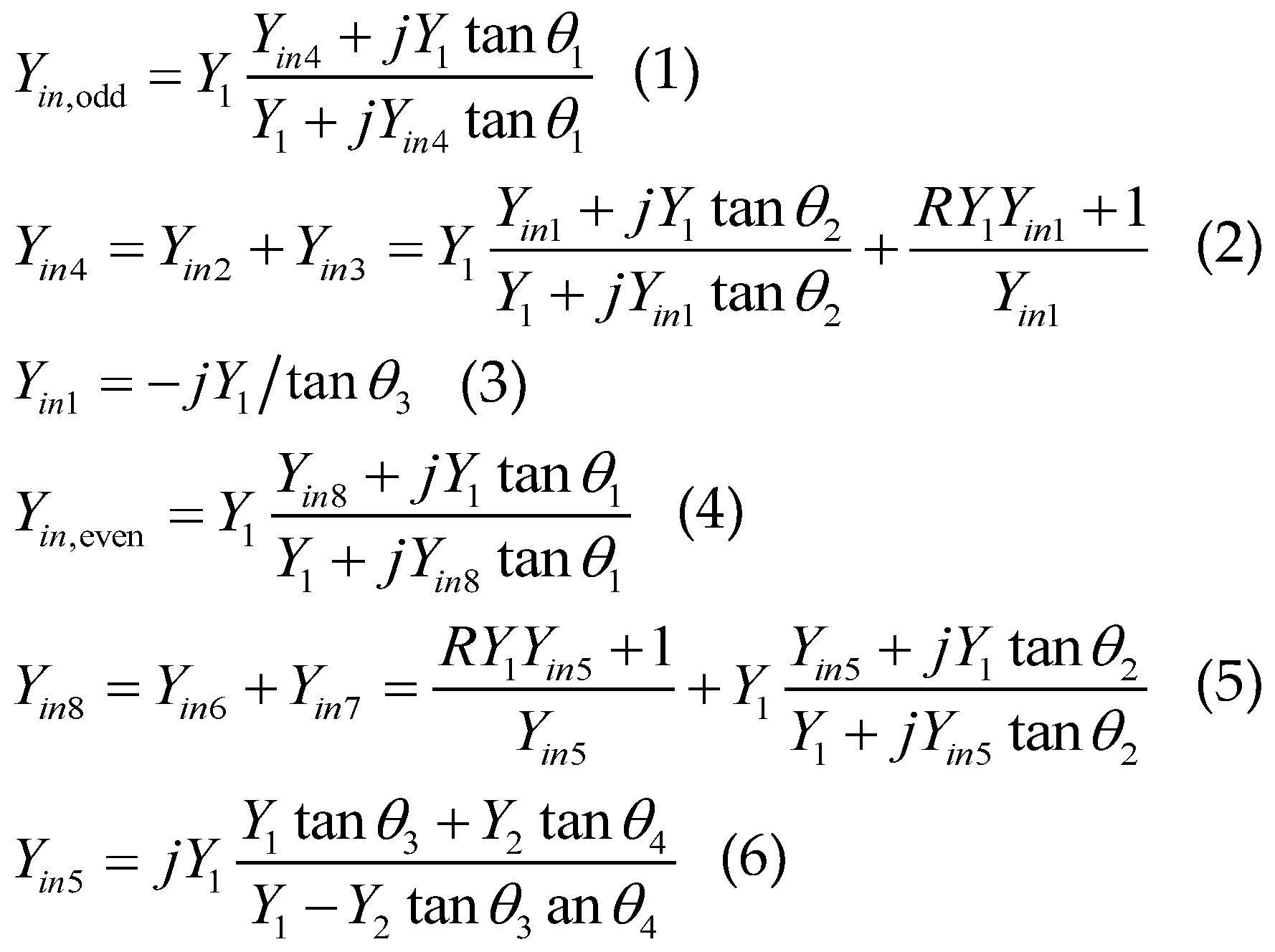
The geometry of the GSS loaded open-ended resonator with centrally loaded open stub resonator is exhibited in Figure 1a. GSS is loaded on position 1 (GSS is loaded on the open-ended resonator) or position 2 (GSS is loaded on the open stub) to influence the resonant characteristics of this resonator. When GSS is loaded on position 1, d represents the distance between GSS and the center of the open-ended resonator. When GSS is loaded on position 2, d1 represents the distance between GSS and the beginning of the open stub. Lg and Wg are the length and width of GSS. All the parameters are given in Table 1. Figure 1b depicts the equivalent circuit of GSS loaded open-ended resonator with centrally loaded open stub dual-mode resonators, which can be analyzed by odd-even mode method. Figure 1c shows the disassembling diagram of Figure 1b, when GSS loaded on position 1 or position 2 respectively. Then, the influence of loading GSS on the dual-mode resonator can be theoretically analyzed by calculating the input admittance of the odd-even mode resonant structure. When GSS is loaded on position 1, the input admittance of odd-mode and even-mode can be calculated by the formula (1)-(3) and (4)-(6), respectively.
Preprints 143571 g006
According to the formula (1)-(6), the surface resistance of GSS has no effect on the imaginary part of input admittance but has a great influence on the real part. Similarly, the same method can be used to calculate the odd-even mode input admittance when GSS loaded on position 2. The calculation results are given in formula (7)-(10) and the same conclusion can be drawing. The full wave simulation results of GSS loaded open-ended resonator with centrally loaded open stub are shown in , which cannot only verify the calculation results, but also summarize the influence of loading graphene on the dual-mode resonator.
As can be seen from the Figure 2, when GSS is loaded on position 1 and d=5mm, graphene can attenuate the resonance intensity of odd-mode but have little influence on even-mode. When GSS is loaded on position 1 and d=15mm, graphene can attenuate the resonance intensity of both odd-mode and even-mode. when GSS is loaded on position 2 and d1=0mm, graphene can attenuate the resonance intensity of even-mode but have no influence on odd-mode. Moreover, when graphene can effectively attenuate the resonant mode, the smaller the surface resistance of GSS, the bigger the attenuation amplitude. So, wo can draw conclusions that the effect of graphene on the resonator is related to the electric field distribution of the resonant mode and for GSS loaded open-ended resonator with centrally loaded open stub, the resonance intensity of both two modes can be controlled independently and flexibly by changing the loading position and surface resistance of GSS.
Preprints 143571 g007

3. Tunable Multifunctional Attenuator Based on Graphene Integrated Dual-Mode Microstrip Resonators

According to conclusion from section 2, controllable dual-band filtering attenuators can be designed. This section will design two dual-band tunable filtering attenuator with similar performance but using different design principle. Figure 3 shows two dual-band filtering attenuators based on GSS loaded open-ended resonator with centrally loaded open stub and all the parameters are given in Table 2. Tunable dual-band filtering attenuator I is composed of two open-ended resonators with centrally loaded open stub of different size. The larger one forms the first passband and the higher passband is formed by the smaller one. GSS 1can attenuate the odd and even modes of the large resonator, so the surface resistance of GSS1 can control the attenuation of the first passband. Similarly, the attenuation of the second passband can be controlled by controlling the surface resistance of GSS 2.
Tunable dual-band filtering attenuator II is composed of two identical open-ended resonators with centrally loaded open stub and the work principle is different form dual-band filtering attenuator I. The first passband of filtering attenuator II is composed of two odd modes of two identical resonators and the second passband is composed of two even modes of the resonators. Therefore, GSS3 loaded on the open resonators can control the attenuation of the first passband and GSS4 loaded on the open stubs can control the attenuation of the second passband.
Figure 4 depicts the simulation results of tunable dual-band filtering attenuators I and II. For attenuators I, controlling the surface resistance of GSS1 can achieve controllable attenuation of 1.5-7.1dB at the first passband while keeping the second passband unchanged. Controlling the surface resistance of GSS3 loaded on attenuators II can achieve controllable attenuation of 1.3-6.7dB in the first passband while keeping the second passband unchanged. The second passband of these two dual-band filtering attenuators can also be tuned independently by controlling the surface resistance of GSS2 and GSS4. When GSS1 and 2 loaded on attenuator I and GSS3 and 4 loaded on attenuator II change simultaneously, the two passbands of these two attenuators can be tuned at the same time.
In order to verify the design of tunable dual-band filtering attenuators, two prototypes are fabricated and measured. The whole circuit is implemented on F4B substrate with a dielectric constant of 2.2 and a thickness of 1mm, as shown in Figure 5a,b. Meanwhile, the measured results of these attenuators are shown in Figure 5c,d. According to the results, by applying a bias voltage of 0-5V to the GSSs loaded on these attenuators, two dual-band filtering attenuators can achieve 1.7-7.9dB,1.6-7.2 dB and 1.8-7.5 dB,1.3-6.9 dB attenuation in their two passbands. The measured results achieve good attenuation control, which can not only verify the design principle but also demonstrate the characteristics of GSS loaded open-ended resonator with centrally open stub.

4. Conclusions

In this paper, a design method of tunable multifunctional attenuators by integrated GSS with microwave dual-mode resonators is proposed. Firstly, the effect of graphene on the resonant modes of common microstrip dual-mode resonators is analyzed by utilizing odd-even mode method. Then, by comparing the similarities and differences of different GSS loaded dual-mode resonators, a design method for multifunction attenuator are summarized. Finally, two kinds of multifunction attenuators using different GSS loaded dual-mode resonators are designed and fabricated according to previous analysis. The measured results show that all these multifunction attenuators can achieve controllable attenuation, which further verifies the proposed design method. Multifunctional attenuators can not only improve the integration, but also reduces the insertion loss compared with cascaded devices, which can find applications in the multifunctional RF front and the feed network of antenna array.

Author Contributions

Conceptualization, B.W.; methodology, Z.Y and Q.W.; software, Z.Y., Q.W. and C.F.; validation, Z.Y., and Q.W.; formal analysis, Q.W. and C.F.; investigation, C.F.; resources, B.W.; data curation, C.F.; writing—original draft preparation, Z.Y., Q.W. and C.F.; writing—review and editing, B.W.; visualization, Q.W.; supervision, Y.Q.; project administration, B.W.; funding acquisition, Y.Q. All authors have read and agreed to the published version of the manuscript.

Funding

This research is supported by the National Natural Science Foundation of China (NSFC) under grant number 62171348, 62201440, U19A2055, the National Key R&D Program of China (No. 2021YFA1003400), Shaanxi Science Fund for Outstanding Young Scholars under grant number 2024JC-JCQN-64, the 111 Project of China, the Fundamental Research Funds for the Central Universities.

Institutional Review Board Statement

Not applicable.

Informed Consent Statement

Not applicable.

Data Availability Statement

Not applicable.

Acknowledgments

Not applicable.

Conflicts of Interest

The authors declare no conflict of interest.

References

  1. Bozzi, M.; Pierantoni, L.; Bellucci, S. Applications of Graphene at Microwave Frequencies. Radioengineering 2015, 24, 661–669. [Google Scholar] [CrossRef]
  2. M. Dragoman et al., “Graphene for Microwaves,” IEEE Microw. Mag., vol. 11, no. 7, pp. 81–86, Dec. 2010.
  3. L. Pierantoni, D. L. Pierantoni, D. Mencarelli, M. Bozzi, R. Moro, and S. Bellucci “Microwave applications of graphene for tunable devices,” in Proc. 9th Eur. Microw. Integr. Circuit Conf. (EuMIC), Rome, Italy, Oct. 2014, pp. 512–515.
  4. Pierantoni, L.; Mencarelli, D.; Bozzi, M.; Moro, R.; Bellucci, S. Microwave applications of graphene for tunable devices. 2014 44th European Microwave Conference (EuMC); pp. 1456–1459.
  5. Bellucci, S.; Bozzi, M.; Cataldo, A.; Moro, R.; Mencarelli, D.; Pierantoni, L. Graphene as a tunable resistor. 2014 International Semiconductor Conference (CAS); pp. 17–20.
  6. Chen, J.; Li, J.; Liu, Q.H. Designing Graphene-Based Absorber by Using HIE-FDTD Method. IEEE Trans. Antennas Propag. 2017, 65, 1896–1902. [Google Scholar] [CrossRef]
  7. D. Yi, X. D. Yi, X. Wei, and Y. Xu, “Transparent microwave absorber based on patterned graphene: design, measurement, and enhancement,” IEEE Trans. Nanotechnol., vol. 16, no. 3, pp. 484–490, May 2017.
  8. Yi, D.; Wei, X.-C.; Xu, Y.-L. Tunable Microwave Absorber Based on Patterned Graphene. IEEE Trans. Microw. Theory Tech. 2017, 65, 2819–2826. [Google Scholar] [CrossRef]
  9. Wu, B.; Zhang, Y.; Zhao, Y.; Zhang, W.; He, L. Compact Nine-Way Power Divider With Omnidirectional Resistor Based on Graphene Flake. IEEE Microw. Wirel. Components Lett. 2018, 28, 762–764. [Google Scholar] [CrossRef]
  10. Zhang, J.-J.; Wu, B.; Zhao, Y.-T.; Song, L.; Zu, H.-R.; Song, R.-G.; He, D.-P. Two-Dimensional Highly Sensitive Wireless Displacement Sensor With Bilayer Graphene-Based Frequency Selective Surface. IEEE Sensors J. 2021, 21, 23889–23897. [Google Scholar] [CrossRef]
  11. Zu, H.-R.; Wu, B.; Zhang, Y.-H.; Zhao, Y.-T.; Song, R.-G.; He, D.-P. Circularly Polarized Wearable Antenna With Low Profile and Low Specific Absorption Rate Using Highly Conductive Graphene Film. IEEE Antennas Wirel. Propag. Lett. 2020, 19, 2354–2358. [Google Scholar] [CrossRef]
  12. Pierantoni, L.; Mencarelli, D.; Bozzi, M.; Moro, R.; Moscato, S.; Perregrini, L.; Micciulla, F.; Cataldo, A.; Bellucci, S. Broadband Microwave Attenuator Based on Few Layer Graphene Flakes. IEEE Trans. Microw. Theory Tech. 2015, 63, 2491–2497. [Google Scholar] [CrossRef]
  13. Wu, B.; Zhang, Y.; Zu, H.; Fan, C.; Lu, W. Tunable Grounded Coplanar Waveguide Attenuator Based on Graphene Nanoplates. IEEE Microw. Wirel. Components Lett. 2019, 29, 330–332. [Google Scholar] [CrossRef]
  14. M. Yasir, P.Savi, S. Bistarelli, et al., “A planar antenna with voltage-controlled frequency tuning based on few-layer graphene,” IEEE Antennas Wireless Propag. Lett., vol. 16, pp. 2380–2383, 2017.
  15. Yasir, M.; Bistarelli, S.; Cataldo, A.; Bozzi, M.; Perregrini, L.; Bellucci, S. Tunable Phase Shifter Based on Few-Layer Graphene Flakes. IEEE Microw. Wirel. Components Lett. 2019, 29, 47–49. [Google Scholar] [CrossRef]
  16. C.Fan, B. C.Fan, B.Wu, et al.,”Millimeter-wave Pattern Reconfigurable Vivaldi Antenna Using Tunable Resistor Based on Graphene,” IEEE Trans. Antennas and Propagation, 2020,68(6),4939-4943.
  17. Zhang, A.-Q.; Lu, W.-B.; Liu, Z.-G.; Chen, H.; Huang, B.-H. Dynamically Tunable Substrate-Integrated-Waveguide Attenuator Using Graphene. IEEE Trans. Microw. Theory Tech. 2018, 66, 3081–3089. [Google Scholar] [CrossRef]
  18. Zhang, A.-Q.; Liu, Z.-G.; Lu, W.-B.; Chen, H. Dynamically Tunable Attenuator on a Graphene-Based Microstrip Line. IEEE Trans. Microw. Theory Tech. 2019, 67, 746–753. [Google Scholar] [CrossRef]
  19. Zhang, A.-Q.; Liu, Z.-G.; Wei-Bing, L.; Chen, H. Graphene-Based Dynamically Tunable Attenuator on a Coplanar Waveguide or a Slotline. IEEE Trans. Microw. Theory Tech. 2019, 67, 70–77. [Google Scholar] [CrossRef]
Figure 1. (a) Configuration;(b) The equivalent circuit;(c) The detail sketch of odd-even mode of the GSS loaded open-ended resonator with centrally loaded open stub.
Figure 1. (a) Configuration;(b) The equivalent circuit;(c) The detail sketch of odd-even mode of the GSS loaded open-ended resonator with centrally loaded open stub.
Preprints 143571 g001aPreprints 143571 g001b
Figure 2. The relation between Rs and transmission coefficient of GSS loaded open-ended resonator with centrally loaded open stub (a) position1, d=5;(b) position1, d=5; (c) position2, d1=0.
Figure 2. The relation between Rs and transmission coefficient of GSS loaded open-ended resonator with centrally loaded open stub (a) position1, d=5;(b) position1, d=5; (c) position2, d1=0.
Preprints 143571 g002
Figure 3. (a)Tunable dual-band filtering attenuator I. (b) Tunable dual-band filtering attenuator II.
Figure 3. (a)Tunable dual-band filtering attenuator I. (b) Tunable dual-band filtering attenuator II.
Preprints 143571 g003
Figure 4. The simulation results of tunable dual-band filtering attenuators I and II. (a)control the surface resistance of GSS1 (b)control the surface resistance of GSS3 (c)control the surface resistance of GSS2 (d)control the surface resistance of GSS4 (e)control the surface resistance of GSS1and 2 (f)control the surface resistance of GSS3 and 4.
Figure 4. The simulation results of tunable dual-band filtering attenuators I and II. (a)control the surface resistance of GSS1 (b)control the surface resistance of GSS3 (c)control the surface resistance of GSS2 (d)control the surface resistance of GSS4 (e)control the surface resistance of GSS1and 2 (f)control the surface resistance of GSS3 and 4.
Preprints 143571 g004aPreprints 143571 g004b
Figure 5. (a)Proposed filtering dual-band filtering attenuator I. (b)Proposed filtering dual-band filtering attenuator II. (c)Measured results of dual-band filtering attenuator I. (d) Measured results of dual-band filtering attenuator II.
Figure 5. (a)Proposed filtering dual-band filtering attenuator I. (b)Proposed filtering dual-band filtering attenuator II. (c)Measured results of dual-band filtering attenuator I. (d) Measured results of dual-band filtering attenuator II.
Preprints 143571 g005aPreprints 143571 g005b
Table 1. Design Parameters of Gss Loaded Open-Ended Resonator with Centrally Loaded Open Stub.
Table 1. Design Parameters of Gss Loaded Open-Ended Resonator with Centrally Loaded Open Stub.
Parameter Value Parameter Value
LRo 40mm gap 0.5mm
LRb 5mm εr 2.65
Lg 5mm h 1mm
Wg 1mm
Table 2. The Dimensions of The Filtering Attenuator.
Table 2. The Dimensions of The Filtering Attenuator.
Parameter Value Parameter Value
Lr2 25.9mm Ws 9.3mm
Lg2 13mm D 8.6mm
Ls 8.4mm εr 2.2
Wr2 1mm h2 0.787mm
Wg2 0.95mm
Disclaimer/Publisher’s Note: The statements, opinions and data contained in all publications are solely those of the individual author(s) and contributor(s) and not of MDPI and/or the editor(s). MDPI and/or the editor(s) disclaim responsibility for any injury to people or property resulting from any ideas, methods, instructions or products referred to in the content.
Copyright: This open access article is published under a Creative Commons CC BY 4.0 license, which permit the free download, distribution, and reuse, provided that the author and preprint are cited in any reuse.
Prerpints.org logo

Preprints.org is a free preprint server supported by MDPI in Basel, Switzerland.

Subscribe

Disclaimer

Terms of Use

Privacy Policy

Privacy Settings

© 2026 MDPI (Basel, Switzerland) unless otherwise stated