Preprint
Article

This version is not peer-reviewed.

Evaluating Traffic Efficiency and Safety of Mixed Human-driven and Connected Automated Vehicles for the Freeway Hard Shoulder Running Strategy

A peer-reviewed article of this preprint also exists.

Submitted:

12 October 2024

Posted:

14 October 2024

You are already at the latest version

Abstract
Most existing the freeway hard shoulder running (HSR) strategy literature only focuses on the traffic flow with human-driven vehicles (HDVs) but neglects the possible impacts of connected automated vehicles (CAVs) with various penetration rates on the macroscopic traffic flow. The purpose of this paper is to detect whether the effects of mixed traffic flow for the freeway HSR strategy differ the traditional traffic flow or not. An approach based on microscopic simulation with factorial experimental design is adopted in this study, and novel results are obtained from the discussion and statistical analyses of simulation results. The results showed that the penetration rates of CAVs have a positive influence both on the traffic efficiency and safety on freeway HSR regardless of the prevailing traffic flow conditions. Furthermore, the implementation of the HSR strategy has the potential to markedly enhance traffic efficiency across a range of varying traffic demands. However, different speed limits for the HSR can lead to varying degrees of efficiency improvement under different traffic demands. Finally, we find a complex interplay between traffic flow conditions and the impact of HSR on TTC values and overall traffic safety.
Keywords: 
;  ;  ;  

1. Introduction

Hard shoulder running (HSR) is considered as one of most important measures of active traffic management strategy to optimize the utilization of the freeway during high congestion periods [1,2,3]. By providing the existing road shoulder to drive on, HSR is more economically efficient to increase freeway capacity than the traditional methods (such as building more roads or constructing more lanes, etc) [4,5]. At present, HSR has received enhanced understanding from a wide range of fields. Cohen analyzed the implementation of shoulder use during peak hours on a section of the A86 highway in northern Paris and found that the road capacity increased by 16% and the speed increased by 25% compared to the state without shoulder opening [6]. Middelham pointed out the temporary use of shoulders can significantly alleviate traffic congestion when the control measures such as lower speed limits and prohibitions on overtaking are implemented [7]. Farrag et al. provide a simulation-based methodological framework to evaluate the effects of HSR on congested freeways under non-recurring congestion [8]. Some literatures also analysized the relationship between the implementation of HSR and road safety [9,10]. Kononov et al. revealed that while the accident rate remained unchanged when the flow rate of the road segment increased within a certain range due to shoulder opening, it would significantly increase when the speed and density exceeded certain thresholds [11]. Ma et al. found that opening shoulders was applicable in cases of accidents involving only property damage, and that the road flow could be increased by 15% to 40% after opening the shoulders [12]. Previous studies focus on HSR with traffic flow including human-driven vehicles (HDVs) only.
More recently, benefiting from advanced information and communications technology (ICT) and on-board sensors, the connected and automated vehicles (CAVs) industry has made a great progress [13,14,15]. The freeway will gradually witness the transformation of traffic flow from purely HDVs to fully CAVs. During the evolutionary period of time, CAVs will cohabit with HDVs in mixed traffic flows [16,17]. The characteristics of such mixed traffic flows are supposed to be quite different from the regular ones that HDVs only [18,19]. Yao et al. proposed a hidden Markov model-based dynamic hard shoulder opening strategy in a hybrid network environment to reduce the impact of the dynamic penetration rate [20]. Shladover et al. [21] and Calvert et al. [22] used microscopic simulation to estimate the effect on highway capacity of varying market penetrations of CAVs and concluded that the freeway capacity will be increased greatly after the market penetration of CAVs reached moderate to high percentages; otherwise, the existence of CAVs might lead to negligible influence. For the safety aspect, Yao et al. [23] found that when the penetration rate exceeds 50%, the increase of CAVs vehicles reduces traffic safety risks significantly. However, few studies systematically examine the impact of mix traffic flow with various penetration rates to the HSR on freeway.
In this article, we adopted a microscopic simulation with factorial experimental design to detect the impact of mixed traffic flow on freeway HSR. First, we depict the characteristics of the traffic efficiency and safety of pure HDVs under various levels of service after the HSR activated. Then, the patterns of the mix traffic flow with various penetration rate also recorded under the same simulated conditions. Finally, according to statistical analyses of simulation results, the novel results are obtained.
The paper is organized as follows. Section 2 introduces experimental design, including collecting data for the experiment analysis, simulation method and parameters, traffic efficiency and safety metrics and the design of the simulation scenarios. Section 3 shows the results of scenarios. Finally, a wide discussion and conclusions are given in Section 4.

2. Materials and Methods

2.1. Data and study area

As shown in Figure 1, we select a realistic scenario which located in Yinbai Expressway (G69) Fuling East interchange section. The study road section is about 1.43 km with two main lanes and one hard shoulder. The maximum speed limit on this road is 120km/h. After analyzing the real traffic data of this road section, three different levels of traffic demands have been generated. the free flow is about 1,100 pcu/h/lane; the saturated flow is about 1,600 pcu/h/lane; the congested flow is about 2,000 pcu/h/lane.

2.2. Vehicles Modelling and Parameters

To analyze the characteristics of traffic flow with HSR on the freeway, we employed a simulation-based approach utilizing PTV Vissim software, which serves as the standard microscopic traffic and transport planning tool grounded in modeling and simulation [24,25]. Both the car-following behaviors of the CAVs and HDVs are characterized by the Wiedemann-99 model which includes four driving regimes [26]. And the lane change behaviors are used the free lane selection model which is a rule-based algorithm for lateral vehicle movement [27]. The parameters for CAVs and HDVs using the Wiedemann-99 model and lane change model within the VISSIM software as shown in TABLE I. The description of each parameters is shown in [28]. After calibrating the parameters, the results are within the acceptable range. The error of the model running results in peak period and flat peak period is 2.0% and 6.8%, respectively.
Table 1. The Parameters Within Vissim for CAVs and HDVs.
Table 1. The Parameters Within Vissim for CAVs and HDVs.
Parameter CAVs HDVs
Car-following model Wiedemann-99 Wiedemann-99
CC0 1.00 m 1.50 m
CC1 following a HDV: 1.1 s;
following a CAV: 0.6 s [19]
1.52 s [29]
CC2 0.00 m 4.00 m
CC3 -6.00 -8.00
CC4 -0.10 -0.35
CC5 0.10 0.35
CC6 0.00 11.44
CC7 0.10 m/s2 0.25 m/s2
CC8 4.00 m/s2 3.50 m/s2
CC9 2.00 m/s2 1.50 m/s2
Lane change model Free lane selection Free lane selection
min.headway (front/rear) 0.5 m 0.5 m
to slower lane if collision time is above 11 s 11 s
safety distance reduction factor 0.75 0.6
maximum deceleration for cooperative braking -6.00 m/s2 -3.00 m/s2
coop.lane change / max. speed difference 10.80 km/h -
coop. lane change / max. collision time 10.00 s -

2.3. Traffic Efficiency and Safety Metrics

we measure traffic efficiency based on the metric(denoted as E) which was proposed by Brilon [30] and also suggested by the Highway Capacity Manual 2010 [31]. The definition of E is as follows.
E = q   v ¯   T
where E denotes the number of vehicle kilometers that are produced by a motorway section per unit of time; the q represents the total traffic volume during the time T; v   ¯ denotes the average travel velocity; T represents the duration of analysis period (usually T = 1 h). And the E are calculated from all the vehicles completing their trips from the source to the destination after one simulation finished.
For the safety metrics, Time-To-Collision (TTC) is adopted because TTC has been proved to be more suited to analyze the safety conflicts on expressways [32,33]. The TTC is the remaining time before a rear-end collision between two vehicles, assuming the vehicles do not change speed during that time. The definition of TTC is as follows.
T T C t = x i 1 t x i t l i 1 v i t v i 1 t ,   v i t > v i 1 t
where v i and v i 1 denoting the speed of the ego vehicle i and the leading vehicle i 1 ; x i and x i 1 are the position of the ego vehicle i and the leading vehicle i 1 , respectively; and l i 1 is the length of the leading vehicle i 1 .
A threshold value for TTC is typically chosen to discern between relatively safe and hazardous scenarios [34]. It is generally acknowledged that an appropriate TTC threshold lies within the range of 2 to 4 seconds [35,36]. Comparing to HDVs, CAVs can follow their preceding vehicles with shorter time headways due to their faster reaction times [37]. Therefore, tw. different TTC threshold values of 0.75s and 2s are chosen for CAVs and HDVs, respectively.

2.4. Simulation Scenario Design

In this work, we assume that there was a temporary construction area on the outer side of the road. When the simulation time reaches 900 seconds, the temporary construction zone begins to operate. Then we will record the efficiency and safety index values of traffic flow before and after the opening of the hard shoulder of the highway as shown in Figure 2. The upstream traffic flow included three levels of traffic flow rates representing the free flow (1,100 veh/h/lane), saturated flow (1,600 veh/h/lane), and congested flow (2,000 veh/h/lane) respectively. Considering the impacts of speed limit of opening hard shoulder, we set the maximum speed limit to 60, 80 and 120km/h respectively when the hard shoulder running. For the impacts of CAVs, the penetration rates is set to 0 ,   0.1 ,   0.3 ,   0.5 ,   0.7 ,   0.9 ,   1 . Each simulation scenario is simulated for 3600s and the output indices including E and TTC, are obtained in the VISSIM software. Considering the influence of accidental factors, each scenario is simulated 20 times with randomly selected seed numbers were performed, and the average value of the results is taken.

3. Results

3.1. The Results of HSR Without CAVs

As shown in Figure 3, if the hard shoulder is not opened for traffic, the overall road traffic efficiency will drop sharply after the temporary construction area start to work, regardless of the free flow, saturated flow or congested flow. Differently, if the hard shoulder is opened for traffic and the maximum speed limit of the hard shoulder is set at 60, 80, or 120 km/h, the overall road traffic efficiency will be significantly improved after the temporary construction area starts working. Additionally, the figure reveals the relationship between the speed limit and the traffic demands when the hard shoulder is opening. In the case of free-flow and saturated flow traffic, a higher speed limit generally leads to higher overall traffic efficiency. However, the situation differs in congested traffic, a speed limit of 60 km/h results in higher traffic efficiency than a speed limit of 120 or 80 km/h.

3.2. The Traffic Efficiency of HSR with CAVs

The Figure 4 reveals that the overall traffic efficiency of the study area exhibits a discernible increase with the augmentation of the penetration rate of CAVs, regardless of the prevailing traffic flow conditions (including free flow, saturated flow, and congested flow scenarios) and irrespective of whether the hard shoulder is utilized for vehicular traffic or not. This observation underscores the academic significance of autonomous vehicle technology in enhancing transportation efficiency. As shown in Figure 4b,d, when the hard shoulder is open for traffic in both free flow and saturated flow conditions, we find that at the same penetration rate of CAVs, the higher the speed limit set for the hard shoulder, the more efficient the traffic flow becomes. Differently, under congested traffic conditions, an interesting observation emerges. Within a penetration rate range of 0.4 to 0.7, the traffic efficiency achieved with a speed limit of 120km/h does not necessarily surpass that achieved with a speed limit of 80km/h. This finding underscores the complexity of traffic dynamics in congested scenarios and highlights the need for nuanced traffic management strategies that consider varying conditions.

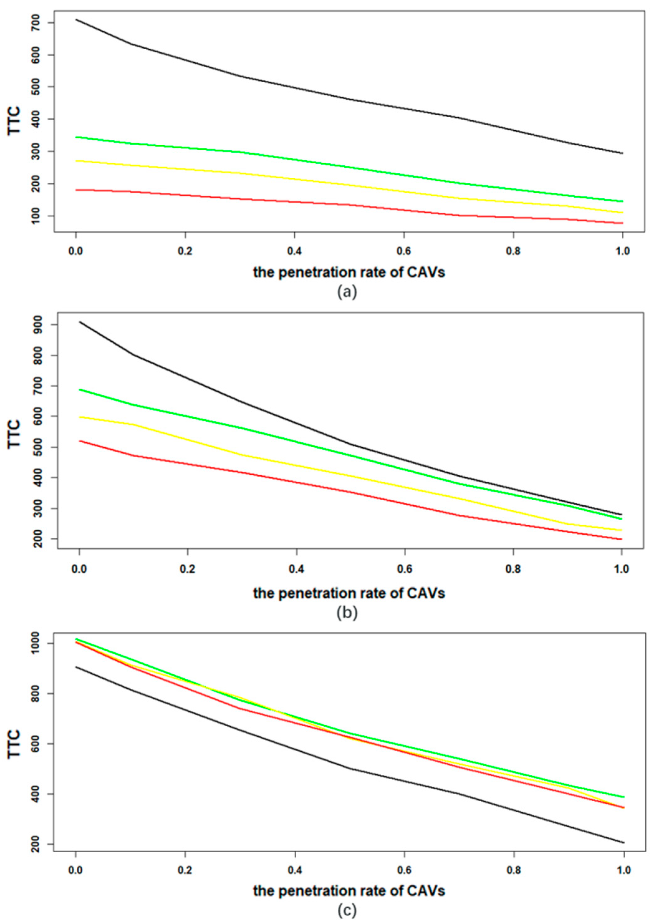
3.3. The Traffic Safety of HSR with CAVs

As evident from the Figure 5, irrespective of the traffic flow conditions (free flow, saturated flow, or congested flow) and the utilization status of highway hard shoulders, the values of TTC consistently diminishes with the escalating penetration rate of CAVs. This observation indicates that the increase of autonomous vehicle penetration rate will help to reduce the traffic flow safety risk. Furthermore, the figure also reveals that the impact of opening or closing highway hard shoulders on the TTC values of traffic flow varies across different traffic demands scenarios. In the case of free flow and stable flow, the TTC values are consistently lower when the hard shoulders are open compared to when they are closed, suggesting that the HSR in these conditions leads to a lower traffic safety risk. Differently, in the case of congested flow, the TTC values are higher when the hard shoulders are open, indicating an increased traffic safety risk when utilizing hard shoulders during congestion.

4. Discussion and Conclusions

The majority of existing literature on the HSR strategy for freeways primarily concentrates on traffic flow involving HDVs, overlooking the potential influence of CAVs with diverse penetration rates on the macroscopic traffic flow. In this article, we adopted a microscopic simulation with factorial experimental design to detect whether the effects of mixed traffic flow for the freeway HSR strategy differ the traditional traffic flow or not. The results show that when the HSR policy is combined with the characteristics of CAVs, it will have a relatively complex impact on traffic flow efficiency and safety. First, in the absence of CAVs, the implementation of the HSR strategy has the potential to markedly enhance traffic efficiency across a range of varying traffic demands. However, different speed limits for the HSR can lead to varying degrees of efficiency improvement under different traffic demands. Furthermore, after incorporating CAVs into the existing traffic flow, the overall traffic efficiency within the designated area demonstrates a pronounced elevation as the penetration rate of CAVs increases. This positive trend is observed across all prevailing traffic flow conditions, encompassing free-flowing, saturated, and congested scenarios, and remains consistent regardless of whether the hard shoulder is repurposed for regular vehicular traffic or maintained for emergency use. Within a CAV penetration rate bracket of 0.4 to 0.7, the implementation of a 120km/h speed limit does not consistently yield superior traffic efficiency compared to a speed limit of 80km/h. Finally, concerning the traffic safety of HSR when integrated with CAVs, the finding indicates a complex interplay between traffic flow conditions and the impact of HSR on TTC values and overall traffic safety. In scenarios of free and saturated traffic flow, the opening of hard shoulders consistently results in lower TTC values compared to when they are closed, indicating that HSR under these conditions contributes to reduced traffic safety risks. Conversely, during congested traffic flow, the opening of hard shoulders leads to higher TTC values, suggesting that their utilization during congestion poses a heightened traffic safety risk. This observation can be logically explained by the fact. During periods of congestion, the decision to open the hard shoulder as an additional lane for traffic can seem like a logical solution to ease the flow. However, the effectiveness of this measure is complicated by the fact that vehicles using the hard shoulder must ultimately merge back into the already congested main carriageway. This merging process, where multiple vehicles attempt to join a single lane with limited space and slow-moving traffic, introduces additional complexity and potential for collisions. As vehicles on the hard shoulder attempt to merge, they may need to brake suddenly or change lanes abruptly to avoid other vehicles, leading to a decrease in the Time-To-Collision (TTC) value. A lower TTC value indicates that vehicles are getting closer to one another at a faster rate, increasing the risk of a collision. Therefore, even though the hard shoulder might provide some initial relief from congestion, it ultimately contributes to a higher level of safety risk by creating more opportunities for conflicts and accidents during the merging process. Regardless of the traffic conditions, enhancing the integration of CAVs into the road network will contribute to mitigating traffic flow safety risks.
For future research, we intend to develop rigorous, practical guidelines, recommendations, and frameworks that enable the selection of the optimal strategy based on diverse contextual factors. This endeavor will provide traffic managers and decision-makers with a scientific basis for integrating innovative and novel methods with existing traffic management practices, thereby facilitating the optimal handling of traffic incidents.

Author Contributions

Conceptualization, Y.Z.; Methodology, Z.Z. and W.Z.; Software, Z.Z. and D.H.; Formal analysis, Y.Z. and J.Z.; Investigation, Y.Z. and W.Z.; Resources, J.Z.; Data curation, Z.Z. and D.H.; Writing—original draft, Y.Z., Z.Z. and J.Z.; Writing—review & editing, J.Z. and W.Z.; Visualization, Y.Z. and D.H.; Supervision, J.Z.; Project administration, Y.Z.; Funding acquisition, J.Z. All authors have read and agreed to the published version of the manuscript.

Funding

This work was supported by the National Natural Science Foundation of China (grant No. 42201514) and the Fundamental Research Funds for the Central Universities (grant No. 101111190410000009001240202).

Data Availability Statement

No additional data beyond what are presented in this manuscript were used in this study. All relevant data are contained within the manuscript..

Acknowledgments

The authors would like to thank the editors and the anonymous reviewer whose constructive comments will help to improve the presentation of this paper.

Conflicts of Interest

The authors declare no conflicts of interest.

References

  1. Coffey, S.; Park, S. State of the Non-operations Based Research of Hard Shoulder Running. Procedia Eng. 2016, 145, 693–698. [Google Scholar] [CrossRef]
  2. Dutta, N.; Boateng, R.A.; Fontaine, M.D. Safety and Operational Effects of the Interstate 66 Active Traffic Management System. J. Transp. Eng. Part A: Syst. 2019, 145. [Google Scholar] [CrossRef]
  3. Geistefeldt, J. Operational Experience with Temporary Hard Shoulder Running in Germany. Transp. Res. Rec. J. Transp. Res. Board 2012, 2278, 67–73. [Google Scholar] [CrossRef]
  4. Hussein Farah, F., B. Naik, and A. Süer Gürsel, Development of Hybrid Hard Shoulder Running Operation System for Active Traffic Management. International Conference on Transportation and Development 2020, 2020: p. 194-205.
  5. Yang, F.; Wang, F.; Ding, F.; Tan, H.; Ran, B. Identify Optimal Traffic Condition and Speed Limit for Hard Shoulder Running Strategy. Sustainability 2021, 13, 1822. [Google Scholar] [CrossRef]
  6. Cohen, S. , Using the hard shoulder and narrowing lanes to reduce traffic congestion some lessons from an experience on the Paris motorway network. 2004. [Google Scholar]
  7. Middelham, F. State of Practice in Dynamic Traffic Management in the Netherlands. IFAC Proc. Vol. 2003, 36, 293–298. [Google Scholar] [CrossRef]
  8. Farrag, S.G.; Outay, F.; Yasar, A.U.-H.; El-Hansali, M.Y. Evaluating Active Traffic Management (ATM) Strategies under Non-Recurring Congestion: Simulation-Based with Benefit Cost Analysis Case Study. Sustainability 2020, 12, 6027. [Google Scholar] [CrossRef]
  9. Waleczek, H. and J. Geistefeldt, Long-Term Safety Analysis of Hard Shoulder Running on Freeways in Germany. Transportation Research Record, 2021. 2675(8): p. 345-354.Yao, J.; Qian, Y.; Feng, Z.; Zhang, J.; Zhang, H.; Chen, T.; Meng, S. Hidden Markov Model-Based Dynamic Hard Shoulders Running Strategy in Hybrid Network Environments. Appl. Sci. 2024, 14, 3145. [CrossRef]
  10. Choi, J.; Tay, R.; Kim, S.; Jeong, S.; Kim, J.; Heo, T.-Y. Safety Effects of Freeway Hard Shoulder Running. Appl. Sci. 2019, 9, 3614. [Google Scholar] [CrossRef]
  11. Kononov, J.; Hersey, S.; Reeves, D.; Allery, B.K. Relationship between Freeway Flow Parameters and Safety and Its Implications for Hard Shoulder Running. Transp. Res. Rec. J. Transp. Res. Board 2012, 2280, 10–17. [Google Scholar] [CrossRef]
  12. Ma, J.; Hu, J.; Hale, D.K.; Bared, J. Dynamic Hard Shoulder Running for Traffic Incident Management. Transp. Res. Rec. J. Transp. Res. Board 2016, 2554, 120–128. [Google Scholar] [CrossRef]
  13. Yao, Z.; Xu, T.; Jiang, Y.; Hu, R. Linear stability analysis of heterogeneous traffic flow considering degradations of connected automated vehicles and reaction time. Phys. A: Stat. Mech. its Appl. 2020, 561, 125218. [Google Scholar] [CrossRef]
  14. Yao, Z.; Jiang, Y.; Zhao, B.; Luo, X.; Peng, B. A dynamic optimization method for adaptive signal control in a connected vehicle environment. J. Intell. Transp. Syst. 2019, 24, 184–200. [Google Scholar] [CrossRef]
  15. Riedmaier, S.; Ponn, T.; Ludwig, D.; Schick, B.; Diermeyer, F. Survey on Scenario-Based Safety Assessment of Automated Vehicles. IEEE Access 2020, 8, 87456–87477. [Google Scholar] [CrossRef]
  16. Chen, X.; Wu, Z.; Liang, Y. Modeling Mixed Traffic Flow with Connected Autonomous Vehicles and Human-Driven Vehicles in Off-Ramp Diverging Areas. Sustainability 2023, 15, 5651. [Google Scholar] [CrossRef]
  17. Liu, P.; Fan, W. (. Exploring the impact of connected and autonomous vehicles on freeway capacity using a revised Intelligent Driver Model. Transp. Plan. Technol. 2020, 43, 279–292. [Google Scholar] [CrossRef]
  18. Dinar, Y. , et al., How Do Humanlike Behaviors of Connected Autonomous Vehicles Affect Traffic Conditions in Mixed Traffic? Sustainability, 2024. 16(6): p. 2402.
  19. Garg, M. and M. Bouroche, Can Connected Autonomous Vehicles Improve Mixed Traffic Safety Without Compromising Efficiency in Realistic Scenarios? IEEE Transactions on Intelligent Transportation Systems, 2023. 24(6): p. 6674-6689.
  20. Yao, J.; Qian, Y.; Feng, Z.; Zhang, J.; Zhang, H.; Chen, T.; Meng, S. Hidden Markov Model-Based Dynamic Hard Shoulders Running Strategy in Hybrid Network Environments. Appl. Sci. 2024, 14, 3145. [Google Scholar] [CrossRef]
  21. Shladover, S.E.; Su, D.; Lu, X.-Y. Impacts of Cooperative Adaptive Cruise Control on Freeway Traffic Flow. Transp. Res. Rec. J. Transp. Res. Board 2012, 2324, 63–70. [Google Scholar] [CrossRef]
  22. Calvert, S., W. J. Schakel, and J.W.C. Lint, Will Automated Vehicles Negatively Impact Traffic Flow? Journal of advanced transportation, 2017. 2017.
  23. Yao, Z.; Hu, R.; Jiang, Y.; Xu, T. Stability and safety evaluation of mixed traffic flow with connected automated vehicles on expressways. J. Saf. Res. 2020, 75, 262–274. [Google Scholar] [CrossRef]
  24. Kučera, T.; Chocholáč, J. Design of the City Logistics Simulation Model Using PTV VISSIM Software. Transp. Res. Procedia 2021, 53, 258–265. [Google Scholar] [CrossRef]
  25. Beza, A.D. , et al., How PTV Vissim Has Been Calibrated for the Simulation of Automated Vehicles in Literature? Advances in Civil Engineering, 2022. 2022(1): p. 2548175.
  26. Durrani, U.; Lee, C.; Maoh, H. Calibrating the Wiedemann’s vehicle-following model using mixed vehicle-pair interactions. Transp. Res. Part C: Emerg. Technol. 2016, 67, 227–242. [Google Scholar] [CrossRef]
  27. Habtemichael, F. and L. Picado-Santos. Sensitivity analysis of VISSIM driver behavior parameters on safety of simulated vehicles and their interaction with operations of simulated traffic. in 92nd Annual Meeting of the Transportation Research Board, Washington, DC. 2013.
  28. Chaudhari, A.A.; Srinivasan, K.K.; Chilukuri, B.R.; Treiber, M.; Okhrin, O. Calibrating Wiedemann-99 Model Parameters to Trajectory Data of Mixed Vehicular Traffic. Transp. Res. Rec. J. Transp. Res. Board 2021, 2676, 718–735. [Google Scholar] [CrossRef]
  29. Zhang, J.; Wu, K.; Cheng, M.; Yang, M.; Cheng, Y.; Li, S. Safety Evaluation for Connected and Autonomous Vehicles' Exclusive Lanes considering Penetrate Ratios and Impact of Trucks Using Surrogate Safety Measures. J. Adv. Transp. 2020, 2020, 1–16. [Google Scholar] [CrossRef]
  30. Brilon, W. Traffic flow analysis beyond traditional methods. in Proceedings of the 4th International Symposium on Highway Capacity. 2000. Transportation Research Board Washington, DC, USA.
  31. Zhang, X.; Xu, J.; Liang, Q.; Ma, F. Modeling Impacts of Speed Reduction on Traffic Efficiency on Expressway Uphill Sections. Sustainability 2020, 12, 587. [Google Scholar] [CrossRef]
  32. Papadoulis, A.; Quddus, M.; Imprialou, M. Evaluating the safety impact of connected and autonomous vehicles on motorways. Accid. Anal. Prev. 2019, 124, 12–22. [Google Scholar] [CrossRef]
  33. Rahman, H.; Abdel-Aty, M.; Wu, Y. A multi-vehicle communication system to assess the safety and mobility of connected and automated vehicles. Transp. Res. Part C: Emerg. Technol. 2021, 124, 102887. [Google Scholar] [CrossRef]
  34. Qu, X.; Kuang, Y.; Oh, E.; Jin, S. Safety Evaluation for Expressways: A Comparative Study for Macroscopic and Microscopic Indicators. Traffic Inj. Prev. 2013, 15, 89–93. [Google Scholar] [CrossRef]
  35. Meng, Q.; Qu, X. Estimation of rear-end vehicle crash frequencies in urban road tunnels. Accid. Anal. Prev. 2012, 48, 254–263. [Google Scholar] [CrossRef]
  36. Vogel, K. A comparison of headway and time to collision as safety indicators. Accid. Anal. Prev. 2002, 35, 427–433. [Google Scholar] [CrossRef]
  37. Guériau, M. and I. Dusparic. Quantifying the impact of connected and autonomous vehicles on traffic efficiency and safety in mixed traffic. in 2020 IEEE 23rd International Conference on Intelligent Transportation Systems (ITSC). 2020.
Figure 1. The road section of study area.
Figure 1. The road section of study area.
Preprints 121055 g001
Figure 2. The simulation scenarios. (a) shows the traffic don’t run on the hard shoulder when the temporary construction area is existing; (b) shows the traffic run on the hard shoulder during the construction. The green area represents the HSR area.
Figure 2. The simulation scenarios. (a) shows the traffic don’t run on the hard shoulder when the temporary construction area is existing; (b) shows the traffic run on the hard shoulder during the construction. The green area represents the HSR area.
Preprints 121055 g002
Figure 3. The traffic efficiency of HSR at different limit speeds in different levels of traffic demands. The black line represents the values of traffic efficiency without HSR. The red, yellow, and green lines represent the traffic efficiency when the maximum speed limits on hard shoulder are set at 120km/h, 80km/h, and 60km/h, respectively, during the opening of the hard shoulder. (a) shows the scenario of HSR in free flow; (b) shows the scenario of HSR in saturated flow; (c) shows the scenario of HSR in congested flow.
Figure 3. The traffic efficiency of HSR at different limit speeds in different levels of traffic demands. The black line represents the values of traffic efficiency without HSR. The red, yellow, and green lines represent the traffic efficiency when the maximum speed limits on hard shoulder are set at 120km/h, 80km/h, and 60km/h, respectively, during the opening of the hard shoulder. (a) shows the scenario of HSR in free flow; (b) shows the scenario of HSR in saturated flow; (c) shows the scenario of HSR in congested flow.
Preprints 121055 g003
Figure 4. The values of traffic efficiency metrics at different penetration rates of CAVs in different scenarios of HSR.The black line represents the values of traffic efficiency without HSR. The red, yellow, and green lines represent the traffic efficiency when the maximum speed limits on hard shoulder are set at 120km/h, 80km/h, and 60km/h, respectively, during the opening of the hard shoulder. (a) and (b) show the traffic efficiency at different penetration rates of CAVs in the free flow; (c) and (d) represent the traffic efficiency at different penetration rates of CAVs in the saturated flow; (e) and (f) show the traffic efficiency at different penetration rates of CAVs in the congested flow.
Figure 4. The values of traffic efficiency metrics at different penetration rates of CAVs in different scenarios of HSR.The black line represents the values of traffic efficiency without HSR. The red, yellow, and green lines represent the traffic efficiency when the maximum speed limits on hard shoulder are set at 120km/h, 80km/h, and 60km/h, respectively, during the opening of the hard shoulder. (a) and (b) show the traffic efficiency at different penetration rates of CAVs in the free flow; (c) and (d) represent the traffic efficiency at different penetration rates of CAVs in the saturated flow; (e) and (f) show the traffic efficiency at different penetration rates of CAVs in the congested flow.
Preprints 121055 g004
Figure 5. The values of TTC at different penetration rates of CAVs in different scenarios of HSR.The black line represents the values of TTC without HSR. The red, yellow, and green lines represent the values of TTC when the maximum speed limits on hard shoulder are set at 120km/h, 80km/h, and 60km/h, respectively, during the opening of the hard shoulder.(a),(b) and (c) show the TTC at different penetration rates of CAVs in the free flow, saturated flow and the congested flow,respectively.
Figure 5. The values of TTC at different penetration rates of CAVs in different scenarios of HSR.The black line represents the values of TTC without HSR. The red, yellow, and green lines represent the values of TTC when the maximum speed limits on hard shoulder are set at 120km/h, 80km/h, and 60km/h, respectively, during the opening of the hard shoulder.(a),(b) and (c) show the TTC at different penetration rates of CAVs in the free flow, saturated flow and the congested flow,respectively.
Preprints 121055 g005
Disclaimer/Publisher’s Note: The statements, opinions and data contained in all publications are solely those of the individual author(s) and contributor(s) and not of MDPI and/or the editor(s). MDPI and/or the editor(s) disclaim responsibility for any injury to people or property resulting from any ideas, methods, instructions or products referred to in the content.
Copyright: This open access article is published under a Creative Commons CC BY 4.0 license, which permit the free download, distribution, and reuse, provided that the author and preprint are cited in any reuse.
Prerpints.org logo

Preprints.org is a free preprint server supported by MDPI in Basel, Switzerland.

Subscribe

Disclaimer

Terms of Use

Privacy Policy

Privacy Settings

© 2026 MDPI (Basel, Switzerland) unless otherwise stated