Submitted:
02 October 2024
Posted:
03 October 2024
You are already at the latest version
Abstract
Keywords:
1. Introduction
2. Materials and Methods
2.1. Selection of Low-Cost Sensors
2.2. Co-Location Site and Reference Instruments
2.3. Overview of Co-Location Measurement
2.4. Datasets and Preparatory Analysis
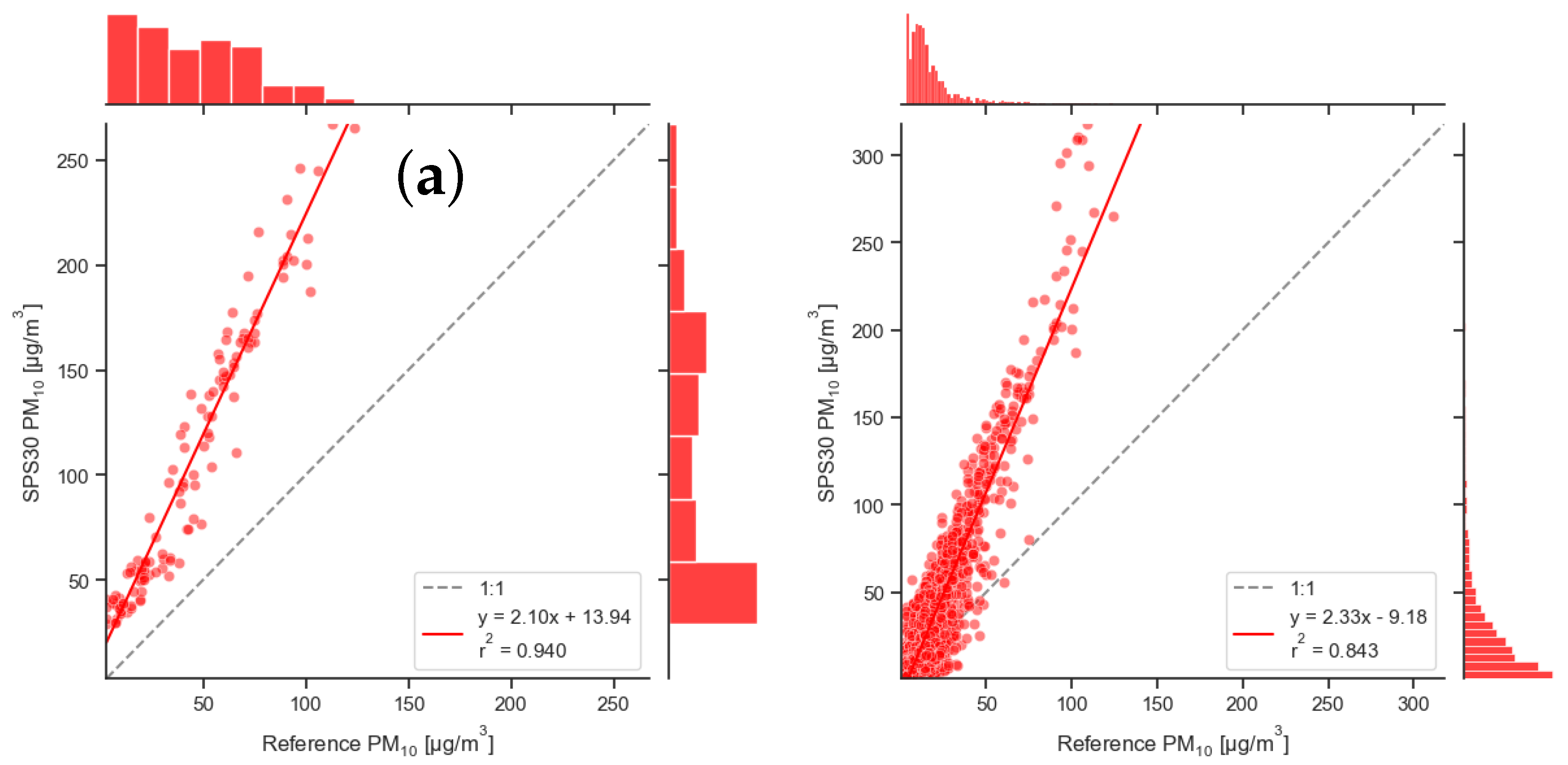
3. Results
3.1. Key Findings from Winter Evaluation Period
3.2. LCS Performace During Polish Smog
3.3. LCS Performace During Saharan Dust Storm
4. Discussion
4.1. Practical applicability
4.2. Limitations
5. Conclusions
Author Contributions
Funding
Data Availability Statement
Acknowledgments
Conflicts of Interest
Abbreviations
| PM1 | Particulate Matter with diameter micrometer |
| PM2.5 | Particulate Matter with diameter micrometers |
| PM10 | Particulate Matter with diameter micrometers |
| CO | Carbon Monoxide |
| CAMS | Copernicus Atmospheric Monitoring Service |
| VOCs | Volatile Organic Compounds |
| O3 | Ozone |
| LCS | Low-Cost Sensors |
| AQM | Air Quality Monitoring |
| EU | European Union |
| RMSE | Root Mean Square Error |
| RH | Relative Humidity |
| NDIR | Nondispersive Infrared |
| TEOM | Tapered Element Oscillating Microbalance |
| LoD | Limit of Detection |
| CSV | Comma-Separated Value |
| MLR | Multilinear Regression |
| MAE | Mean Average Error |
| GMT | Greenwich Mean Time |
| SLR | Simple Linear Regression |
| atmospy | Python library for atmospheric data analysis |
| smps-py | Python library for particle size distribution analysis |
| NO2 | Nitrogen Dioxide |
| UV | Ultraviolet Radiation |
| r | Pearson Correlation Coefficient |
| CO concentration measured by LCS | |
| Reference CO concentration | |
| CO Concentration from CAMS model | |
| Reference PM10 concentration | |
| S1 | Smog Episode 1 |
| S2 | Smog Episode 2 |
| Coefficient of Determination |
| ANN | Artificial Neural Network |
| HDMR | High-Dimensional Model Representation |
| LoRaWAN | Long Range Wide Area Network |
| ASA | Acrylonitrile Styrene Acrylate (3D printing material) |
| MQTT | Message Queuing Telemetry Transport |
Appendix A. LCS Node Design and Data Management
Appendix A.1. Hardware Description

Appendix A.2. Datalogging
References
- Svozilík, V.; Svozilíková Krakovská, A.; Bitta, J.; Jančík, P. Comparison of the Air Pollution Mathematical Model of PM10 and Moss Biomonitoring Results in the Tritia Region. Atmosphere 2021, 12, 656, Number: 6 Publisher: Multidisciplinary Digital Publishing Institute. [Google Scholar] [CrossRef]
- Volná, V.; Hladký, D.; Seibert, R.; Krejčí, B. Transboundary Air Pollution Transport of PM10 and Benzo[a]pyrene in the Czech–Polish Border Region. Atmosphere 2022, 13, 341, Number: 2 Publisher: Multidisciplinary Digital Publishing Institute. [Google Scholar] [CrossRef]
- Volná, V.; Seibert, R.; Hladký, D.; Krejčí, B. Identification of Causes of Air Pollution in a Specific Industrial Part of the Czech City of Ostrava in Central Europe. Atmosphere 2024, 15, 177, Number: 2 Publisher: Multidisciplinary Digital Publishing Institute. [Google Scholar] [CrossRef]
- Wielgosiński, G.; Czerwińska, J. Smog Episodes in Poland. Atmosphere 2020, 11, 277, Number: 3 Publisher: Multidisciplinary Digital Publishing Institute. [Google Scholar] [CrossRef]
- Castell, N.; Dauge, F.R.; Schneider, P.; Vogt, M.; Lerner, U.; Fishbain, B.; Broday, D.; Bartonova, A. Can commercial low-cost sensor platforms contribute to air quality monitoring and exposure estimates? Environment International 2017, 99, 293–302. [Google Scholar] [CrossRef]
- Gabrys, J. Planetary health in practice: sensing air pollution and transforming urban environments. Humanities and Social Sciences Communications 2020, 7, 1–11, Publisher: Palgrave. [Google Scholar] [CrossRef]
- Mahajan, S.; Chung, M.K.; Martinez, J.; Olaya, Y.; Helbing, D.; Chen, L.J. Translating citizen-generated air quality data into evidence for shaping policy. Humanities and Social Sciences Communications 2022, 9, 1–18, Publisher: Palgrave. [Google Scholar] [CrossRef]
- Camprodon, G.; González, Ó.; Barberán, V.; Pérez, M.; Smári, V.; de Heras, M.Á.; Bizzotto, A. Smart Citizen Kit and Station: An open environmental monitoring system for citizen participation and scientific experimentation. HardwareX 2019, 6, e00070. [Google Scholar] [CrossRef]
- Giordano, M.R.; Malings, C.; Pandis, S.N.; Presto, A.A.; McNeill, V.; Westervelt, D.M.; Beekmann, M.; Subramanian, R. From low-cost sensors to high-quality data: A summary of challenges and best practices for effectively calibrating low-cost particulate matter mass sensors. Journal of Aerosol Science 2021, 158, 105833. [Google Scholar] [CrossRef]
- Cross, E.S.; Williams, L.R.; Lewis, D.K.; Magoon, G.R.; Onasch, T.B.; Kaminsky, M.L.; Worsnop, D.R.; Jayne, J.T. Use of electrochemical sensors for measurement of air pollution: correcting interference response and validating measurements. Atmospheric Measurement Techniques 2017, 10, 3575–3588. [Google Scholar] [CrossRef]
- Han, P.; Mei, H.; Liu, D.; Zeng, N.; Tang, X.; Wang, Y.; Pan, Y. Calibrations of Low-Cost Air Pollution Monitoring Sensors for CO, NO2, O3, and SO2 2021.
- Hagan, D.H.; Isaacman-VanWertz, G.; Franklin, J.P.; Wallace, L.M.M.; Kocar, B.D.; Heald, C.L.; Kroll, J.H. Calibration and assessment of electrochemical air quality sensors by co-location with regulatory-grade instruments. Atmospheric Measurement Techniques 2018, 11, 315–328, Publisher: Copernicus GmbH. [Google Scholar] [CrossRef]
- Liang, L.; Daniels, J. What Influences Low-cost Sensor Data Calibration? - A Systematic Assessment of Algorithms, Duration, and Predictor Selection. Aerosol and Air Quality Research 2022, 22, 220076, Publisher: Taiwan Association for Aerosol Research. [Google Scholar] [CrossRef]
- METEO FRANCE.; Institut national de l’environnement industriel et des risques (Ineris).; Aarhus University.; Norwegian Meteorological Institute (MET Norway).; Jülich Institut für Energie- und Klimaforschung (IEK).; Institute of Environmental Protection – National Research Institute (IEP-NRI).; Koninklijk Nederlands Meteorologisch Instituut (KNMI).; Nederlandse Organisatie voor toegepast-natuurwetenschappelijk onderzoek (TNO).; Swedish Meteorological and Hydrological Institute (SMHI).; Finnish Meteorological Institute (FMI).; Italian National Agency for New Technologies, Energy and Sustainable Economic Development (ENEA).; Barcelona Supercomputing Center (BSC). CAMS European air quality forecasts, ENSEMBLE data. 2022. Available online: https://ads.atmosphere.copernicus.eu/cdsapp#!/dataset/cams-europe-air-quality-forecasts?tab=overview (accessed on 1 August 2024).
- Zhang, X.; Zhou, B.; Li, Z.; Lin, Y.; Li, L.; Han, Y. Seasonal Distribution of Atmospheric Coarse and Fine Particulate Matter in a Medium-Sized City of Northern China. Toxics 2022, 10, 216, Number: 5 Publisher: Multidisciplinary Digital Publishing Institute. [Google Scholar] [CrossRef]
- Zareba, M.; Weglinska, E.; Danek, T. Air pollution seasons in urban moderate climate areas through big data analytics. Scientific Reports 2024, 14, 3058, Publisher: Nature Publishing Group. [Google Scholar] [CrossRef]
- Roberts, F.; Van Valkinburgh, K.; Green, A.; Post, C.J.; Mikhailova, E.A.; Commodore, S.; Pearce, J.L.; Metcalf, A.R. Evaluation of a new low-cost particle sensor as an internet-of-things device for outdoor air quality monitoring. Journal of the Air & Waste Management Association 2022, 72, 1219–1230, Publisher: Taylor & Francis _eprint. [Google Scholar] [CrossRef]
- Kuula, J.; Mäkelä, T.; Aurela, M.; Teinilä, K.; Varjonen, S.; González, Ó.; Timonen, H. Laboratory evaluation of particle-size selectivity of optical low-cost particulate matter sensors. Atmospheric Measurement Techniques 2020, 13, 2413–2423, Publisher: Copernicus GmbH. [Google Scholar] [CrossRef]
- Vogt, M.; Schneider, P.; Castell, N.; Hamer, P. Assessment of Low-Cost Particulate Matter Sensor Systems against Optical and Gravimetric Methods in a Field Co-Location in Norway. Atmosphere 2021, 12, 961. [Google Scholar] [CrossRef]
- Molina Rueda, E.; Carter, E.; L’Orange, C.; Quinn, C.; Volckens, J. Size-Resolved Field Performance of Low-Cost Sensors for Particulate Matter Air Pollution. Environmental Science & Technology Letters 2023, 10, 247–253, Publisher: American Chemical Society. [Google Scholar] [CrossRef]
- Kaur, K.; Kelly, K.E. Performance evaluation of the Alphasense OPC-N3 and Plantower PMS5003 sensor in measuring dust events in the Salt Lake Valley, Utah. Atmospheric Measurement Techniques 2023, 16, 2455–2470, Publisher: Copernicus GmbH. [Google Scholar] [CrossRef]
- Bittner, A.S.; Cross, E.S.; Hagan, D.H.; Malings, C.; Lipsky, E.; Grieshop, A. Performance Characterization of Low-cost Air Quality Sensors for Off-grid Deployment in Rural Malawi 2021. [CrossRef]
- Topalović, D.B.; Davidović, M.D.; Jovanović, M.; Bartonova, A.; Ristovski, Z.; Jovašević-Stojanović, M. In search of an optimal in-field calibration method of low-cost gas sensors for ambient air pollutants: Comparison of linear, multilinear and artificial neural network approaches. Atmospheric Environment 2019, 213, 640–658. [Google Scholar] [CrossRef]
| 1 | For more detailed information on the given topic, see <https://atmosphere.copernicus.eu/climate-atmosphere-podcast-understanding-impact-saharan-dust-storms> |











| Period | Start | End | Hum. (%) | Temp. (°C) | Pres. (hPa) |
|---|---|---|---|---|---|
| S1 | 2023-12-05 | 2023-12-09 | |||
| S2 | 2024-03-29 | 2024-04-03 |
Disclaimer/Publisher’s Note: The statements, opinions and data contained in all publications are solely those of the individual author(s) and contributor(s) and not of MDPI and/or the editor(s). MDPI and/or the editor(s) disclaim responsibility for any injury to people or property resulting from any ideas, methods, instructions or products referred to in the content. |
© 2024 by the authors. Licensee MDPI, Basel, Switzerland. This article is an open access article distributed under the terms and conditions of the Creative Commons Attribution (CC BY) license (http://creativecommons.org/licenses/by/4.0/).