Submitted:
26 September 2024
Posted:
26 September 2024
You are already at the latest version
Abstract
Keywords:
1. Introduction
2. Materials and Methods
2.1. Materials
2.1.1. Proximate and Ultimate Analysis
2.1.2. FTIR Analysis
2.1.3. FESEM Analysis
2.1.4. XRD Analysis
2.2. Experimental Procedures
2.3. Kinetic Method
2.3.1. FWO Method
2.3.2. KAS Method
2.3.3. STR Method
2.6. Thermodynamic Method
3. Results and Discussion
3.1. Pyrolysis and Combustion Properties
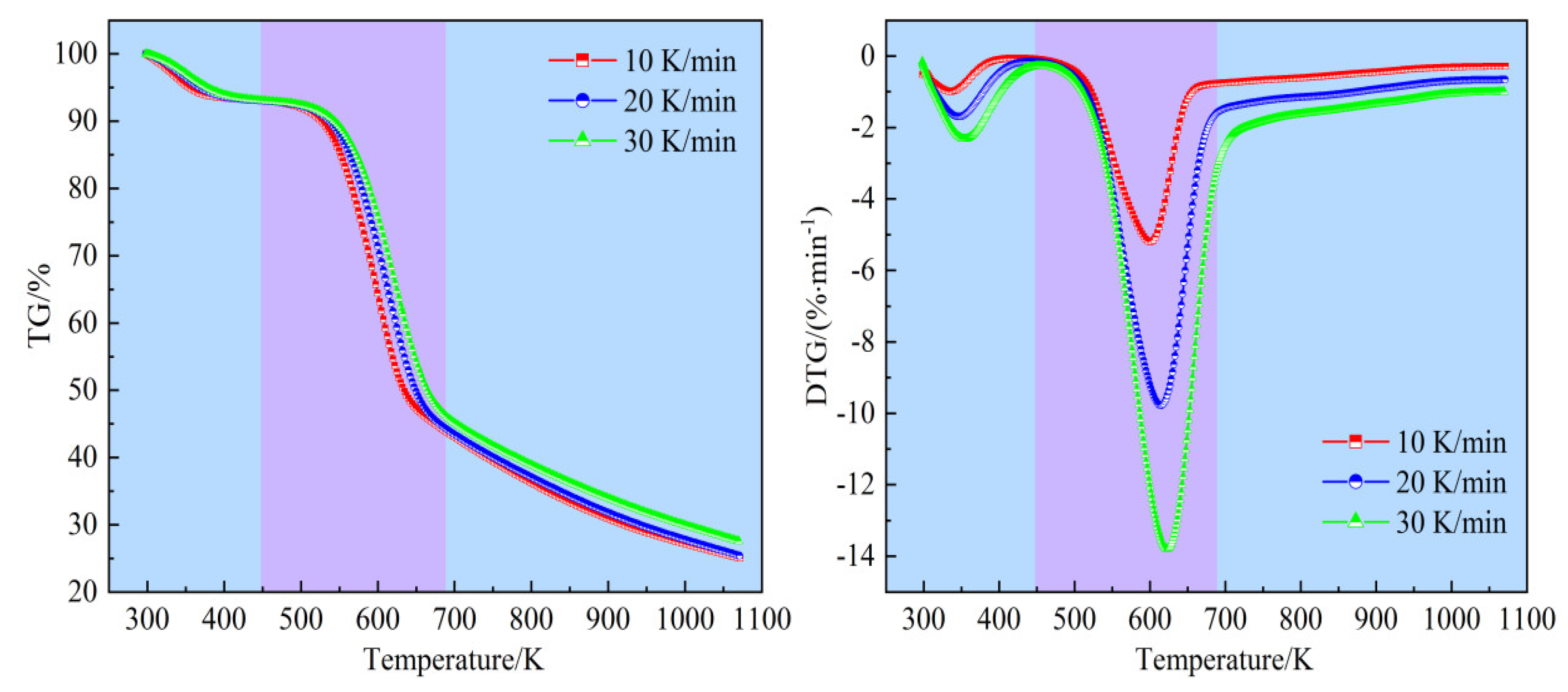
3.1.1. Pyrolysis Characteristics
3.1.2. Combustion Characteristics
3.1.3. Comparison of Pyrolysis and Combustion Characteristics
3.2. Pyrolysis and Combustion Kinetics
3.2.1. Pyrolysis Kinetics
3.2.2. Combustion Kinetics
3.2.3. Comparison of Activation Energy
3.2.4. Pre-exponential Factor Analysis
3.3. Thermodynamic Analysis
4. Conclusions
Author Contributions
Funding
Data Availability Statement
Acknowledgments
Conflicts of Interest
References
- Teixeira, B.M.M.; Oliveira, M.; da Silva Borges, A.D. Coniferous Biomass for Energy Valorization: A Thermo-chemical Properties Analysis. Sustainability 2024, 16, 7622. [Google Scholar] [CrossRef]
- McCollum, D.; Bauer, N.; Calvin, K.; Kitous, A. , Riahi, K. Fossil Resource and Energy Security Dynamics in Conventional and Carbon-constrained Worlds. Climatic Change 2014, 123, 413–426. [Google Scholar] [CrossRef]
- Li, W.; Zhang, S.; Lu, C. Exploration of China’s Net CO2 Emissions Evolutionary Pathways by 2060 in the Context of Carbon Neutrality. Sci. Total Environ. 2022, 831, 154909. [Google Scholar] [CrossRef]
- Srirangan, K.; Akawi, L.; Moo-Young, M.; Chou, C. P. Towards Sustainable Production of Clean Energy Carriers from Biomass Resources. Appl. Energy 2012, 100, 172–186. [Google Scholar] [CrossRef]
- Amjith, L.R; Bavanish, B. A Review on Biomass and Wind as Renewable Energy for Sustainable Environment. Chemosphere 2022, 293, 133579. [Google Scholar] [CrossRef]
- Demirbas, A. Biomass Resource Facilities and Biomass Conversion Processing for Fuels and Chemicals. Energy Convers. Manage. 2001, 42, 1357–1378. [Google Scholar] [CrossRef]
- Hu, P.; Hou, C.; Lan, X.; Sheng, H. Pyrolysis Behavior and Kinetics of Typical Crop Straw in Henan Province at Different Heating Rates. Processes 2023, 11, 2761. [Google Scholar] [CrossRef]
- Fei, B; Gao, Z; Wang, J; Liu, Z. Biological, Anatomical, and Chemical Characteristics of Bamboo. In Secondary Xylem Biology, 1st ed.;Kim, Y.S.,Funada, R., Singh, A.P.,Eds.; Cambridge: MA, USA, 2016; pp. 283–306.
- Chen, D.; Liu, D.; Zhang, H.; Chen, Y.; Li, Q. Bamboo Pyrolysis Using TG–FTIR and a Lab-Scale Reactor: Analysis of Pyrolysis Behavior, Product Properties, and Carbon and Energy Yields. Fuel 2015, 148, 79–86. [Google Scholar] [CrossRef]
- Phuangchik, T.; Shanmugam, P.; Kandasamy, S.; Bunnag, S.; Boonyuen, S. Investigating Six Types of Bamboo Charcoal for Eco-friendly Renewable Energy Generation. Biomass Conv. Bioref. 2023, 1–11. [Google Scholar] [CrossRef]
- Yu, D; Tan, H; Ruan, Y. A Future Bamboo-structure Residential Building Prototype in China: Life Cycle Assessment of Energy Use and Carbon Emission. Energy Buildings 2011, 43, 2638–2646. [Google Scholar] [CrossRef]
- Akhtar, A.; Krepl, V.; Ivanova, T. A Combined Overview of Combustion, Pyrolysis, and Gasification of Biomass. Energy Fuels 2018, 32, 7294–7318. [Google Scholar] [CrossRef]
- Parascanu, M.M.; Sandoval-Salasb, F.; Soreanuc, G. Valverdea, J.L.; Sanchez-Silvaa, L. Valorization of Mexican Biomasses Through Pyrolysis, Combustion and Gasification Processes. Renew. Sust. Energy Rev. 2017, 71, 509–522. [Google Scholar] [CrossRef]
- Skodras, G.; Grammelis, P.; Basinas, P.; Kakaras, E.; Sakellaropoulos, G. Pyrolysis and Combustion Characteristics of Biomass and Waste-Derived Feedstock. Ind. Eng. Chem. Res. 2006, 45, 3791–3799. [Google Scholar] [CrossRef]
- Liang, Y.; Cheng, B.; Si, Y.; Cao, D.; Jiang, H.; Han, G.; Liu, H. Thermal Decomposition Kinetics and Characteristics of Spartina Alterniflora via Thermogravimetric Analysis. Renew. Energy 2014, 68, 111–117. [Google Scholar] [CrossRef]
- Dong, L.; Huang, X.; Ren, J.; Deng, L.; Da, Y. Thermogravimetric Assessment and Differential Thermal Analysis of Blended Fuels of Coal, Biomass and Oil Sludge. Appl. Sci. 2023, 13, 11058. [Google Scholar] [CrossRef]
- Xiao, R.; Yang, W.; Cong, X.; Dong, K.; Xu, J.; Wang, D.; Yang, X. Thermogravimetric Analysis and Reaction Kinetics of Lignocellulosic Biomass Pyrolysis. Energy 2020, 201, 117537. [Google Scholar] [CrossRef]
- Thangarasu, V.; de Oliveira, M.R.; Oliveira, L.A.A.; Aladawi, S.; Avila, I. Combustion Characteristics and Gasification Kinetics of Brazilian Municipal Solid Waste Subjected to Different Atmospheres by Thermogravimetric Analysis. Bioresource Technol. 2024, 403, 130906. [Google Scholar] [CrossRef]
- Li, K.; Zhang, W.; Fu, M.; Li, C.; Xue, Z. Discussion on Criterion of Determination of the Kinetic Parameters of the Linear Heating Reactions. Minerals 2022, 12, 81. [Google Scholar] [CrossRef]
- Van de Velden, M.; Baeyens, J.; Brems, A.; Janssens, B.; Dewil, R. Fundamentals, Kinetics and Endothermicity of the Biomass Pyrolysis Reaction. Renew. Energy 2010, 35, 232–242. [Google Scholar] [CrossRef]
- Brems, A.; Baeyens, J.; Beerlandt, J.; Dewil, R. Thermogravimetric Pyrolysis of Waste Polyethylene-terephthalate and Polystyrene: A Critical Assessment of Kinetics Modelling. Resour. Conserv. Recycl. 2011, 55, 772–781. [Google Scholar] [CrossRef]
- GBT 212–2008; Proximate Analysis of Coal. Standardization Administration of China: China, 2008.
- Pattanayak, S.; Hauchhum., L.; Loha, C.; Sailo, L. Selection Criteria of Appropriate Bamboo Based Biomass for Thermochemical Conversion Process. Biomass Convers. Bior. 2020, 10, 401–407. [Google Scholar] [CrossRef]
- Rusch, F.; de Abreu Neto, R.; de Moraes Lúcio, D.; Hillig, É. Energy Properties of Bamboo Biomass and Mate Co-products. SN Appl. Sci. 2021, 3, 602. [Google Scholar] [CrossRef]
- Chen, Y.; Liu, B.; Yang, H.; Yang, Q; Chen, H. Evolution of Functional Groups and Pore Structure During Cotton and Corn Stalks Torrefaction and Its Correlation with Hydrophobicity. Fuel 2014, 137, 41–49. [Google Scholar] [CrossRef]
- Rasam, S.; Haghighi, A.M.; Azizi, K.; Soria-Verdugo, A.; Moraveji, M.K. Thermal Behavior, Thermodynamics and Kinetics of Co-pyrolysis of Binary and Ternary Mixtures of Biomass Through Thermogravimetric Analysis. Fuel 2020, 280, 118665. [Google Scholar] [CrossRef]
- Nawaz, A.; Kumar, P. Elucidating the Bioenergy Potential of Raw, Hydrothermally Carbonized and Torrefied Waste Arundo Donax Biomass in Terms of Physicochemical Characterization, Kinetic and Thermodynamic Parameters. Renew. Energy 2022, 187, 844–856. [Google Scholar] [CrossRef]
- Sun, E.; Sun, F.; Zhang, Z.; Dong, Y. Interface Morphology and Thermoplasticization Behavior of Bamboo Fibers Benzylated with Benzyl Chloride. Surf. Interface Anal. 2016, 48, 64–72. [Google Scholar] [CrossRef]
- Bai, F.; Sun, Y.; Liu, Y.; Li, Q.; Guo, M. Thermal and Kinetic Characteristics of Pyrolysis and Combustion of Three Oil Shales. Energy convers. Manage. 2015, 97, 374–381. [Google Scholar] [CrossRef]
- Özsin, G.; Alpaslan Takan, M.; Takan, A.; Pütün, A.E. A Combined Phenomenological Artificial Neural Network Approach for Determination of Pyrolysis and Combustion Kinetics of Polyvinyl Chloride. Int. J. Energy Res. 2022, 46, 16959–16978. [Google Scholar] [CrossRef]
- Lédé, J.; Authier, O. Temperature and Heating Rate of Solid Particles Undergoing a Thermal Decomposition. Which Criteria for Characterizing Fast Pyrolysis? J. Anal. Appl. Pyrol. 2015, 113, 1–14. [Google Scholar] [CrossRef]
- Bai, F.; Sun, Y.; Liu, Y.; Liu, B.; Guo., M.; Lü., X.; Guo, W.; Li, Q.; Hou, C.; Wang, Q. Kinetic Investigation Onpartially Oxidized Huadian Oil Shale by Thermogravimetric Analysis. Oil Shale 2014, 31, 337–93. [Google Scholar] [CrossRef]
- Flynn, J.H. The “Temperature Integral”–Its Use and Abuse. Thermochim. Acta 1997, 300, 83–92. [Google Scholar] [CrossRef]
- Ozawa, T.A. A New Method of Analyzing Thermogravimetric Data. Bull. Chem. Soc. Jpn. 1965, 38, 1881–1886. [Google Scholar] [CrossRef]
- Akahira, T.; Sunose, T. Method of Determining Activation Deterioration Constant of Electrical Insulating Materials. Res. Rep. Chiba Inst. Technol. 1971, 16, 22–31. [Google Scholar]
- Starink, M.J. The Determination of Activation Energy from Linear Heating Rate Experiments: A Comparison of the Accuracy of Isoconversion Methods. Thermochim. Acta 2003, 404, 163–76. [Google Scholar] [CrossRef]
- Alves, J.L.F.; Da Silva, J.C.G.; Da Silva Filho, V.F.; Alves, R.F.; Ahmad, M.S.; Galdino, W.V.A.; De Sena, R.F. Bioenergy Potential of Red Macroalgae Gelidium Floridanum by Pyrolysis: Evaluation of Kinetic Triplet and Thermodynamics Parameters. Bioresour. Technol. 2019, 291, 121892. [Google Scholar] [CrossRef]
- Vyazovkin, S.; Burnham, A.K.; Criado, J.M.; Pérez-Maqueda, L.A.; Popescu, C.; Sbirrazzuoli, N. ICTAC Kinetics Committee Recommendations for Performing Kinetic Computations on Thermal Analysis Data. Thermochim. Acta 2011, 520, 1–19. [Google Scholar] [CrossRef]
- Zhang, Y.; Cuo, Y.; Cheng, F.; Yan, K.; Cao, Y. Investigation of Combustion Characteristics and Kinetics of Coal Gangue with Different Feedstock Properties by Thermogravimetric Analysis. Thermochim. Acta 2015, 614, 137–148. [Google Scholar] [CrossRef]
- Deng, S.; Wang, X.; Tan, H.; Mikulčić, H.; Yang, F.; Li, Z.; Duić, N. Thermogravimetric Study on the Co-combustion Characteristics of Oily Sludge with Plant Biomass. Thermochim. Acta 2016, 633, 69–76. [Google Scholar] [CrossRef]
- Ma, J.; Luo, H.; Li, Y.; Liu, Z.; Li, D.; Gai, C.; Jiao, W. Pyrolysis Kinetics and Thermodynamic Parameters of the Hydrochars Derived from Co-hydrothermal Carbonization of Sawdust and Sewage Sludge Using Thermogravimetric Analysis. Bioresour Technol. 2019, 282, 133–141. [Google Scholar] [CrossRef]
- Yu, J.; Wang, D.; Sun, L. The Pyrolysis of Lignin: Pathway and Interaction Studies. Fuel 2021, 290, 120078. [Google Scholar] [CrossRef]
- Ravenni, G.; Sárossy, Z.; Ahrenfeldt, J.; Henriksen, U.B. Activity of Chars and Activated Carbons for Removal and Decomposition of Tar Model Compounds–A Review. Renew. Sust. Energy Rev. 2018, 94, 1044–1056. [Google Scholar] [CrossRef]
- Tong, W.; Cai, Z.; Liu, Q.; Ren, S.; Kong, M. Effect of Pyrolysis Temperature on Bamboo Char Combustion: Reactivity, Kinetics and Thermodynamics. Energy 2020, 211, 118736. [Google Scholar] [CrossRef]
- Ahmad, M.S.; Mehmood, M.A.; Taqvi, S.T.H.; Elkamel, A.; Liu, C.G.; Xu, J.; Rahimuddin, S.A.; Gull, M. Pyrolysis, Kinetics Analysis, Thermodynamics Parameters and Reaction Mechanism of Typha Latifolia to Evaluate Its Bioenergy Potential. Bioresour. Technol. 2017, 245, 491–501. [Google Scholar] [CrossRef] [PubMed]
- Laougé, Z.B.; Merdun, H. Kinetic Analysis of Pearl Millet (Penissetum Glaucum (L.) R. Br.) Under Pyrolysis and Combustion to Investigate Its Bioenergy Potential. Fuel 2020, 267, 117172. [Google Scholar] [CrossRef]
- Lei, J.; Liu, X.; Xu, B.; Liu, Z.; Fu, Y. Combustion Characteristics, Kinetics and Thermodynamics of Peanut Shell for Its Bioenergy Valorization. Processes 2024, 12, 1022. [Google Scholar] [CrossRef]
- Rasam, S.; Moshfegh Haghighi, A.; Azizi, K.; Soria-Verdugo, A.; Keshavarz Moraveji, M. Thermal Behavior, Thermodynamics and Kinetics of Co-pyrolysis of Binary and Ternary Mixtures of Biomass Through Thermogravimetric Analysis. Fuel 2020, 280, 118665. [Google Scholar] [CrossRef]
- Ashraf, M.; Ramzan, N.; Khan, R.U.; Durrani, A.K. Analysis of Mixed Cattle Manure: Kinetics and Thermodynamic Comparison of Pyrolysis and Combustion processes. Case Stud. Therm. Eng. 2021, 26, 101078. [Google Scholar] [CrossRef]










| Proximate analysis/% | Ultimate analysis/% | |||||||
| Moisture | Volatiles | Fixed Carbon | Ash | C | H | S | N | O |
| 7.26 | 59.98 | 14.92 | 17.84 | 36.55 | 4.91 | 0.03 | 0.40 | 58.11 |
| Heating rate (K/min) | Prolysis stage | Temperature interval (K) |
Ta (K) | Tmax (K) | Vmax (%/min) | Tb (K) | Weight loss (%) | Residual (%) |
Conversion degree |
| 10 | Stage II | 435.53–664.81 | 519.18 | 599.47 | 5.21 | 1021.65 | 47.35 | 25.01 | 0.123–0.722 |
| Stage III | 664.81–1073.15 | 20.82 | 0.722–0.980 | ||||||
| 20 | Stage II | 448.12–690.29 | 528.01 | 614.93 | 9.78 | 1026.17 | 48.89 | 25.42 | 0.124–0.749 |
| Stage III | 690.29–1073.15 | 18.74 | 0.749–0.980 | ||||||
| 30 | Stage II | 459.02–715.76 | 533.31 | 621.97 | 13.79 | 1027.12 | 49.01 | 27.54 | 0.125–0.773 |
| Stage III | 715.76–1073.15 | 16.42 | 0.773–0.980 |
| Heating rate (K/min) | Combustion stage | Temperature interval (K) | Ti (K) | Tmax (K) | Vmax (%/min) | Tf (K) | Weight loss (%) | Residual (%) |
Conversion degree |
| 10 | Stage II | 435.44–634.71 | 503.06 | 569.71 | 5.83 | 741.74 | 49.88 | 18.41 | 0.098–0.690 |
| Stage III | 634.71–786.28 | 686.07 | 2.78 | 24.91 | 0.690–0.980 | ||||
| 20 | Stage II | 447.18–658.11 | 515.47 | 584.79 | 11.09 | 771.33 | 50.97 | 17.55 | 0.099–0.698 |
| Stage III | 658.11–839.17 | 703.82 | 5.23 | 24.51 | 0.698–0.980 | ||||
| 30 | Stage II | 458.82–672.69 | 522.72 | 595.23 | 15.94 | 791.32 | 51.86 | 16.89 | 0.099–0.703 |
| Stage III | 670.69–853.30 | 718.28 | 7.19 | 24.26 | 0.703–0.980 |
| α | FWO | KAS | STR | ||||||
| Eα/(kJ/mol) | R2 | MSE | Eα/(kJ/mol) | R2 | MSE | Eα/(kJ/mol) | R2 | MSE | |
| 0.2 | 146.71 | 0.9996 | 0.0002 | 145.01 | 0.9995 | 0.0003 | 146.70 | 0.9999 | 0.0001 |
| 0.3 | 141.02 | 0.9992 | 0.0005 | 138.66 | 0.9991 | 0.0005 | 141.01 | 0.9992 | 0.0004 |
| 0.4 | 140.77 | 0.9996 | 0.0002 | 138.12 | 0.9996 | 0.0002 | 140.77 | 0.9991 | 0.0005 |
| 0.5 | 140.60 | 0.9997 | 0.0002 | 137.69 | 0.9997 | 0.0002 | 140.60 | 0.9997 | 0.0002 |
| 0.6 | 140.24 | 0.9993 | 0.0004 | 137.04 | 0.9992 | 0.0005 | 140.23 | 0.9992 | 0.0005 |
| 0.7 | 173.54 | 0.9982 | 0.0012 | 171.62 | 0.9980 | 0.0014 | 171.91 | 0.9980 | 0.0014 |
| Average | 147.15 | 144.69 | 145.87 | ||||||
| 0.8 | 440.73 | 0.9985 | 0.0010 | 451.28 | 0.9984 | 0.0010 | 451.42 | 0.9994 | 0.0010 |
| 0.9 | 415.40 | 0.9965 | 0.0021 | 422.47 | 0.9963 | 0.0021 | 422.72 | 0.9963 | 0.0021 |
| Average | 428.07 | 436.88 | 437.07 | ||||||
| α | FWO | KAS | STR | ||||||
| Eα/(kJ/mol) | R2 | MSE | Eα/(kJ/mol) | R2 | MSE | Eα/(kJ/mol) | R2 | MSE | |
| 0.1 | 114.03 | 0.9999 | 0.0001 | 111.44 | 0.9999 | 0.0001 | 111.69 | 0.9999 | 0.0001 |
| 0.2 | 119.60 | 0.9999 | 0.0001 | 116.64 | 0.9999 | 0.0001 | 116.91 | 0.9999 | 0.0001 |
| 0.3 | 119.95 | 0.9999 | 0.0001 | 116.70 | 0.9999 | 0.0001 | 116.99 | 0.9999 | 0.0001 |
| 0.4 | 118.31 | 0.9995 | 0.0003 | 116.28 | 0.9994 | 0.0003 | 116.58 | 0.9994 | 0.0003 |
| 0.5 | 117.57 | 0.9996 | 0.0001 | 114.73 | 0.9995 | 0.0003 | 115.04 | 0.9995 | 0.0003 |
| 0.6 | 116.10 | 0.9997 | 0.0002 | 111.81 | 0.9997 | 0.0002 | 112.13 | 0.9997 | 0.0002 |
| Average | 117.59 | 114.60 | 114.89 | ||||||
| 0.7 | 112.78 | 0.9999 | 0.0001 | 107.77 | 0.9999 | 0.0001 | 108.12 | 0.9999 | 0.0001 |
| 0.8 | 112.11 | 0.9994 | 0.0004 | 106.47 | 0.9992 | 0.0004 | 106.84 | 0.9992 | 0.0004 |
| 0.9 | 107.01 | 0.9973 | 0.0017 | 100.56 | 0.9965 | 0.0017 | 100.96 | 0.9965 | 0.0019 |
| Average | 110.63 | 104.93 | 105.31 | ||||||
| α | FWO | KAS | STR | ||||||
| 10 K/min | 20 K/min | 30 K/min | 10 K/min | 20 K/min | 30 K/min | 10 K/min | 20 K/min | 30 K/min | |
| 0.20 | 4.89 × 1010 | 4.63× 1010 | 4.50× 1010 | 3.44× 1010 | 3.28× 1010 | 3.20× 1010 | 4.88× 1010 | 4.62× 1010 | 4.49× 1010 |
| 0.30 | 1.50× 1010 | 1.46× 1010 | 1.44× 1010 | 9.20× 109 | 9.05× 109 | 8.99× 109 | 1.50× 1010 | 1.46× 1010 | 1.44× 1010 |
| 0.40 | 1.43× 1010 | 1.39× 1010 | 1.37× 1010 | 8.23× 109 | 8.11× 109 | 8.07× 109 | 1.43× 1010 | 1.39× 1010 | 1.37× 1010 |
| 0.50 | 1.38× 1010 | 1.34× 1010 | 1.33× 1010 | 7.52× 109 | 7.43× 109 | 7.41× 109 | 1.38× 1010 | 1.34× 1010 | 1.33× 1010 |
| 0.60 | 1.28× 1010 | 1.25× 1010 | 1.23× 1010 | 6.57× 109 | 6.51× 109 | 6.50× 109 | 1.27× 1010 | 1.24× 1010 | 1.23× 1010 |
| 0.70 | 1.26× 1013 | 1.05× 1013 | 9.44× 1012 | 8.45× 1012 | 7.10× 1012 | 6.44×1012 | 8.97× 1012 | 7.53× 1012 | 6.83× 1012 |
| 0.80 | 5.93× 1036 | 1.38× 1036 | 5.95× 1035 | 5.04× 1037 | 1.11× 1037 | 4.67× 1036 | 5.18× 1037 | 1.14× 1037 | 4.80× 1036 |
| 0.90 | 3.48× 1034 | 9.13× 1033 | 4.23× 1033 | 1.46× 1035 | 3.70× 1034 | 1.68× 1034 | 1.54× 1035 | 3.89× 1034 | 1.77× 1034 |
| α | FWO | KAS | STR | ||||||
| 10 K/min | 20 K/min | 30 K/min | 10 K/min | 20 K/min | 30 K/min | 10 K/min | 20 K/min | 30 K/min | |
| 0.10 | 2.01× 108 | 2.05× 108 | 1.97× 108 | 1.14× 108 | 1.18× 108 | 1.14× 108 | 1.20× 108 | 1.24× 108 | 1.20× 108 |
| 0.20 | 6.84× 108 | 6.77× 108 | 6.37× 108 | 3.56× 108 | 3.58× 108 | 3.41× 108 | 3.78× 108 | 3.80× 108 | 3.61× 108 |
| 0.30 | 7.38× 108 | 7.29× 108 | 6.84× 108 | 3.62× 108 | 3.64× 108 | 3.46× 108 | 3.85× 108 | 3.87× 108 | 3.67× 108 |
| 0.40 | 5.15× 108 | 5.14× 108 | 4.85× 108 | 3.30× 108 | 3.32× 108 | 3.16× 108 | 3.52× 108 | 3.54× 108 | 3.37× 108 |
| 0.50 | 4.38× 108 | 4.38× 108 | 4.15× 108 | 2.35× 108 | 2.38× 108 | 2.28× 108 | 2.51× 108 | 2.55× 108 | 2.44× 108 |
| 0.60 | 3.16× 108 | 3.19× 108 | 3.04× 108 | 1.23× 108 | 1.27× 108 | 1.23× 108 | 1.32× 108 | 1.36× 108 | 1.32× 108 |
| 0.70 | 1.53× 108 | 1.57 × 108 | 1.51× 108 | 5.07× 107 | 5.35× 107 | 5.25× 107 | 5.48× 107 | 5.77× 107 | 5.65× 107 |
| 0.80 | 1.32× 108 | 1.36× 108 | 1.31× 108 | 3.80× 107 | 4.04× 107 | 3.99× 107 | 4.13× 107 | 4.38× 107 | 4.32× 107 |
| 0.90 | 4.28× 107 | 4.54× 107 | 4.47× 107 | 1.03× 107 | 1.13× 107 | 1.14× 107 | 1.13× 107 | 1.23× 107 | 1.24× 107 |
| α | FWO | KAS | STR | ||||||
| ΔH/(kJ/mol) | ΔG/(kJ/mol) | ΔS/(J/(mol×K)) | ΔH/(kJ/mol) | ΔG/(kJ/mol) | ΔS/(J/(mol×K)) | ΔH/(kJ/mol) | ΔG/(kJ/mol) | ΔS/(J/(mol×K)) | |
| 0.20 | 142.12 | 174.35 | −53.74 | 140.42 | 174.41 | −56.67 | 142.11 | 174.35 | −53.75 |
| 0.30 | 136.26 | 174.55 | −63.84 | 133.90 | 174.64 | −67.92 | 136.25 | 174.55 | −63.86 |
| 0.40 | 135.87 | 174.56 | −64.50 | 133.22 | 174.65 | −69.08 | 135.87 | 174.56 | −64.50 |
| 0.50 | 135.58 | 174.57 | −64.99 | 132.67 | 174.67 | −70.02 | 135.58 | 174.57 | −64.99 |
| 0.60 | 135.09 | 174.58 | −65.83 | 131.89 | 174.69 | −71.36 | 135.08 | 174.58 | −65.85 |
| 0.70 | 168.15 | 173.52 | −8.94 | 166.23 | 173.57 | −12.24 | 166.52 | 173.56 | −11.74 |
| Average | 142.18 | 174.36 | −53.64 | 139.72 | 174.44 | −57.88 | 141.90 | 174.36 | −54.12 |
| 0.80 | 434.56 | 168.87 | 442.96 | 445.11 | 168.75 | 460.75 | 445.25 | 168.75 | 460.99 |
| 0.90 | 408.19 | 169.16 | 398.51 | 415.26 | 169.08 | 410.44 | 415.51 | 169.08 | 410.86 |
| Average | 421.38 | 169.02 | 420.74 | 430.19 | 168.92 | 435.60 | 430.38 | 168.92 | 435.93 |
| α | FWO | KAS | STR | ||||||
| ΔH/(kJ/mol) | ΔG/(kJ/mol) | ΔS/(J/(mol×K)) | ΔH/(kJ/mol) | ΔG/(kJ/mol) | ΔS/(J/(mol×K)) | ΔH/(kJ/mol) | ΔG/(kJ/mol) | ΔS/(J/(mol×K)) | |
| 0.10 | 109.85 | 166.07 | −98.69 | 107.25 | 166.18 | −103.43 | 107.50 | 166.17 | −102.97 |
| 0.20 | 115.10 | 165.84 | −89.07 | 112.13 | 165.96 | −94.49 | 112.40 | 165.95 | −93.99 |
| 0.30 | 115.30 | 165.83 | −88.69 | 112.05 | 165.96 | −94.62 | 112.34 | 165.95 | −94.10 |
| 0.40 | 113.55 | 165.89 | −91.88 | 111.52 | 165.98 | −95.59 | 111.81 | 165.96 | −95.05 |
| 0.50 | 112.68 | 165.92 | −93.45 | 109.85 | 166.04 | −98.64 | 110.15 | 166.03 | −98.07 |
| 0.60 | 111.05 | 165.98 | −96.43 | 106.76 | 166.16 | −104.27 | 107.08 | 166.15 | −103.68 |
| Average | 112.92 | 165.92 | −93.04 | 109.93 | 166.05 | −98.51 | 110.21 | 166.04 | −97.98 |
| 0.70 | 107.48 | 166.12 | −102.94 | 102.47 | 166.34 | −112.11 | 102.81 | 166.32 | −111.47 |
| 0.80 | 106.52 | 166.15 | −104.66 | 100.88 | 166.39 | −114.99 | 101.25 | 166.38 | −114.31 |
| 0.90 | 101.17 | 166.37 | −114.45 | 94.72 | 166.66 | −126.28 | 95.12 | 166.65 | −125.55 |
| Average | 105.06 | 166.21 | −107.35 | 99.36 | 166.46 | −117.79 | 99.73 | 166.45 | −117.11 |
Disclaimer/Publisher’s Note: The statements, opinions and data contained in all publications are solely those of the individual author(s) and contributor(s) and not of MDPI and/or the editor(s). MDPI and/or the editor(s) disclaim responsibility for any injury to people or property resulting from any ideas, methods, instructions or products referred to in the content. |
© 2024 by the authors. Licensee MDPI, Basel, Switzerland. This article is an open access article distributed under the terms and conditions of the Creative Commons Attribution (CC BY) license (http://creativecommons.org/licenses/by/4.0/).