Submitted:
31 October 2024
Posted:
01 November 2024
You are already at the latest version
Abstract
Our findings illustrate that CS should be employed as a means of popularizing scientific output, facilitating the promotion of political decision-making processes, and acting as a knowledge broker to reverse consumer behavior towards more environmentally friendly and conducive to SUP usage.
Keywords:
1. Introduction
1.1. Plastic Threat to the Environment and Public Health
1.2. Plastic in the Consumption Perspective
1.3. Citizen Plastic & Plastic Threat
2. Methods
2.1. Citizen Science Projects Inventory
2.2. The Plastic Detectives Project
3. Data Analysis
4. Results
4.1. Citizen Science Projects Inventory
4.2. The Plastic Detectives Project
5. Discussion
5.1. How CS Reacts to the Plastic Threat?
5.2. Can a Single CS Project Change the Consumers’ Behavior?
6. Conclusions
Funding
Appendix A: Table of Projects
| No. | Name of Project | Organizer |
| 1 | Dive Against Debris | PADI Aware |
| 2 | River Survey | The Ocean Clean Up |
| 3 | Ocean Survey | The Ocean Clean Up |
| 4 | Marine Debris Tracker | Morgan Stanley, National Geographic Society and the University of Georgia |
| 5 | International Coastal Cleanup | Ocean Conservancy |
| 6 | Litterati | Litterati |
| 7 | Plastic Pirates - Go Europe | European Union |
| 8 | 2 minute beach clean / 2 minute litter pick up | The 2 Minute Foundation |
| 9 | CoastWatch Micro Litter Survey | European Commission |
| 10 | International Pellet Watch | Laboratory of Organic Geochemistry - University of Agriculture and Technology |
| 11 | Marine LitterWatch | European Environment Agency |
| 12 | The Great Nurdle Hunt | Fidra |
| 13 | The RIMMEL project | European Commission |
| 14 | The Plastic Tide | Zooniverse by The Citizen Science Association |
| 15 | Plastic Origins | Surfrider Foundation Europe |
| 16 | Ocean Initiatives | Surfrider Foundation Europe |
| 17 | Plastic Citizen | University of Hull |
| 18 | No Home for Plastic | VOICE |
| 19 | Stay at Home - Household Waste Audit | S.C.R.A.P. Gallery |
| 20 | #ECOSQUADGOALS | De La Salle University |
| 21 | #OpenLitterMap | GeoTech Innovations |
| 22 | Clean Sea LIFE | Parco Nazionale dell'Asinara |
| 23 | Plastexperiment | Vetenskap & Allmänhet (VA – Public & Science) and University of Gothenburg |
| 24 | Plastic Spotter | Leiden University - Citizen Science Lab |
| 25 | OSPARITO | Surfrider Foundation Europe |
| 26 | Surfing for Science | Universitat de Barcelona, Surfrider Foundation and EarthWatch |
| 27 | Pescadores de Plastico | BETA Technological Center (University of Vic-Central University of Catalonia) |
| 28 | ePollution | eOceans |
| 29 | Tangled in Trash: A Reporting Tool for Wildlife | National Marine Sanctuary Foundation |
| 30 | Shorelines Cleanup | San Antonio Bay Partnership |
| 31 | Nurdle Pratrol | Mission-Aransas National Estuarine Research Reserve |
| 32 | BeachWatch - Plastics Brazil | UFABC |
| 33 | TIDES - Trash Information and Data for Education and solutions | Ocean Conservancy |
| 34 | The Big Microplastic Survey | Just One Ocean & University of Portsmouth |
| 35 | AMDI - Australian Marine Debris Initiative | Tangaroa Blue Foundation |
| 36 | MDMAP - Marine Debris Monitoring and Assessment Project | NOAA |
| 37 | Florida Microplastic Awareness Project | University of Florida and IFAS Extension |
| 38 | Litter-free Digital Journal | South Carolina Aquarium |
| 39 | Plastic Litter Project: Coastal Litter Mapping | University of the Aegean |
| 40 | Microplastics Pollution Monitoring Program | Ocean First Institute |
| 41 | Programa de Monitoreo de Desperdicios Sólidos | LabCom (Reserva Natural Ciénaga Las Cucharillas run by Caras con Causas) |
| 42 | Explosive Shock Tube Data Collection | Center for Coastal Studies |
| 43 | Kinh Tế Sinh Thái Việt Nam | Key-Log Economics |
| 44 | Maine Microplastic Monitoring | Community Environmental Health Lab - MDI Biological Laboratory |
| 45 | Plastic Pollution: Impacts on Wildlife | Cape Eleuthera Institute |
| 46 | OIB Beach Garbage Pickup | Ocean Isle Beach Sea Turtle Protection Organization |
| 47 | Testing Our Waters | Anthropocene.Design |
| 48 | Freshwater Microplastics in Maine | Lakes Environmental Association |
| 49 | Airborne Microplastics | INBRE - Northwest College |
| 50 | Exploring the Marine Microbiome | MDI Biological Laboratory |
| 51 | Eco-Schools Bahamas: Shopping Bag Challenge | Bahamas Reef Environment Educational Foundation (BREEF) |
| 52 | Surfers Against Sewage | Surfers Against Sewage |
| 53 | Beat the Microbead | Plastic Soup Foundation & UNEP |
| 54 | Strengthening and Improving Marine Litter Response in Indonesia | Korean Ministry of Oceans and Fisheries, Korea Marine Environment Management Corporation, Our Sea of East Asia Network (OSEAN), and the Indonesian Waste Platform (IWP) |
| 55 | Mesoplastic on the Polish coast | Institute of Oceanology of the Polish Academy of Sciences and Experiment Science Centre in Gdynia |
| 56 | Break Free From Plastic | Greenpeace |
| 57 | Quantity and type of coastal debris pollution in Taiwan | IndigoWaters Institute and Institute of Marine Affairs and Resources Management |
| 58 | Preventing Plastic Pollution | Interreg France (Channel) England Programme and 18 other orgs |
| 59 | Fish Feed Bag | Plastic Free Seas |
| 60 | Produce Packaging Project | Plastic Free Seas |
| 61 | Citizen Science project in Chile | Carla Wichmann and team |
| 62 | CounterMEASURE | UNEP |
| 63 | Mapping Portsmouth's Plastic | University of Portsmouth |
| 64 | MarineQuest | Univeristy of North Carolina Wilmington and 2TC |
| 65 | Community's Awareness on the Use and Address of Municipal Plastic Waste | The Research Center for Gender, Family, and Environment in Development |
| 66 | Microplastic Detective | Ecological Observation and Wetlands Conservation |
| 67 | Investigation of Plastic Types in Households and Waste Banks | Nexus Foundation for Environmental Health and Development |
| 68 | National Marine Debris | CSIRO |
| 69 | Clean Up Australia's Citizen Science Project | Clean Up Australia |
| 70 | COLLECT – Citizen Observation of Local Litter in Coastal ECosysTems | Partnership for Observation of the Global Ocean |
| 71 | Australian Microplastic Assessment Project | Total Environment Centre |
| 72 | Citizen science on the Waddenzee | The Ocean Movement |
| 73 | Picking Up the Pieces | Environment Climate Change Canada, Ocean Diagnostics |
| 74 | Mass Experiment | Danish National Center for Science Education and Roskilde University |
Appendix B: Surveys & Questionnaire
- PD1.
- Country of residence
- 1.
- France
- 2.
- Germany
- 3.
- Italy
- 4.
- Poland
- 5.
- Other: __________
- PD2.
- Gender
- 1.
- Female
- 2.
- Male
- 3.
- Non-binary
- 4.
- Prefer to not say
- PD3.
- Age
- 1.
- Under 18
- 2.
- 18-24
- 3.
- 25-34
- 4.
- 35-44
- 5.
- 45-54
- 6.
- 55-64
- 7.
- 65-74
- 8.
- 75 and older
- PQ1.
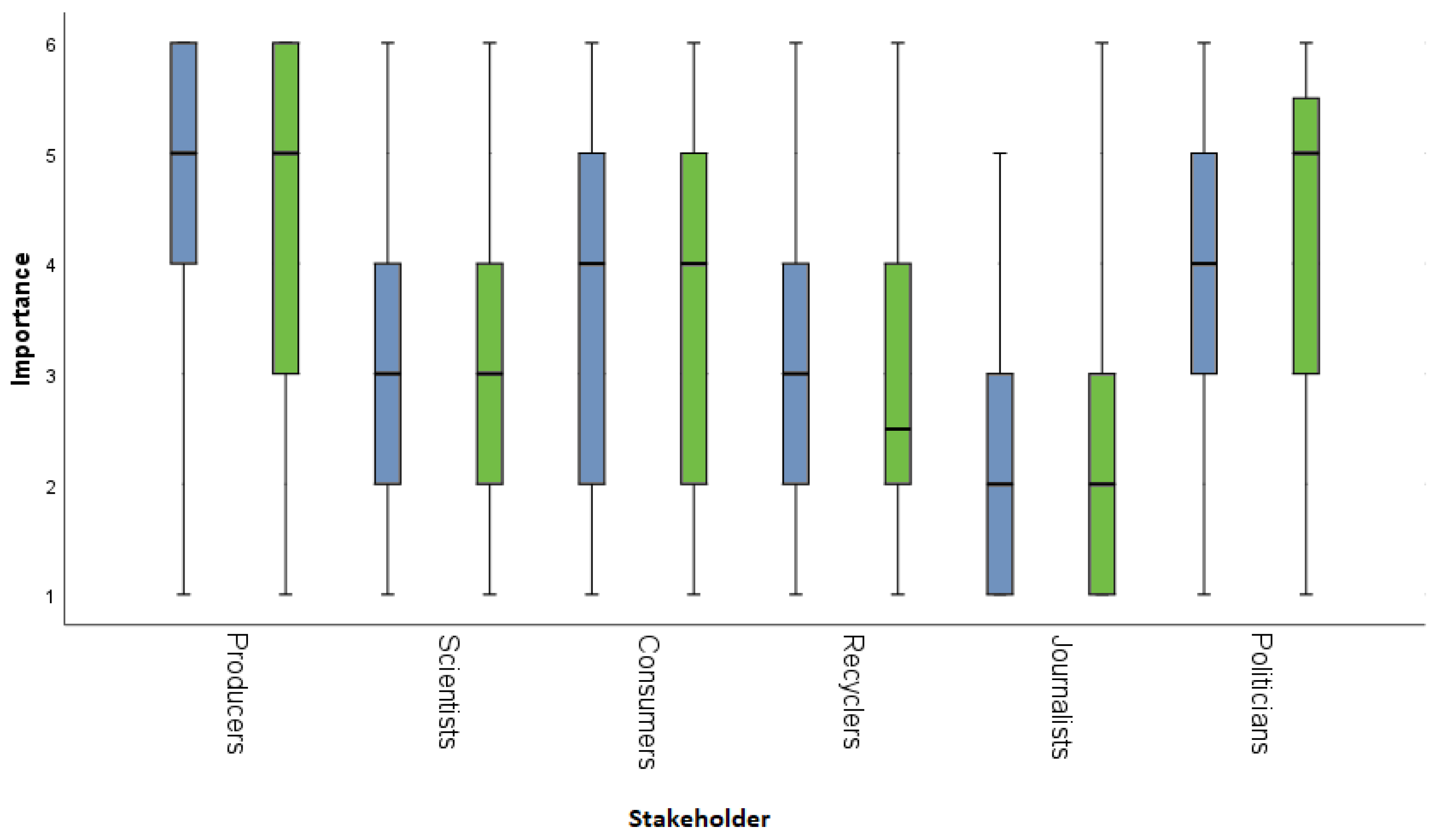
- ‘Please rank the following groups by importance in the fight against single-use plastics’
- a.
- Plastic producers
- b.
- Journalists
- c.
- Consumers
- d.
- Scientists
- e.
- Politicians
- f.
- Recyclers
- PQ2.
- ‘How realistic is it to live without single-use plastics?’ (five-point Likert scale from 1— ‘not realistic at all’ to 5— ‘extremely realistic’)
- PQ3.
- ‘Why do you think so?’ (OQ)
- D1.
- ‘Please indicate the city in which you are conducting this investigation’ (GPS location selection)
- D2.
- Gender of the person
- 1.
- Female
- 2.
- Male
- 3.
- Non-binary
- 4.
- Prefer not to say
- D3.
- My relationship to the person
- 1.
- Spouse/Partner
- 2.
- Sibling
- 3.
- Child
- 4.
- Parent
- 5.
- Grandparent
- 6.
- Room-/Flat mate
- 7.
- Friend
- 8.
- Other: __________
- D4.
- Age of the person
- 1.
- Under 18
- 2.
- 18-24
- 3.
- 25-34
- 4.
- 35-44
- 5.
- 45-54
- 6.
- 55-64
- 7.
- 65-74
- 8.
- 75 and older
- D5.
- How many people are living in the same household?
- 1.
- Only this person
- 2.
- 2
- 3.
- 3
- 4.
- 4
- 5.
- 5
- 6.
- more than 5
- Q1.
- ‘Have you seen this person ever use bottles when drinking water?’
- 1.
- Yes
- 2.
- No (Go to Q2)
- Q1.1
- ‘Which bottles are used most often for drinking water?’
- 1.
- single-use plastic bottle
- 2.
- single-use glass bottles
- 3.
- reusable plastic bottles
- 4.
- reusable glass bottles
- 5.
- reusable metal bottles
- 6.
- Others: __________
- Q2.
- ‘Have you seen this person grocery shopping?’
- 1.
- Yes
- 2.
- No (Go to Q3)
- Q2.1.
- ‘How does this person transport groceries most often?’
- 1.
- single-use plastic bags
- 2.
- single-use paper bags
- 3.
- single-use biodegradable bags
- 4.
- reusable plastic bags
- 5.
- reusable textile bags
- 6.
- reusable baskets
- 7.
- Other: __________
- Q2.2.
- ‘What does this person use to transport loose produce most often? (e.g., fruits, vegetables, nuts)’
- 1.
- single-use plastic bags
- 2.
- single-use paper bags
- 3.
- single-use biodegradable bags
- 4.
- reusable plastic bags
- 5.
- reusable textile bags
- 6.
- reusable baskets
- 7.
- Other: __________
- Q3.
- ‘Have you seen this person order take-away food or drinks?’
- 1.
- Yes
- 2.
- No (Go to Q4)
- Q3.1.
- ‘How does this person take away food most often?’
- 1.
- Take-out food boxes and cutlery
- 2.
- own reusable food boxes
- 3.
- Other: __________
- Q3.2.
- ‘How does this person take away beverages most often?’
- 1.
- single-use paper cup
- 2.
- single-use Styrofoam cup
- 3.
- single-use plastic cup
- 4.
- reusable glass/mug/cup
- 5.
- Other: __________
- Q4.
- ‘Have you seen this person use straws?’
- 1.
- Yes
- 2.
- No (Go to Q5)
- Q4.1.
- ‘What kind of straw is used most often?’
- 1.
- single-use plastic straws
- 2.
- single-use paper straws
- 3.
- single-use bran straws
- 4.
- reusable wood straws
- 5.
- reusable metal straws
- 6.
- reusable glass straws
- 7.
- Other: __________
- Q5.
- ‘Have you seen this person use gloves for cleaning or any other reason?’
- 1.
- Yes
- 2.
- No (Go to Q6)
- Q5.1.
- ‘What kind of gloves are used most often?’
- 1.
- single-use latex gloves
- 2.
- single-use nitrile gloves
- 3.
- reusable silicone gloves
- 4.
- Other: __________
- Q6.
- ‘Have you seen this person use razors?’
- 1.
- Yes
- 2.
- No (Go to Q7)
- Q6.1.
- ‘What kind of razor is used most often?’
- 1.
- single-use plastic razor/razor head
- 2.
- biodegradable razor/razor head
- 3.
- stainless steel razor
- 4.
- electric razor
- 5.
- Other: __________
- Q7.
- ‘Have you seen this person use cotton buds?’
- 1.
- Yes
- 2.
- No (Go to Q8)
- Q7.1.
- ‘Out of which material is the cotton bud stick made of?’
- 1.
- cotton buds with plastic sticks
- 2.
- cotton buds with biodegradable sticks
- 3.
- cotton buds with wooden/bamboo sticks
- 4.
- cotton buds with paper sticks
- 5.
- reusable rubber buds
- 6.
- Other: __________
- Q8.
- ‘Have you seen this person use masks for protection against COVID-19?’
- 1.
- Yes
- 2.
- No (Go to Q9)
- Q8.1.
- ‘What kind of protection is used against COVID-19 most often?’
- 1.
- single-use surgical mask
- 2.
- single-use textile mask
- 3.
- reusable N-95 mask
- 4.
- reusable textile mask
- 5.
- Other: __________
- Q9.
- ‘Have you seen this person use garbage bags?’
- 1.
- Yes
- 2.
- No (Go to Q10)
- Q9.1.
- ‘What kind of garbage bags are used most often?’
- 1.
- single-use plastic bags
- 2.
- single-use paper bags
- 3.
- single-use biodegradable bags
- 4.
- Other: __________
- Q10.
- ‘Have you seen this person segregate waste?’
- 1.
- Yes
- 2.
- No (Survey ends here)
- Q10.1.
- ‘Please select the categories of waste that are segregated apart from general waste’ (MR)
- 1.
- Plastic
- 2.
- Paper
- 3.
- Glass
- 4.
- Metals
- 5.
- organic matter
- 6.
- Other: __________
References
- Marine Anthropogenic Litter; Bergmann, M., Gutow, L., Klages, M., Eds.; Springer International Publishing: Cham, 2015; ISBN 978-3-319-16509-7.
- Galgani, F.; Brien, A.S.; Weis, J.; Ioakeimidis, C.; Schuyler, Q.; Makarenko, I.; Griffiths, H.; Bondareff, J.; Vethaak, D.; Deidun, A.; et al. Are Litter, Plastic and Microplastic Quantities Increasing in the Ocean? Microplastics Nanoplastics 2021, 1, 2. [Google Scholar] [CrossRef]
- Shen, M.; Huang, W.; Chen, M.; Song, B.; Zeng, G.; Zhang, Y. (Micro)Plastic Crisis: Un-Ignorable Contribution to Global Greenhouse Gas Emissions and Climate Change. J. Clean. Prod. 2020, 254, 120138. [Google Scholar] [CrossRef]
- Boucher, J.; Billard, G. The Challenges of Measuring Plastic Pollution. Field Actions Sci. Rep. J. Field Actions 2019, 68–75. [Google Scholar]
- Pathak, G. ‘Plastic Pollution’ and Plastics as Pollution in Mumbai, India. Ethnos 2023, 88, 167–186. [Google Scholar] [CrossRef]
- Chen, Y.; Awasthi, A.K.; Wei, F.; Tan, Q.; Li, J. Single-Use Plastics: Production, Usage, Disposal, and Adverse Impacts. Sci. Total Environ. 2021, 752, 141772. [Google Scholar] [CrossRef]
- Cuvillier-Hot, V.; Salin, K.; Devers, S.; Tasiemski, A.; Schaffner, P.; Boulay, R.; Billiard, S.; Lenoir, A. Impact of Ecological Doses of the Most Widespread Phthalate on a Terrestrial Species, the Ant Lasius Niger. Environ. Res. 2014, 131, 104–110. [Google Scholar] [CrossRef]
- Jiang, B.; Kauffman, A.E.; Li, L.; McFee, W.; Cai, B.; Weinstein, J.; Lead, J.R.; Chatterjee, S.; Scott, G.I.; Xiao, S. Health Impacts of Environmental Contamination of Micro- and Nanoplastics: A Review. Environ. Health Prev. Med. 2020, 25, 29. [Google Scholar] [CrossRef]
- Plastic Pollution. Available online: https://iucn.org/resources/issues-brief/plastic-pollution (accessed on 11 April 2024).
- Yee, M.S.-L.; Hii, L.-W.; Looi, C.K.; Lim, W.-M.; Wong, S.-F.; Kok, Y.-Y.; Tan, B.-K.; Wong, C.-Y.; Leong, C.-O. Impact of Microplastics and Nanoplastics on Human Health. Nanomaterials 2021, 11, 496. [Google Scholar] [CrossRef]
- Xue, B.; Zhang, L.; Li, R.; Wang, Y.; Guo, J.; Yu, K.; Wang, S. Underestimated Microplastic Pollution Derived from Fishery Activities and “Hidden” in Deep Sediment. Environ. Sci. Technol. 2020, 54, 2210–2217. [Google Scholar] [CrossRef]
- Kole, P.J.; Löhr, A.J.; Van Belleghem, F.; Ragas, A. Wear and Tear of Tyres: A Stealthy Source of Microplastics in the Environment. Int. J. Environ. Res. Public. Health 2017, 14, 1265. [Google Scholar] [CrossRef]
- Bermúdez, J.R.; Swarzenski, P.W. A Microplastic Size Classification Scheme Aligned with Universal Plankton Survey Methods. MethodsX 2021, 8, 101516. [Google Scholar] [CrossRef] [PubMed]
- Leslie, H.A.; Van Velzen, M.J.M.; Brandsma, S.H.; Vethaak, A.D.; Garcia-Vallejo, J.J.; Lamoree, M.H. Discovery and Quantification of Plastic Particle Pollution in Human Blood. Environ. Int. 2022, 163, 107199. [Google Scholar] [CrossRef] [PubMed]
- Ragusa, A.; Svelato, A.; Santacroce, C.; Catalano, P.; Notarstefano, V.; Carnevali, O.; Papa, F.; Rongioletti, M.C.A.; Baiocco, F.; Draghi, S.; et al. Plasticenta: First Evidence of Microplastics in Human Placenta. Environ. Int. 2021, 146, 106274. [Google Scholar] [CrossRef] [PubMed]
- Ragusa, A.; Notarstefano, V.; Svelato, A.; Belloni, A.; Gioacchini, G.; Blondeel, C.; Zucchelli, E.; De Luca, C.; D’Avino, S.; Gulotta, A.; et al. Raman Microspectroscopy Detection and Characterisation of Microplastics in Human Breastmilk. Polymers 2022, 14, 2700. [Google Scholar] [CrossRef]
- Codrington, J.; Varnum, A.A.; Hildebrandt, L.; Pröfrock, D.; Bidhan, J.; Khodamoradi, K.; Höhme, A.-L.; Held, M.; Evans, A.; Velasquez, D.; et al. Detection of Microplastics in the Human Penis. Int. J. Impot. Res. 2024. [Google Scholar] [CrossRef]
- Campanale, C.; Massarelli, C.; Savino, I.; Locaputo, V.; Uricchio, V.F. A Detailed Review Study on Potential Effects of Microplastics and Additives of Concern on Human Health. Int. J. Environ. Res. Public. Health 2020, 17, 1212. [Google Scholar] [CrossRef]
- Schandl, H.; King, S.; Walton, A.; Kaksonen, A.; Tapsuwan, S.; Baynes, T. Circular Economy Roadmap for Plastics, Glass, Paper and Tyres; Commonwealth Scientific and Industrial Research Organisation, 2021.
- Urbinati, A.; Chiaroni, D.; Chiesa, V. Towards a New Taxonomy of Circular Economy Business Models. J. Clean. Prod. 2017, 168, 487–498. [Google Scholar] [CrossRef]
- Directive (EU) 2019/904 of the European Parliament and of the Council of 5 June 2019 on the Reduction of the Impact of Certain Plastic Products on the Environment (Text with EEA Relevance); 2019; Vol. 155.
- Directorate-General for Environment Circular Economy Action Plan. Available online: https://environment.ec.europa.eu/strategy/circular-economy-action-plan_en (accessed on 8 May 2023).
- Richard, J. The U.S. Progress with Single-Use Plastic Bans. Available online: https://www.seasidesustainability.org/post/the-u-s-progress-with-single-use-plastic-bans (accessed on 27 April 2023).
- Wagner, T.P. Reducing Single-Use Plastic Shopping Bags in the USA. Waste Manag. 2017, 70, 3–12. [Google Scholar] [CrossRef]
- Canada, E. and C.C. Single-Use Plastics Prohibition Regulations: Overview. Available online: https://www.canada.ca/en/environment-climate-change/services/managing-reducing-waste/reduce-plastic-waste/single-use-plastic-overview.html (accessed on 1 May 2023).
- Hidalgo-Ruz, V.; Thiel, M. The Contribution of Citizen Scientists to the Monitoring of Marine Litter. In Marine Anthropogenic Litter; Bergmann, M., Gutow, L., Klages, M., Eds.; Springer International Publishing: Cham, 2015; pp. 429–447; ISBN 978-3-319-16509-7. [Google Scholar]
- Rambonnet, L.; Vink, S.C.; Land-Zandstra, A.M.; Bosker, T. Making Citizen Science Count: Best Practices and Challenges of Citizen Science Projects on Plastics in Aquatic Environments. Mar. Pollut. Bull. 2019, 145, 271–277. [Google Scholar] [CrossRef]
- Walker, J.; Taylor, P.D. Using eBird Data to Model Population Change of Migratory Bird Species. Avian Conserv. Ecol. 2017, 12, art4. [Google Scholar] [CrossRef]
- Kyba, C.C.M.; Altıntaş, Y.Ö.; Walker, C.E.; Newhouse, M. Citizen Scientists Report Global Rapid Reductions in the Visibility of Stars from 2011 to 2022. Science 2023, 379, 265–268. [Google Scholar] [CrossRef] [PubMed]
- Ammendolia, J.; Walker, T.R. Citizen Science: A Way Forward in Tackling the Plastic Pollution Crisis during and beyond the COVID-19 Pandemic. Sci. Total Environ. 2022, 805, 149957. [Google Scholar] [CrossRef] [PubMed]
- Grodzińska-Jurczak, M. Nauka obywatelska – zmiana paradygmatu nauki czy jedynie pomocnicza procedura badawcza? Kwart. Trzeci Sekt. 2019, 47, 14–27. [Google Scholar] [CrossRef]
- Gura, T. Citizen Science: Amateur Experts. Nature 2013, 496, 259–261. [Google Scholar] [CrossRef]
- Van Der Velde, T.; Milton, D.A.; Lawson, T.J.; Wilcox, C.; Lansdell, M.; Davis, G.; Perkins, G.; Hardesty, B.D. Comparison of Marine Debris Data Collected by Researchers and Citizen Scientists: Is Citizen Science Data Worth the Effort? Biol. Conserv. 2017, 208, 127–138. [Google Scholar] [CrossRef]
- Bonney, R.; Phillips, T.B.; Ballard, H.L.; Enck, J.W. Can Citizen Science Enhance Public Understanding of Science? Public Underst. Sci. 2016, 25, 2–16. [Google Scholar] [CrossRef]
- Jordan, R.C.; Gray, S.A.; Howe, D.V.; Brooks, W.R.; Ehrenfeld, J.G. Knowledge Gain and Behavioral Change in Citizen-Science Programs: Citizen-Scientist Knowledge Gain. Conserv. Biol. 2011, 25, 1148–1154. [Google Scholar] [CrossRef]
- Locritani, M.; Merlino, S.; Abbate, M. Assessing the Citizen Science Approach as Tool to Increase Awareness on the Marine Litter Problem. Mar. Pollut. Bull. 2019, 140, 320–329. [Google Scholar] [CrossRef]
- Toomey, A.H.; Domroese, M.C. Can Citizen Science Lead to Positive Conservation Attitudes and Behaviors? Hum. Ecol. Rev. 2013, 20, 50–62. [Google Scholar]
- Lewis, D. The COVID Pandemic Has Harmed Researcher Productivity – and Mental Health. Nature 2021, d41586-021-03045-w. [CrossRef]
- Filho, W.L.; Voronova, V.; Kloga, M.; Paço, A.; Minhas, A.; Salvia, A.L.; Ferreira, C.D.; Sivapalan, S. COVID-19 and Waste Production in Households: A Trend Analysis. Sci. Total Environ. 2021, 777, 145997. [Google Scholar] [CrossRef]
- Patrício Silva, A.L.; Prata, J.C.; Walker, T.R.; Duarte, A.C.; Ouyang, W.; Barcelò, D.; Rocha-Santos, T. Increased Plastic Pollution Due to COVID-19 Pandemic: Challenges and Recommendations. Chem. Eng. J. 2021, 405, 126683. [Google Scholar] [CrossRef] [PubMed]
- Prata, J.C.; Silva, A.L.P.; Walker, T.R.; Duarte, A.C.; Rocha-Santos, T. COVID-19 Pandemic Repercussions on the Use and Management of Plastics. Environ. Sci. Technol. 2020, 54, 7760–7765. [Google Scholar] [CrossRef] [PubMed]
- Bułkowska, M.; Bazhenova, H. DIRECT AND INDIRECT CONSEQUENCES OF THE WAR IN UKRAINE FOR POLISH TRADE IN AGRI-FOOD PRODUCTS. Zagadnienia Ekon. Rolnej Probl. Agric. Econ. 2023, 376, 66–90. [Google Scholar] [CrossRef]
- Krawczyk, A.; Jaguszewska, N.; Ziółkiewicz, W.; Grodzińska-Jurczak, M. The Ivory Tower of Academia in the Era of Climate Change: European Scientists’ Engagement in Science Popularization Related to Single-Use Plastics. Environ. Sci. Policy 2023, 146, 185–202. [Google Scholar] [CrossRef]
- Guenther, L.; Joubert, M. Science Communication as a Field of Research: Identifying Trends, Challenges and Gaps by Analysing Research Papers. J. Sci. Commun. 2017, 16, A02. [Google Scholar] [CrossRef]
- Scheufele, D.A.; Krause, N.M. Science Audiences, Misinformation, and Fake News. Proc. Natl. Acad. Sci. 2019, 116, 7662–7669. [Google Scholar] [CrossRef]
- Leighton, K.; Kardong-Edgren, S.; Schneidereith, T.; Foisy-Doll, C. Using Social Media and Snowball Sampling as an Alternative Recruitment Strategy for Research. Clin. Simul. Nurs. 2021, 55, 37–42. [Google Scholar] [CrossRef]
- Afroz, R.; Rahman, A.; Masud, M.M.; Akhtar, R. The Knowledge, Awareness, Attitude and Motivational Analysis of Plastic Waste and Household Perspective in Malaysia. Environ. Sci. Pollut. Res. 2017, 24, 2304–2315. [Google Scholar] [CrossRef]
- Bruchmann, K.; Chue, S.M.; Dillon, K.; Lucas, J.K.; Neumann, K.; Parque, C. Social Comparison Information Influences Intentions to Reduce Single-Use Plastic Water Bottle Consumption. Front. Psychol. 2021, 12, 612662. [Google Scholar] [CrossRef]
- Heidbreder, L.M.; Steinhorst, J.; Schmitt, M. Plastic-Free July: An Experimental Study of Limiting and Promoting Factors in Encouraging a Reduction of Single-Use Plastic Consumption. Sustainability 2020, 12, 4698. [Google Scholar] [CrossRef]
- Van Rensburg, M.L.; Nkomo, S.L.; Dube, T. The ‘Plastic Waste Era’; Social Perceptions towards Single-Use Plastic Consumption and Impacts on the Marine Environment in Durban, South Africa. Appl. Geogr. 2020, 114, 102132. [Google Scholar] [CrossRef]
- Heidbreder, L.M.; Lange, M.; Reese, G. #PlasticFreeJuly – Analyzing a Worldwide Campaign to Reduce Single-Use Plastic Consumption with Twitter. Environ. Commun. 2021, 15, 937–953. [Google Scholar] [CrossRef]
- Nguyen, X.C.; Dao, D.C.; Nguyen, T.T.; Tran, Q.B.; Huyen Nguyen, T.T.; Tuan, T.A.; Phuong Nguyen, K.L.; Nguyen, V.-T.; Nadda, A.K.; Thanh-Nho, N.; et al. Generation Patterns and Consumer Behavior of Single-Use Plastic towards Plastic-Free University Campuses. Chemosphere 2022, 291, 133059. [Google Scholar] [CrossRef]
- Cavaliere, A.; Pigliafreddo, S.; De Marchi, E.; Banterle, A. Do Consumers Really Want to Reduce Plastic Usage? Exploring the Determinants of Plastic Avoidance in Food-Related Consumption Decisions. Sustainability 2020, 12, 9627. [Google Scholar] [CrossRef]
- Jahani, A.; Dehdari, T.; Farzadkia, M.; Mansourian, M. Iranian Experiences in Terms of Consumption of Disposable Single- Use Plastics: Introduction to Theoretical Variables for Developing Environmental Health Promotion Efforts. Environ. Toxicol. Pharmacol. 2019, 65, 18–22. [Google Scholar] [CrossRef]
- Nguyen, H.V.; Le, M.T.T.; Do, L.T. Intrinsic Motivation for Reducing Single-Use Plastics: The Compensation Effects of Basic Psychological Needs. Resour. Conserv. Recycl. 2022, 185, 106482. [Google Scholar] [CrossRef]
- Jasanoff, S. NGOs and the Environment: From Knowledge to Action. Third World Q. 1997, 18, 579–594. [Google Scholar] [CrossRef]
- Figueiredo, D.N.S.; Rubio-Iglesias, J.M.; Owen, R.; Schade, S.; Shanley, L. Citizen Science for Policy Formulation and Implementation. Available online: https://publications.jrc.ec.europa.eu/repository/handle/JRC103892 (accessed on 17 May 2023).
- Oliver, T.H.; Benini, L.; Borja, A.; Dupont, C.; Doherty, B.; Grodzińska-Jurczak, M.; Iglesias, A.; Jordan, A.; Kass, G.; Lung, T.; et al. Knowledge Architecture for the Wise Governance of Sustainability Transitions. Environ. Sci. Policy 2021, 126, 152–163. [Google Scholar] [CrossRef]
- MacLeod, M.; Arp, H.P.H.; Tekman, M.B.; Jahnke, A. The Global Threat from Plastic Pollution. Science 2021, 373, 61–65. [Google Scholar] [CrossRef]
- Liro, M.; Zielonka, A.; Van Emmerik, T.H.M.; Grodzińska-Jurczak, M.; Liro, J.; Kiss, T.; Mihai, F.-C. Mountains of Plastic: Mismanaged Plastic Waste along the Carpathian Watercourses. Sci. Total Environ. 2023, 888, 164058. [Google Scholar] [CrossRef]
- Schmidt, C.; Krauth, T.; Wagner, S. Export of Plastic Debris by Rivers into the Sea. Environ. Sci. Technol. 2017, 51, 12246–12253. [Google Scholar] [CrossRef] [PubMed]
- Horton, A.A.; Walton, A.; Spurgeon, D.J.; Lahive, E.; Svendsen, C. Microplastics in Freshwater and Terrestrial Environments: Evaluating the Current Understanding to Identify the Knowledge Gaps and Future Research Priorities. Sci. Total Environ. 2017, 586, 127–141. [Google Scholar] [CrossRef]
- Thushari, G.G.N.; Senevirathna, J.D.M. Plastic Pollution in the Marine Environment. Heliyon 2020, 6, e04709. [Google Scholar] [CrossRef] [PubMed]
- Ammendolia, J.; Saturno, J.; Brooks, A.L.; Jacobs, S.; Jambeck, J.R. An Emerging Source of Plastic Pollution: Environmental Presence of Plastic Personal Protective Equipment (PPE) Debris Related to COVID-19 in a Metropolitan City. Environ. Pollut. 2021, 269, 116160. [Google Scholar] [CrossRef] [PubMed]
- Peng, Y.; Wu, P.; Schartup, A.T.; Zhang, Y. Plastic Waste Release Caused by COVID-19 and Its Fate in the Global Ocean. Proc. Natl. Acad. Sci. 2021, 118, e2111530118. [Google Scholar] [CrossRef] [PubMed]
- Oturai, N.G.; Bille Nielsen, M.; Clausen, L.P.W.; Hansen, S.F.; Syberg, K. Strength in Numbers: How Citizen Science Can Upscale Assessment of Human Exposure to Plastic Pollution. Curr. Opin. Toxicol. 2021, 27, 54–59. [Google Scholar] [CrossRef]
- Wood, J. Asia’s Plastic Problem Is Choking the World’s Oceans. Here’s How to Fix It. Available online: https://www.weforum.org/agenda/2018/09/asia-s-plastic-problem-is-choking-the-world-s-oceans-here-s-how-to-fix-it/ (accessed on 6 December 2022).
- Nelms, S.E.; Easman, E.; Anderson, N.; Berg, M.; Coates, S.; Crosby, A.; Eisfeld-Pierantonio, S.; Eyles, L.; Flux, T.; Gilford, E.; et al. The Role of Citizen Science in Addressing Plastic Pollution: Challenges and Opportunities. Environ. Sci. Policy 2022, 128, 14–23. [Google Scholar] [CrossRef]
- Zettler, E.R.; Takada, H.; Monteleone, B.; Mallos, N.; Eriksen, M.; Amaral-Zettler, L.A. Incorporating Citizen Science to Study Plastics in the Environment. Anal. Methods 2017, 9, 1392–1403. [Google Scholar] [CrossRef]
- Alimi, O.S.; Farner Budarz, J.; Hernandez, L.M.; Tufenkji, N. Microplastics and Nanoplastics in Aquatic Environments: Aggregation, Deposition, and Enhanced Contaminant Transport. Environ. Sci. Technol. 2018, 52, 1704–1724. [Google Scholar] [CrossRef]
- De Souza Machado, A.A.; Kloas, W.; Zarfl, C.; Hempel, S.; Rillig, M.C. Microplastics as an Emerging Threat to Terrestrial Ecosystems. Glob. Change Biol. 2018, 24, 1405–1416. [Google Scholar] [CrossRef]
- Chrysochou, P. Consumer Behavior Research Methods. In Consumer Perception of Product Risks and Benefits; Emilien, G., Weitkunat, R., Lüdicke, F., Eds.; Springer International Publishing: Cham, 2017; pp. 409–428; ISBN 978-3-319-50528-2. [Google Scholar]
- Hyman, H. Do They Tell the Truth? Public Opin. Q. 1944, 8, 557. [Google Scholar] [CrossRef]
- Arı, E.; Yılmaz, V. Consumer Attitudes on the Use of Plastic and Cloth Bags. Environ. Dev. Sustain. 2017, 19, 1219–1234. [Google Scholar] [CrossRef]
- Thomas, G.O.; Sautkina, E.; Poortinga, W.; Wolstenholme, E.; Whitmarsh, L. The English Plastic Bag Charge Changed Behavior and Increased Support for Other Charges to Reduce Plastic Waste. Front. Psychol. 2019, 10, 266. [Google Scholar] [CrossRef] [PubMed]
- Wang, B.; Zhao, Y.; Li, Y. How Do Tougher Plastics Ban Policies Modify People’s Usage of Plastic Bags? A Case Study in China. Int. J. Environ. Res. Public. Health 2021, 18, 10718. [Google Scholar] [CrossRef]
- Molloy, S.; Varkey, P.; Walker, T.R. Opportunities for Single-Use Plastic Reduction in the Food Service Sector during COVID-19. Sustain. Prod. Consum. 2022, 30, 1082–1094. [Google Scholar] [CrossRef]
- Wagner, T.P.; Toews, P. ASSESSING THE USE OF DEFAULT CHOICE MODIFICATION TO REDUCE CONSUMPTION OF PLASTIC STRAWS. Detritus 2018, In Press, 1. [Google Scholar] [CrossRef]
- Fischbach, S.; Yauney, B. Social Cognitive Theory and Reciprocal Relationship: A Guide to Single-Use Plastic Education for Policymakers, Business Leaders and Consumers. Sustainability 2023, 15, 3946. [Google Scholar] [CrossRef]
- Li, Y.; Wang, B. Go Green and Recycle: Analyzing the Usage of Plastic Bags for Shopping in China. Int. J. Environ. Res. Public. Health 2021, 18, 12537. [Google Scholar] [CrossRef]
- Cowan, E.; Booth, A.M.; Misund, A.; Klun, K.; Rotter, A.; Tiller, R. Single-Use Plastic Bans: Exploring Stakeholder Perspectives on Best Practices for Reducing Plastic Pollution. Environments 2021, 8, 81. [Google Scholar] [CrossRef]
- Kochanska, E.; Wozniak, K.; Nowaczyk, A.; Piedade, P.J.; De Almeida Lavorato, M.L.; Almeida, A.M.; Morais, A.R.C.; Lukasik, R.M. Global Ban on Plastic and What Next? Are Consumers Ready to Replace Plastic with the Second-Generation Bioplastic? Results of the Snowball Sample Consumer Research in China, Western and Eastern Europe, North America and Brazil. Int. J. Environ. Res. Public. Health 2022, 19, 13970. [Google Scholar] [CrossRef]
- Harris, L.; Liboiron, M.; Charron, L.; Mather, C. Using Citizen Science to Evaluate Extended Producer Responsibility Policy to Reduce Marine Plastic Debris Shows No Reduction in Pollution Levels. Mar. Policy 2021, 123, 104319. [Google Scholar] [CrossRef]
- Kosmala, M.; Wiggins, A.; Swanson, A.; Simmons, B. Assessing Data Quality in Citizen Science. Front. Ecol. Environ. 2016, 14, 551–560. [Google Scholar] [CrossRef]
- Lewandowski, E.; Specht, H. Influence of Volunteer and Project Characteristics on Data Quality of Biological Surveys: Data Quality of Volunteer Surveys. Conserv. Biol. 2015, 29, 713–723. [Google Scholar] [CrossRef] [PubMed]
- Gardiner, M.M.; Allee, L.L.; Brown, P.M.; Losey, J.E.; Roy, H.E.; Smyth, R.R. Lessons from Lady Beetles: Accuracy of Monitoring Data from US and UK Citizen-science Programs. Front. Ecol. Environ. 2012, 10, 471–476. [Google Scholar] [CrossRef]
- Kremen, C.; Ullman, K.S.; Thorp, R.W. Evaluating the Quality of Citizen-Scientist Data on Pollinator Communities: Citizen-Scientist Pollinator Monitoring. Conserv. Biol. 2011, 25, 607–617. [Google Scholar] [CrossRef]
- Fernandes-Jesus, M.; Carvalho, A.; Fernandes, L.; Bento, S. Community Engagement in the Transition Movement: Views and Practices in Portuguese Initiatives. Local Environ. 2017, 22, 1546–1562. [Google Scholar] [CrossRef]
- Sheppard, S.R.J.; Shaw, A.; Flanders, D.; Burch, S.; Wiek, A.; Carmichael, J.; Robinson, J.; Cohen, S. Future Visioning of Local Climate Change: A Framework for Community Engagement and Planning with Scenarios and Visualisation. Futures 2011, 43, 400–412. [Google Scholar] [CrossRef]
- Drennan, J.; Hyde, A. Controlling Response Shift Bias: The Use of the Retrospective Pre-test Design in the Evaluation of a Master’s Programme. Assess. Eval. High. Educ. 2008, 33, 699–709. [Google Scholar] [CrossRef]
- Howard, G.S. Response-Shift Bias: A Problem in Evaluating Interventions with Pre/Post Self-Reports. Eval. Rev. 1980, 4, 93–106. [Google Scholar] [CrossRef]
- Howard, G.S.; Dailey, P.R. Response-Shift Bias: A Source of Contamination of Self-Report Measures. J. Appl. Psychol. 1979, 64, 144–150. [Google Scholar] [CrossRef]
- Poortinga, W.; Whitaker, L. Promoting the Use of Reusable Coffee Cups through Environmental Messaging, the Provision of Alternatives and Financial Incentives. Sustainability 2018, 10, 873. [Google Scholar] [CrossRef]
- Santos, J.M.; Van Der Linden, S. Environmental Reviews and Case Studies: Changing Norms by Changing Behavior: The Princeton Drink Local Program. Environ. Pract. 2016, 18, 116–122. [Google Scholar] [CrossRef]
- Uehara, T.; Ynacay-Nye, A. How Water Bottle Refill Stations Contribute to Campus Sustainability: A Case Study in Japan. Sustainability 2018, 10, 3074. [Google Scholar] [CrossRef]
- Walker, T.R.; McGuinty, E.; Charlebois, S.; Music, J. Single-Use Plastic Packaging in the Canadian Food Industry: Consumer Behavior and Perceptions. Humanit. Soc. Sci. Commun. 2021, 8, 80. [Google Scholar] [CrossRef]
- Bansal, M.; Sharma, J.G. Plastic Pollution by COVID-19 Pandemic: An Urge for Sustainable Approaches to Protect the Environment. J. Pure Appl. Microbiol. 2021, 15, 1083–1093. [Google Scholar] [CrossRef]
- Grodzińska-Jurczak, M.; Krawczyk, A.; Jurczak, A.; Strzelecka, M.; Rechciński, M.; Boćkowski, M. ENVIRONMENTAL CHOICES VS. COVID-19 PANDEMIC FEAR – PLASTIC GOVERNANCE RE-ASSESSMENT. Soc. Regist. 2020, 4, 49–66. [Google Scholar] [CrossRef]
- Parashar, N.; Hait, S. Plastics in the Time of COVID-19 Pandemic: Protector or Polluter? Sci. Total Environ. 2021, 759, 144274. [Google Scholar] [CrossRef]
- Grodzińska-Jurczak, M.; Krawczyk, A.; Akhshik, A.; Dedyk, Z.; Strzelecka, M. Contradictory or Complementary? Stakeholders’ Perceptions of a Circular Economy for Single-Use Plastics. Waste Manag. 2022, 142, 1–8. [Google Scholar] [CrossRef]


| Category | 1 | 2 | 3 | 4 | 5 | Total |
| Available reusable alternatives | 0 | 1 | 6 | 13 | 12 | 32 |
| Sanitary properties | 2 | 1 | 9 | 8 | 0 | 20 |
| Wide availability | 4 | 6 | 8 | 1 | 0 | 19 |
| Convenience | 4 | 6 | 3 | 4 | 0 | 17 |
| Difficult change | 0 | 2 | 7 | 3 | 0 | 12 |
| Low cost | 1 | 4 | 6 | 1 | 0 | 12 |
| Consumer behavior change | 0 | 0 | 0 | 2 | 7 | 9 |
| Ineffective alternatives | 2 | 2 | 3 | 1 | 0 | 8 |
| Pre plastic lifestyle | 0 | 0 | 1 | 0 | 6 | 7 |
| Lack of industry interest | 1 | 0 | 4 | 0 | 1 | 6 |
| Lack of reusable alternatives | 2 | 0 | 4 | 0 | 0 | 6 |
| Lack of legislation | 0 | 1 | 4 | 0 | 0 | 5 |
| Environmentalism | 0 | 0 | 1 | 2 | 2 | 5 |
| Lack of awareness | 0 | 1 | 2 | 0 | 0 | 3 |
| Political hurdles | 0 | 0 | 2 | 0 | 1 | 3 |
| Increasing awareness | 0 | 0 | 0 | 2 | 0 | 2 |
| Existing legislation | 0 | 0 | 0 | 2 | 0 | 2 |
| Ineffective recycling measures | 0 | 0 | 0 | 1 | 0 | 1 |
| Ineffective reduction measures | 0 | 0 | 1 | 0 | 0 | 1 |
| Consumerism | 0 | 1 | 0 | 0 | 0 | 1 |
| Category | 1 | 2 | 3 | 4 | 5 | Total |
| Available reusable alternatives | 0 | 1 | 2 | 4 | 4 | 11 |
| Consumer behavior change | 0 | 0 | 1 | 3 | 4 | 8 |
| Increasing awareness | 0 | 0 | 2 | 4 | 0 | 6 |
| Difficult change | 1 | 0 | 3 | 0 | 0 | 4 |
| Convenience | 1 | 0 | 0 | 2 | 1 | 4 |
| Low cost | 0 | 1 | 2 | 0 | 0 | 3 |
| Sanitary properties | 0 | 1 | 2 | 0 | 0 | 3 |
| Wide availability | 0 | 1 | 2 | 0 | 0 | 3 |
| Environmentalism | 0 | 0 | 0 | 3 | 0 | 3 |
| Ineffective alternatives | 0 | 0 | 2 | 0 | 0 | 2 |
| Consumerism | 0 | 1 | 0 | 1 | 0 | 2 |
| Lack of legislation | 0 | 0 | 0 | 0 | 2 | 2 |
| Pre plastic lifestyle | 0 | 0 | 0 | 0 | 1 | 1 |
| Lack of necessity | 0 | 0 | 0 | 0 | 1 | 1 |
| Lack of industry interest | 0 | 0 | 1 | 0 | 0 | 1 |
| Existing legislation | 0 | 0 | 0 | 1 | 0 | 1 |
| Stakeholder | Negative ranks | Positive ranks | Ties | Z | p | ||||
| N | MR | SR | N | MR | SR | ||||
| Producers | 14 | 11.43 | 160.0 | 9 | 12.89 | 116.0 | 37 | -0.685a | 0.493 |
| Scientists | 15 | 13.87 | 208.0 | 19 | 20.37 | 387.0 | 26 | -1.571b | 0.116 |
| Consumers | 10 | 9.55 | 95.5 | 12 | 13.13 | 157.5 | 38 | -1.056b | 0.291 |
| Recyclers | 17 | 14.71 | 250.0 | 10 | 12.80 | 128.0 | 33 | 1.493a | 0.136 |
| Journalists | 9 | 13.33 | 120.0 | 14 | 11.14 | 156.0 | 37 | -0.571b | 0.568 |
| Politicians | 10 | 15.80 | 158.0 | 14 | 10.14 | 142.0 | 26 | -0.236a | 0.814 |
Disclaimer/Publisher’s Note: The statements, opinions and data contained in all publications are solely those of the individual author(s) and contributor(s) and not of MDPI and/or the editor(s). MDPI and/or the editor(s) disclaim responsibility for any injury to people or property resulting from any ideas, methods, instructions or products referred to in the content. |
© 2024 by the authors. Licensee MDPI, Basel, Switzerland. This article is an open access article distributed under the terms and conditions of the Creative Commons Attribution (CC BY) license (http://creativecommons.org/licenses/by/4.0/).
