Submitted:
30 October 2024
Posted:
31 October 2024
You are already at the latest version
Abstract
Keywords:
1. Introduction
- Section 2 outlines the adopted methodology, detailing the reference vehicles used in this study, the reference real driving cycle, the simulation tool utilized, the vehicle parameters under investigation, and a brief description of the simulations conducted;
- Section 3 presents the results of the study, and the considerations derived from them;
2. Materials and Methods
2.1. Reference Vehicles
2.2. Driving Cycle
- WLTC (Worldwide Harmonized Light-Duty Vehicles Test Cycle), class 3b, described in the WLTP (Worldwide Harmonized Light-Duty Vehicles Test Procedure) procedure [44];
- SFTP-US06, described in the “EPA Supplemental Federal Test Procedure” (SFTP) [45];
- FTP75 (EPA Federal Test Procedure) [46];
- HWFET (EPA Highway Fuel Economy Cycle);
- Japanese JC08 Emission Test Cycle [47], with a first additional phase equal to the phase corresponding to the last 172 seconds of the standard JC08 cycle itself;
- Artemis, Urban, Rural Road, and Motorway (130) Cycle [48].
2.3. Simulation Tool
2.4. Parameters of the Vehicle (and of Its Model) Which Can Affect the Lightweighting Results
- Battery pack parameters (nominal voltage, capacity, and internal resistance);
- Aerodynamic parameters;
- Transmission efficiency;
- Rolling resistance, in particular changing the rolling friction coefficient;
- Moments of inertia of the electric motor, of the rotating parts of the transmission, and of the wheels;
- Total transmission ratio (including wheel ratio given by the wheel radius);
2.5. Set of Simulations
- Battery pack parameters (nominal voltage, capacity, and internal resistance);
- Aerodynamics;
- Trasmission efficiency;
- Rolling friction coefficient;
- Moments of inertia (of motor, transmission, and wheels);
- All the previous parameters simultaneously;
- Motor reduction ratio, transmission ratio and wheel radii;
- All of the above parameters simultaneously.
3. Results
3.1. Consumption Analysis
3.2. Polynomial Interpolation and ERV Index
3.3. Comparison Between the Reference Real-World Driving Cycle and Standard Cycles
4. Discussion
5. Conclusions
Author Contributions
Funding
Data Availability Statement
Acknowledgments
Conflicts of Interest
Nomenclature
| Abbreviation | Description |
| Af | Frontal area of the vehicle |
| , , , | Coefficients of the polynomial |
| Cx | Longitudinal aerodynamic coefficient (drag) |
| DEM | Digital Elevation Model |
| EPA | U.S. Environmental Protection Agency |
| ERV | Energy Reduction Value |
| EV | Electric Vehicle |
| FRV | Fuel Reduction Value |
| FTP75 | Standard driving cycle (FTP75) described in the EPA Federal Test Procedure (FTP) |
| GPS | Global Position System |
| HWFET | EPA Highway Fuel Economy Cycle |
| JC08 | Japanese Emission Test Cycle |
| SFTP | EPA Supplemental Federal Test Procedure |
| SFTP-US06 | Standard driving cycle (US06) described in the EPA Supplemental Federal Test Procedure (SFTP) |
| TEST | Target-speed EV Simulation Tool |
| WLTC | Worldwide Harmonized Light-Duty Vehicles Test Cycle |
| WLTP | Worldwide Harmonized Light-Duty Vehicles Test Procedure |
| Vehicle weight (expressed in 100 kg) | |
| Polynomial interpolation function, energy consumption expressed in kWh/(100 km) |
References
- European Council; Council of the European Union Stricter CO2 Emission Standards for Cars and Vans Signed Off by the Council Available online: https://www.consilium.europa.eu/en/press/press-releases/2019/04/15/stricter-co2-emissionstandards-for-cars-and-vans-signed-off-by-the-council/ (accessed on 30 August 2022).
- European Law Brussels, 3 April 2019. PE-CONS 6/19. Regulation of the European Parliament and of the Council Setting CO2 Emission Performance Standards for New Passenger Cars and for New Light Commercial Vehicles, and Repealing Regulations (EC) No 443/2009 and (EU) No 510/2011 (Recast). Available online: https://data.consilium.europa.eu/doc/document/PE-6-2019 -INIT/en/pdf (accessed on 30 August 2022).
- European Parliament and Council of the European Union Ordinary Legislative Procedure 2021/0197(COD) Available online: https://oeil.secure.europarl.europa.eu/oeil/popups/ficheprocedure.do?reference=2021/0197(COD)&l=en (accessed on 8 January 2024).
- Ehsani, M.; Gao, Y.; Longo, S.; Ebrahimi, K. Modern Electric, Hybrid Electric, and Fuel Cell Vehicles. In; CRC Press, Taylor & Francis Group: Boca Raton, FL, USA, 2018; pp. 1–11.
- Lewis, G.M.; Buchanan, C.A.; Jhaveri, K.D.; Sullivan, J.L.; Kelly, J.C.; Das, S.; Taub, A.I.; Keoleian, G.A. Green Principles for Vehicle Lightweighting. Environ Sci Technol 2019, 53, 4063–4077. [CrossRef]
- Spreafico, C. Can Modified Components Make Cars Greener? A Life Cycle Assessment. J Clean Prod 2021, 307, 127190. [CrossRef]
- Koffler, C.; Rohde-Brandenburger, K. On the Calculation of Fuel Savings through Lightweight Design in Automotive Life Cycle Assessments. Int J Life Cycle Assess 2010, 15, 128–135. [CrossRef]
- Delogu, M.; Zanchi, L.; Dattilo, C.A.; Pierini, M. Innovative Composites and Hybrid Materials for Electric Vehicles Lightweight Design in a Sustainability Perspective. Mater Today Commun 2017, 13, 192–209. [CrossRef]
- MacKenzie, D.; Zoepf, S.; Heywood, J. Determinants of US Passenger Car Weight. International Journal of Vehicle Design 2014, 65, 73. [CrossRef]
- Kim, H.C.; Wallington, T.J. Life-Cycle Energy and Greenhouse Gas Emission Benefits of Lightweighting in Automobiles: Review and Harmonization. Environ Sci Technol 2013, 47, 6089–6097. [CrossRef]
- Helms, H.; Lambrecht, U. The Potential Contribution of Light-Weighting to Reduce Transport Energy Consumption. Int J Life Cycle Assess 2007, 12 (1), 58–64.
- Candela, A.; Sandrini, G.; Gadola, M.; Chindamo, D.; Magri, P. Lightweighting in the Automotive Industry as a Measure for Energy Efficiency: Review of the Main Materials and Methods. Heliyon 2024, 10, e29728. [CrossRef]
- Cheah, L.; Heywood, J. Meeting U.S. Passenger Vehicle Fuel Economy Standards in 2016 and Beyond. Energy Policy 2011, 39, 454–466. [CrossRef]
- Caffrey, C.; Bolon, K.; Kolwich, G.; Johnston, R.; Shaw, T. Cost-Effectiveness of a Lightweight Design for 2020-2025: An Assessment of a Light-Duty Pickup Truck. 2015. [CrossRef]
- Kollamthodi, S.; Kay, D.; Skinner, I.; Dun, C.; Hausberger, S. The Potential for Mass Reduction of Passenger Cars and Light Commercial Vehicles in Relation to Future CO2 Regulatory Requirements Available online: https://climate.ec.europa.eu/system/files/2016-11/ldv_downweighting_co2_report_en.pdf (accessed on 14 November 2022).
- Lutsey, N. Review of Technical Literature and Trends Related to Automobile Mass-Reduction Technology. In; Institute of Transportation Studies, University of California, Davis: Davis: CA, USA, 2010; Vol. UCD-ITS-RR-10-10, pp. 1–40.
- Giordano, G. Plastics Power a New Generation of Electric Vehicles. Plastics Engineering 2019, 75, 24–33. [CrossRef]
- Zecchi, L.; Sandrini, G.; Gadola, M.; Chindamo, D. Modeling of a Hybrid Fuel Cell Powertrain with Power Split Logic for Onboard Energy Management Using a Longitudinal Dynamics Simulation Tool. Energies (Basel) 2022, 15, 6228. [CrossRef]
- Sandrini, G.; Gadola, M.; Chindamo, D.; Zecchi, L. Model of a Hybrid Electric Vehicle Equipped with Solid Oxide Fuel Cells Powered by Biomethane. Energies (Basel) 2023, 16, 4918. [CrossRef]
- Sandrini, G.; Gadola, M.; Chindamo, D.; Magri, P. Application of Solid Oxide Fuel Cells on Hybrid Electric Vehicles Operating in Fleet. Transportation Research Procedia 2023, 70, 20–27. [CrossRef]
- Osborne, J. FEATURE: Light Speed—How Electric Cars Are Driving a New Wave of Lightweighting. Institution of Mechanical Engineers Available online: https://www.imeche.org/news/news-article/feature-light-speed-how-electric-cars-are-driving-a-new-wave-of-lightweighting (accessed on 14 November 2022).
- Sandrini, G.; Chindamo, D.; Gadola, M. Regenerative Braking Logic That Maximizes Energy Recovery Ensuring the Vehicle Stability. Energies (Basel) 2022, 15, 5846. [CrossRef]
- Sandrini, G.; Gadola, M.; Chindamo, D.; Magri, P. Efficient Regenerative Braking Strategy Aimed at Preserving Vehicle Stability by Preventing Wheel Locking. Transportation Research Procedia 2023, 70, 28–35. [CrossRef]
- Sandrini, G.; Có, B.; Tomasoni, G.; Gadola, M.; Chindamo, D. The Environmental Performance of Traction Batteries for Electric Vehicles from a Life Cycle Perspective. Environmental and Climate Technologies 2021, 25. [CrossRef]
- Sandrini, G.; Chindamo, D.; Gadola, M.; Candela, A.; Magri, P. Primary and Secondary Vehicle Lightweighting Achieved by Acting on the Battery Thermal Management System. In AVEC 2024, LNME; Mastinu, G., et al., Eds.; Springer, 2024; pp. 308–314.
- Sandrini, G.; Chindamo, D.; Gadola, M.; Candela, A.; Magri, P. Study of Different Thermal Management Systems for Traction Batteries to Obtain Vehicle Lightweighting. Heliyon. UNDER REVIEW.
- Kim, H.C.; Wallington, T.J.; Sullivan, J.L.; Keoleian, G.A. Life Cycle Assessment of Vehicle Lightweighting: Novel Mathematical Methods to Estimate Use-Phase Fuel Consumption. Environ Sci Technol 2015, 49, 10209–10216. [CrossRef]
- Del Pero, F.; Delogu, M.; Pierini, M. The Effect of Lightweighting in Automotive LCA Perspective: Estimation of Mass-Induced Fuel Consumption Reduction for Gasoline Turbocharged Vehicles. J Clean Prod 2017, 154, 566–577. [CrossRef]
- Delogu, M.; Del Pero, F.; Pierini, M. Lightweight Design Solutions in the Automotive Field: Environmental Modelling Based on Fuel Reduction Value Applied to Diesel Turbocharged Vehicles. Sustainability 2016, 8, 1167. [CrossRef]
- Kim, H.C.; Wallington, T.J. Life Cycle Assessment of Vehicle Lightweighting: A Physics-Based Model To Estimate Use-Phase Fuel Consumption of Electrified Vehicles. Environ Sci Technol 2016, 50, 11226–11233. [CrossRef]
- Del Pero, F.; Berzi, L.; Antonacci, A.; Delogu, M. Automotive Lightweight Design: Simulation Modeling of Mass-Related Consumption for Electric Vehicles. Machines 2020, 8, 51. [CrossRef]
- Sandrini, G.; Gadola, M.; Chindamo, D.; Candela, A.; Magri, P. Exploring the Impact of Vehicle Lightweighting in Terms of Energy Consumption: Analysis and Simulation. Energies (Basel) 2023, 16, 5157. [CrossRef]
- Pero, F. Del; Delogu, M.; Berzi, L.; Dattilo, C.A.; Zonfrillo, G.; Pierini, M. Sustainability Assessment for Different Design Solutions within the Automotive Field. Procedia Structural Integrity 2019, 24, 906–925. [CrossRef]
- Gebisa, A.; Gebresenbet, G.; Gopal, R.; Nallamothu, R.B. Driving Cycles for Estimating Vehicle Emission Levels and Energy Consumption. Future Transportation 2021, 1, 615–638. [CrossRef]
- Tzirakis, E.; Pitsas, K.; Zannikos, F.; Stournas, S. Vehicle Emissions and Driving Cycles: Comparison of the Athens Driving Cycle (ADC) with ECE-15 and European Driving Cycle (EDC). Global NEST Journal 2013, 8, 282–290. [CrossRef]
- Chindamo, D.; Gadola, M. What Is the Most Representative Standard Driving Cycle to Estimate Diesel Emissions of a Light Commercial Vehicle? IFAC-PapersOnLine 2018, 51, 73–78. [CrossRef]
- United Nations Consolidated Resolution on the Construction of Vehicles (R.E.3) Available online: https://unece.org/fileadmin/DAM/trans/main/wp29/wp29resolutions/ECE-TRANS-WP29-78-r2e.pdf (accessed on 23 February 2023).
- Sandrini, G.; Gadola, M.; Chindamo, D. Longitudinal Dynamics Simulation Tool for Hybrid Apu and Full Electric Vehicle. Energies (Basel) 2021, 14. [CrossRef]
- Electric Vehicle Database - Fiat 500e Hatchback 42 KWh Available online: https://ev-database.org/car/1285/Fiat-500e-Hatchback-42-kWh (accessed on 23 January 2023).
- FleetNews Electric Car and van Data - Fiat 500e Hatchback 42 KWh Price and Specifications. Available online: https://www.fleetnews.co.uk/electric-fleet/electric-car-and-van-data/fiat/500e-1285 (accessed on 23 January 2023).
- MoTeC ADL2 - Obsolete Available online: https://www.motec.com.au/products/ADL2%20-%20Obsolete?catId=51 (accessed on 26 September 2024).
- LOCOSYS Technology Inc. Datasheet of GPS Mouse, LS2303x Series Available online: https://www.locosystech.com/en/product/gps-mouse-ls2303x.html (accessed on 26 September 2024).
- GPS Visualizer Available online: https://www.gpsvisualizer.com/profile_input (accessed on 26 September 2024).
- European Parliament and Council COMMISSION REGULATION (EU) 2017/1151 Available online: https://eur-lex.europa.eu/legal-content/EN/TXT/?uri=CELEX:32017R1151 (accessed on 2 October 2024).
- EPA - United States Environmental Protection Agency EPA US06 or Supplemental Federal Test Procedure (SFTP) Available online: https://www.epa.gov/emission-standards-reference-guide/epa-us06-or-supplemental-federal-test-procedure-sftp (accessed on 23 February 2023).
- EPA - United States Environmental Protection Agency EPA Federal Test Procedure (FTP) Available online: https://www.epa.gov/emission-standards-reference-guide/epa-federal-test-procedure-ftp (accessed on 2 May 2023).
- Japan Inspection Organization - Certification and Inspection Agency in Japan Japanese JC08 Emission Test Cycle Available online: https://japaninspection.org/japanese-jc08-emission-test-cycle/ (accessed on 2 May 2023).
- IMEE STANDARDIZED DRIVE CYCLES Available online: https://imee.pl/pub/drive-cycles (accessed on 2 May 2023).
- Chindamo, D.; Gadola, M.; Romano, M. Simulation Tool for Optimization and Performance Prediction of a Generic Hybrid Electric Series Powertrain. International Journal of Automotive Technology 2014, 15, 135–144. [CrossRef]
- Chindamo, D.; Economou, J.T.; Gadola, M.; Knowles, K. A Neurofuzzy-Controlled Power Management Strategy for a Series Hybrid Electric Vehicle. Proceedings of the Institution of Mechanical Engineers, Part D: Journal of Automobile Engineering 2014, 228, 1034–1050. [CrossRef]


















| Analyzed Parameters | Compact Car Value | N1 Value |
|---|---|---|
| Transmission efficiency | 1 | 0.9409 |
| Af ∙ Cx * | 1.034 m2 | 2.1 m2 |
| Vertical aerodynamic coefficient | −0.026 m2 | 0 |
| Rolling friction coefficient | 0.01 | 0.015 |
| Total gear ratio | 9.6 | 6.22 |
| Front wheel radius | 0.2987 m | 0.35 m |
| Rear wheel radius | 0.3005 m | 0.35 m |
| Moment of inertia of each wheel | 0.882 kg m2 | 1.09 kg m2 |
| Moment of inertia of the motor | 0.02 kg m2 | 0.086 kg m2 |
| Moment of inertia of the transmission | 0.0001 kg m2 | 0.01 kg m2 |
| Battery capacity | 42 kWh (105 Ah) | 120 Ah |
| Number of battery cells in series | 96 | 108 |
| Number of battery cells in parallel | 2 | 1 |
| Nominal battery pack voltage | 400.0 V | 356.1 V |
| Internal resistance of the battery pack | 0.086 Ω | 0.097 Ω |
| Vehicle Model | Model description |
|
|
|---|---|---|---|
| N1 | N1 model | 1.368 | 15.592 |
|
N1— NO inertias |
N1 model without inertia contributions | 1.365 | 15.201 |
| CompactCar | Compact car model | 1.141 | 9.782 |
|
CompactCar— NO inertias |
Compact car model without inertia contributions | 1.141 | 9.406 |
|
CompactCar— N1 battery pack |
Compact car model with the N1 battery pack on board | 1.172 | 9.633 |
|
CompactCar— N1 aerodynamics |
Compact car model with the aerodynamic coefficients of the N1 vehicle | 1.109 | 15.149 |
|
CompactCar— N1 transmission efficiency |
Compact car model with the transmission efficiency equal to that of the N1 vehicle | 1.211 | 10.110 |
|
CompactCar— N1 rolling resistance |
Compact car model with the rolling resistance coefficient equal to that of the N1 vehicle | 1.250 | 9.875 |
|
CompactCar— N1 values |
Compact car model compact car with all the above-mentioned parameters equal to those of the N1 vehicle | 1.339 | 15.862 |
|
CompactCar— N1 inertias |
Compact car model with the same moments of inertia as vehicle N1 | 1.141 | 10.345 |
|
CompactCar— N1 values (also inertia) |
Compact car model compact car with all the above-mentioned parameters (also moments of inertia) equal to those of the N1 vehicle | 1.342 | 16.385 |
|
CompactCar— N1 traction ratios |
Compact car model with the transmission ratios and wheel radii of the N1 vehicle | 1.119 | 9.832 |
|
CompactCar— N1 inertias and traction ratios |
Compact car model with the moments of inertia, the transmission ratios and wheel radii of the N1 vehicle | 1.118 | 10.031 |
|
CompactCar— N1 values (all) |
Compact car model compact car with all the above-mentioned parameters equal to those of the N1 vehicle, including moments of inertia, traction ratios, and wheel radii | 1.303 | 16.209 |
| Driving Cycle |
|
|
|---|---|---|
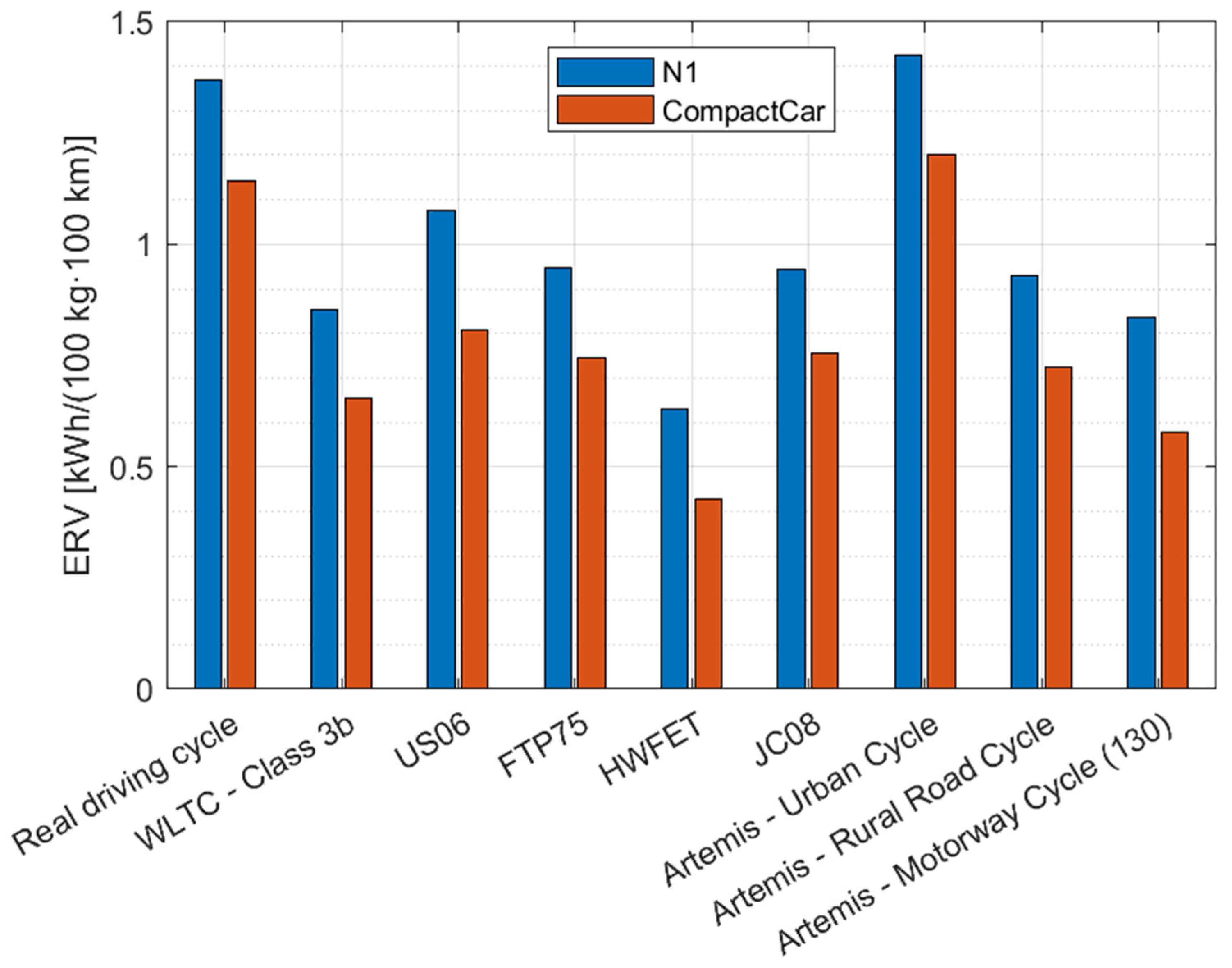
| Reference real driving cycle | 1.368 | 15.592 |
| WLTC—Class 3b | 0.852 | 25.995 |
| US06 | 1.077 | 34.562 |
| FTP75 | 0.946 | 15.229 |
| HWFET | 0.630 | 24.647 |
| JC08 | 0.944 | 15.362 |
| Artemis — Urban Cycle | 1.426 | 13.082 |
| Artemis — Rural Road Cycle | 0.929 | 18.344 |
| Artemis — Motorway Cycle (130) | 0.835 | 44.654 |
| Driving Cycle |
|
|
|---|---|---|
| Reference real driving cycle | 1.141 | 9.782 |
| WLTC—Class 3b | 0.654 | 13.488 |
| US06 | 0.809 | 16.549 |
| FTP75 | 0.746 | 9.742 |
| HWFET | 0.426 | 12.370 |
| JC08 | 0.754 | 10.114 |
| Artemis — Urban Cycle | 1.203 | 11.528 |
| Artemis — Rural Road Cycle | 0.723 | 9.709 |
| Artemis — Motorway Cycle (130) | 0.482 | 21.253 |
Disclaimer/Publisher’s Note: The statements, opinions and data contained in all publications are solely those of the individual author(s) and contributor(s) and not of MDPI and/or the editor(s). MDPI and/or the editor(s) disclaim responsibility for any injury to people or property resulting from any ideas, methods, instructions or products referred to in the content. |
© 2024 by the authors. Licensee MDPI, Basel, Switzerland. This article is an open access article distributed under the terms and conditions of the Creative Commons Attribution (CC BY) license (http://creativecommons.org/licenses/by/4.0/).