Preprint
Article

This version is not peer-reviewed.

The Influence of Including Goalkeepers On The Intensity Demands Of Walking Football Practice

A peer-reviewed article of this preprint also exists.

Submitted:

27 November 2024

Posted:

28 November 2024

You are already at the latest version

Abstract
This study examined the effects of playing walking football with and without a goalkeeper (GK) on physiological, physical, technical, and perceptual variables in older men. Twenty participants (67 ± 4.7 years) engaged in two 5 vs. 5 walking football sessions: one WITH-GK and one WITH-OUT-GK, using a randomized crossover design. Heart rate (HR), distance covered, technical ac-tions, perceived exercise intensity, and enjoyment were measured. Results showed significantly higher average HR (131 bpm vs. 123 bpm, p < .001), %HRmax (79% vs. 74%, p < .001), and time in higher HR zones (>80%HRmax, p < .05) in the WITH-GK condition. Participants also covered more total distance in the WITH-GK condition (1123 m vs. 1083 m, p < .001), particularly at speeds above 4 km/h (834 m vs. 781 m, p < .001). Conversely, more passes were made in the WITHOUT-GK condition (20 vs. 16 passes, p < .001), while the WITH-GK condition showed more shots (2 vs. 1, p < .001). Perceived exercise intensity was slightly higher in the WITH-OUT-GK condition (5 vs. 4, p = .01), though enjoyment levels were similar, with a slight preference for WITHOUT-GK. Overall, playing WITHOUT-GK provides a safer, lower-intensity alternative to WITH-GK, reducing physical strain while maintaining enjoyment. This makes WITHOUT-GK particularly suitable for older adults or individuals with health conditions, promoting partici-pation and rehabilitation with minimized risks.
Keywords: 
;  ;  ;  ;  

1. Introduction

Walking football has become a promising alternative to traditional football, tailored to promote health benefits among older male adults’ interaction [1,2]. Emphasizing walking over running, walking football may mitigate injury risks while maintaining many tactical and technical elements of conventional football, promoting sustained physical engagement and social interaction [1,2]. Numerous studies have shown that structured activities, such as walking football, are essential for sustaining physical fitness, cognitive engagement, and social bonds, making it ideal for older populations [1,3,4,5]. The growth of walking football among the elderly reflects its alignment with accessible exercise modes, where physical exertion is balanced with strategic play and limited contact to suit older or mobility-restricted individuals, regardless of gender [1,2,5].
Research suggests that walking football provides considerable cardiorespiratory and metabolic benefits for middle-aged to elder individuals, while responses may vary depending on the game intensity and player familiarity with the sport [6,7]. Other studies indicate the potential for practice adjustments to affect outcomes among players with medical conditions. For example, Arnold, Bruce-Low and Sammut [3] showed significant decreases in body fat mass (11%) and BMI (3%) after a 12-week walking football program. Although research on chronic adaptations to walking football is limited, evidence suggests that sustained, regular participation in walking football with careful adjustment of game intensity and duration might result in cardiovascular, muscular, and metabolic health benefits, emphasizing its value as an adjustable and accessible exercise for older adults [4].
Given the slower pace, modifications to the way walking football can be played, such as including or not a goalkeeper (GK), are hypothesized to impact the intensity and technical demands of walking football practice. Game configurations like these can potentially influence physiological and physical outcomes, such as heart rate (HR), intensity, and distance covered, as well as cognitive aspects, including perception of effort and game enjoyment [1,2]. Therefore, examining the manipulation of the GK presence in walking football matches on players’ HR response and distance covered at varying intensities can serve as indicators of functional capacity and enjoyment [5].
Thus, the main objective of this study was to examine the physiological, physical, technical, and perceptual impact of playing walking football WITH-GK vs. WITHOUT-GK. Specifically, we hypothesized that the inclusion of a GK increased the number of shooting actions and consequently the physical intensity and total distance covered, while also elevating players' HR, particularly at high-intensity zones. Additionally, we hypothesized that playing WITHOUT-GK promoted a passing-oriented style, reducing players’ HR intensity as players adapt to a more possession-driven game. These outcomes were expected to shape perceived exertion, where we hypothesize higher perceived intensity in the WITH-GK condition and elevated player enjoyment in the WITHOUT-GK setup due to lower exertion and enhanced interaction through passes.

2. Materials and Methods

2.1. Participants

A total of sixteen (67 ± 4.7 years) male participants were recruited from two local villages in Portugal that habitually play walking football twice a week for ~1 hour each session. The inclusion criteria required participants to be older adults (aged > 50) [5] who had been regularly engaging in walking football for at least six months [2]. Exclusion criteria included any recent musculoskeletal injuries, cardiovascular conditions, or other health issues that could interfere with participation in walking football [2]. No dropouts or missing data were registered during data collection. All participants provided written informed consent prior to participation, and the study was approved by the Portugal Football School, Portuguese Football Federation (CE PFS 01.2024).

2.2. Study Design

This study employed a randomized crossover design to assess the impact of playing walking football with and without a GK on physiological, physical, technical, and perceptual variables. Participants engaged in two walking football games under different conditions: one game with a GK (WITH-GK; standard walking football rules were followed with each team playing with a designated GK) and one without a GK (WITHOUT-GK; the same rules were applied but without the use of GK). Each participant experienced both conditions in a randomized order (selected randomly by an excel algorithm), with a one-week washout period between games to prevent eventual fatigue effects.

2.3. Methodology

The following walking football rules were defined for both conditions: no running with or without the ball; maximum of three touches on the ball by player, no physical contact, including slide tackles [2,5]. Besides these rules, we defined that the ball must always be played below the players' average waist height [2,5]. The sessions were conducted by a UEFA-certified football coach. For both local villages, participants were organized into two teams (5 vs. 5 players; always maintaining the same five players of each team for each game condition) in two different walking football game conditions as mentioned above.
Each game condition lasted 30 minutes, divided into two 15-minute halves (with 5-minute intervals). The games were played on a standard walking football pitch (30m x 40m) in a controlled environment (i.e., indoor wooden pitch) to minimize external variability. Each game was preceded by a standardized 10-minute warm-up consisting of light walking and joint mobility exercises [2].

2.4. Physiological Measures

To measure physiological performance during walking football game a GARMIN HR (Garmin Ltd., Olathe, Kansas, United States) monitoring band was used by the participants [8]. HR was measured for each game condition, with HRmax initially estimated using the age-based formula (211 - 0.64 x age) according to Nes, et al. [9] equation. However, if players reached HR values during the game that exceeded this predicted maximum, those observed values were instead used as their HRmax. Average HR, % HRmax, HRpeak were registered. For the % Time in Zone 1 (<50 %HRmax); % Time in Zone 2 (50-60 %HRmax); % Time in Zone 3 (60-70 %HRmax); % Time in Zone 4 (70-80 %HRmax); % Time in Zone 5 (80-90 %HRmax); % Time in Zone 6 (>90 %HRmax) were calculated according to Andersson, Caspers, Godhe, Helge, Eriksen, Fransson, Borjesson and Ekblom-Bak [1] HR zones adapted for walking football older participants.

2.5. Physical Performance

To measure physical performance (i.e., total distance covered) during walking football game for each condition, the WIMU PRO™ Ultra-Wideband (UWB) tracking system (Realtrack Systems, Almeria, Spain) was used. This Local Positioning System (LPS) consists of six UWB antennas, which were arranged outside the participant court, and operates using triangulation between the antennas and the units to derive the X and Y coordinates of each unit [10]. The devices were turned on 10 min before the warm-up and placed on the participants who wore a customized and specific neoprene vest in the midline between the scapulae at the level of the seventh cervical vertebra (C7). From the beginning to the end of each game condition, the data, excluding the recovery interval (i.e., 5 min), were analysed using SPRO software (Realtrack Systems SL, Almeria, Spain). The accuracy and reliability of these devices have been previously reported and validated [11]. The original sampling frequency was 18 Hz. After recorded, the X and Y coordinates, smoothed using a 3 Hz Butterworth low pass filter and resampled to 10 Hz removing eventual data gaps, and synchronizing all the individual data points.
Players' actions during practice games were video recorded to integrate technical actions with the spatiotemporal data from the tracking system. Technical actions were captured using LongoMatch, a video notational analysis software, which enabled the precise timing of ball-related events [12,13]. Subsequently, the spatiotemporal data from the tracking system (player positions) and the technical actions from the notational system were combined to integrate physical, technical, and tactical data. This involved synchronizing player positioning with the notational data and reconstructing the ball’s position through an algorithm. This process allowed for the extraction of technical performance information (for comprehensive processing guidelines, refer to [12,13].
Distances were categorized by speed zones according to Andersson, Caspers, Godhe, Helge, Eriksen, Fransson, Borjesson and Ekblom-Bak [1] tested for walking football older participants: distance covered at speeds < 4 km/h (low-intensity activity); distance covered at speeds > 4 km/h (higher-intensity walking). Moreover, these parameters were chosen as they are indicative of both volume and intensity [14]. The number of passes, number of shots on goal; number of dribbles, and the distance covered while dribbling per player were considered as technical performance indicators.

2.6. Perceptual Measures

The participants classified exercise intensity through (rating of perceived exertion (RPE) using the 10-point OMNI scale (from extremely easy [0 points] to extremely hard [10 points]), at the end of each game condition [15]. In this RPE scale, light intensity was considered as 3–4 points, moderate-intensity 5–6 points, and vigorous-intensity 7–8 points [2]. Enjoyment was individually ascertained at the end of all games conditions, through a 5-points Likert scale (1, nothing fun; 2, little fun; 3, indifferent; 4, fun; 5, very fun) with pictograms of human faces [2].

2.7. Statistical Analysis

After preliminary inspections for distribution and assumptions, a paired t-test analysis was processed to identify the effect of the game condition (WITH-GK vs WITHOUT-GK) on the considered variables. The statistical analysis was performed using the Statistical Package for the Social Sciences software (SPSS, Inc., Chicago, IL, USA), and statistical significance was set at p < .05.
An estimation techniques approach was carried to overcome the shortcomings associated with traditional N-P null hypothesis significance testing [16,17]. The Cohen’s dunbiased (dunb) with 95% confidence intervals (CI) as effect size (ES) (an unbiased estimate has a sampling distribution whose mean equals the population parameter being estimated) was applied to identify pairwise differences between games [16]. Thresholds for effect size statistics were: 0.2, 0.5, and 0.8 for small, medium, and large [18].

3. Results

The descriptive and inferential results of the effect of game condition on the independent variables is presented in Table 1.
Also, individual and differences of mean values from pairwise comparisons are shown in estimation plots: Figure 1, Figure 2 and Figure 3 for physical, physiological, and technical and perceptual measures.
Complementary, the dunb with 95% confidence intervals for all pairwise comparisons are presented in Figure 4.
In the WITHOUT-GK condition, players exhibited significantly lower values for HR variables, including average HR (t = -4.26, p < .001; dunb = -0.38 [-0.63; -0.16]), average %HRmax (t = -4.24, p < .001; dunb = -0.40 [-0.66; -0.17]), HRpeak (t = -2.45, p = .027; dunb = -0.19 [-0.38; -0.02]), and maximal %HRmax (t = -2.48, p = .025; dunb = -0.21 [-0.41; -0.03]). However, the coefficient of variation showed higher values (t = 3.23, p = .006; dunb = 1.00 [0.30; 1.79]) in the WITHOUT-GK condition. Regarding the percentage of time spent in different HR zones, players in the WITH-GK condition exhibited increased values in Zone 5 (80-90% HRmax) (t = -2.81, p = .013; dunb = -0.48 [-0.90; -0.10]) and Zone 6 (>90% HRmax) (t = -2.95, p = .010; dunb = -0.38 [-0.70; -0.09]).
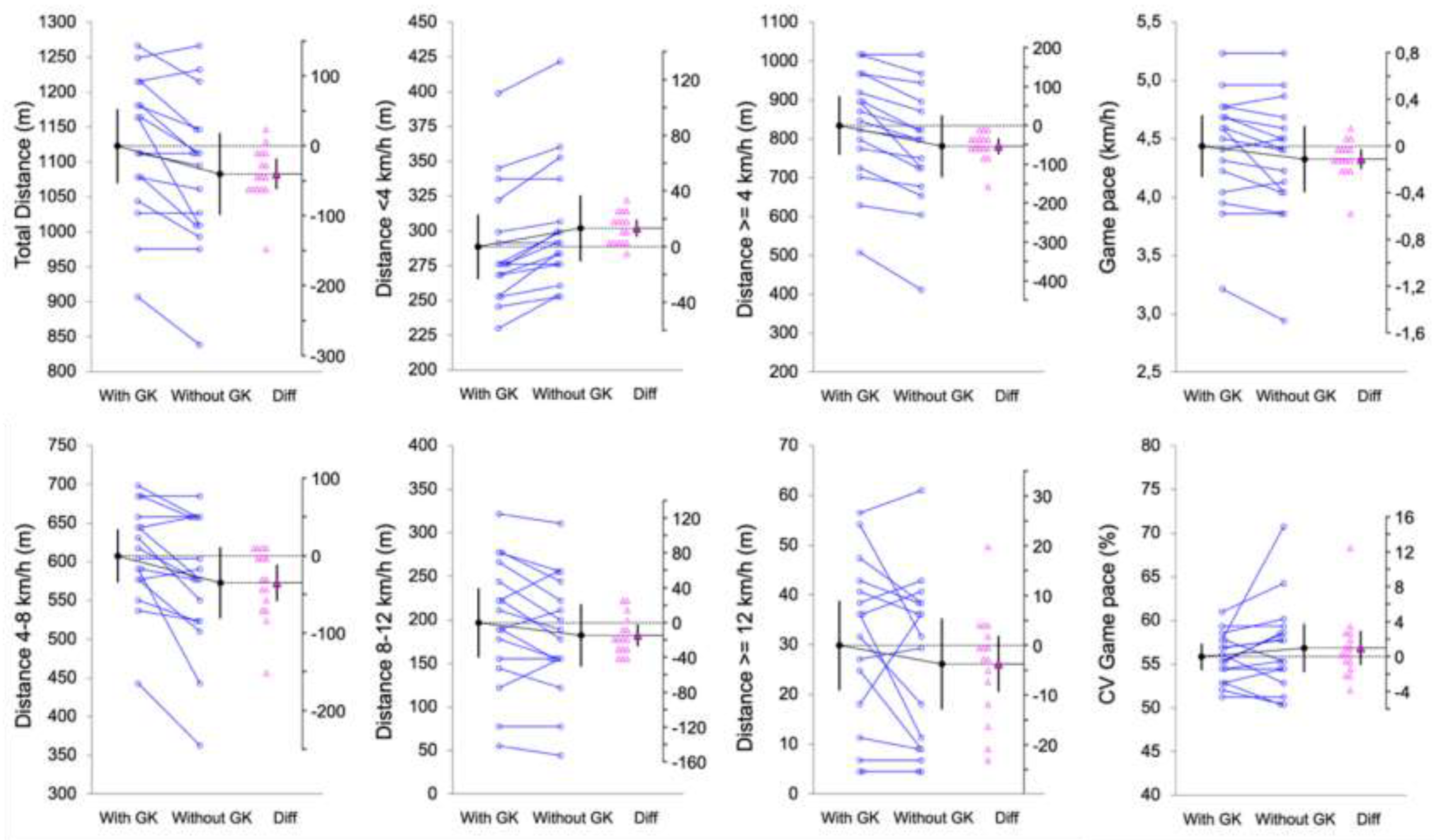
In terms of physical performance metrics, players covered significantly greater distances in the WITH-GK condition compared to the WITHOUT-GK condition. This difference was particularly evident for total distance (t = -3.87, p < .001; dunb = -0.36 [-0.61, -0.14]) and distance covered at speeds above 4 km/h (t = -5.47, p < .001; dunb = -0.35 [-0.55, -0.18]). Conversely, distances covered below 4 km/h were higher in the WITHOUT-GK condition (834.4 ± 141.4 m vs. 781.1±149.8, p < .001).
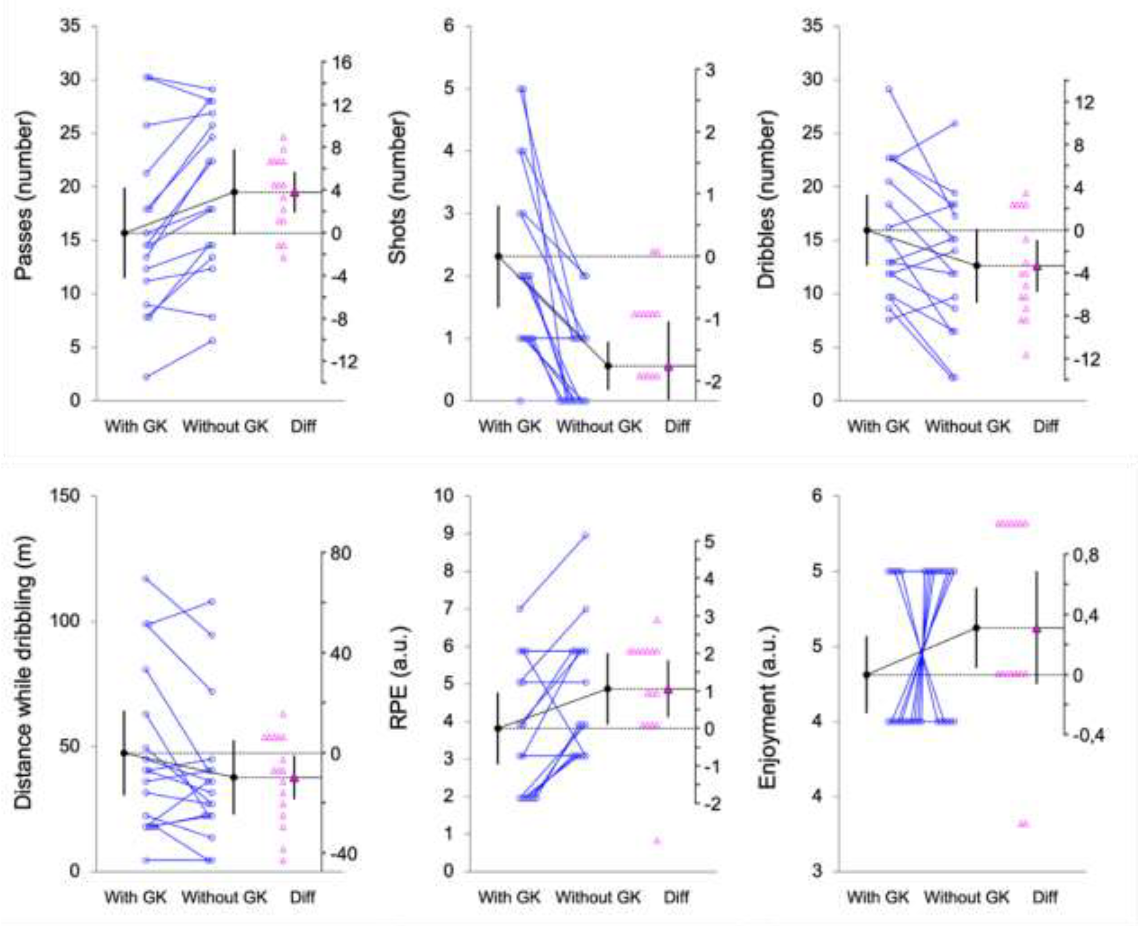
For the number of passes, players made significantly fewer passes in the WITH-GK condition compared to the WITHOUT-GK condition, with a mean difference of 3.8 passes per player (95% CI [1.9, 5.6]; t = 4.33, p < .001; dunb = 0.47 [0.20, 0.77]). Conversely, the number of shots was significantly higher in the WITH-GK condition, with a mean difference of -1.7 shots per player (95% CI [-2.4, -1.0]; t = -5.22, p < .001; dunb = -1.38 [-2.19, -0.69]). Dribbling actions also differed between conditions, with fewer dribbles observed in the WITHOUT-GK condition (t = -2.92, p < .01; dunb = -0.49 [-0.91, -0.12]). Additionally, players covered significantly less distance while dribbling in the WITHOUT-GK condition (t = -2.33, p = .03; dunb = -0.30 [-0.59, -0.02]).
RPE was significantly higher in the WITHOUT-GK condition (t = 2.96, p = .01; dunb = 0.56 [0.14, 1.03]). Regarding enjoyment, no significant difference was observed between conditions, although a positive trend in favor of the WITHOUT-GK condition was identified.

4. Discussion

The current study aimed to investigate the physiological, physical, technical, and perceptual impact of playing walking football WITH-GK vs. WITHOUT-GK. The results indicate that the presence of a GK significantly affects the physiological, physical, technical, and perceptual responses of the participants in walking football matches. Specifically, players engaged in the WITH-GK condition exhibited higher average HR and spent more time in elevated HR zones compared to those in the WITHOUT-GK condition, probably due to a reduction of one field player on each team.
The reduction in HR during the WITHOUT-GK condition could be attributed to the decreased physical engagement required due to low pressure on the ball and more concern with the protection of the goal and prevention of spatial advantage and counterattacks of the opponent team. In contrast, the WITH-GK condition likely fosters more frequent attacking opportunities and defensive actions, leading to increased HR and greater physical exertion. Given that, walking football is often played by older adults or individuals looking for a low-impact alternative to traditional football [1], these findings suggest that using a GK in training or recreational games can increase intensity based on participants' fitness levels and objectives.
According to the technical demands of walking football, they can also vary significantly between conditions. In particular, the WITHOUT-GK condition was associated with more passes per player, while the WITH-GK condition saw significantly more shots and dribbling actions. The increase in passing during the WITHOUT-GK condition is likely due to the absence of a central defending figure, affording more ball circulation as players find space to advance without the immediate threat of a GK defending the goal [19]. In addition, dribbling distance was significantly lower in the WITHOUT-GK condition, suggesting that players are less likely to engage in one-on-one duels or break forward when no GK is present. This could be a result of the overall reduced intensity of the game and the tactical focus shifting towards possession rather than direct attack. It is also important to highlight that the number of shots was significantly higher in the WITH-GK condition thereby increasing the likelihood of the ball impacting opponents and, as a result, elevating the risk level (i.e., of being safe) of the game. Thus, these findings may emphasize the importance of keeping the game safe and enjoyable by limiting aggressive or high-speed movements [3].
Another finding of the study was the significantly higher ratings of RPE reported in the WITHOUT-GK condition, despite the lower physiological markers of intensity. This could be explained by the nature of walking football, where the pace is generally slower [1], but participants may feel the need to work harder in a more open game without the defensive structure that a GK provides [19]. The psychological effort to maintain team organization and prevent easy scoring opportunities may lead to increased perceived exertion, even if the physical load is lower. This finding contrasts with studies on traditional football, where higher RPE values typically align with increased physiological demand [20]. In walking football, the slower game pace and emphasis on walking over running likely alters the relationship between physical exertion and subjective fatigue, particularly for older adults [1,2]. The higher perceived exertion in the WITHOUT-GK condition could also reflect the mental fatigue associated with maintaining tactical discipline in a less structured game format [21]. Coaches should consider these perceptual responses when designing training sessions, ensuring that players are not only physically challenged but also mentally engaged, without pushing them toward excessive fatigue. For example, research has shown that elderly participants emphasized the excitement and emotional satisfaction they experienced, as well as the joy of making new friends, which contributed positively to their mental health [4].
Regarding enjoyment, no significant differences were observed between both game conditions, although there was a trend favouring the WITHOUT-GK condition. This suggests that the inclusion or exclusion of a GK does not significantly impact players' overall enjoyment of the game. Walking football participants often value the social and recreational aspects of the game as much as the competitive elements [3]. Therefore, the choice between playing with or without a GK can be made based on specific training objectives, without detracting from the overall enjoyment of the session.

5. Limitations and Future Directions

While this study provides valuable insights into the effects of practice conditions in walking football, several limitations should be noted. First, the sample size was relatively small, which may limit the generalizability of the findings. Future studies should aim to include larger, more diverse populations, including female groups to explore how these game variations affect a broader range of participants.
Second, the study focused on short-term physiological and technical responses, but it did not assess the long-term impact of repeated exposure to different game conditions on player development. Longitudinal studies could investigate how regularly incorporating WITH-GK and WITHOUT-GK practical sessions into training affects players' fitness, technical skills, and injury risk over time.
Finally, future research could use qualitative methods, such as player interviews or focus groups, to explore how participants perceive these variations and how they affect their motivation in walking football.

6. Practical Applications

The findings of this study offer valuable insights for coaches, trainers, and walking football participants. First, the inclusion or exclusion of a GK can modulate the intensity of walking football sessions.
For older adults or individuals with health conditions such as cardiovascular disease or reduced mobility, WITHOUT-GK games may offer a safer, lower-intensity option. This format allows players to enjoy the game without excessive physical strain, making it suitable for rehabilitation or injury prevention purposes.
Additionally, coaches can use these game modifications to design training sessions tailored to specific goals, such as improving endurance, passing accuracy, or tactical awareness. Walking football can also be integrated into broader health and wellness programs for aging populations, offering a low impact yet effective way to maintain physical and mental health.
Finally, walking football presents an opportunity to enhance social connections, which are critical for the mental well-being of older adults. The enjoyment scores suggest that both game formats, but especially, playing WITHOUT-GK, are satisfying for participants, allowing for flexible training designs that balance physical effort and social interaction.

7. Conclusions

This study highlights that playing walking football WITHOUT-GK offers a safer, lower-intensity alternative compared to games WITH-GK, significantly reducing physical strain on older male participants. The WITHOUT-GK condition is particularly beneficial for older adults or those with health conditions, promoting enjoyment and rehabilitation with minimized risks.
The findings suggest that game conditions can be modified to achieve specific training outcomes, whether to increase physical intensity, develop technical skills, or manage perceived exertion. These insights can help coaches and practitioners design more effective training sessions that provide to the unique needs and preferences of walking football participants, particularly for older adults. Future research should continue to explore the nuances of walking football to optimize its benefits for health, fitness, and enjoyment.

Author Contributions

Conceptualization, Methodology, Formal Analyses, Writing - Original Draft: Júlio A. Costa, João Brito, José Guilherme, Bruno Travassos, Hugo Folgado and Bruno Gonçalves; Methodology, Writing - Review & Editing: Júlio A. Costa, César André Coelho, António Ferraz, João Brito, José Guilherme, André Seabra, Bruno Travassos, Hugo Folgado and Bruno Gonçalves; Supervision, Conceptualization, Methodology, Writing - Review & Editing: Júlio A. Costa and Bruno Gonçalves.

Funding

Not applicable.

Informed Consent Statement

All participants provided written informed consent prior to participation, and the study was approved by the Portugal Football School, Portuguese Football Federation (CE PFS 01.2024).

Data Availability Statement

Data supporting the findings of this research are available from the corresponding author (Júlio A. Costa), upon reasonable request.

Acknowledgments

The authors would like to thank the participants and the coaching staff for their participation and cooperation during the study.

Conflicts of Interest

The authors declare no conflicts of interest.

References

  1. Andersson, H.; Caspers, A.; Godhe, M.; Helge, T.; Eriksen, J.; Fransson, D.; Borjesson, M.; Ekblom-Bak, E. Walking football for Health - physiological response to playing and characteristics of the players. Sci Med Footb 2023, 1-8. [CrossRef]
  2. Barbosa, A.; Brito, J.; Costa, J.; Figueiredo, P.; Seabra, A.; Mendes, R. Feasibility and safety of a walking football program in middle-aged and older men with type 2 diabetes. Prog Cardiovasc Dis 2020, 63, 786-791. [CrossRef]
  3. Arnold, J.T.; Bruce-Low, S.; Sammut, L. The impact of 12 weeks walking football on health and fitness in males over 50 years of age. BMJ Open Sport Exerc Med 2015, 1. [CrossRef]
  4. Reddy, P.; Dias, I.; Holland, C.; Campbell, N.; Nagar, I.; Connolly, L.; Krustrup, P.; Hubball, H. Walking football as sustainable exercise for older adults - A pilot investigation. Eur J Sport Sci 2017, 17, 638-645. [CrossRef]
  5. Barbosa, A.; Brito, J.; Figueiredo, P.; Seabra, A.; Mendes, R. Effectiveness of a Walking Football Program for Middle-Aged and Older Men With Type 2 Diabetes: Protocol for a Randomized Controlled Trial. JMIR Res Protoc 2021, 10, e28554. [CrossRef]
  6. Harper, L.D.; Field, A.; Corr, L.D.; Naughton, R.J. The Physiological, Physical, and Biomechanical Demands of Walking Football: Implications for Exercise Prescription and Future Research in Older Adults. J Aging Phys Act 2020, 28, 478-488. [CrossRef]
  7. Zainudin, S.B.; Salle, D.D.A.; Aziz, A.R. Walking Football During Ramadan Fasting for Cardiometabolic and Psychological Health Benefits to the Physically Challenged and Aged Populations. Front Nutr 2021, 8, 779863. [CrossRef]
  8. Oliva-Lozano, J.M.; Muyor, J.M.; Puche Ortuno, D.; Rico-Gonzalez, M.; Pino-Ortega, J. Analysis of key external and internal load variables in professional female futsal players: a longitudinal study. Res Sports Med 2023, 31, 309-318. [CrossRef]
  9. Nes, B.M.; Janszky, I.; Wisloff, U.; Stoylen, A.; Karlsen, T. Age-predicted maximal heart rate in healthy subjects: The HUNT fitness study. Scand J Med Sci Sports 2013, 23, 697-704. [CrossRef]
  10. Serrano, C.; Felipe, J.L.; Garcia-Unanue, J.; Ibanez, E.; Hernando, E.; Gallardo, L.; Sanchez-Sanchez, J. Local Positioning System Analysis of Physical Demands during Official Matches in the Spanish Futsal League. Sensors (Basel) 2020, 20. [CrossRef]
  11. Bastida-Castillo, A.; Gómez-Carmona, C.D.; De la Cruz-Sánchez, E.; Reche-Royo, X.; Ibáñez, S.J.; Pino Ortega, J. Accuracy and Inter-Unit Reliability of Ultra-Wide-Band Tracking System in Indoor Exercise. Applied Sciences 2019, 9, 939.
  12. Pereira, P., Gonçalves, B., Bravo, J., Fernandes, O., & Folgado, H. (2021). Multidimensional Variables. In Pino-Ortega, J., & Rico-González, M. (Eds.). The Use of Applied Technology in Team Sport (1st ed.); Routledge: 2021.
  13. Folgado, H.; Bravo, J.; Pereira, P.; Sampaio, J. Towards the use of multidimensional performance indicators in football small-sided games: the effects of pitch orientation. J Sports Sci 2019, 37, 1064-1071. [CrossRef]
  14. Schimpchen, J.; Gopaladesikan, S.; Meyer, T. The intermittent nature of player physical output in professional football matches: An analysis of sequences of peak intensity and associated fatigue responses. Eur J Sport Sci 2021, 21, 793-802. [CrossRef]
  15. Utter, A.C.; Robertson, R.J.; Green, J.M.; Suminski, R.R.; McAnulty, S.R.; Nieman, D.C. Validation of the Adult OMNI Scale of perceived exertion for walking/running exercise. Med Sci Sports Exerc 2004, 36, 1776-1780. [CrossRef]
  16. Cumming, G. Understanding the New Statistics: Effect Sizes, Confidence Intervals, and Meta-Analysis; Routledge, Taylor & Francis Group: New York, 2012.
  17. Ho, J.; Tumkaya, T.; Aryal, S.; Choi, H.; Claridge-Chang, A. Moving beyond P values: data analysis with estimation graphics. Nature methods 2019, 16, 565-566. [CrossRef]
  18. Cohen, J. Statistical Power Analysis for the Behavioral Sciences; L. Erlbaum Associates: 1988.
  19. Stojanovic, E.; Stojiljkovic, N.; Stankovic, R.; Scanlan, A.T.; Dalbo, V.J.; Milanovic, Z. Game format alters the physiological and activity demands encountered during small-sided football games in recreational players. J Exerc Sci Fit 2021, 19, 40-46. [CrossRef]
  20. Coutts, A.J.; Rampinini, E.; Marcora, S.M.; Castagna, C.; Impellizzeri, F.M. Heart rate and blood lactate correlates of perceived exertion during small-sided soccer games. J Sci Med Sport 2009, 12, 79-84. [CrossRef]
  21. Kunrath, C.A.; Nakamura, F.Y.; Roca, A.; Tessitore, A.; Teoldo Da Costa, I. How does mental fatigue affect soccer performance during small-sided games? A cognitive, tactical and physical approach. J Sports Sci 2020, 38, 1818-1828. [CrossRef]
Figure 1. Data paired showing means and 95% confidence intervals of With GK and Without GK physiological measures. The mean paired difference is shown with its 95% confidence interval against a floating difference axis, whose zero is lined up with the pretest mean. The paired data are shown as small circles joined by lines. The differences are shown as triangles on the difference axis.
Figure 1. Data paired showing means and 95% confidence intervals of With GK and Without GK physiological measures. The mean paired difference is shown with its 95% confidence interval against a floating difference axis, whose zero is lined up with the pretest mean. The paired data are shown as small circles joined by lines. The differences are shown as triangles on the difference axis.
Preprints 141057 g001
Figure 2. Data paired showing means and 95% confidence intervals of With GK and Without GK physical performance measures. The mean paired difference is shown with its 95% confidence interval against a floating difference axis, whose zero is lined up with the pretest mean. The paired data are shown as small circles joined by lines. The differences are shown as triangles on the difference axis.
Figure 2. Data paired showing means and 95% confidence intervals of With GK and Without GK physical performance measures. The mean paired difference is shown with its 95% confidence interval against a floating difference axis, whose zero is lined up with the pretest mean. The paired data are shown as small circles joined by lines. The differences are shown as triangles on the difference axis.
Preprints 141057 g002
Figure 3. Data paired showing means and 95% confidence intervals of With GK and Without GK technical and perceptual measures. The mean paired difference is shown with its 95% confidence interval against a floating difference axis, whose zero is lined up with the pretest mean. The paired data are shown as small circles joined by lines. The differences are shown as triangles on the difference axis.
Figure 3. Data paired showing means and 95% confidence intervals of With GK and Without GK technical and perceptual measures. The mean paired difference is shown with its 95% confidence interval against a floating difference axis, whose zero is lined up with the pretest mean. The paired data are shown as small circles joined by lines. The differences are shown as triangles on the difference axis.
Preprints 141057 g003
Figure 4. Cohen’s dunbiased differences for considered according to the game scenarios. Error bars indicate uncertainty in the true mean changes with 95% confidence intervals.
Figure 4. Cohen’s dunbiased differences for considered according to the game scenarios. Error bars indicate uncertainty in the true mean changes with 95% confidence intervals.
Preprints 141057 g004
Table 1. Descriptive (mean±SD) and inferential analysis.
Table 1. Descriptive (mean±SD) and inferential analysis.
Variables With GK Without GK Mean diff [95% CI] Paired t p value Cohen dunbiased [95% CI]
Heart Rate
Average HR (bpm) 131±21 123±19 -7.97 [-11.96; -3.98] -4.26 .001 -0.38 [-0.63; -0.16]
Average HRmax (%) 79±12 74±11 -4.75 [-7.14; -2.36] -4.24 .001 -0.40 [-0.66; -0,17]
HRpeak (bpm) 146±22 142±21 -4.42 [-8.26; -0.58] -2.45 .027 -0.19 [-0.38; -0.02]
Maximal HRmax (%) 87±11 84±10 -3,03 [-4,91, -1,15] -2.48 .025 -0.21 [-0.41; -0.03]
CV Heart Rate (%) 7±1 9±3 2.22 [0.75; 3.68] 3.23 .006 1.00 [0.30; 1.79]
% Time in Zone 1 (<50%HRmax) 1±2 4±9 3.63 [-1; 8.25] 1.67 .115 0.50 [-0.13; 1.17]
% Time in Zone 2 (50-60%HRmax) 7±19 13±22 4.4 [-2.27; 11.08] 1.41 .180 0.20 [-0.10; 0.52]
% Time in Zone 3 (60-70%HRmax) 20±29 23±25 0.26 [-7.48; 7.99] 0.07 .945 0.01 [-0.25; 0.27]
% Time in Zone 4 (70-80%HRmax) 21±23 29±21 7.53 [-4.74; 19.8] 1.31 .211 0.32 [-0.19; 0.86]
% Time in Zone 5 (80-90%HRmax) 32±33 22±23 -14.34 [-25.23; -3.45] -2.81 .013 -0.48 [-0.90; -0.10]
% Time in Zone 6 (>90%HRmax) 19±31 10±20 -10.54 [-18.15; -2.93] -2.95 .010 -0.38 [-0.70; -0.09]
Distance covered (m)
Distance Zone 1 (<4 km/h) 289±44 302±45 13.4 [7.2, 19.5] 4.63 <.001 0.29 [0.13, 0.47]
Distance Zone 2 (4-8 km/h) 608±65 573±86 -34.9 [-58.6, -11.3] -3.15 <.01 -0.44 [-0.78, -0.12]
Distance Zone 3 (8-12 km/h) 197±75 182±67 -14.6 [-27.1, -2.0] -2.48 .03 -0.20 [-0.38, -0.02]
Distance Zone 4 (>12 km/h) 30±17 26±17 -3.7 [-9.3, 1.9] -1.40 .18 -0.21 [-0.53, 0.10]
Distance ≥ 4 km/h 834±141 781±150 -53.2 [-74.0, -32.5] -5.47 <.001 -0.35 [-0.55, -0.18]
Total Distance 1123±99 1083±110 -39.8 [-61.8, -17.9] -3.87 <.001 -0.36 [-0.61, -0.14]
Game pace (km/h) 4±1 4±1 -0.1 [-0.2, -0.1] -2.77 .01 -0.20 [-0.38, -0.04]
CV Game pace (%) 56±3 57±5 1.0 [-0.9, 2.8] 1.10 .29 0.23 [-0.20, 0.67]
Passes (number) 16±8 20±8 3.8 [1.9, 5.6] 4.33 <.001 0.47 [0.20, 0.77]
Shots (number) 2±1 1±1 -1.7 [-2.4, -1.0] -5.22 <.001 -1.38 [-2.19, -0.69]
Dribbles (number) 16±6 13±7 -3.3 [-5.7, -0.8] -2.92 <.01 -0.49 [-0.91, -0.12]
Distance while dribbling (m) 47±33 38±29 -9.6 [-18.8, -0.8] -2.33 .03 -0.30 [-0.59, -0.02]
RPE (a.u.) 4±2 5±2 1.0 [0.3, 1.8] 2.96 .01 0.56 [0.14, 1.03]
Enjoyment (a.u.) 4±1 5±1 0.3 [-0.1, 0.6] 1.78 .10 0.61 [-0.11, 1.37]
Disclaimer/Publisher’s Note: The statements, opinions and data contained in all publications are solely those of the individual author(s) and contributor(s) and not of MDPI and/or the editor(s). MDPI and/or the editor(s) disclaim responsibility for any injury to people or property resulting from any ideas, methods, instructions or products referred to in the content.
Copyright: This open access article is published under a Creative Commons CC BY 4.0 license, which permit the free download, distribution, and reuse, provided that the author and preprint are cited in any reuse.
Prerpints.org logo

Preprints.org is a free preprint server supported by MDPI in Basel, Switzerland.

Subscribe

Disclaimer

Terms of Use

Privacy Policy

Privacy Settings

© 2026 MDPI (Basel, Switzerland) unless otherwise stated