Submitted:
28 November 2024
Posted:
29 November 2024
You are already at the latest version
Abstract
Keywords:
1. Introduction
- -
- Combining the BA and EH techniques in the context of a single-relay cooperative FSO network. The relay is equipped with a finite-size data buffer for storing the incoming packets from the source. It is also equipped with an infinite-size energy buffer to accumulate the energy harvested from the source through SLIPT. In the considered system model, the harvested energy is not dispensed on a slot-by-slot basis, but it is rather stored for future usage through the HSU methodology.
- -
- We carry out a theoretical evaluation of the considered FSO BA HSU system through a Markov chain analysis. This analysis revolves around discretizing the continuous-value energy buffer and deriving the state transition probabilities with the objective of evaluating the steady-state probability distributions of the data and energy buffers’ occupancies. These distributions are then used to derive the outage probability (OP) of the three-node FSO DF cooperative network.
- -
- The paper examines the effects of path loss, gamma-gamma atmospheric turbulence and pointing errors on the OP performance of the system. The presented numerical analysis validates the theoretical analysis highlighting the impacts of the target data rate, data buffer size, relay transmit level and relay position on the network OP.
2. System Model
2.1. Basic Parameters
2.2. FSO Links
2.3. Information Transmission
2.4. Energy Harvesting
2.5. Relaying Protocol
- -
- S simultaneously transmits an information packet to both D and R. In this step, S consumes a power of to transmit the packet to D along the S-D link (transceiver 1 to transceiver 5 in Figure 1) and the same amount of average power to transmit the same packet to R along the S-R link (transceiver 2 to transceiver 3 in Figure 1).
- -
-
Nodes D and R proceed as follows after the transmissions from S:
- -
- D attempts to decode the received packet and replies to S by an acknowledgement signal (ACK) if this attempt was successful and by a no-acknowledgement signal (NACK) otherwise.
- -
- R harvests energy from the DC component of the optical signal received from S and stores this energy in the energy buffer. Case 1: If D replied by an ACK, then S informs R not to decode the information packet since this packet has been successfully delivered to D. Case 2: If D replied by a NACK, then S notifies R to decode the information packet and store the reconstructed packet in its data buffer in case this buffer is not full. As such, R’s role is limited to EH in case 1 and to EH and information decoding in case 2.
- -
- Independently from the above steps, and following from the full-duplexity at R and the absence of interference in the system, R will always attempt to transmit an information packet (extracted from the data buffer) to D along the R-D link (transceiver 4 - transceiver 6 in Figure 1).
- -
- S-D link. (i): the channel should not be in outage with probability .
- -
- S-R link. (i): The S-D channel should be in outage. (ii): The S-R channel should not be in outage (with probability ). (iii): The data buffer at R should not be full so that the incoming packet can be accommodated.
- -
- R-D link. (i): The R-D channel should not be in outage (with probability ). (ii): The data buffer at R should not be empty so that an information packet can be extracted and sent to D. (iii): The amount of energy stored in the energy buffer should exceed the value of 1.
3. Performance Analysis
3.1. Preliminaries
3.2. Transition Probabilities
3.2.1. Case I:
3.2.2. Case II:
3.3. State Transition Matrix
3.3.1. Matrices and
3.3.2. Matrices and
3.3.3. Matrices , and for
3.4. Steady-State Distribution and Outage Probability
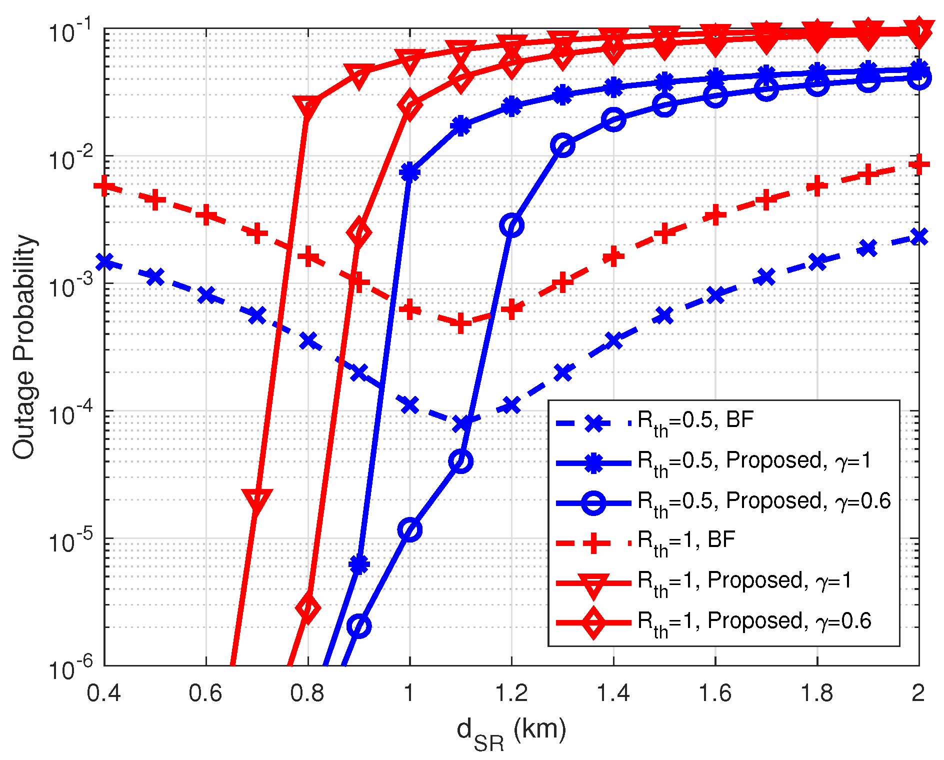
4. Numerical Results
5. Conclusions
Funding
Institutional Review Board Statement
Informed Consent Statement
Data Availability Statement
Conflicts of Interest
Appendix A
Appendix B
| 1 | The time unit is normalized to unity. As such, the terms energy and power will be used interchangeably in the sequel. |
References
- M. Agiwal, A. Roy, and N. Saxena, “Next generation 5G wireless networks: A comprehensive survey,” IEEE communications surveys & tutorials, vol. 18, no. 3, pp. 1617–1655, 3rd Quarter 2016. [CrossRef]
- C. Abou-Rjeily, “Performance analysis of FSO communications with diversity methods: Add more relays or more apertures?” IEEE J. Select. Areas Commun., vol. 33, no. 9, pp. 1890 – 1902, Sep. 2015.
- B. Zhu, J. Cheng, M. Alouini, and L. Wu, “Relay placement for FSO multi-hop DF systems with link obstacles and infeasible regions,” IEEE Trans. Wireless Commun., vol. 14, no. 9, pp. 5240 – 5250, Sep. 2015.
- P. Li, X. Wei, X. Tang, J. Deng, and J. Xu, “UAV-assisted free space optical communication system with decode-and-forward relaying,” IEEE Trans. Veh. Technol., 2024, accepted for publication. [CrossRef]
- S. Xie and Y. Han, “Joint relay selection and power allocation in free-space optical communication with reinforcement learning,” in 2023 5th In. Academic Exchange Conf. on Science and Technology Innovation (IAECST). IEEE, 2023, pp. 313–317.
- Q. Sun, Q. Hu, Y. Wu, X. Chen, J. Zhang, and M. López-Benítez, “Performance analysis of mixed FSO/RF system for satellite-terrestrial relay network,” IEEE Trans. Veh. Technol., 2024, accepted for publication. [CrossRef]
- I. Krikidis, T. Charalambous, and J. S. Thompson, “Buffer-aided relay selection for cooperative diversity systems without delay constraints,” IEEE Trans. Wireless Commun., vol. 11, no. 5, pp. 1957–1967, May 2012. [CrossRef]
- S. El-Zahr and C. Abou-Rjeily, “Threshold based relay selection for buffer-aided cooperative relaying systems,” IEEE Trans. Wireless Commun., vol. 2, no. 9, pp. 6210–6223, Sep. 2021. [CrossRef]
- P. Xu, J. Quan, G. Chen, Z. Yang, Y. Li, and I. Krikidis, “A novel link selection in coordinated direct and buffer-aided relay transmission,” IEEE Trans. Wireless Commun., vol. 22, no. 5, pp. 3296–3309, May 2023. [CrossRef]
- C. Abou-Rjeily and W. Fawaz, “Buffer-aided relaying protocols for cooperative FSO communications,” IEEE Trans. Wireless Commun., vol. 16, no. 12, pp. 8205–8219, Dec. 2017. 10.1109/twc.2017.2759107.
- C. Abou-Rjeily, “Improved buffer-aided selective relaying for free space optical cooperative communications,” IEEE Transactions on Wireless Communications, vol. 21, no. 9, pp. 6877–6889, Sep. 2022. [CrossRef]
- V. Jamali, D. S. Michalopoulos, M. Uysal, and R. Schober, “Link allocation for multiuser systems with hybrid RF/FSO backhaul: Delay-limited and delay-tolerant designs,” IEEE Trans. Wireless Commun., vol. 15, no. 5, pp. 3281–3295, May 2016. [CrossRef]
- Y. F. Al-Eryani, A. M. Salhab, S. A. Zummo, and M.-S. Alouini, “Protocol design and performance analysis of multiuser mixed RF and hybrid FSO/RF relaying with buffers,” OSA J. Opt. Commun. Netw., vol. 10, no. 4, pp. 309–321, Apr. 2018. [CrossRef]
- C. Abou-Rjeily, “Packet unloading strategies for buffer-aided multiuser mixed RF/FSO relaying,” vol. 9, no. 7, pp. 1051–1055, July 2020. [CrossRef]
- S. Bi, Y. Zeng, and R. Zhang, “Wireless powered communication networks: An overview,” IEEE Wireless Commun., vol. 23, no. 2, pp. 10–18, Apr. 2016. [CrossRef]
- X. Zhou, R. Zhang, and C. K. Ho, “Wireless information and power transfer: Architecture design and rate-energy tradeoff,” IEEE Trans. Commun., vol. 61, no. 11, pp. 4754–4767, Nov. 2013.
- P. D. Diamantoulakis, G. K. Karagiannidis, and Z. Ding, “Simultaneous lightwave information and power transfer (SLIPT),” IEEE Trans. on Green Commun. and Networ., vol. 2, no. 3, pp. 764–773, Sep. 2018. [CrossRef]
- G. Pan, P. D. Diamantoulakis, Z. Ma, Z. Ding, and G. K. Karagiannidis, “Simultaneous lightwave information and power transfer: Policies, techniques, and future directions,” IEEE Access, vol. 7, pp. 28 250–28 257, Mar. 2019.
- C. Abou-Rjeily, G. Kaddoum, and G. K. Karagiannidis, “Ground-to-air FSO communications: when high data rate communication meets efficient energy harvesting with simple designs,” OSA Optics Express, vol. 27, no. 23, pp. 34 079–34 092, Nov. 2019. [CrossRef]
- H.-V. Tran, G. Kaddoum, P. D. Diamantoulakis, C. Abou-Rjeily, and G. K. Karagiannidis, “Ultra-small cell networks with collaborative RF and lightwave power transfer,” IEEE Trans. Commun., vol. 67, no. 9, pp. 6243–6255, Sep. 2019. [CrossRef]
- N. Shanin, H. Ajam, V. K. Papanikolaou, L. Cottatellucci, and R. Schober, “Accurate EH modelling and achievable information rate for SLIPT systems with multi-junction photovoltaic receivers,” IEEE Trans. Commun., 2024, accepted for publication. [CrossRef]
- H. Peng, Q. Li, A. Pandharipande, X. Ge, and J. Zhang, “End-to-end performance optimization of a dual-hop hybrid VLC/RF IoT system based on SLIPT,” IEEE Internet of Things Journal, vol. 8, no. 24, pp. 17 356–17 371, Dec. 2021. [CrossRef]
- S. Huang, G. Chuai, W. Gao, and K. Zhang, “Agency selling format-based incentive scheme in cooperative hybrid VLC/RF IoT system with SLIPT,” IEEE Internet of Things Journal, vol. 10, no. 8, pp. 7366–7379, April 2022. [CrossRef]
- D. AlQahtani, Y. Chen, and W. Feng, “Practical non-linear responsivity model and outage analysis for SLIPT/RF networks,” IEEE Transactions on Vehicular Technology, vol. 70, no. 7, pp. 6778–6787, July 2021. [CrossRef]
- A. Girdher, A. Bansal, and A. Dubey, “Analyzing SLIPT for DF based mixed FSO-RF communication system,” in 2021 28th Int. Conf. on Telecommun. (ICT). IEEE, 2021, pp. 1–7.
- Y. Xiao, P. D. Diamantoulakis, Z. Fang, L. Hao, Z. Ma, and G. K. Karagiannidis, “Cooperative hybrid VLC/RF systems with SLIPT,” vol. 69, no. 4, April 2021, pp. 2532–2545. [CrossRef]
- C. Álvarez-Roa, M. Álvarez-Roa, F. J. Martín-Vega, M. Castillo-Vázquez, T. Raddo, and A. Jurado-Navas, “Performance analysis of a vertical FSO link with energy harvesting strategy,” vol. 22, no. 15. MDPI, 2022, p. 5684. [CrossRef]
- C. Abou-Rjeily and G. Kaddoum, “Free space optical cooperative communications via an energy harvesting harvest-store-use relay,” IEEE Trans. Wireless Commun., vol. 19, no. 10, pp. 6564–6577, Oct. 2020. [CrossRef]
- D. Bapatla and S. Prakriya, “Performance of energy-buffer aided incremental relaying in cooperative networks,” IEEE Trans. Wireless Commun., vol. 18, no. 7, pp. 3583–3598, July 2019. [CrossRef]
- ——, “Performance of a cooperative network with an energy buffer-aided relay,” IEEE Trans. on Green Commun. and Networ., vol. 3, no. 3, pp. 774–788, Sep. 2019.
- B. Zhu, J. Cheng, and L. Wu, “A distance-dependent free-space optical cooperative communication system,” IEEE Commun. Lett., vol. 19, no. 6, pp. 969–972, June 2015. [CrossRef]
- H. Sandalidis, T. Tsiftsis, and G. Karagiannidis, “Optical wireless communications with heterodyne detection over turbulence channels with pointing errors,” J. Lightwave Technol., vol. 27, no. 20, pp. 4440–4445, October 2009. [CrossRef]
- A. Lapidoth, S. M. Moser, and M. A. Wigger, “On the capacity of free-space optical intensity channels,” IEEE Trans. Inform. Theory, vol. 55, no. 10, pp. 4449–4461, Oct. 2009.
- S. Luo and K. C. Teh, “Buffer state based relay selection for buffer-aided cooperative relaying systems,” IEEE Trans. Wireless Commun., vol. 14, no. 10, pp. 5430–5439, Oct. 2015. [CrossRef]
- Z. Tian, Y. Gong, G. Chen, and J. Chambers, “Buffer-aided relay selection with reduced packet delay in cooperative networks,” IEEE Trans. Veh. Technol., vol. 66, no. 3, pp. 2567–2575, Mar. 2017. [CrossRef]







| Operating Wavelength () | 1550 nm |
|---|---|
| Receiver Responsivity () | 0.5 A/W |
| Peak Transmitted Power () | 50 mW |
| Noise standard deviation () | A |
| Receiving Area () | 0.05 m2 |
| Beam Angle () | 10 mrad |
| Attenuation coefficient () | 0.43 dB/km |
| RI structure parameter () | m−2/3 |
| Normalized pointing error | |
| displacement standard deviation () | 3 |
| Normalized beam waist () | 25 |
| Fill factor (f) | 0.75 |
| Dark saturation current () | A |
| Thermal voltage () | 25 mV |
Disclaimer/Publisher’s Note: The statements, opinions and data contained in all publications are solely those of the individual author(s) and contributor(s) and not of MDPI and/or the editor(s). MDPI and/or the editor(s) disclaim responsibility for any injury to people or property resulting from any ideas, methods, instructions or products referred to in the content. |
© 2024 by the authors. Licensee MDPI, Basel, Switzerland. This article is an open access article distributed under the terms and conditions of the Creative Commons Attribution (CC BY) license (http://creativecommons.org/licenses/by/4.0/).
