Submitted:
11 October 2024
Posted:
14 October 2024
Read the latest preprint version here
Abstract
Keywords:
1. Introduction
2. Problem Definition
3. Methodology
3.1. Fuzzy-Based Convolutional Neural Network (FuzzyCCN)
3.2. Numerical Validation
3.3. PhyCNN Model
3.4. Experimental Validation
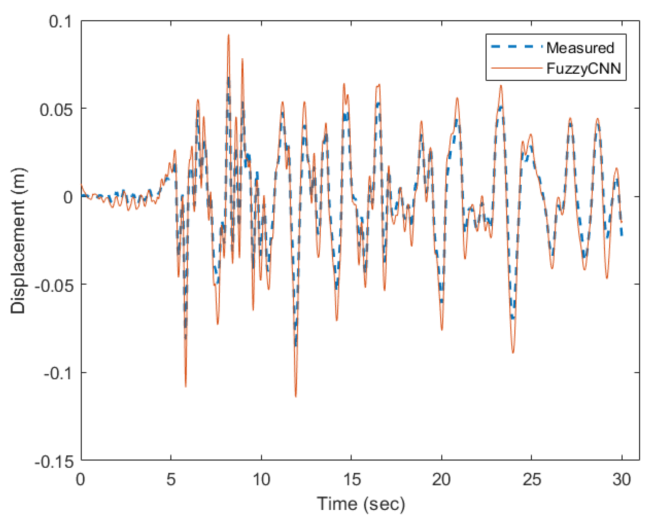
4. Results and Discussion
5. Conclusions
Author Contributions
Funding
Data Availability Statement
Conflicts of Interest
References
- Massone, L.M.; Bedecarratz, E.; Rojas, F.; Lafontaine, M. Nonlinear modeling of a damaged reinforced concrete building and design improvement behavior. Journal of Building Engineering. 2021, 41, 102766. [Google Scholar] [CrossRef]
- Barkhordari, M.; Tehranizadeh, M. Ranking passive seismic control systems by their effectiveness in reducing responses of high-Rise buildings with concrete shear walls using multiple-Criteria decision making. International Journal of Engineering. 2020, 33, 1479–1490. [Google Scholar] [CrossRef]
- Doan, Q.H.; Keshtegar, B.; Kim, S.-E.; Thai, D.-K. Generative adversarial networks for overlapped and imbalanced problems in impact damage classification. Information Sciences. 2024, 675, 120752. [Google Scholar] [CrossRef]
- Tahaii, S.M.; Hamidi, H.; Vaseghi Amiri, J. Inelastic Seismic Demand of Steel-Plate Shear Wall Structures: Emphasis on the PTD Effect. International Journal of Civil Engineering. 2022, 20, 1145–1163. [Google Scholar] [CrossRef]
- Mai, S.H.; Dang, H.-K.; Nguyen, V.T.; Thai, D.-K. Stochastic nonlinear inelastic analysis for steel frame structure using Monte Carlo sampling. Ain Shams Engineering Journal. 2023, 14, 102527. [Google Scholar] [CrossRef]
- Thai, D.-K.; Le, D.-N.; Doan, Q.H.; Pham, T.-H.; Nguyen, D.-N. A hybrid model for classifying the impact damage modes of fiber reinforced concrete panels based on XGBoost and Horse Herd Optimization algorithm. Structures. 2024, 60, 105872. [Google Scholar] [CrossRef]
- Aminian, F.M.; Khojastehfar, E.; Ghanbari, H. Effects of near-fault strong ground motions on probabilistic structural seismic-induced damages. Civil Engineering Journal. 2019, 5, 796–809. [Google Scholar] [CrossRef]
- Dang, H.-K.; Thai, D.-K.; Kim, S.-E. Stochastic analysis of steel frames considering the material, geometrical and loading uncertainties. Advances in Engineering Software. 2023, 179, 103434. [Google Scholar] [CrossRef]
- Raoufy, A.A.; Kheyroddin, A.; Naderpour, H. Seismic Vulnerability Assessment of Reinforced Concrete Hospital Buildings Using Rapid Visual Screening Method According to FEMA P-154 criteria and Iranian Code# 364. Civil Infrastructure Researches. 2023, 9, 77–93. [Google Scholar] [CrossRef]
- Bond, R.B.; Ren, P.; Sun, H.; Hajjar, J.F., editors. Physics-Guided Machine Learning for Structural Metamodeling and Fragility Analysis. International Conference on the Behaviour of Steel Structures in Seismic Areas; 2024: Springer.
- Alizadeh, R.; Allen, J.K.; Mistree, F. Managing computational complexity using surrogate models: a critical review. Research in Engineering Design. 2020, 31, 275–298. [Google Scholar] [CrossRef]
- Kleijnen, J.P. Kriging metamodeling in simulation: A review. European journal of operational research. 2009, 192, 707–716. [Google Scholar] [CrossRef]
- Spiridonakos, M.D.; Chatzi, E.N. Metamodeling of dynamic nonlinear structural systems through polynomial chaos NARX models. Computers & Structures. 2015, 157, 99–113. [Google Scholar] [CrossRef]
- Clarke, S.M.; Griebsch, J.H.; Simpson, T.W. Analysis of support vector regression for approximation of complex engineering analyses. 2005. [CrossRef]
- Zhang, R.; Liu, Y.; Sun, H. Physics-informed multi-LSTM networks for metamodeling of nonlinear structures. Computer Methods in Applied Mechanics and Engineering. 2020, 369, 113226. [Google Scholar] [CrossRef]
- Eshkevari, S.S.; Takáč, M.; Pakzad, S.N.; Jahani, M. DynNet: Physics-based neural architecture design for nonlinear structural response modeling and prediction. Engineering Structures. 2021, 229, 111582. [Google Scholar] [CrossRef]
- Zhang, R.; Liu, Y.; Sun, H. Physics-guided convolutional neural network (PhyCNN) for data-driven seismic response modeling. Engineering Structures. 2020, 215, 110704. [Google Scholar] [CrossRef]
- Xu, K.; Wang, Q.; Yang, X.; Ding, D.; Zhao, Z.; Hu, Z. , et al. Novel physics-informed neural network approach for dynamic and static displacement reconstruction via strain and acceleration. Measurement. 2024, 114588. [Google Scholar] [CrossRef]
- Hu, Y.; Guo, W.; Shi, C. Physics knowledge-based transfer learning between buildings for seismic response prediction. Soil Dynamics and Earthquake Engineering. 2024, 177, 108420. [Google Scholar] [CrossRef]
- Shen, S.; Málaga-Chuquitaype, C. Physics-informed artificial intelligence models for the seismic response prediction of rocking structures. Data-Centric Engineering. 2024, 5, e1. [Google Scholar] [CrossRef]
- Behnamfar, F.; Hadian, A.; Farazmand, M. Ductility demand estimation of high-rise steel special moment frames due to structure-pile-soil interaction. Geomechanics and Geoengineering. 2024, 1–13. [Google Scholar] [CrossRef]
- Farazmand, M.; Behnamfar, F.; Aziminejad, A. Effects of the vertical and horizontal components of near-field ground motions on the seismic behavior of buildings considering soil-structure interaction. Available at SSRN 4602706. 2023. https://ssrn.com/abstract=4602706.
- Beyki Milajerdi, M.; Behnamfar, F. Soil-structure interaction analysis using neural networks optimised by genetic algorithm. Geomechanics and Geoengineering. 2022, 17, 1369–1387. [Google Scholar] [CrossRef]
- Akhoondi, M.R.; Behnamfar, F. Seismic fragility curves of steel structures including soil-structure interaction and variation of soil parameters. Soil Dynamics and Earthquake Engineering. 2021, 143, 106609. [Google Scholar] [CrossRef]
- Madani, B.; Behnamfar, F. Parametric Study of Structure-Soil-Structure Interaction in Time and Frequency Domains. Amirkabir Journal of Civil Engineering. 2021, 52, 2761–2778. [Google Scholar] [CrossRef]
- Kermani, M.; Saadatpour, M.M.; Behnamfar, F.; Ghandil, M. Effects of seismic pounding between adjacent structures considering structure-soil-structure interaction. Scientia Iranica. 2020, 27, 2230–2246. [Google Scholar] [CrossRef]
- Chen, M.-S.; Wang, S.-W. Fuzzy clustering analysis for optimizing fuzzy membership functions. Fuzzy Sets and Systems. 1999, 103, 239–254. [Google Scholar] [CrossRef]
- Kumar, M.; Stoll, R.; Stoll, N. A robust design criterion for interpretable fuzzy models with uncertain data. IEEE Transactions on Fuzzy Systems. 2006, 14, 314–328. [Google Scholar] [CrossRef]
- Thomas, J.W. Numerical Partial Differential Equations: Finite Difference Methods. Midtown Manhattan, New York City: Springer New York, NY; 2013.
- Barkhordari, M.S.; Armaghani, D.J.; Asteris, P.G. Structural damage identification using ensemble deep convolutional neural network models. Comput Model Eng Sci. 2022, 134, 2. [Google Scholar] [CrossRef]
- Tian, Y.; Zhang, Y. A comprehensive survey on regularization strategies in machine learning. Information Fusion. 2022, 80, 146–166. [Google Scholar] [CrossRef]
- Yi, D.; Ahn, J.; Ji, S. An effective optimization method for machine learning based on ADAM. Applied Sciences. 2020, 10, 1073. [Google Scholar] [CrossRef]
- Goulet, C.A.; Kishida, T.; Ancheta, T.D.; Cramer, C.H.; Darragh, R.B.; Silva, W.J. , et al. PEER NGA-east database. Earthquake Spectra. 2021, 37, 1331–1353. [Google Scholar] [CrossRef]
- Ancheta, T.D.; Darragh, R.B.; Stewart, J.P.; Seyhan, E.; Silva, W.J.; Chiou BS, J.; Wooddell, K.E.; Graves, R.W.; Kottke, A.R.; Boore, D.M.; Kishida, T.; Donahue, J.L. PEER NGA-West2 Database, PEER Report 2013-03. University of California, Berkeley, CA; 2013.
- Haddadi, H.; Shakal, A.; Huang, M.; Parrish, J.; Stephens, C.; Savage, W., et al., editors. Report on progress at the center for engineering strong motion data (CESMD). The 15th world conference on earthquake engineering Lisbon, Portugal; 2012.
- Han, Z.; Gao, C.; Liu, J.; Zhang, S.Q. Parameter-efficient fine-tuning for large models: A comprehensive survey. arXiv preprint arXiv:240314608. 2024. arXiv:240314608. 2024.
- Naderpour, H.; SoltaniMatin, A.; Kheyroddin, A.; Fakharian, P.; Ezami, N. Optimizing Seismic Performance of Tuned Mass Dampers at Various Levels in Reinforced Concrete Buildings. Buildings [Internet]. 2024, 14(8).
- Guo, J.; Enokida, R.; Li, D.; Ikago, K. Combination of physics-based and data-driven modeling for nonlinear structural seismic response prediction through deep residual learning. Earthquake Engineering & Structural Dynamics. 2023, 52, 2429–2451. [Google Scholar] [CrossRef]
- Ghanizadeh, A.R.; Aziminejad, A.; Asteris, P.G.; Armaghani, D.J. Soft Computing to Predict Earthquake-Induced Soil Liquefaction via CPT Results. Infrastructures [Internet]. 2023, 8, 8. [Google Scholar] [CrossRef]









| Prameter | Value |
|---|---|
| Activation functions | ReLU |
| Number of filters | 64 |
| Size of the convolutional filter | 50 |
| Stride of the convolution | 1 |
| Padding | Same |
| Use bias | True |
| Last layer | Dense with 50 neurons |
Disclaimer/Publisher’s Note: The statements, opinions and data contained in all publications are solely those of the individual author(s) and contributor(s) and not of MDPI and/or the editor(s). MDPI and/or the editor(s) disclaim responsibility for any injury to people or property resulting from any ideas, methods, instructions or products referred to in the content. |
© 2024 by the authors. Licensee MDPI, Basel, Switzerland. This article is an open access article distributed under the terms and conditions of the Creative Commons Attribution (CC BY) license (http://creativecommons.org/licenses/by/4.0/).