Submitted:
21 January 2025
Posted:
22 January 2025
Read the latest preprint version here
Abstract
Keywords:
1. Introduction
2. Background and Ancillary Results
- Boolean Satisfiability (SAT) Problem: Given a logical expression in conjunctive normal form, determine if there exists an assignment of truth values to its variables that makes the entire expression true [9].
- Boolean 3-Satisfiability (3SAT) Problem: Given a Boolean formula in conjunctive normal form with exactly three literals per clause, determine if there exists a truth assignment to its variables that makes the formula evaluate to true [9].
- Not-All-Equal 3-Satisfiability (NAE-3SAT) Problem: Given a Boolean formula in conjunctive normal form with exactly three literals per clause, decide if there exists a satisfying truth assignment such that each clause has at least one true literal and at least one false literal [9].
- Boolean variables: ;
- Boolean connectives: Any Boolean function with one or two inputs and one output, such as ∧(AND), ∨(OR), ¬(NOT), ⇒(IMPLICATION), ⇔(IF AND ONLY IF);
- and parentheses.
3. Main Result
-
Expand Clauses with Few Literals: To ensure that all clauses contain exactly three literals, we introduce two new variables and expand clauses with at most two literals into clauses with three literals by considering all possible combinations of the new variables, both negated and positive. For instance, consider the two new variables A and B. A single-literal clause can be equivalently expressed as:Similarly, a two-literal clause is equivalent to:Note that the same variables A and B are used in both cases.
- Identify Long Clauses: Find all clauses with more than three literals.
- Introduce New Variables: For a clause with n literals (where ), introduce new variables.
- Create New Clauses: Create a chain of clauses with three literals each, using the original literals and the new variables. Ensure that the satisfiability of the original clause is preserved in this chain of new clauses. To exemplify, consider a clause containing four literals, . By introducing a single additional variable, D, this clause can be logically represented as the conjunction of the following two clauses:
-
Variable Introduction:
- Global Variable: Introduce a new variable w that does not appear in .
- Clause Variables: For each clause in , introduce a new variable .
-
Clause Construction:
- –
-
Clause Reduction: For each clause , construct two NAE-3SAT clauses:
- .
-
Variable Introduction:
- Literal Variables: For each variable x in , introduce two variables: representing the positive literal x and representing the negative literal . Additionally, we introduce three new variables , , and for each variable x in .
-
Clause Construction:
-
Clause Reduction: For each clause , construct one NAE-3MSAT clause:
- –
- , where is + if literal is positive and − otherwise.
-
Variable Consistency: For each variable x in , construct four NAE-3MSAT clauses:
- –
- , , , and . These clauses ensure that exactly one of and is true.
-
- Universe Transformation: Create a new universe . Each element in corresponds to a set in the original collection C.
- Collection Construction: For each element , create a set if and only if . Since each belongs to exactly two sets in C, there are precisely two sets and that contain it, making each a 2-element set. The new collection is . We observe that the elements of each appear exactly thrice as members of the sets in .
- Equivalence: A set of k mutually disjoint sets in C corresponds to a hitting set H of size k in , and vice-versa. There is a one-to-one correspondence between selecting k disjoint sets from C and choosing those sets as members of H. Conversely, if we select a hitting set H of size k in , this corresponds to selecting k disjoint sets from C, forming H by selecting exactly one representative element from each selected set.
- Verification: If there exists a hitting set H in of size at least k, the original 3XSP instance has a solution; otherwise, it does not.
- Constructing and takes time in the worst case, as we need to check intersections between pairs of sets in C.
- The remaining steps (comparing the size of H to k) take linear time.
-
Construct a Graph:
-
Create an undirected graph where:
- –
- (vertices represent elements of the universe set)
- –
- (edges represent the 2-element sets)
-
-
Find a Maximum Independent Set:
- An independent set in a graph is a subset of vertices where no two vertices are connected by an edge.
- The problem of finding a maximum independent set in a general graph is NP-hard.
- However, in our case, the graph G is a special type of graph called a .
-
Line Graph Property:
-
A line graph of a graph is a graph where:
- –
- Each vertex in represents an edge in .
- –
- Two vertices in are adjacent if and only if the corresponding edges in share a common endpoint.
-
In our problem, the graph G is the line graph of another graph . The structure of graph is described as follows:
- –
- A vertex set . Each element in corresponds to a set in the original collection C.
- –
- For each element , create an edge if and only if .
-
-
Efficient Algorithm for Maximum Independent Set in Line Graphs:
-
Check the Size of the Independent Set:
- If the size of the maximum independent set is greater than or equal to k, then the answer to the problem is . Otherwise, the answer is .
- Constructing the graph G takes time.
- Finding the maximum independent set in a line graph can be done in polynomial time (e.g., using algorithms based on matching).
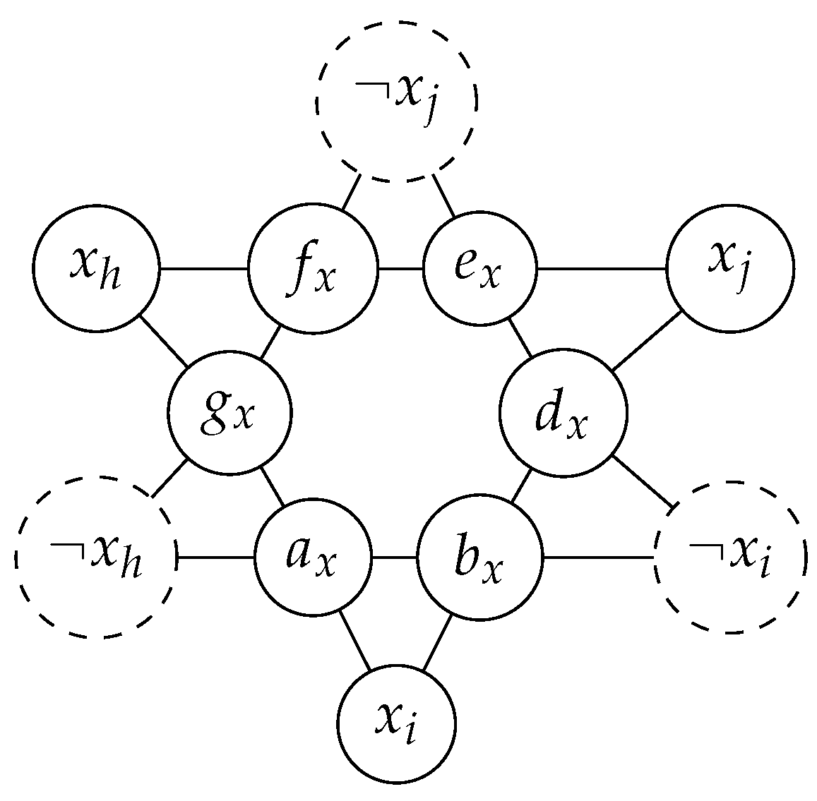
- Variable Sets: The construction depicted in Figure 1 enables the selection of exactly one set for each variable occurrence within a clause of . Since each clause comprises two distinct variables, there are precisely such sets.
- Clause Sets: The final step (Figure 2) guarantees clause satisfaction in by requiring the selection of precisely two sets per clause. This selection of sets corresponds to a truth assignment that satisfies k clauses of . Moreover, any truth assignment allows for the selection of at least one set per clause. Consequently, a total of m sets (one for each of the m clauses) plus k additional sets (from the satisfied clauses) are selected.
4. Conclusions
-
Algorithmic Revolution.
- –
- The most immediate impact would be a dramatic acceleration of problem-solving capabilities. Complex challenges currently deemed intractable, such as protein folding, logistics optimization, and certain cryptographic problems, could become efficiently solvable [3,4]. This breakthrough would revolutionize fields from medicine to cybersecurity. Moreover, everyday optimization tasks, from scheduling to financial modeling, would benefit from exponentially faster algorithms, leading to improved efficiency and decision-making across industries [3,4].
-
Scientific Advancements.
- –
- Scientific research would undergo a paradigm shift. Complex simulations in fields like physics, chemistry, and biology could be executed at unprecedented speeds, accelerating discoveries in materials science, drug development, and climate modeling [3,4]. The ability to efficiently analyze massive datasets would provide unparalleled insights in social sciences, economics, and healthcare, unlocking hidden patterns and correlations [3,4].
-
Technological Transformation.
- –
- Artificial intelligence would be profoundly impacted. The development of more powerful AI algorithms would be significantly accelerated, leading to breakthroughs in machine learning, natural language processing, and robotics [3,4]. While the cryptographic landscape would face challenges, it would also present opportunities to develop new, provably secure encryption methods [3,4].
-
Economic and Societal Benefits.
- –
- The broader economic and societal implications are equally significant. A surge in innovation across various sectors would be fueled by the ability to efficiently solve complex problems. Resource optimization, from energy to transportation, would become more feasible, contributing to a sustainable future [3,4].
Acknowledgments
References
- Cook, S.A. The P versus NP Problem, Clay Mathematics Institute. https://www.claymath.org/wp-content/uploads/2022/06/pvsnp.pdf, 2022. Accessed December 20, 2024.
- Sudan, M. The P vs. NP problem. http://people.csail.mit.edu/madhu/papers/2010/pnp.pdf, 2010. Accessed December 20, 2024.
- Fortnow, L. Fifty years of P vs. NP and the possibility of the impossible. Communications of the ACM 2022, 65, 76–85. [CrossRef]
- Aaronson, S. . Open Problems in Mathematics 2016, pp. 1–122. [CrossRef]
- Baker, T.; Gill, J.; Solovay, R. Relativizations of the Question. SIAM Journal on Computing 1975, 4, 431–442. [CrossRef]
- Razborov, A.A.; Rudich, S. Natural Proofs. Journal of Computer and System Sciences 1997, 1, 24–35. [CrossRef]
- Wigderson, A. Mathematics and Computation: A Theory Revolutionizing Technology and Science; Princeton University Press, 2019.
- Cormen, T.H.; Leiserson, C.E.; Rivest, R.L.; Stein, C. Introduction to Algorithms, 3rd ed.; The MIT Press, 2009.
- Garey, M.R.; Johnson, D.S. Computers and Intractability: A Guide to the Theory of NP-Completeness, 1 ed.; San Francisco: W. H. Freeman and Company, 1979.
- Schaefer, T.J. The complexity of satisfiability problems. In Proceedings of the STOC ’78: Proceedings of the tenth annual ACM symposium on Theory of computing, 1978, pp. 216–226. [CrossRef]


Disclaimer/Publisher’s Note: The statements, opinions and data contained in all publications are solely those of the individual author(s) and contributor(s) and not of MDPI and/or the editor(s). MDPI and/or the editor(s) disclaim responsibility for any injury to people or property resulting from any ideas, methods, instructions or products referred to in the content. |
© 2025 by the authors. Licensee MDPI, Basel, Switzerland. This article is an open access article distributed under the terms and conditions of the Creative Commons Attribution (CC BY) license (http://creativecommons.org/licenses/by/4.0/).