Submitted:
29 October 2024
Posted:
30 October 2024
You are already at the latest version
Abstract
Keywords:
1. Introduction
- Sensing Module: It contains appropriate sensors that are able to monitor ambient conditions.
- Processing Module: It typically contains a microcontroller or microprocessor and may also comprise additional memory and processing units. The processing unit plays a critical role in handling the data collected by the sensing unit and controlling the data storage and/or transmission.
- Communication Module: It is responsible for establishing and maintaining communication between the sensor node and other sensor nodes and/or a BS.
- Power Module: This module refers to the energy source that provides the necessary electrical power to the sensor node. Since sensor nodes in WSNs are often deployed in remote or generally difficult to approach locations, they must rely on self-contained power sources. Typically, this component is a battery.
2. LEACH Protocol
3. LEACH-Based Energy Efficient Routing Protocols
4. Threshold LEACH with Sleep-Awake Scheduling Protocol
4.1. Overview of T-LEACHSAS Operation
4.2. Overview of T-LEACHSAS Architecture
-
Network initialization module
- i.
- Objective: Establishment of the initial state and parameters of the network.
- ii.
- Components:
- o
- Node initialization: Assignment of initial energy to each sensor node;
- o
- Threshold Configuration: Definition of thresholds for data transmission;
-
Round management module
- i.
- Objective: Network operation management in rounds, each of one consisting of multiple phases.
- ii.
- Components:
- o
- Round scheduler: Triggering of the start of a new round and management of its progression.
- o
- Cluster Management: Activation of the processes for cluster formation and cluster head selection.
- o
- Schedule Management: Supervisory control of the creation and distribution of sleep-awake schedules.
-
Cluster formation module
- i.
- Objective: Organization of network nodes into clusters with designated cluster heads.
- ii.
- Components:
- o
- Cluster head selection algorithm: Definition of which nodes will become cluster heads based on their remaining energy.
- o
- Cluster assignment: Allocation of non-cluster head nodes to their relative cluster heads.
- o
- Advertisement Mechanism: Management of the messages that cluster heads broadcast in order to notify their status to other nodes.
-
Sleep-awake schedule module
- i.
- Objective: Optimization of energy consumption by controlling when nodes are active (awake module).
- ii.
- Components:
- o
- Schedule creator: Schedule creation by cluster heads dictating when their member nodes should be awake to measure and transmit data and when they should be asleep.
- o
- Schedule distributor: Distribution of the sleep-awake schedule by cluster heads the to their cluster members.
-
Data transmission module
- i.
- Objective: Handling of data sensing, processing, and transmission.
- ii.
- Components:
- o
- Threshold Checker: Checking of whether the value of sensed data exceeds or not the pre-defined threshold.
- o
- Transmission Controller: Management of data transmission from nodes to their relative cluster heads, and sleep-awake status of nodes based on the sleep-awake schedule and threshold check.
-
Data aggregation and communication module
- i.
- Objective: Data aggregation in cluster heads and communication with the base station.
- ii.
- Components:
- o
- Data Aggregator: Aggregation of data transmitted from nodes to their cluster heads in order to eliminate redundancies.
- o
- BS Communicator: Transmission of aggregated data from cluster heads to the base station.
-
Energy management module
- i.
- Objective: Monitoring and management of the energy consumption of nodes.
- ii.
- Components:
- o
- Energy tracker: Tracking of energy consumption for all activities of nodes.
- o
- Low Energy Detector: Detection of nodes having low or zero residual energy.
-
Network monitoring & maintenance module
- i.
- Objective: Evaluation of the ongoing well-being and efficiency of the network.
- ii.
- Components:
- o
- Performance Monitor: Collection and analysis of network performance metrics.
- o
- Visualization Tools: Visual representation of the performance of the network.
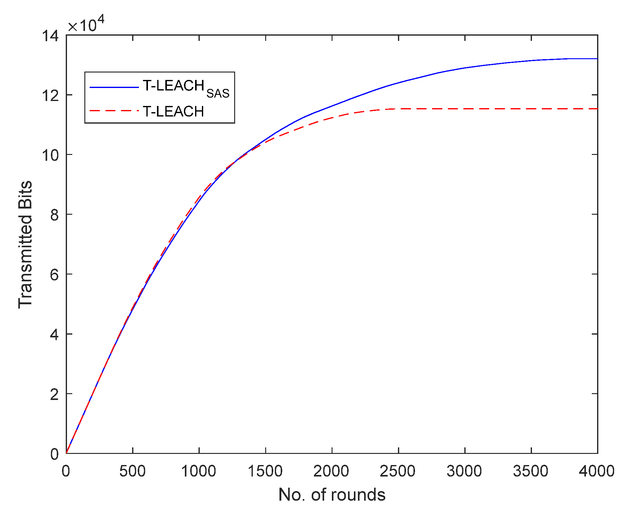
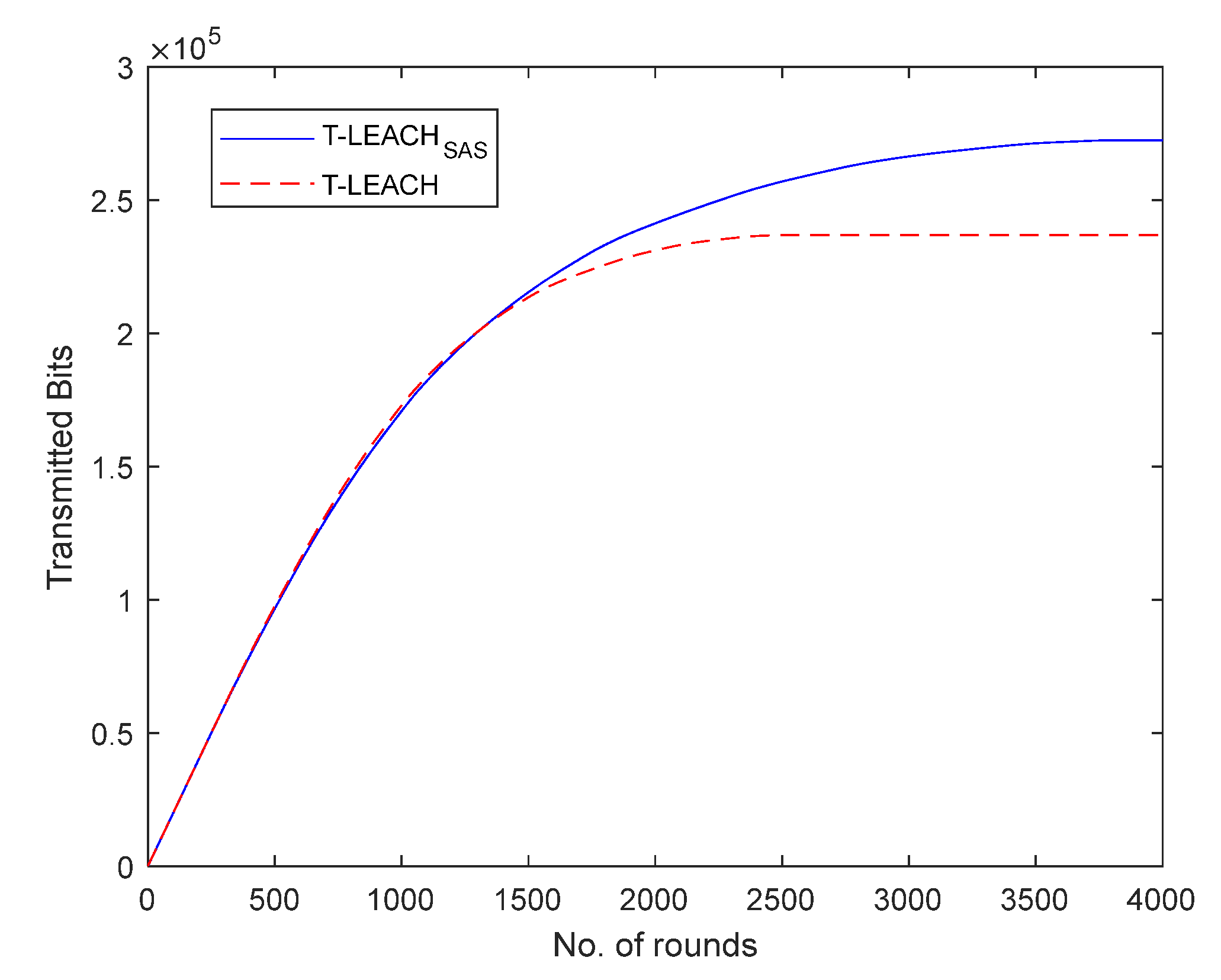
5. Comparative Performance Evaluation
6. Conclusions
Author Contributions
Funding
Conflicts of Interest
References
- Akyildiz, I.F.; Su, W.; Sankarasubramaniam, Y.; Cayirci, E. Wireless Sensor Networks: A Survey. Comput. Netw. 2002, 38, 393–422. [Google Scholar] [CrossRef]
- Wang, Q.; Balasingham, I. Wireless sensor networks-an Introduction. In Wireless Sensor Networks: Application-Centric Design; InTechOpen: London, UK, 2010; pp. 1–14. [Google Scholar]
- Yick, J.; Mukherjee, B.; Ghosal, D. Wireless Sensor Network Survey. Comput. Netw. 2008, 52, 2292–2330. [Google Scholar] [CrossRef]
- Kandris, D.; Nakas, C.; Vomvas, D.; Koulouras, G. Applications of Wireless Sensor Networks: An Up-To-Date Survey. Appl. Syst. Innov. 2020, 3, 14. [Google Scholar] [CrossRef]
- Kafi, M. A.; Challal, Y.; Djenouri, D.; Doudou, M.; Bouabdallah, A.; Badache, N. A Study of Wireless Sensor Networks for Urban Traffic Monitoring: Applications and Architectures. Procedia Computer Science 2013, 19, 617–626. [Google Scholar] [CrossRef]
- Papadakis, N.; Koukoulas, N.; Christakis, I.; Stavrakas, I.; Kandris, D. An IoT-Based Participatory Antitheft System for Public Safety Enhancement in Smart Cities. Smart Cities 2021, 4, 919–937. [Google Scholar] [CrossRef]
- Sunehra, D.; Rajasri, S. Automatic Street Light Control System Using Wireless Sensor Networks. 2017 IEEE International Conference on Power, Control, Signals and Instrumentation Engineering (ICPCSI), 2017. [Google Scholar] [CrossRef]
- Noel, A.; Abderrazak, Abdaoui; Tarek, Elfouly; Ahmed, M. H.; Badawy, A.; Shehata, M. Structural Health Monitoring Using Wireless Sensor Networks: A Comprehensive Survey. IEEE Communications Surveys and Tutorials 2017, 19, 1403–1423. [Google Scholar] [CrossRef]
- Orfanos, V. A.; Kaminaris, S. D.; Papageorgas, P.; Piromalis, D.; Kandris, D. A Comprehensive Review of IoT Networking Technologies for Smart Home Automation Applications. Journal of Sensor and Actuator Networks 2023, 12. [Google Scholar] [CrossRef]
- Benyezza, H.; Bouhedda, M.; Kara, R.; Rebouh, S. Smart Platform Based on IoT and WSN for Monitoring and Control of a Greenhouse in the Context of Precision Agriculture. Internet of Things 2023, 23, 100830. [Google Scholar] [CrossRef]
- Nikolidakis, S.A.; Kandris, D.; Vergados, D.D.; Douligeris, C. Energy efficient automated control of irrigation in agriculture by using wireless sensor networks. Comput. Electron. Agric. 2015, 113, 154–163. [Google Scholar] [CrossRef]
- Arshad, J.; Siddiqui, T. A.; Sheikh, M. I.; Waseem, M. S.; Nawaz, M. A. B.; Eldin, E. T.; Rehman, A. U. Deployment of an Intelligent and Secure Cattle Health Monitoring System. Egyptian Informatics Journal 2023, 24, 265–275. [Google Scholar] [CrossRef]
- Bouazizi, A.; Zaibi, G.; Samet, M.; Kachouri, A. Wireless Body Area Network for e-Health Applications: Overview. In Proceedings of the 2017 International Conference on Smart, Monitored and Controlled Cities (SM2C,), Sfax, Tunisia, 17-19 February 2017; pp. 64–68. [Google Scholar]
- Jabeen, T.; Jabeen, I.; Ashraf, H.; Jhanjhi, N. Z.; Yassine, A.; Hossain, M. S. An Intelligent Healthcare System Using IoT in Wireless Sensor Network. Sensors 2023, 23(11), 5055. [Google Scholar] [CrossRef] [PubMed]
- Majid, M.; Habib, S.; Javed, A. R.; Rizwan, M.; Srivastava, G.; Gadekallu, T. R.; Lin, J. C.-W. Applications of Wireless Sensor Networks and Internet of Things Frameworks in the Industry Revolution 4.0: A Systematic Literature Review. Sensors 2022, 22. [Google Scholar] [CrossRef]
- Jiang, J.; Wang, H.; Mu, X.; Guan, S. Logistics Industry Monitoring System Based on Wireless Sensor Network Platform. Computer Communications 2020, 155, 58–65. [Google Scholar] [CrossRef]
- Kim, D.-S.; Tran-Dang, H. Wireless Sensor Networks for Industrial Applications. Computer communications and networks 2018, 127–140. [Google Scholar] [CrossRef]
- Christakis, I.; Tsakiridis, O.; Kandris, D.; Stavrakas, I. Air Pollution Monitoring via Wireless Sensor Networks: The Investigation and Correction of the Aging Behavior of Electrochemical Gaseous Pollutant Sensors. Electronics 2023, 12. [Google Scholar] [CrossRef]
- Pantazis, N.A.; Nikolidakis, S.A.; Kandris, D.; Vergados, D.D. An Automated System for Integrated Service Management in Emergency Situations. In Proceedings of the 2011 15th Panhellenic Conference on Informatics, Kastonia, Greece, 30 September-2 October 2011; pp. 154–157. [Google Scholar]
- Đurišić, M.P.; Tafa, Z.; Dimić, G.; Milutinović, V. A Survey of military applications of wireless sensor networks. In Proceedings of the 2012 Mediterranean Conference on Embedded Computing (MECO), Bar, Montenegro, 19–21 June 2012; pp. 196–199. [Google Scholar]
- Kandris, D.; Anastasiadis, E. Advanced Wireless Sensor Networks: Applications, Challenges and Research Trends. Electronics 2024, 13, 2268. [Google Scholar] [CrossRef]
- Kandris, D.; Alexandridis, A.; Dagiuklas, T.; Panaousis, E.; Vergados, D. D. Multiobjective Optimization Algorithms for Wireless Sensor Networks. Wireless Communications and Mobile Computing 2020, 2020, 1–5. [Google Scholar] [CrossRef]
- Ploumis, S. E., Sgora, A., Kandris, D., & Vergados, D. D. (2012, October). Congestion avoidance in wireless sensor networks: A survey. In Proceedings of the 16th Panhellenic Conference on Informatics (PCI 2012), Piraeus, Greece, 5-7 October 2012; pp. 234-239. [CrossRef]
- Kandris, D.; Tselikis, G.; Anastasiadis, E.; Panaousis, E.; Dagiuklas, T. COALA: A Protocol for the Avoidance and Alleviation of Congestion in Wireless Sensor Networks. Sensors 2017, 17. [Google Scholar] [CrossRef] [PubMed]
- Kandris, D.; Vergados, D.J.; Vergados, D.D.; Tzes, A. A routing scheme for congestion avoidance in wireless sensor networks. In Proceedings of the 6th Annual IEEE Conference on Automation Science and Engineering (CASE 2010), Toronto, ON, Canada, 21–24 August 2010; pp. 21–24. [Google Scholar]
- Bohloulzadeh, A.; Rajaei, M. A Survey on Congestion Control Protocols in Wireless Sensor Networks. International Journal of Wireless Information Networks 2020. [Google Scholar] [CrossRef]
- Tripathi, A.; Gupta, H. P.; Dutta, T.; Mishra, R.; Shukla, K. K.; Jit, S. Coverage and Connectivity in WSNs: A Survey, Research Issues and Challenges. IEEE Access 2018, 6, 26971–26992. [Google Scholar] [CrossRef]
- Farsi, M.; Elhosseini, M. A.; Badawy, M.; Arafat Ali, H.; Zain Eldin, H. Deployment Techniques in Wireless Sensor Networks, Coverage and Connectivity: A Survey. IEEE Access 2019, 7, 28940–28954. [Google Scholar] [CrossRef]
- Tarnaris, K.; Preka, I.; Kandris, D.; Alexandridis, A. Coverage and K-Coverage Optimization in Wireless Sensor Networks Using Computational Intelligence Methods: A Comparative Study. Electronics 2020, 9. [Google Scholar] [CrossRef]
- Vikas; Sagar, B. B.; Munjul, M. Security Issues in Wireless Sensor Network – a Survey. Journal of Discrete Mathematical Sciences and Cryptography 2021, 24, 1415–1427. [CrossRef]
- Yu, J.-Y.; Lee, E.; Oh, S.-R.; Seo, Y.-D.; Kim, Y.-G. A Survey on Security Requirements for WSNs: Focusing on the Characteristics Related to Security. IEEE Access 2020, 8, 45304–45324. [Google Scholar] [CrossRef]
- Shanmugapriya, T.; Kousalya, K.; Rajeshkumar, J.; Nandhini, M. Wireless Sensor Networks Security Issues, Attacks and Challenges: A Survey. In Proceeding of the International Conference on Computer Networks, Big Data and IoT (ICCBI - 2019) 2020, 1–12. [CrossRef]
- Nikolakopoulos, G.; Kandris, D.; Tzes, A. Adaptive Compression of Slowly Varying Images Transmitted over Wireless Sensor Networks. Sensors 2010, 10, 7170–7191. [Google Scholar] [CrossRef]
- Dionisis, Kandris; Michail, Tsagkaropoulos; Politis, I.; Tzes, A. Dionisis Kandris; Michail Tsagkaropoulos; Politis, I.; Tzes, A.; Stavros Kotsopoulos. A Hybrid Scheme for Video Transmission over Wireless Multimedia Sensor Networks. 2009. [CrossRef]
- Nikolakopoulos, G.; Kandris, D.; Tzes, A. Adaptive Compression of Slowly Varying Images Transmitted over Wireless Sensor Networks. Sensors 2010, 10, 7170–7191. [Google Scholar] [CrossRef] [PubMed]
- Muhammad Noman Hayat; Khan, H.; Iqbal, Z.; Zia Ur Rahman; Tahir, M. Multimedia Sensor Networks: Recent Trends, Research Challenges and Future Directions. 2017. [CrossRef]
- Nikolakopoulos, G.; Stavrou, P.; Tsitsipis, D.; Kandris, D.; Tzes, A.; Theocharis, T. A Dual Scheme for Compression and Restoration of Sequentially Transmitted Images over Wireless Sensor Networks. Ad Hoc Networks 2013, 11, 410–426. [Google Scholar] [CrossRef]
- Evangelakos, E.A.; Kandris, D.; Rountos, D.; Tselikis, G.; Anastasiadis, E. Energy Sustainability in Wireless Sensor Networks: An Analytical Survey. J. Low Power Electron. Appl. 2022, 12, 65. [Google Scholar] [CrossRef]
- Rezaei, Z. Energy Saving in Wireless Sensor Networks. Int. J. Comput. Sci. Eng. Surv. 2012, 3, 23–37. [Google Scholar] [CrossRef]
- Engmann, F.; Katsriku, F.A.; Abdulai, J.-D.; Adu-Manu, K.S.; Banaseka, F.K. Prolonging the Lifetime of Wireless Sensor Networks: A Review of Current Techniques. Wirel. Commun. Mob. Comput. 2018, 2018, 8035065. [Google Scholar] [CrossRef]
- Rault, T.; Bouabdallah, A.; Challal, Y. Energy Efficiency in Wireless Sensor Networks: A Top-down Survey. Comput. Netw. 2014, 67, 104–122. [Google Scholar] [CrossRef]
- Khan, J.A.; Qureshi, H.K.; Iqbal, A. Energy Management in Wireless Sensor Networks: A Survey. Comput. Electr. Eng. 2015, 41, 159–176. [Google Scholar] [CrossRef]
- Anastasi, G.; Conti, M.; Di Francesco, M.; Passarella, A. Energy Conservation in Wireless Sensor Networks: A Survey. Ad Hoc Netw. 2009, 7, 537–568. [Google Scholar] [CrossRef]
- Patel, H.; Shah, V. A review on energy consumption and conservation techniques for sensor node in WSN. In Proceedings of the IEEE 2016 International Conference on Signal Processing, Communication, Power and Embedded System (SCOPES), Paralakhemundi, India, 3–5 October 2016; pp. 594–599. [Google Scholar]
- Stankovic, J.A.; He, T. Energy Management in Sensor Networks. Philos. Trans. R. Soc. A Math. Phys. Eng. Sci. 2012, 370, 52–67. [Google Scholar] [CrossRef]
- Kandris, D.; Tsioumas, P.; Tzes, A.; Nikolakopoulos, G.; Vergados, D. Power Conservation through Energy Efficient Routing in Wireless Sensor Networks. Sensors 2009, 9, 7320–7342. [Google Scholar] [CrossRef]
- Nakas, C.; Kandris, D.; Visvardis, G. Energy Efficient Routing in Wireless Sensor Networks: A Comprehensive Survey. Algorithms 2020, 13, 72. [Google Scholar] [CrossRef]
- Pantazis, N. A.; Nikolidakis, S. A.; Vergados, D. D. Energy-Efficient Routing Protocols in Wireless Sensor Networks: A Survey. IEEE Communications Surveys Tutorials 2013, 15, 551–591. [Google Scholar] [CrossRef]
- Kandris, D.; Tsioumas, P.; Tzes, A.; Pantazis, N.; Vergados, D. D. Hierarchical energy efficient routing in Wireless Sensor Networks. In Proceedings of the 16th Mediterranean Conference on Control and Automation, Ajaccio, France, 25-27 June 2008; pp. 1856–1861. [Google Scholar] [CrossRef]
- Xin, H.; Liu, X. Energy-Balanced Transmission with Accurate Distances for Strip-Based Wireless Sensor Networks. IEEE access 2017, 5, 16193–16204. [Google Scholar] [CrossRef]
- Heinzelman, W. R.; Chandrakasan, A.; Balakrishnan, H. Energy-efficient communication protocol for wireless microsensor networks. In Proceedings of the 33rd Annual Hawaii International Conference on System Sciences, Maui, USA, January 4–7, 2000; pp. 1–10. [Google Scholar] [CrossRef]
- Singh, S. K.; Kumar, P.; Singh, J. P. A Survey on Successors of LEACH Protocol. IEEE Access 2017, 5, 4298–4328. [Google Scholar] [CrossRef]
- Kandris, D.; Evangelakos, E. A.; Rountos, D.; Tselikis, G.; Anastasiadis, E. LEACH-Based Hierarchical Energy Efficient Routing in Wireless Sensor Networks. AEU - International Journal of Electronics and Communications 2023, 169, 154758. [Google Scholar] [CrossRef]
- Mahapatra, R. P.; Yadav, R. K. Descendant of LEACH Based Routing Protocols in Wireless Sensor Networks. Procedia Computer Science 2015, 57, 1005–1014. [Google Scholar] [CrossRef]
- Rountos, D.; Kandris, D.; Evangelakos, E. A.; Tselikis, G. Energy efficient routing in wireless sensor networks: A comparative study on leach protocol and its successors. Proceedings of 2022 Panhellenic Conference on Electronics & Telecommunications (PACET), Tripolis, Greece, 2-3 December 2022; pp. 1–6. [Google Scholar] [CrossRef]
- Daanoune, I.; Abdennaceur, B.; Ballouk, A. A Comprehensive Survey on LEACH-Based Clustering Routing Protocols in Wireless Sensor Networks. Ad Hoc Networks 2021, 114, 102409. [Google Scholar] [CrossRef]
- Liu, X. A Survey on Clustering Routing Protocols in Wireless Sensor Networks. Sensors 2012, 12, 11113–11153. [Google Scholar] [CrossRef] [PubMed]
- Qubbaj, N. N. A.; Taleb, A. A.; Salameh, W. LEACH Based Protocols: A Survey. Advances in Science, Technology and Engineering Systems Journal 2020, 5, 1258–1266. [Google Scholar] [CrossRef]
- Hong, J.; Kook, J.; Lee, S.-J.; Kwon, D.; Yi, S. T-LEACH: The Method of Threshold-Based Cluster Head Replacement for Wireless Sensor Networks. Information Systems Frontiers 2009, 11, 513–521. [Google Scholar] [CrossRef]
- Tong, M.; Tang, M. LEACH-B: an improved LEACH protocol for wireless sensor network. Proceedings of 2010 6th International Conference on Wireless Communications Networking and Mobile computing (WiCOM), Chengdu, China, 23-25 September 2010; pp. 1–4. [Google Scholar] [CrossRef]
- Heinzelman, W. B.; Chandrakasan, A. P.; Balakrishnan, H. An Application-Specific Protocol Architecture for Wireless Microsensor Networks. IEEE Transactions on Wireless Communications 2002, 1, 660–670. [Google Scholar] [CrossRef]
- Tripathi, M.; Battula, R. B.; Gaur M., S.; Laxmi, V. Energy efficient clustered routing for wireless sensor network. Proceedings of 2013 IEEE 9th International Conference on Mobile Ad-hoc and Sensor Networks (MSN), Dalian, Liaoning, China, 1-13 Dec. 2013; pp. 330–335. [Google Scholar] [CrossRef]
- Liu, Y.; Xu, K.; Luo, Z.; Chen, L. A reliable clustering algorithm base on LEACH protocol in wireless mobile sensor networks. Proceedings of 2010 International Conference on Mechanical and Electrical Technology, Singapore, 10-12 September, 2010; pp. 692–696. [Google Scholar] [CrossRef]
- Shang, F.; Lei, Y. An Energy-Balanced Clustering Routing Algorithm for Wireless Sensor Network. Wireless Sensor Network 2010, 02, 777–783. [Google Scholar] [CrossRef]
- Loscri, V.; Morabito, G.; Marano, S. A Two-Levels Hierarchy for Low-Energy Adaptive Clustering Hierarchy (TL-LEACH). 2006. [CrossRef]
- Beiranvand, Z.; Patooghy, A.; Fazeli, M. I-LEACH: An Efficient Routing Algorithm to Improve Performance & to Reduce Energy Consumption in Wireless Sensor Networks. In Proceedings of the 5th Conference on Information and Knowledge Technology, Shiraz, Iran, 28–30 May 2013. [Google Scholar] [CrossRef]
- Nikolidakis, S.; Kandris, D.; Vergados, D.; Douligeris, C. Energy Efficient Routing in Wireless Sensor Networks through Balanced Clustering. Algorithms 2013, 6, 29–42. [Google Scholar] [CrossRef]
- Tyagi, S.; Gupta, S.K.; Tanwar, S.; Kumar, N. EHE-LEACH: Enhanced Heterogeneous LEACH Protocol for Lifetime Enhancement of Wireless SNs. In Proceedings of the 2013 International Conference on Advances in Computing, Communications and Informatics (ICACCI), Mysore, India, 22–25 August 2013. [Google Scholar] [CrossRef]
- Lee, J.S.; Cheng, W.L. Fuzzy-Logic based Clustering Approach for Wireless Sensor Networks Using Energy Predication. IEEE Sens. J. 2012, 12, 2891–2897. [Google Scholar] [CrossRef]
- Jerbi, W.; Guermazi, A. ; Trabelsi, H, O-LEACH of routing protocol for wireless sensor networks. In Proceedings of the 13th International Conference on Computer Graphics, Imaging and Visualization (CGiV), Beni Mellal, Morocco, 29 March -1 April 2016; pp. 399–404. [Google Scholar] [CrossRef]
- Manzoor, B.; Javaid, N.; Rehman, O.; Akbar, M.; Nadeem, Q.; Iqbal, A.; Ishfaq, M. Q-LEACH: A New Routing Protocol for WSNs. Procedia Comput. Sci. 2013, 19, 926–931. [Google Scholar] [CrossRef]
- Farooq, M. O.; Dogar, A. B.; Shah, G. A. MR-LEACH: Multi-hop Routing with Low Energy Adaptive Clustering Hierarchy. In Proceedings of the 4th International Conference on Sensor Technologies and Applications, Venice, Italy, 18-25 July 2010; pp. 262–268. [Google Scholar] [CrossRef]













Disclaimer/Publisher’s Note: The statements, opinions and data contained in all publications are solely those of the individual author(s) and contributor(s) and not of MDPI and/or the editor(s). MDPI and/or the editor(s) disclaim responsibility for any injury to people or property resulting from any ideas, methods, instructions or products referred to in the content. |
© 2024 by the authors. Licensee MDPI, Basel, Switzerland. This article is an open access article distributed under the terms and conditions of the Creative Commons Attribution (CC BY) license (http://creativecommons.org/licenses/by/4.0/).