Submitted:
27 September 2024
Posted:
29 September 2024
You are already at the latest version
Abstract

Keywords:
1. Introduction
2. Materials and Methods
2.1. MNPs` Preparation with Coprecipitation
2.2. MNPs-Au Preparation with USP
2.3. Optical Emission Spectrometry with Inductively Coupled Plasma (ICP-OES)
2.4. Transmission Electron Microscopy (TEM) and Energy Dispersive X-ray Spectroscopy (EDS)
2.5. Scanning Electron Microscopy (SEM) and EDS
2.6. Dynamic Light Scattering (DLS) and Zeta Potential
2.7. Magnetic Measurement
3. Results
3.1. TEM Analysis
3.2. SEM Analysis
3.3. ICP-OES Analysis of the Prepared MNPs-Au Suspension
3.4. DLS and Zeta Potential Analysis
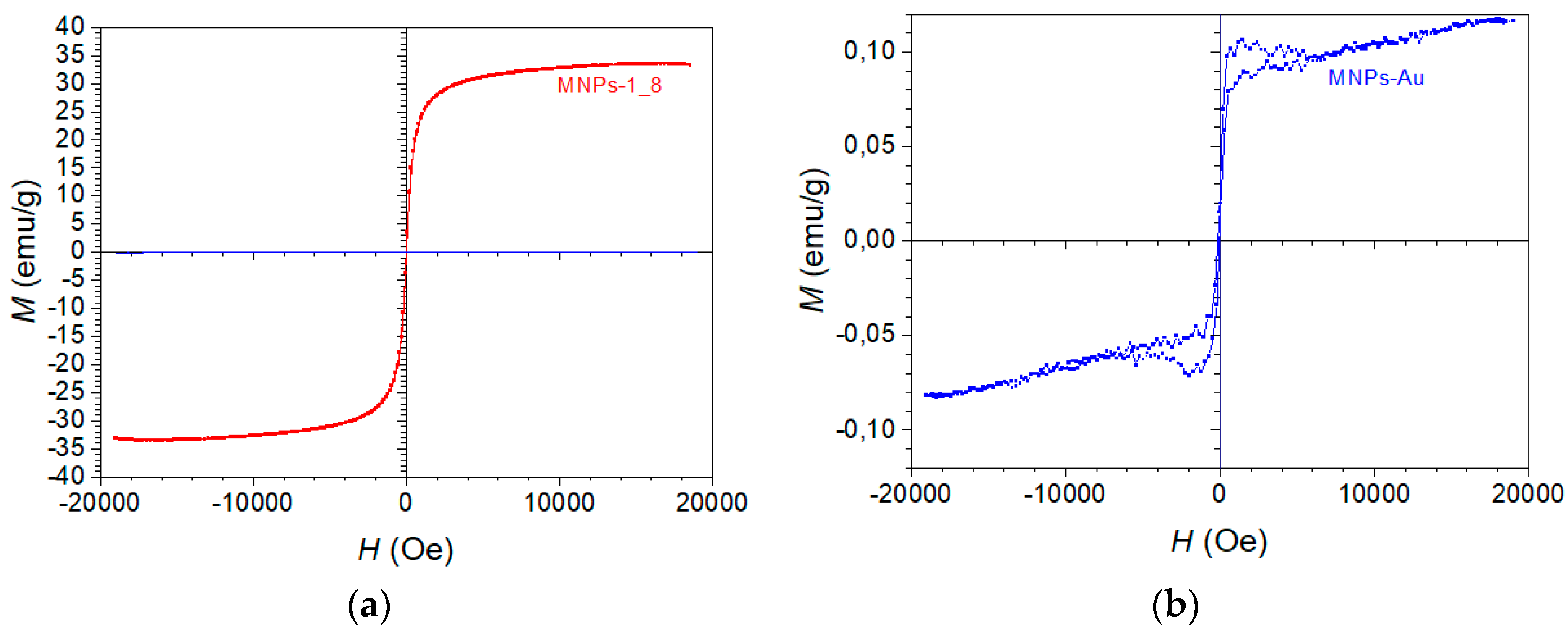
3.4. Magnetic Properties
4. Discussion
5. Conclusions
Author Contributions
Funding
Data Availability Statement
Acknowledgments
Conflicts of Interest
References
- G.F. Stiufiuc, R.I. Stiufiuc, Magnetic Nanoparticles: Synthesis, Characterization, and Their Use in Biomedical Field, Applied Sciences (Switzerland) 14 (2024). [CrossRef]
- A. Ali, T.; Shah, R. Ullah, P. Zhou, M. Guo, M. Ovais, Z. Tan, Y.K. Rui, Review on Recent Progress in Magnetic Nanoparticles: Synthesis, Characterization, and Diverse Applications, Front Chem 9 (2021). [CrossRef]
- C. Shasha, K.M. Krishnan, Nonequilibrium Dynamics of Magnetic Nanoparticles with Applications in Biomedicine, Advanced Materials 33 (2021). [CrossRef]
- D.D. Stueber, J. Villanova, I. Aponte, Z. Xiao, V.L. Colvin, Magnetic nanoparticles in biology and medicine: Past, present, and future trends, Pharmaceutics 13 (2021). [CrossRef]
- F. Soetaert, P. Korangath, D. Serantes, S. Fiering, R. Ivkov, Cancer therapy with iron oxide nanoparticles: Agents of thermal and immune therapies, Adv Drug Deliv Rev 163–164 (2020) 65–83. [CrossRef]
- K. Luo, J. Zhao, C. Jia, Y. Chen, Z. Zhang, J. Zhang, M. Huang, S. Wang, Integration of Fe3O4 with Bi2S3 for Multi-Modality Tumor Theranostics, ACS Appl Mater Interfaces 12 (2020) 22650–22660. [CrossRef]
- O.L. Gobbo, K. Sjaastad, M.W. Radomski, Y. Volkov, A. Prina-Mello, Magnetic nanoparticles in cancer theranostics, Theranostics 5 (2015) 1249–1263. [CrossRef]
- I. Belyanina, O.; Kolovskaya, S.; Zamay, A.; Gargaun, T.; Zamay, A.; Kichkailo, Targeted magnetic nanotheranostics of cancer, Molecules 22 (2017). [CrossRef]
- D. Chang, M.; Lim, J.A.C.M. Goos, R. Qiao, Y.Y. Ng, F.M. Mansfeld, M. Jackson, T.P. Davis, M. Kavallaris, biologically targeted magnetic hyperthermia: Potential and limitations, Front Pharmacol 9 (2018). [CrossRef]
- J. Xie, G. Liu, H.S. Eden, H. Ai, X. Chen, Surface-engineered magnetic nanoparticle platforms for cancer imaging and therapy, Acc Chem Res 44 (2011) 883–892. [CrossRef]
- T.A.P. Rocha-Santos, Sensors and biosensors based on magnetic nanoparticles, TrAC - Trends in Analytical Chemistry 62 (2014) 28–36. [CrossRef]
- A.K. Gupta, M. Gupta, Synthesis and surface engineering of iron oxide nanoparticles for biomedical applications, Biomaterials 26 (2005) 3995–4021. [CrossRef]
- K.C. De Souza, G.F. Andrade, I. Vasconcelos, I.M. De Oliveira Viana, C. Fernandes, E.M.B. De Sousa, Magnetic solid-phase extraction based on mesoporous silica-coated magnetic nanoparticles for analysis of oral antidiabetic drugs in human plasma, Materials Science and Engineering C 40 (2014) 275–280. [CrossRef]
- J.J. Gooding, S. Ciampi, The molecular level modification of surfaces: From self-assembled monolayers to complex molecular assemblies, Chem Soc Rev 40 (2011) 2704–2718. [CrossRef]
- D. Yang, X.; Pang, Y. He, Y. Wang, G. Chen, W. Wang, Z. Lin, Precisely Size-Tunable Magnetic/Plasmonic Core/Shell Nanoparticles with Controlled Optical Properties, Angewandte Chemie 127 (2015) 12259–12264. [CrossRef]
- S. Moraes Silva, R. Tavallaie, L. Sandiford, R.D. Tilley, J.J. Gooding, Gold coated magnetic nanoparticles: From preparation to surface modification for analytical and biomedical applications, Chemical Communications 52 (2016) 7528–7540. [CrossRef]
- I.Y. Goon, L.M.H. Lai, M. Lim, P. Munroe, J.J. Gooding, R. Amal, Fabrication and dispersion of gold-shell-protected magnetite nanoparticles: Systematic control using polyethyleneimine, Chemistry of Materials 21 (2009) 673–681. [CrossRef]
- Y.R. Cui, C. Hong, Y.L. Zhou, Y. Li, X.M. Gao, X.X. Zhang, Synthesis of orientedly bioconjugated core/shell Fe3O 4@Au magnetic nanoparticles for cell separation, Talanta 85 (2011) 1246–1252. [CrossRef]
- A. Ahmadi, H. Shirazi, N. Pourbagher, A. Akbarzadeh, K. Omidfar, An electrochemical immunosensor for digoxin using core-shell gold coated magnetic nanoparticles as labels, Mol Biol Rep 41 (2014) 1659–1668. [CrossRef]
- S. Kayal, R.V. Ramanujan, Anti-cancer drug loaded iron-gold core-shell nanoparticles (Fe@Au) for magnetic drug targeting, J Nanosci Nanotechnol 10 (2010) 5527–5539. [CrossRef]
- M. Kumagai, T.K. Sarmat, H. Cabral, S. Kaida, M. Sekino, N. Herlambang, K. Osada, M.R. Kano, N. Nishiyama, K. Kataoka, Enhanced in vivo magnetic resonance imaging of tumors by PEGylated iron-oxide-gold core-shell nanoparticles with prolonged blood circulation properties, Macromol Rapid Commun 31 (2010) 1521–1528. [CrossRef]
- H. Salehizadeh, E. Hekmatian, M. Sadeghi, K. Kennedy, Synthesis and characterization of core-shell Fe 3 O 4-gold-chitosan nanostructure, 2012. http://www.jnanobiotechnology.com/content/10/1/3.
- S. Moraes Silva, R. Tavallaie, L. Sandiford, R.D. Tilley, J.J. Gooding, Gold coated magnetic nanoparticles: From preparation to surface modification for analytical and biomedical applications, Chemical Communications 52 (2016) 7528–7540. [CrossRef]
- E.E. Carpenter, C. Sangregono, C.J. O’connor, Effects Of Shell Thickness on Blocking Temperature Of Nanocomposites Of Metal Particles With Gold Shells, n.d.










| Sample | µg/ml Fe | µg/ml Au |
| MNPs-Au | 7.0 | 40.6 |
Disclaimer/Publisher’s Note: The statements, opinions and data contained in all publications are solely those of the individual author(s) and contributor(s) and not of MDPI and/or the editor(s). MDPI and/or the editor(s) disclaim responsibility for any injury to people or property resulting from any ideas, methods, instructions or products referred to in the content. |
© 2024 by the authors. Licensee MDPI, Basel, Switzerland. This article is an open access article distributed under the terms and conditions of the Creative Commons Attribution (CC BY) license (https://creativecommons.org/licenses/by/4.0/).