Submitted:
25 September 2024
Posted:
26 September 2024
You are already at the latest version
Abstract
Keywords:
1. Introduction
2. Principle of Operation
3. Experimental Methodology
4. Experimental Results and Discussion
4.1. Static Characteristics
4.1.1. Current Voltage Characteristics
4.1.2. Capacitance Voltage Characteristics
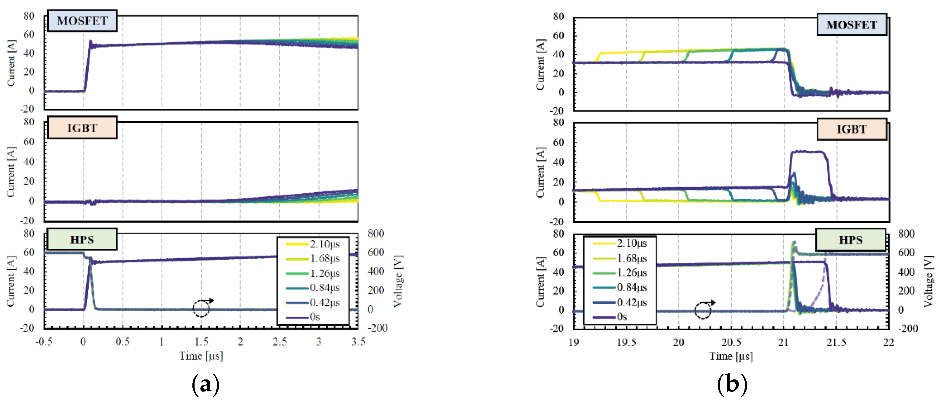
4.2. Influence of Delay Time on Switching Characteristics
4.3. Switching Characteristics
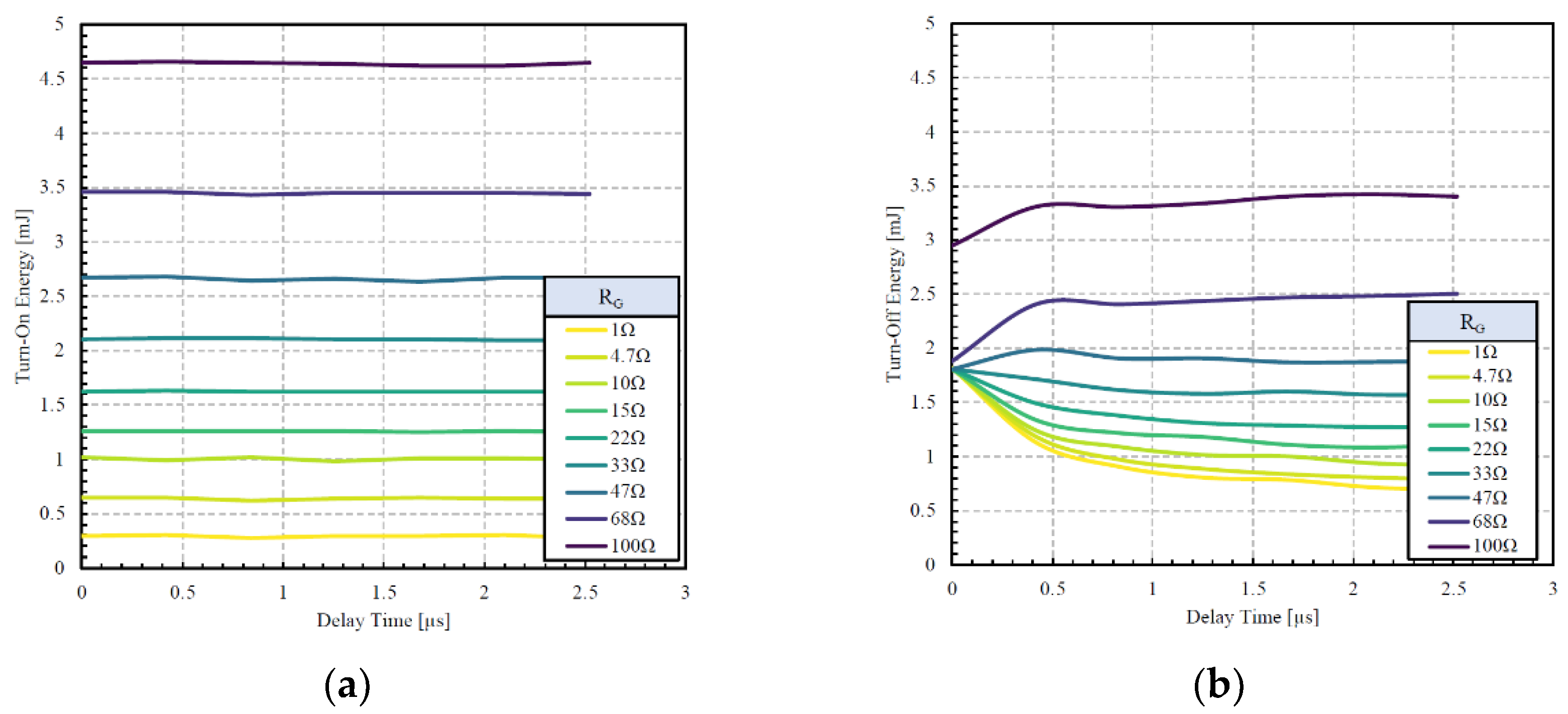
4.3.1. Influence of Gate Resistance on Switching
4.3.3. Influence of Load Current on Switching
4.4. Power Loss Contribution
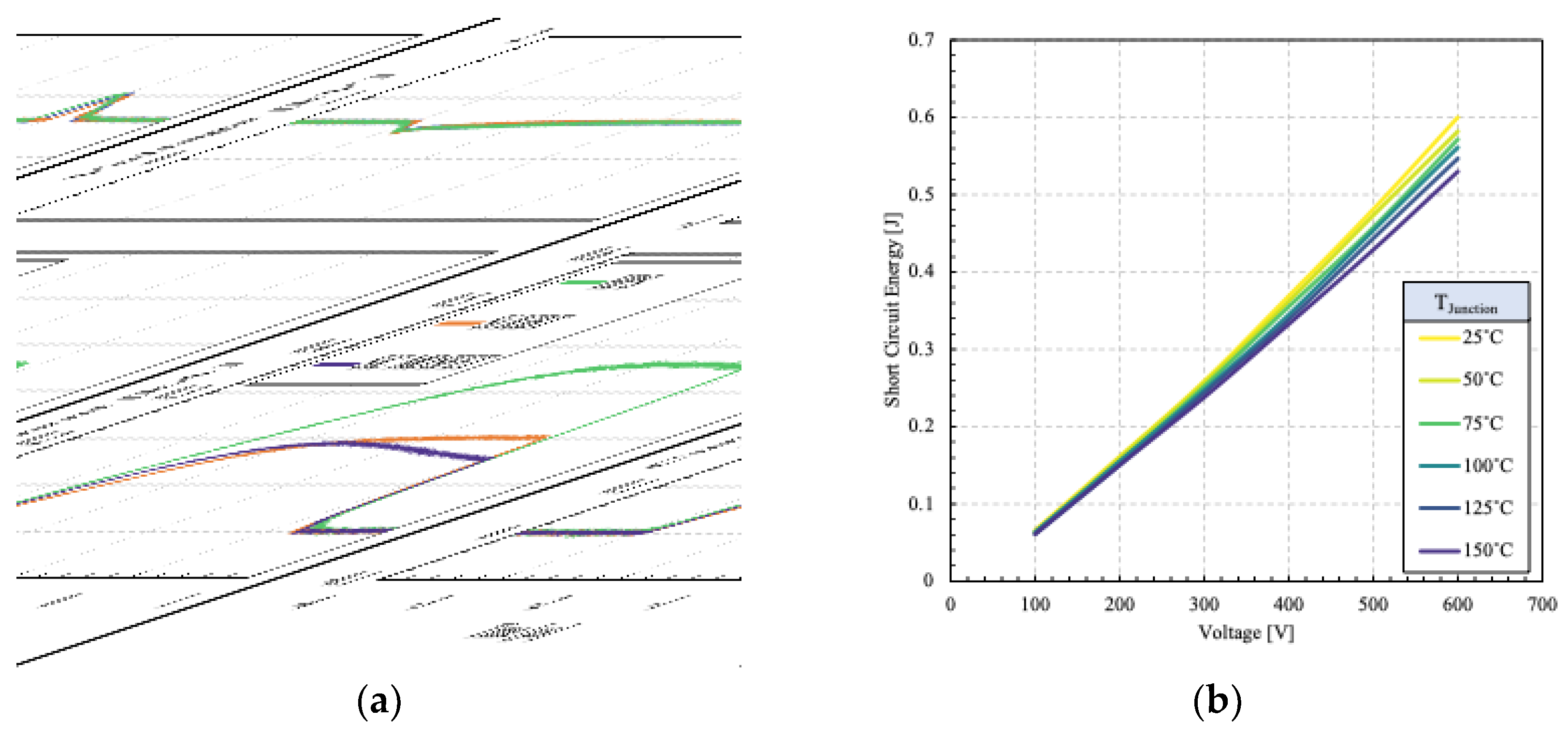
4.5. Short Circuit Withstanding Capability
5. Conclusions
Supplementary Materials
Author Contributions
Funding
Data Availability Statement
Conflicts of Interest
References
- Sheikhan, A.; Narayanan, E. M. S.; Kawai, H.; Yagi, S.; Narui, H. Evaluation of turn-off dV/dt controllability and switching characteristics of 1. 2kV GaN polarisation superjunction HFETs Jpn. J. Appl. Phys. 2023, 62, 62–064502. [Google Scholar]
- Chen, D. Y.; Chin, S. A. Bipolar-FET combinational power transistors for power conversion applications. In Proceedings of the Fifth International Telecommunications Energy Conference, Tokyo, Japan, 18 October 1983. [Google Scholar]
- Sheikhan, A.; Narayanan, E. M. S. Evaluation of characteristics and turn-off dV/dt controllability of 1.2 kV SiC Si hybrid power switch. In Proceedings of the 16th International Seminar on Power Semiconductors (ISPS), Prague, Czech, 30 August 2023. [Google Scholar]
- Rahimo, M.; Canales, F.; Minamisawa, R. A.; Papadopoulos, C; Vemulapati, U.; Mihaila, A.; Kicin, S.; Drofenik, U. Characterization of a silicon IGBT and silicon carbide MOSFET cross-switch hybrid. IEEE Trans. Power Electron. 2015, 30, 4638–4642. [Google Scholar] [CrossRef]
- Deshpande, A.; Paul, R.; Emon, A. I.; Yuan, Z.; Peng, H.; Luo, F. Si-IGBT and SiC-MOSFET hybrid switch-based 1.7 kV half-bridge power module Power Electron. Devices and Components 2022, 3, 100020. [Google Scholar] [CrossRef]
- Deshpande, A.; Luo, F. Practical design considerations for a Si IGBT + SiC MOSFET hybrid Switch: parasitic interconnect influences, cost, and current ratio optimization IEEE Trans. Power Electron. 2019, 34, 724–737. [Google Scholar] [CrossRef]
- Hoffmann, K.; Karst, J. High frequency power switch—improved performance by MOSFETs and IGBTs connected in parallel In Proceedings of the European Conf. on Power Electron. and Appl., Dresden, Germany, 11 September 2005. [Google Scholar]
- Luo, P; Long, H. Y.; Sweet, M. R.; Souza, M. M. D.; Narayanan, E. M. S. Analysis of a clustered IGBT and silicon carbide MOSFET hybrid switch In Proceedings of the Int. Symp. on Industrial Electron. (ISIE), Edinburgh, United Kingdom, 19 June 2017.
- Minamisawa, R. A.; Vemulapati, U.; Mihaila, A.; Papadopoulos, C; Rahimo, M. Current Sharing Behavior in Si IGBT and SiC MOSFET Cross-Switch Hybrid. IEEE Electron Device Lett. 2016, 37, 1178–1180. [Google Scholar] [CrossRef]
- Ortiz, G.; Gammeter, C.; Kolar, J. W.; Apeldoorn, O. Mixed MOSFET-IGBT bridge for high-efficient Medium-Frequency Dual-Active-Bridge converter in Solid State Transformers. In Proceedings of the Workshop on Control and Modeling for Power Electronics (COMPEL), Salt Lake City, USA, 23 June 2013. [Google Scholar]
- Song, X.; Huang, A. Q.; Lee, M.-C.; Peng, C. High voltage Si/SiC hybrid switch: An ideal next step for SiC In Proceedings of the Int. Sym. on Power Semiconductor Devices and ICs (ISPSD), Hong Kong, China, 10 May 2015. [Google Scholar]
- Qin, H.; Wang, D.; Zhang, Y.; Fu, D.; Zhao, C. Characteristics and switching patterns of Si/SiC hybrid switch. In Proceedings of the PCIM Asia, Shanghai, China, 27 June 2017. [Google Scholar]
- Li, Z.; Dia, X.; Jiang, X.; Qi, F.; Liu, Y.; Ke, P.; Wang, Y.; Wang, J. A novel gate driver for Si/SiC hybrid switch for multi-objective optimization. IET Power Electron. 2021, 14, 422–431. [Google Scholar] [CrossRef]
- Wang, J.; Li, Z.; Jiang, X.; Zeng, C.; Shen, Z. J. Gate control optimization of Si/SiC hybrid switch for junction temperature balance and power loss reduction IEEE Trans. on Power Electron. 2019, 34, 1744–1754. [Google Scholar]
- (Datasheet: Infineon IKW50N120CS7).
- (Datasheet: Infineon IMW120R030M1H).
- Machida, S.; Ito, K.; Yamashita, Y. Approaching the limit of switching loss reduction in Si-IGBTs In Proceedings of the Int. Sym. on Power Semiconductor Devices and ICs (ISPSD), Waikoloa, USA, 15 June 2014. [Google Scholar]
- Ogura, T.; Ninomiya, H.; Sugiyama, K.; Inoue, T. Turn-off switching analysis considering dynamic avalanche effect for low turn-off loss high-voltage IGBTs IEEE Trans. on Electron Devices 2004, 51, 629–635. [Google Scholar] [CrossRef]
- Persson, E. Transient effects in application of PWM inverters to induction motors IEEE Trans. Ind. Appl. 1992, 28, 1095–1101. [Google Scholar] [CrossRef]
- Jouanne, A. V.; Enjeti, P. Design considerations for an inverter output filter to mitigate the effects of long motor leads in ASD applications IEEE Trans. Ind. Appl. 1997, 33, 1138–1145. [Google Scholar] [CrossRef]
- Jouanne, A. V.; Enjeti, P.; Gray, W. Application issues for PWM adjustable speed AC motor drives IEEE Ind. Appl. Mag. 1996, 2, 10–18. [Google Scholar]
- Akagi, H. Influence of high dv/dt switching on a motor drive system: a practical solution to EMI issues. In Proceedings of the International Symposium on Power Semiconductor Devices and ICs (ISPSD), Kitakyushu, Japan, 24 May 2004. [Google Scholar]















Disclaimer/Publisher’s Note: The statements, opinions and data contained in all publications are solely those of the individual author(s) and contributor(s) and not of MDPI and/or the editor(s). MDPI and/or the editor(s) disclaim responsibility for any injury to people or property resulting from any ideas, methods, instructions or products referred to in the content. |
© 2024 by the authors. Licensee MDPI, Basel, Switzerland. This article is an open access article distributed under the terms and conditions of the Creative Commons Attribution (CC BY) license (http://creativecommons.org/licenses/by/4.0/).