Preprint
Article

This version is not peer-reviewed.

How Human Alike Connected Autonomous Vehicles Affect Traffic Conditions in Urban Environment?

A peer-reviewed article of this preprint also exists.

Submitted:

04 September 2023

Posted:

05 September 2023

You are already at the latest version

Abstract
Different methodologies are being used to study the effects of autonomous vehicle (AV) in the mixed traffic indicating the interaction among autonomous and human-driven vehicles. Micro-scopic simulation tools are popular in such assessment as it offers scope to experiment in eco-nomical, robust, and optimistic way. Lack of reliable real-world data to calibrate and evaluate the connected autonomous vehicles (CAV) simulation model is a major challenge. One interesting methodology could be dealing the CAVs as conventional human driven vehicles and predict its possible characteristics based on the simulation inputs. The conventional human driven vehicles from real world, in this methodology, come to aid as benchmark to offer the measure of effective-ness (MoE) for the calibration and validation. For the three most common driving modules, a sensitivity analysis of the driving behaviors of AVs and an effect assessment of CAVs in a mixed traffic environment were done to explore the human alike autonomous technology. The findings show that, up to a point, which is directly re-lated to the quantity of interacting vehicles, the impact of CAVs is typically favorable. This study validates the approach and supports past studies by showing that CAVs perform better in traffic than AVs for traffic performance and safety aspects. On top of that, the sensitivity analysis has shown that enhancements in technology are required for obtaining the maximum advantages.
Keywords: 
;  ;  ;  

1. Introduction

Despite the fact that the number of road accidents is steadily levelling off and generally on the decline due to the systematic use of technology, some nations continue to experience incidents caused by human error. In example, the United States of America faces increasing problems from traffic accidents (International Transport Forum 2022). According to one research, human factors account for 90–95 percent of all accident incidences, with around 60 percent of those accidents directly attributable to human mistake (Sonja Forward 2008) making it main reason of traffic incidents.
Manufacturers and experts claim that the autonomous vehicles guarantee to overcome human errors and safety for humans on numerous instances (Bohm und Häger 2015; Morando et al. 2018; Iranmanesh et al. 2022). Additionally, autonomous vehicles provide increased road capacity (Park et al. 2021), environmental friendliness, and congestion reduction (Pierre-Jean Rigole 2014) by enabling platoon building, vehicle-to-vehicle (V2V), and vehicle-to-infrastructure (V2I) communications, the highway may be made more comfortable by, among other things, decreasing the number of vehicle stops at junctions (Li et al. 2015). Among many other features, cooperative adaptive cruise control (CACC) and adaptive cruise control (ACC) affect the travel experiences (Makridis et al. 2018). One of the numerous benefits of CAVs is that they communicate and share information with other entities, such as other cars, infrastructure, or traffic systems, which reduces response times and shortens safety headways as compared to human-driven vehicles. The capacity of the road is increased when there is little space between two subsequent road agents. Other benefits, including interacting with infrastructures to get early warnings of accidents, traffic, or natural disasters, are essential to making optimum use of travel time. To understand the influence on the actual world, these behaviors must be replicated in the simulation model (Makridis et al. 2018). According to research in the past, it is predicted that C/AVs will improve traffic performance while reducing emissions and energy use (Makridis et al. 2018; Mattas et al. 2018).
Microscopic traffic simulations may be utilized to perceive different phases of introduction of automation on the street with conventional cars to comprehend the impacts of AV and CAV in the present transportation system prior to real-world deployment. Effective modeling techniques are needed to assess the effects of these significant changes (Makridis et al. 2018; Liu et al. 2018). The driving behavior settings in any traffic simulator also play crucial roles in how accurately the simulation models reflect reality.
This study is predicated on the idea that AVs would behave similarly to human-driven vehicles. The characteristics of driving behavior for connected and/or autonomous vehicles (C/AVs) need to be determined according to distinct driving modules, such as aggressive, normal, and safe (Sukennik 2018), reflecting three different human driving patterns makes it more human-like than other C/AVs. illustrating three different types of human driving behaviorVehicles will decide which parameters to follow from their permissible range in accordance with their regulating driving modules. Direct user selection of these driving modules is also possible through external connections, such as vehicle-to-vehicle (V2V), vehicle-to-infrastructure (V2I), and emergency states. These modules exhibit wildly disparate responses to roads and traffic. A safe driving module is not permitted to drop the safe distance below the authorized limits, however an aggressive driving module may have a smaller safe distance with increased acceleration, resulting in C/AVs that resemble humans (Zeidler et al. 2018; Atkins 2016; Sukennik 2018).
The research findings show how traffic, and safety aspects are influenced by C/AVs that resemble humans. Additionally, it will use a sensitivity analysis platform to visualize how various AV driving behavior parameters interact with traffic performance. Speed, delay time, and travel time have all been used to examine traffic performance. In this process, only the interaction among motor vehicles is taken into account. For these types of studies, PTV VISSIM and Surrogate Safety Assessment Model (SSAM) must work together to identify the number of potential conflicts from the simulated data and vehicle trajectories to understand the safety implications of C/AVs. Examining how mixed traffic in an urban corridor will be impacted by human-like C/AVs is the primary objective of this study. To do this, the HV-AV-CAV ratio for three traffic flows—peak hour traffic demand, 20% below peak hour traffic demand, and 20% over peak hour traffic demand—will be studied. For C/AV, three different driving modules—aggressive, normal, and safe—will be evaluated. The second objective is to look at how the parameters of the AVs’ driving behaviour connect with traffic performance. To determine which car-following parameter has the greatest influence, this will be researched and studied. Following the identification of influential car following parameters, sensitivity analysis for a chosen traffic performance indicator will be carried out on them.

2. Related Work

Both the urban motorway and the freeway benefit greatly from automation features like connectivity to other vehicles and infrastructure, emergency stop, formation of vehicle platoons, slowing down before traffic signal, and automatic driving modules (Calvert et al. 2017; Park et al. 2021). Researchers showed that in the initial stages of implementation, C/AVs should be self-driven and self-sufficient as adaptive infrastructure development will take some time to fully absorbe connectivity features (Parmar 2018). In such an early phase of development and implementation, AV will be ahead of CAV in terms of functionalities.
Different functions (event script files) are currently attached in the simulator to implement these C/AV features in the microscopic simulation. There are many functionalities in VISSIM 11 or later versions to explore the C/AVs (Sukennik 2018). Platoon building, signal influence, V2V, and V2I connectivity are all included in VISSIM 2020 and are implemented both universally (using GUI) and exclusively (using COM) (PTV 2011; Sukennik 2018; Atkins 2016). The Wiedermann 74 does not provide many options for customized modeling, so the standard method for modeling C/AVs can be to build modified versions of the Wiedermann 99 (Sukennik 2018). Similar research with fewer parameters from Wiedermann 74 suggested that as AV penetration increases, the capacity of roads will become quite congested (Park et al. 2021). The C/AVs that resemble humans are a subset of traditional driving behaviors and can be acquired with the right legal framework to correspond with various autonomous driving modules. In order to improve the automation features in the VISSIM interface, some extensively created simulator-integral and user-defined parameters are completely dedicated to match the characteristics of AV and CAV (Sukennik 2018; Atkins 2016; Zeidler et al. 2018; Toledo 2003; Bohm und Häger 2015). Additionally, numerous C/AV features are modeled using external script files. The calibration and validation are integral part in the microscopic traffic simulation to make realistics simulation. The one of the major challenges in the connected and/ or autonomous vehicle (C/AVs) is, there is lack of measure of effectiveness from real world to do the calibration. It is also difficult to find set of calibration parameters which matches the modeling and simulation technique for the C/AVs (Sukennik 2018; Trommer et al. 2016; Bagloee et al. 2016). Time to time traffic performance and safety proved to be great indicator for optemistics research studies focusing C/AVs (Sadid et al. 2022). There is also emission as indicator in many studies, but the emission calculation significantly varies over years, based on individual softwares and calculation techniques.
In summary, research methods and simulation process of autonomous vehicles differ on car following behaviours, lane changing behaviours, calibration methods and planned performance indicators etc. As lack of real-world data, autonomous vehicles are difficult to calibrate and behaviours are also unpredictable, so it is safe to consider it as human alike driving maneuvers.

3. Method

The three main autonomous vehicle driving modules that are currently on the research phase are examined in this study. Aggressive, safe, and cautious are the names given to the driving modules. Unlike the CAVs, AVs do not act require platoon, slowing down in the traffic. AVs are totally isolated and acts for its surrounding vehicles. For this study, Autnomous Level is considered as 5 as per Society of Automotive Engineers (Shuttleworth 2019; SAE International 2018) to see the best result in terms of autonomous communication and self-sufficent actions.
Researchers indicated these can solely and exclusively be started from the Wiedemann 99 car-following model. The driving courses taken for this study were modeled after the "CoExist" project, which was funded by Horizon 2020 (Sukennik 2018).
  • Aggressive: The cognizance, predictive, and safety maintenance features of the C/AVs’ driving module are thought to result in smaller gaps for all types of network maneuvers. The road capacity is increased by this driving module (Sukennik 2018).
  • Safe: The C/AVs’ safe driving module responds more like a human driver with additional skills and features. The ability to measure the speeds and spatial distances of other vehicles up to a certain range is one of the features (Sukennik 2018).
  • Cautious: The cautious driving module is the ideal road code follower because it consistently acts safely around all vehicles. According to Sukennik (2018), Brick wall stop distance is always guaranteed by the cautious driving module.
These C/AV features are imposed in microscopic traffic flow simulation by a separate function. This function is implemented by the VISSIM interface by requiring an absolute braking distance. This module also could perform lane change maneuvers and act in unsignalized intersections. To keep wide gaps in the road, the vehicles will be taken care of (Sukennik 2018). Table 1 shows additional setting for the C/AVs in the PTV VISSIM interface.
Table 1. Setting for AV features (Sukennik 2018.)
Table 1. Setting for AV features (Sukennik 2018.)
Driving Logic Enforce absolute breaking distance Use implicit stochastics Number of interaction vehicles Increased desired acceleration
Aggressive OFF OFF 1 110%
Safe OFF OFF 1 100-110%
Cautious ON OFF >1 100%
HVs OFF OFF 1 100%
To model a new vehicle model in the simulator, various microscopic traffic simulators offer various features. There are many features and a methodology to create C/AVs in the interface with the Wiedermann 99 of VISSIM. The parameters that have been adjusted to fit the car following driving model of C/AVs are shown in Table 2.
Table 2. Parameters of car following behaviours to model C/AVs (Sukennik 2018, PTV 2019, Atkins 2016).
Table 2. Parameters of car following behaviours to model C/AVs (Sukennik 2018, PTV 2019, Atkins 2016).
Sl. IDriveringBehavior Driving Description Aggressive Normal Cautious
General Parameters
1 LookBackDistMax Max. Look back distance [m] 150,00 150,00 150,00
2 LookBackDistMin Min. Look back distance [m] 0,00 0,00 0,00
3 LookAheadDistMax Max. ahead back distance [m] 250,00 250,00 250,00
4 LookAheadDistMin Min. ahead back distance [m] 0,00 0,00 0,00
5 StandDist Standstill distance in front of static obstacles [m] 0,50 0,50 0,50
Wiedemann 99 car-following model parameters
6 W99CCO Desired distance between lead and following vehicle [m] 1,00 1,50 1,50
7 W99CC1DISTR Headway Time [s] Desired time between lead and following vehicle 0,6 0,9 1,50
8 W99CC2 Following variation [m] Additional distance over safety distance that a vehicle requires 0,00 0,00 0,00
9 W99CC3 Threshold for entering following state [s] Time is second before a vehicle start to decelerate to reach safety distance (negative) -6,00 -8,00 -10,00
10 W99CC4 Negative "following Thre-hold"[m/s] Specifies variation in speed be-tween lead and following vehicle -0,10 -0,10 -0,10
11 W99CC5 Positive "following Threhold"[m/s] Specifies variation in speed be-tween lead and following vehicle 0,10 0,10 0,10
12 W99CC6 Speed dependency of oscillation [1/ms] 0,00 0,00 0,00
13 W99CC7 Oscillation Accelaration Acceleration during the oscillation process[m/s2] 0,10 0,10 0,10
14 W99CC8 Standstill Acceleration [m/s2] 4,00 3,50 3,00
15 W99CC9 Acceleration with 80 Km [m/s2] 2,00 1,50 1,20
Lane-changing model parameters
16 MaxDecelOwn Max. decelaration for leading (own) vehicle [m/s2] -4,00 -4,00 -3,50
17 MaxDecelTrail Max. decelaration for following (trailing) vehicle [m/s2] -4,00 -3,00 -2,50
18 AccDecelOwn Accepted decelaration for leading (own) vehicle [m/s2] -1,00 -1,00 -1,00
19 AccDecelTrail Accepted decelaration for follow-ing (trailing) vehicle [m/s2] -1,50 -1,00 -1,00
20 CoopDecel Max. decelaration for cooperative lane-change/braking [m/s2] -6,00 -3,00 -2,50
21 SafDistFactLnChg Safety distance reduction factor 0,75 0,60 1,00
Lateral manuever parameters
22 MinSpeedForLat Minimum longitudinal speed for lateral movement [km/h] 3,60 3,60 3,60
Specific parameters for C/AVs
23 EnforcAbsBrakDist False False True
24 UseImplicStoch False False False
25 NumInteractObj 10 2 2
26 NumInteractVeh 5 3 2
27 IncrsAccel 110% 105% 100%
28 Platooning 3 (Arbitrarily selected for the study corridor)
29 AddOccupancyDistribution Relevant to public transport
30 ConsVehInDynPot True True True
Figure 1 shows the study area which hold different sets of intersection, signs, and traffic signals to allow different manuovers possibilities by autonomous vehicle agents in the simulation. At this moment, this 3 km corridor from Munich, Ludwigstraße and Leopoldstraße urban strip, holds some great number of conflictions and detoriated road performances: higher number of stops, reduced average speed, higher travel time, higher possibility of confliction. After implementation of Autonomous technology, the site should show distinguishable results.
Figure 1. Geographical location of the study area: Ludwigstraße and Leopoldstraße.
Figure 1. Geographical location of the study area: Ludwigstraße and Leopoldstraße.
Preprints 84113 g001
The research region, which includes Munich’s Ludwigstraße and Leopoldstraße road axes, is a congested area with various factors that reduce traffic flow, including lane merging points, mobility hubs, and feeder side streams with increased traffic flow. Every trial situation for this area has been evaluated for this research’s traffic, and safety issues, and potential reasons have been shown.
In this study, traffic performance and safety are performance indicator to measure the impact of adding human alike connected and/or autonomous vehicles in the current transportation system. The average travel time, average speed, and average delay time described the traffic performance indicator. Post-encroachment time (PET) and Time-to-collision (TTC) are used to measure the total number of conflictions. The Surrogate Safety Measure (SSM) is used to evaluate the traffic safety. The PET indicates the possible risk and the TTC describes the impending threat.
This part of the paper had been organized by sub-topics. It provides a brief description of the results, the expression of the paper, as well as the experimental conclusions that can be found.

3.1. Simulation planning and Assumptions

The data collection was made in the morning peak hour and later was transferred to hour based traffic volume. In this study, calibration has been performed for the traffic volume for every 15 min time interval for the morning peak hour for 30 parameters mentioned in the Table 2. 95% Confidential interval has been taken for calibration. First 10 minute of the simulation was taken into account as part of the warm-up time. There are more than 10 iterations in each scenario to gain coverage over random events. However, visual approach of validation has been used in this study by plotting a time-space diagram. The results of the time-space diagram have been interpreted for 95% confidential interval., indicating accuracy of the acceptance. This study assumes that the C/AVs would not be managed by a centralized processing system, meaning that each agent will be unique and respond in accordance with the state of the network. The observation and responses of other nearby vehicles will provide the vehicles with information. The network state of the entire city will not have any influence. In this study, the central traffic control system is also not included to match the human-driven vehicles and distinguish agent-based responses. Due to a lack of infrastructure (such as detectors, processors, and transmitters) required to accelerate control in a zonal pattern, sub-urban and freeways may not be suitable for the zonal traffic control system.

3.2. Performance Indicators

There are two categorises of performance indicators which are used in this study: traffic performance and safety in terms of a possible conflict. Average travel time, average speed and average delay time come in the traffic performance.
Average travel time is defined as the ratio of the total link travel time of the network and the number of links:
t a = i I t i N
Explanations:
Travel time of a link = t i
Avg. travel time = t a
Average Speed is defined as the ratio of the total link Speed of the network and the number of links:
v a = i I v i N
Explanations:
Speed of a link = v i
Avg. speed = v a
Average Delay Time is defined as the ratio of the total link Delay Time of the network and the number of links:
d a = i T d i N t
Explanation:
Vehicle trajectory as t
Nt is total number of trajectories demand
Delay d t = t t t f f t t t
Average total number of conflict is the representation for Safety. Average total number is defined as the ratio of the total link total number of the network and the number of links:
T a = i I T i N
Explanation:
Travel time of a link = T i
Avg. travel time = T a
Link = i where iI (I is all the links in the network)
N is total number of links in the network

4. Experimental Setup

Figure 2 shows the organigram of the microscopic traffic simulation for this study that is inspired from a former study (Virdi et al. 2019). Network data such as road sign, location data and priority rules are first input in the model. The base demand was obtained and processed from real traffic and the network was modelled to precise enough to detail the existing infrastructure. Network data contains road sign, location data and priority rules. The overall approach taken in this study is to proxy the impacts of CAVs in an existing traffic condition. The VISSIM, a microscopic traffic simulation software from PTV, has been used to perform the simulation. Moreover, SSAM have been used for additional inquires such as impact over accident. The parameters of car following model such as Wiedemann 74 and 99, are chosen in the VISSIM to represent the human driven vehicles for manoeuvre and lane behaviours. Along with the previously mentioned car following behaviours, Adaptive Cruise Control and Cooperative Adaptive Cruise Control technologies are used to represent C/AVs in the VISSIM interface. The vehicle to vehicle (V2V) and vehicle to infrastructure (V2I) connectivity assure the reflection of real world into the model which are stored as the external event. The surrogate safety assessment module assures proper visualization of probable accidents.
The network performances which are influenced by the penetration of AVs and CAVs in the network, are derived for different traffic flows. The penetration of AVs and CAVs start from 0% to 100% in 10% interval. This combinational impact of HV-AV-CAV have been studied for the mixed traffic in terms of average travel time, average speed, average delay time. In addition to that a subset of these experiment cases, was studied to get deeper impression over the safety aspect in the network. The HV vs AV and HV vs CAV have been studied to assess the safety aspects. In total, 37 selected scenarios had gone through investigation by a combination of AV and CAV penetrations.
Figure 2. Organigram of the microscopic traffic simulation.
Figure 2. Organigram of the microscopic traffic simulation.
Preprints 84113 g002

5. Results

5.1. CAV-AV-HV Combination

Ternary plots can visualize proportional participation of 3 variables corresponds to one of the simulation outcome. Figure 3 shows the travel time corresponding to the demand at 20% below the peak hour, at the peak hour, and at 20% above the peak hour. In this plot, each axis presents the proportion of penetration of a certain vehicle type, ranging from 0 to 1. The inner area of the ternary plot provides different possible HV-AV-CAV combinations. The plots indicate travel time changes for three traffic demand cases. The colors inside the plots depict the status of different traffic performances based on different combinations of HVs, AVs, and CAVs.
Figure 3. Average travel time of the network: (a) 20% below peak hour traffic flow, (b) Peak hour traffic flow and (c) 20% above peak hour traffic flow.
Figure 3. Average travel time of the network: (a) 20% below peak hour traffic flow, (b) Peak hour traffic flow and (c) 20% above peak hour traffic flow.
Preprints 84113 g003
The first impression from the ternary plots for the travel time is that CAVs demonstrate better performances than AVs and HVs for different demand cases. CAVs act on its platoon, slowing down automatically on upcoming queue gives it advantage over AVs which only work on its surrounding vehicles. Increasing the proportion of CAVs by a certain amount reduces travel time more quickly than when increasing the proportion of AVs by the same amount. With higher AV-CAV penetrations, network encounter lesser travel time than any of other combinations with higher penetrations of HVs. As AVs and CAVs come with diverse types of features, such as connectivity, early speed reduction and, management of distance, the traffic performance increases for higher C/AV penetrations. These additional strategies offered by C/AVs work better for peak hour demand and 20% below the peak hour than 20% above the peak hour demand case for the same study corridor. The number of interacting vehicles plays role in this phenomenon. With increasing traffic in the road, the interaction of the vehicles intensifies as the communication continuity remain stable in the network. For the case of speed, shown in Figure 4, a similar pattern can be seen for all three demands: peak hour, 20% below the peak hour and 20% above the peak hour. A higher AV-CAV penetration outperforms a higher HV-AV penetration in every possible similar combination, which can be seen in the ternary plots of Figure 4. The cause behind improved speeds remains the same.
Figure 4. Average speed of the network: (a) 20% below peak hour traffic flow, (b) Peak hour traffic flow and (c) 20% above peak hour traffic flow.
Figure 4. Average speed of the network: (a) 20% below peak hour traffic flow, (b) Peak hour traffic flow and (c) 20% above peak hour traffic flow.
Preprints 84113 g004
Figure 5 shows delay times strengthen the statements of the other performance indicators, travel time and speed as expected. Scenarios with a lower travel time and a higher speed tend to have a lower delay time and a lower number of stops (Aziz 2018; Hossein 2018). The delay time reduces more quickly for a higher AV-CAV penetration, as expected.
Figure 5. Average delay time of the network: (a) 20% below peak hour traffic flow, (b) Peak hour traffic flow and (c) 20% above peak hour traffic flow.
Figure 5. Average delay time of the network: (a) 20% below peak hour traffic flow, (b) Peak hour traffic flow and (c) 20% above peak hour traffic flow.
Preprints 84113 g005
Based on the above results, it can be said that introduction of automation in the network overall performs better than HVs. There are little improvements for the lower amount of penetration of automation in the transportation system. Higher degree of improvement can be seen in the models once automation participation ratio reaches certain level. The normal driving module for this study interact optimistically positive for the travel time, speed and delay time. CAVs show better performance because additional properties CAVs conserve higher competency in the network. The ability to make platoon, slowing down to the signal and interacting with other vehicles make the CAV a strong actor in the traffic.
More automation in the network, assure higher efficiency of the automation itself because vehicles can communicate to each other and react with other intelligently. For higher number of vehicles in the network, number of interacting vehicles need to be higher but to study the variability, it was kept constant to 3. This result lowering of traffic performances again in the network for high traffic demand after reaching the yield point.

5.2. Comparison between CAVs and AVs

Figure 6, the travel time scatter plots of AV and CAV reinforce the conceptual gains in addition some additional information about driving modules. As CAVs have additional features than HVs and AVs, showing similar trend that the CAVs use lesser travel time in contrast to the other vehicle types. A gradual shifting of the travel time can be seen for different traffic demand cases. The lowest travel time is achieved faster for the higher demand. Availability of required number of vehicles in the network causes earlier yielding of the travel time. The travel time yields into lowest value in the range of penetration between 50- 70% C/AV penetration. This phenomenon can be connected to the fact that number of interacting vehicles play major role in the performance. If there are lots of vehicles in a segment of the network than allowable interacting vehicles, the performance ought to drop as most of them are not interacting after yielding point. In summary, with significant higher quantity of traffics, the interacting vehicles range passes the number of vehicles in the street.
Likewise, different traffic demand cases demonstrate difference in the performances, the driving modules show differences in the traffic performances as well. The cautious and aggressive driving mode illustrate higher and lower travel time respectively, than the normal driving mode. Cautious driving modes conserve the safe measures in high level which elongate the travel time than normal state. In contrary, the aggressive maintain closer gaps with surroundings and react aggressively in the intersection so travel time reduces and capacity of the segment increases for same amount of traffic demand.
Figure 6. Impact of automation in average travel time.
Figure 6. Impact of automation in average travel time.
Preprints 84113 g006
A similar trend can be experienced from the Figure 7 for the speed as speed and travel time act together, experienced in previous section. The traffic demand cases and driving modules depict similar trend but inversely. To exhibit a concave shaped travel time plot, the speed plot needs to be a convex shaped.
Figure 7. Impact of automation in average speed.
Figure 7. Impact of automation in average speed.
Preprints 84113 g007
The delay time is also affected similarly like previous two traffic performance indicators what can be seen in the Figure 8. Delay time maintain similar concave shape like travel time. Automation features such as early slowing down in the intersection, collision prevention measures and connectivity of the C/AVs deduce the delay time in general and hold similar trend like its ancestors.
Figure 8. Impact of automation in average delay time.
Figure 8. Impact of automation in average delay time.
Preprints 84113 g008
The safety aspect of introduction of C/AVs in the network has positive responses. Figure 9 depicts the safety aspects in terms of total number of conflictions for different traffic demand of C/AVs. The safety can be set on for two different values of TTC, TTC = 0.75 sec and 1.5 sec as per the discussion in previous section. Some observations have been repeated as like previous performance studies, traffic performance and emission.
Figure 9. Impact of automation in safety TTC = 0.75 sec, PET = 1.5 sec and TTC = 1.5 sec, PET = 1.5 sec respectively from top.
Figure 9. Impact of automation in safety TTC = 0.75 sec, PET = 1.5 sec and TTC = 1.5 sec, PET = 1.5 sec respectively from top.
Preprints 84113 g009
In first place, smaller the TTC, higher will be the number of potential conflicts in the network. For smaller TTC, the system defines more conflictions in the traffic manoeuvres. Secondly, higher the traffic demand, higher will be the total number of conflicts because vehicles confrontation each other’s in higher frequency which lead to higher possible conflictions. Thirdly, the turning point of the performances are still in the range of 50-60% and the reason of such recurrence of the trends is same as previous subsections. Lastly, the CAVs encounter slightly lesser numbers of conflicts in the network as they come with additional connectivity features.

5.3. Sensitivity Analysis

Three hundred thirty scenarios of different combinations of AVs have been investigated for eight driving parameters of autonomous vehicles which significantly impact the performance in the road traffic. The sensitivity analysis (SA) is performed in two steps, preliminary sensitivity analysis and cross-correlational sensitivity analysis. In the preliminary stage, eighty-eight scenarios are scrutinized to find the presiding driving parameters from eight driving behavior parameters. In the cross-correlational sensitivity analysis, two hundred forty-two scenarios are investigated to create the SA for the dominating parameters found from the preliminary stage. An AV penetration value of 60% is on the conservatively stable side of the simulation. A lesser number of AVs will demonstrate a lesser impact in the scenarios originated from the presence of AVs. In opposition, a higher number of AVs might bring severe changes in the real world’s driving behaviors, which can be seen in the previous sections. For higher penetration, the scenarios of mixed traffic move towards fully automation scenarios, which can be studied better with different consideration (Chen et al. 2017b). The entire SA is experimented for the peak hour demand to eliminate the effect of under or over presence of the vehicles in this controlled study corridor.
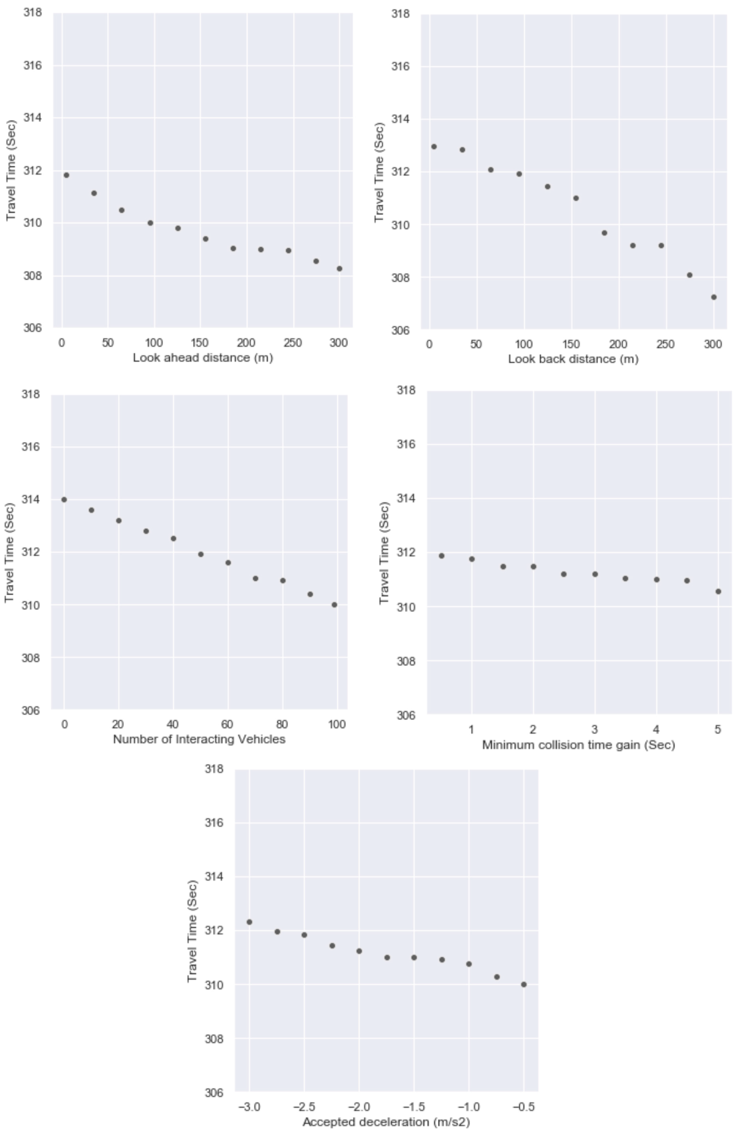
Preliminary SA has been performed for total eight driving parameters: look ahead distance, look back distance, number of interacting vehicles, minimum collision time gain, minimum clearance (front/rear), accepted deceleration, standstill distance and gap time distribution. The travel time is used as performance indicator as it has shown quite distinguishable responses for this study corridor in previous sections. Figure 10 shows that look ahead distance, look back distance, number of interacting vehicles, minimum collision time gain, and accepted deceleration show inversely proportional responses towards the performance indicator in each range.
Figure 10. Look ahead distance, look back distance, number of interacting vehicles, minimum collision time gain and accepted deceleration show inversely proportional responses.
Figure 10. Look ahead distance, look back distance, number of interacting vehicles, minimum collision time gain and accepted deceleration show inversely proportional responses.
Preprints 84113 g010
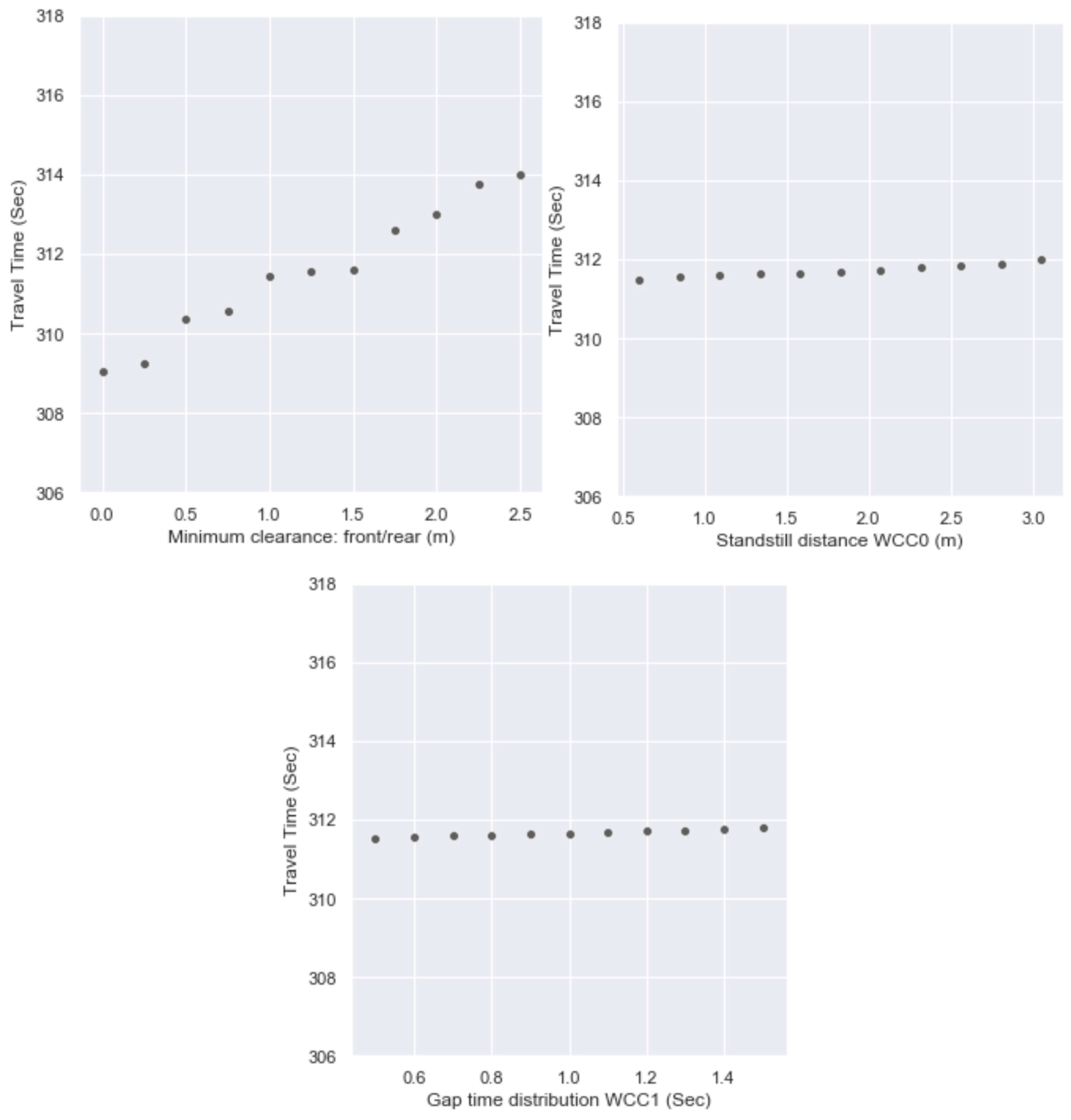
Figure 11 shows minimum clearance: front/ rear, standstill distance and gap time distribution show proportional responses towards the performance indicator in each range.
Figure 11. Minimum clearance: front/ rear, standstill distance and gap time distribution show inversely proportional responses.
Figure 11. Minimum clearance: front/ rear, standstill distance and gap time distribution show inversely proportional responses.
Preprints 84113 g011
The look back distance, number of interacting vehicles and minimum clearance (front/rear) show domination than any other parameters, in the travel time. At this point, further sensitivity analysis can be carried out for three most influential driving parameters: number of interacting vehicles, minimum clearance (front/rear) and look back distance. Figure 12 shows the percentage of variations between the initial and final value of individual driving parameters.
Figure 12. Percentage of variation.
Figure 12. Percentage of variation.
Preprints 84113 g012
The final stage of the sensitivity analysis has been planned for two sets of driving parameters: 1. Minimum clearance (front/ rear) and number of interacting vehicles and 2. Look back distance and number of interacting vehicles. These two sets will create an experimental arrangement of two cross-correlational sensitivity analyses, where the number of interacting vehicles is presented in both setups. Two traffic performance indicators, travel time and speed, have been used to strengthen the outcomes of the SA.
The results of the final SA are presented in Figure 13 and Figure 14 using a heat map. The heat map is a good demonstration for the impact study that was generated from the combination of the driving parameters. The heat map in Figure 13 depicts how two driving parameters, one with proportional and another with in-verse proportional behavior, respond jointly in the scenarios. The lowest region of travel time, the optimum, is found in the range between 1.0 – 1.75m of minimum clearance: front/ rear and 30 – 50 of number of interacting vehicles. Similarly, the performance indicator speed becomes distinguishably high in the same range of driving parameters. This strengthens the impression of the travel time heat map. On the contrary, the heat map in Figure 14 depicts how two inversely proportional driving parameters correspond to one another in the scenarios. In this category of cross-correlational SA, travel time significantly decreases and speed increases for a higher number of interacting vehicles and greater look back distance.
Figure 13. Cross-correlational sensitivity analysis for minimum clearance – number of interacting vehicles (a) Average travel time and (b) Average speed.
Figure 13. Cross-correlational sensitivity analysis for minimum clearance – number of interacting vehicles (a) Average travel time and (b) Average speed.
Preprints 84113 g013
Figure 14. Cross-correlational sensitivity analysis for look back distance – number of interacting vehicles (a) Average travel time and (b) Average speed.
Figure 14. Cross-correlational sensitivity analysis for look back distance – number of interacting vehicles (a) Average travel time and (b) Average speed.
Preprints 84113 g014

6. Conclusion

It became evident that CAVs behave better than AVs in every circumstance after an attempt to imitate human-like connected and/or autonomous vehicles (C/AVs). There have been shown to be two distinct observations. The greater traffic performance occurs when there is a 50–70% penetration of these new vehicle types: AV or CAV with human driven vehicles. On the contrary, greater traffic performance occurs when there is a higher penetration of these new vehicle types in the mix traffic of HV-AV-CAV. These situations can be explained in two ways. When automation of AV or CAV take place in the traffic, it has advantage over human driven vehicle. So, if there is a proportion of HV-AV-CAV of 40%-20%-40%, there are 60% automation present in the road. According to other plan, if only CAV or AV are replaced by HV, then automation appears differently. In this state, the number of interacting vehicle becomes important. For this study it was 5, means 5 vehicles can act to each other. More automation cannot help after the yield point of 50-70%. These locally linked vehicles benefit from a narrower radial range. With increasing number of interacting vehicle, the traffic performance will get better with higher penetration of automation in the traffic. This illustrates the need for technical advancement in the real world. A traffic performance-based analysis, like this one, demonstrates the advantages of adding CAVs to the traffic in greater numbers, in contrast to a traffic flow and road capacity-based study (Park et al. 2021).

7. Future work

Only platoon building and traffic signal slowing are implemented from V2V and V2I features in this study. There are numerous other CAV advancements that can be studied, including vehicle-to-pedestrian (V2P), controlled mobility pattern, and early congestion warning (Iranmanesh et al. 2022). Research into C/AVs that resemble humans can be done using other car-following models besides Wiedermann’s psycho-physical model. Implementing the Gipps car following model, which offers a safety distance concept, would be one interesting approach. This study also shown that a few car following behaviors get higher degree of influence in the performance. These can be used to study the CAVs and AVs in future researches.

Acknowledgments

The authors would like to express their heartfelt gratitude to Dr. Nima Dadash-Zadeh, post-doctoral research fellow at the University of Portsmouth, for his support and guidance in this research. They are also thankful to Dr. Michalis Makridis, senior researcher at ETH Zürich (Eidgenössische Technische Hochschule Zürich) for helping to prepare the visualization.

References

  1. Atkins, Department for Transport (2016): Research on the impacts of connected and autonomous vehicles on traffic flow. Stage 2: Traffic Modelling and Analysis, Technical Report. Version 2.1: Department of Transport (5145311).
  2. Aziz, M. T. (2018): Comparing two different traffic simulation environments for simulating urban bicycle highway traffic - the case of SUMO and PTV VISSIM. Master. Technical University of Munich, Munich, Germany.
  3. Bagloee, Saeed Asadi; Tavana, Madjid; Asadi, Mohsen; Oliver, Tracey (2016): Autonomous vehicles: challenges, opportunities, and future implications for transportation policies. In: Journal of Modern Transportation 24 (4), S. 284–303. DOI: 10.1007/s40534-016-0117-3. [CrossRef]
  4. Bohm, F.; Häger, K. (2015): Introduction of Autonomous Vehicles in the Swedish Traffic System. Effects and Changes Due to the New Self-Driving Car Technology.
  5. Calvert, S. C.; Schakel, W. J.; van Lint, J. W. C. (2017): Will Automated Vehicles Negatively Impact Traffic Flow? In: Journal of Advanced Transportation 2017 (1), S. 1–17. DOI: 10.1155/2017/3082781. [CrossRef]
  6. Hossein, S. A. (2018): Development of traffic control strategy for urban bicycle highways. Master. Technical University of Munich, Munich, Germany.
  7. International Transport Forum (2022): IRTAD Road Safety Annual Report 2022. OECD/ITF. Online verfügbar unter https://www.itf-oecd.org/sites/default/files/docs/irtad-road-safety-annual-report-2022.pdf, zuletzt geprüft am 09.08.2023.
  8. Iranmanesh, S.; Abkenar, F. S.; Jamalipour, A.; Raad, R. (2022): A Heuristic Distributed Scheme to Detect Falsification of Mobility Patterns in Internet of Vehicles. In: IEEE Internet Things J. 9 (1), S. 719–727. DOI: 10.1109/JIOT.2021.3085315. [CrossRef]
  9. Li, Zhixia; Chitturi, Madhav V.; Yu, Lang; Bill, Andrea R.; Noyce, David A. (2015): Sustainability Effects of Next-Generation Intersection Control for Autonomous Vehicles 30 (3), S. 342–352. DOI: 10.3846/16484142.2015.1080760. [CrossRef]
  10. Liu, Hao; Xiao, Lin; Kan, Xingan; Shladover, Steven E.; Lu, Xiao-Yun; Wang, Meng et al. (2018): Using Cooperative Adaptive Cruise Control (CACC) to Form High-Performance Vehicle Streams. California PATH Program, Final Report.
  11. Makridis, M.; Mattas, K.; Ciuffo, B.; Raposo, M. A.; Toledo, T.; Thiel, C. (2018): Connected and Automated Vehicles on a freeway scenario. Effect on traffic congestion and network capacity. Vienna, Austria: Proceedings of 7th Transport Research Arena TRA 2018.
  12. Mattas, K.; Makridis, M.; Hallac, P.; Raposo, M. A.; Thiel, C.; Toledo, T.; Ciuffo, B. (2018): Simulating deployment of connectivity and automation on the Antwerp ring road. In: IET Intelligent Transport Systems 12 (9), S. 1036–1044. DOI: 10.1049/iet-its.2018.5287. [CrossRef]
  13. Morando, M. M.; Tian, Q.; Truong, L. T.; Vu, H. L. (2018): Studying the Safety Impact of Autonomous Vehicles Using Simulation-Based Surrogate Safety Measures. Melbourne, VIC, Australia: Journal of Advanced Transportation (2018).
  14. Park, J. E.; Byun, W.; Kim, Y.; Ahn, H.; Shin, D. K. (2021): The Impact of Automated Vehicles on Traffic Flow and Road Capacity on Urban Road Networks. In: Journal of Advanced Transportation 2021, S. 1–10. DOI: 10.1155/2021/8404951. [CrossRef]
  15. Parmar, R. (2018): Impact of Driverless cars on urban environment and future of mobility. Master. Politecnico di Milano, Milan. Architecture Urban Planning Construction Engineering.
  16. Pierre-Jean Rigole (2014): Study of a Shared Autonomous Vehicles Based Mobility Solution in Stockholm. Stockholm: KTH Royal Institute of Technology.
  17. PTV (2011): VISSIM 5.30-05 User Manual, zuletzt geprüft am 14.01.2020.
  18. Sadid, Hashmatullah; Qurashi, Moeid; Antoniou, Constantinos (2022): Simulation-based Optimization of Autonomous Driving Behaviors. In: H. Sadid, M. Qurashi und C. Antoniou (Hg.): 2022 IEEE 25th International Conference on Intelligent Transportation Systems (ITSC). 2022 IEEE 25th International Conference on Intelligent Transportation Systems (ITSC). Macau, China, 08/10/2022 - 12/10/2022: IEEE, S. 4101–4108.
  19. SAE International (2018): Taxonomy and definitions for terms related to driving automation systems for on-road motor vehicles. Washington: SAE International.
  20. Shuttleworth, J. (2019): SAE Standards News: J3016 automated-driving graphic update: SAE International. Online verfügbar unter https://www.sae.org/news/2019/01/sae-updates-j3016-automated-driving-graphic, zuletzt geprüft am 10.06.20.
  21. Sonja Forward (2008): Driving Violations: Investigating Forms of Irrational Rationality: Uppsala universitet.
  22. Sukennik, P. (2018): D2.5-Micro-simulation-guide-for-automated-vehicles 1.0.
  23. Toledo, T. (2003): Integrated Driving Behaviour Modelling. PhD Thesis.
  24. Trommer, S.; Kolarova, V.; Fraedrich, E.; Kröger, L.; Kickhöfer, B.; Kuhnimhof, T. et al. (2016): Autonomous Driving. The Impact of Vehicle Automation on Mobility Behaviour: Institute for Mobility Research.
  25. Virdi, N.; Grzybowska, H.; Waller, S. T.; Dixit, V. (2019): A safety assessment of mixed fleets with Connected and Autonomous Vehicles using the Surrogate Safety Assessment Module 131, S. 95–111. DOI: 10.1016/j.aap.2019.06.001. [CrossRef]
  26. Zeidler, V.; Sebastian B., H.; Kautzsch, L.; Vortisch, P.; Weyland, C. M. (2018): Simulation of Autonomous Vehicles based on Wiedemann’s Car Following Model in PTV VISSIM. Washington, DC: 98th Annual Meeting of the Transportation Research Board (TRB).
Disclaimer/Publisher’s Note: The statements, opinions and data contained in all publications are solely those of the individual author(s) and contributor(s) and not of MDPI and/or the editor(s). MDPI and/or the editor(s) disclaim responsibility for any injury to people or property resulting from any ideas, methods, instructions or products referred to in the content.
Copyright: This open access article is published under a Creative Commons CC BY 4.0 license, which permit the free download, distribution, and reuse, provided that the author and preprint are cited in any reuse.
Prerpints.org logo

Preprints.org is a free preprint server supported by MDPI in Basel, Switzerland.

Subscribe

Disclaimer

Terms of Use

Privacy Policy

Privacy Settings

© 2026 MDPI (Basel, Switzerland) unless otherwise stated