1. Introduction
The P versus NP problem is a fundamental question in computer science that asks whether problems whose solutions can be easily checked can also be easily solved [
1]. “Easily” here means solvable in polynomial time, where the computation time grows proportionally to the input size [
1,
2]. Problems solvable in polynomial time belong to the class P, while NP includes problems whose solutions can be verified efficiently given a suitable “certificate” [
1,
2]. Alternatively, P and NP can be defined in terms of deterministic and non-deterministic Turing machines with polynomial-time complexity [
1,
2].
The central question is whether P and NP are the same. Most researchers believe that P is a strict subset of NP, meaning that some problems are inherently harder to solve than to verify. Resolving this problem has profound implications for fields like cryptography and artificial intelligence [
3,
4]. The P versus NP problem is widely considered one of the most challenging open questions in computer science. Techniques like relativization and natural proofs have yielded inconclusive results, suggesting the problem’s difficulty [
5,
6]. Similar problems, such as the VP versus VNP problem in algebraic complexity, remain unsolved [
7].
The P versus NP problem is often described as a “holy grail” of computer science. A positive resolution could revolutionize our understanding of computation and potentially lead to groundbreaking algorithms for critical problems. The problem is listed among the Millennium Prize Problems. While recent years have seen progress in related areas, such as finding efficient solutions to specific instances of NP-complete problems, the core question of P versus NP remains unanswered [
3]. A polynomial-time algorithm for any NP-complete problem would directly imply P equals NP [
8]. Our work focuses on presenting such an algorithm for a well-known NP-complete problem.
2. Background and Ancillary Results
NP-complete problems are the Everest of computational challenges. Despite the ease of verifying proposed solutions with a succinct certificate, finding these solutions efficiently remains an elusive goal. A problem is classified as NP-complete if it satisfies two stringent criteria within computational complexity theory:
Efficient Verifiability: Solutions can be quickly checked using a concise proof [
8].
Universal Hardness: Every problem in the class NP can be reduced to this problem without significant computational overhead [
8].
The implications of finding an efficient algorithm for a single NP-complete problem are profound. Such a breakthrough would serve as a master key, unlocking efficient solutions for all problems in NP, with transformative consequences for fields like cryptography, artificial intelligence, and planning [
3,
4].
Illustrative examples of NP-complete problems include:
Boolean Satisfiability (SAT) Problem: Given a logical expression in conjunctive normal form, determine if there exists an assignment of truth values to its variables that makes the entire expression true [
9].
Boolean 3-Satisfiability (3SAT) Problem: Given a Boolean formula in conjunctive normal form with exactly three literals per clause, determine if there exists a truth assignment to its variables that makes the formula evaluate to true [
9].
Not-All-Equal 3-Satisfiability (NAE-3SAT) Problem: Given a Boolean formula in conjunctive normal form with exactly three literals per clause, decide if there exists a satisfying truth assignment such that each clause has at least one true variable and at least one false variable [
9].
The provided examples represent a small subset of the extensively studied NP-complete problems relevant to our current work. The following problems can be solved in polynomial time:
Definition 1. Maximum Cover By 3-Sets (3MSC) Problem
INSTANCE: A universe set U, a collection of n sets of 3-elements sets with and a positive integer , where every element in U appears exactly twice in the collection C.
QUESTION: Is there a partition of m sets with such that for and ?
REMARKS: By employing matching techniques, this problem can be efficiently solved in polynomial time.
Definition 2. Edge-Weighted Matching (EWM) Problem
INSTANCE: An undirected graph with positive weights on the edges.
ANSWER: Find a matching of maximum weight.
REMARKS: A matching is a subset of edges such that no two edges in share a common endpoint. Solvable in polynomial time [10,11]. Here’s an implementation of this problem using NetworkX [12]:


Formally, a Boolean formula is composed of:
Boolean variables: ;
Boolean connectives: Any Boolean function with one or two inputs and one output, such as ∧(AND), ∨(OR), ¬(NOT), ⇒(IMPLICATION), ⇔(IF AND ONLY IF);
and parentheses.
A truth assignment for a Boolean formula
is a mapping from the variables of
to the Boolean values
. A truth assignment is satisfying if it makes
evaluate to true. A Boolean formula is satisfiable if it has at least one satisfying truth assignment. A literal is a Boolean variable or its negation. A Boolean formula is in Conjunctive Normal Form (
) if it is a conjunction (AND) of clauses, where each clause is a disjunction (OR) of one or more literals [
8]. The SAT problem asks whether a given Boolean formula in
is satisfiable [
9]. A
formula is a
formula in which each clause contains exactly three distinct literals [
8]. For example, the following formula is in
:
The first clause,
, contains the three literals
,
and
. The version of SAT where formulas are in
is called 3SAT [
8]. We formally define the following problem:
Definition 3. Monotone Not-All-Equal 3-Satisfiability (NAE-3MSAT) Problem
INSTANCE: A Boolean formula in with monotone clauses (meaning the variables are never negated).
QUESTION: Is there exists a satisfying truth assignment such that each clause has at least one true variable and at least one false variable?
REMARKS: This problem is complete for NP [13]. Here, the certificate is a valid satisfying truth assignment, meaning it satisfies the NAE-3MSAT condition for each clause.
In addition, a formula is a Boolean formula in conjunctive normal form with exactly two distinct literals per clause. Now, we introduce the last problem:
Definition 4. Maximum Monotone XOR 2-Satisfiability (2MXSAT) Problem
INSTANCE: A Boolean formula in with monotone clauses (meaning the variables are never negated) using XOR logic operators ⊕ (instead of using the operator ∨) and a positive integer k.
QUESTION: Is there exists a truth assignment that satisfies at least k clauses?
By presenting the NP-completeness and a polynomial-time solution to SAT, we would establish a proof that P equals NP.
3. Main Result
Even though the following reductions are widely known, we will rely on them as supporting results in our analysis [
9].
Theorem 1. The problem SAT can be reduced to 3SAT in polynomial time.
Proof. We will not delve into the specific steps of this reduction, as it is a standard technique in computer science [
8]. To reduce a general SAT instance to a 3SAT formula, we can follow these steps:
Expand Clauses with Few Literals: To ensure that all clauses contain exactly three literals, we introduce two new variables and expand clauses with at most two literals into clauses with three literals by considering all possible combinations of the new variables, both negated and positive. For instance, consider the two new variables
A and
B. A single-literal clause
can be equivalently expressed as:
Similarly, a two-literal clause
is equivalent to:
Note that the same variables
A and
B are used in both cases.
Identify Long Clauses: Find all clauses with more than three literals.
Introduce New Variables: For a clause with n literals (where ), introduce new variables.
Create New Clauses: Create a chain of clauses with three literals each, using the original literals and the new variables. Ensure that the satisfiability of the original clause is preserved in this chain of new clauses. To exemplify, consider a clause containing four literals,
. By introducing a single additional variable,
D, this clause can be logically represented as the conjunction of the following two clauses:
By systematically applying this reduction to each clause, we can transform any SAT instance into an equivalent 3SAT formula. This reduction demonstrates that 3SAT is at least as hard as the general SAT problem, and thus, it is an NP-complete problem. □
Theorem 2. The problem 3SAT can be reduced to NAE-3SAT in polynomial time.
Proof. Any 3SAT formula can be reduced to an equivalent NAE-3SAT instance. We assume that no clause contains a literal and its negation. Such tautological clauses can be removed. We also remove clauses containing literals whose negations do not appear in the 3SAT instance. This reduction involves the following steps:
-
Variable Introduction:
Global Variable: Introduce a new variable w that does not appear in .
Clause Variables: For each clause in , introduce a new variable .
-
Clause Construction:
- –
-
Clause Reduction: For each clause , construct two NAE-3SAT clauses:
- ∗
.
By construction, a satisfying truth assignment for corresponds to a valid satisfying truth assignment for the NAE-3SAT instance when w is assigned the value false, and vice versa. When w is true, we can obtain a satisfying truth assignment for by negating all the values in a valid satisfying truth assignment for the NAE-3SAT instance. This reduction demonstrates that NAE-3SAT is NP-complete. □
Theorem 3. The problem NAE-3SAT can be reduced to NAE-3MSAT in polynomial time.
Proof. It is well-known that any Boolean formula in NAE-3SAT can be reduced to an equivalent NAE-3MSAT instance. This reduction involves the following steps:
-
Variable Introduction:
Literal Variables: For each variable x in , introduce two variables: representing the positive literal x and representing the negative literal . Additionally, we introduce three new variables , , and for each variable x in .
-
Clause Construction:
-
Clause Reduction: For each clause , construct one NAE-3MSAT clause:
- –
, where is + if literal is positive and − otherwise.
-
Variable Consistency: For each variable x in , construct four NAE-3MSAT clauses:
- –
, , , and . These clauses ensure that exactly one of and is true.
By construction, a valid satisfying truth assignment for corresponds to a valid satisfying truth assignment for the NAE-3MSAT instance, and vice versa. Thus, this reduction proves that NAE-3MSAT is NP-complete. □
These are key findings.
Theorem 4. The problem NAE-3MSAT can be reduced to 2MXSAT in polynomial time.
Proof. We reduce an instance of NAE-3MSAT to an instance of 2MXSAT, consisting of a Boolean formula
and a positive integer
k. For each clause
in the NAE-3MSAT formula, we construct the following expression using new variables
,
, and
:
If
satisfies the NAE-3MSAT condition (i.e., not all literals have the same truth value), then there exists a truth assignment to
,
, and
such that at least five clauses in
are satisfied. Conversely, if all literals in
have the same truth value, it is impossible to satisfy five clauses in
. The complete 2MXSAT formula
is the conjunction of all
:
where
m is the number of clauses in the original NAE-3MSAT formula.
Setting , we claim that the NAE-3MSAT formula has a valid satisfying truth assignment if and only if there is a truth assignment that satisfies at least k clauses in . This is because each NAE-satisfying clause in the original formula corresponds to at least five satisfiable clauses in the constructed formula, and vice-versa. Therefore, satisfying clauses in guarantees a valid NAE-satisfying truth assignment for the original NAE-3MSAT formula. □
Theorem 5. 3MSC admits a polynomial-time algorithm based on matching techniques.
Proof. Given an instance of 3MSC defined by a universe U and a collection of 3-element sets , where each element in U appears exactly twice in C, and the goal is to select at least k mutually disjoint sets from C that cover U, we construct an equivalent instance of Edge-Weighted Matching (EWM) as follows:
Figure 1.
element gadget corresponding to .
Figure 1.
element gadget corresponding to .
- 2.
-
Maximum Weight Matching:
A matching in G is a set of edges with no shared vertices.
A maximum weight matching is a matching with the largest possible total weight. In this construction, the weights are the positive numbers 1 and .
The total weight of a maximum weight matching in G corresponds to the maximum number of disjoint sets of 3-elements that can be selected from C divided by 8 and the cardinality of U (i.e., denoted ). In contrast, the weight of selecting at least one element in among the sum of the weights of the edges choosing and the intersecting sets in C is significantly smaller (i.e., ).
- 3.
-
Correspondence to 3MSC Partition:
For each gadget in the maximum weight matching, we can select one element u from the set U and exactly one of the three 3-element sets that include u, corresponding to a possible solution to the 3MSC instance.
The crucial observation is that selecting at least k disjoint sets in the 3MSC instance is directly equivalent to finding a maximum weight matching of total weight at least in the constructed graph G, and vice-versa. Because the maximum weight matching problem can be solved in polynomial time, this reduction provides a polynomial-time algorithm for 3MSC. By transforming the 3MSC problem into a maximum weight matching problem, we can leverage efficient graph algorithms to find an optimal solution in polynomial time. □
This is a Main Insight.
Theorem 6. The problem 2MXSAT can be reduced to 3MSC in polynomial time.
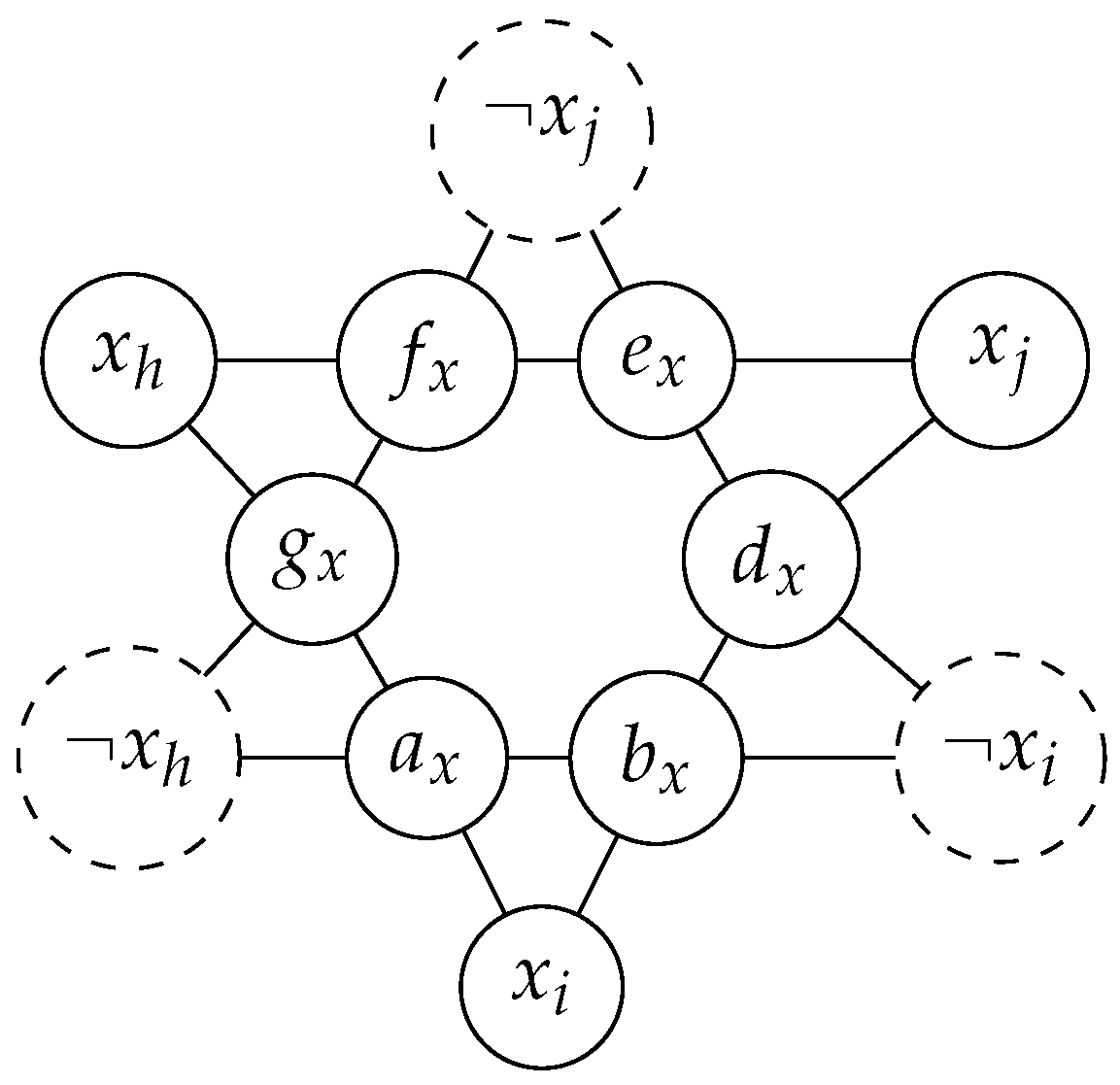
Proof. To better visualize this polynomial-time reduction, we will use a graphical representation of the sets involved. To represent a 2MXSAT formula and a positive integer k as a collection of set C over a universe U, we introduce a gadget for each variable x in . This gadget consists of triangles, where t is the larger of the number of occurrences of x in . Each triangle in the gadget corresponds to a possible truth assignment for the variable x. The apexes of the triangles are labeled with or to denote the truth assignment required for clause in .
The topology of the gadget ensures consistency. The construction (e.g.,
Figure 2) guarantees that if any positive vertex is matched with some vertices outside of the gadget then all negative vertices can only be matched by the triangles inside this gadget, and vice versa. Thus, the "availability" of a vertex to be matched by an outside vertex corresponds to the truth assignment. For instance, in
Figure 2, these sets would be:
where dashed vertices correspond to the literals of
x that are absent from clauses
in
.
To represent each clause
in
, we employ a gadget consisting of four sets:
where dashed vertices correspond to the literals that are absent in
. This gadget, illustrated in
Figure 1, is used to encode each clause within the overall construction. By ensuring that exactly two of these sets are chosen, we satisfy the clause
. If all variables in
are assigned the same truth value, no two selects can choose from the same set. Conversely, if
is satisfied, then exactly two of these sets can be covered.
A truth assignment satisfies at least k clauses of if and only if its corresponding set collection C can be partitioned into at least disjoint sets, where m is the number of clauses in . This equivalence follows directly from the construction of C, which is designed to faithfully represent the logical structure of over the universe U.
The collection of sets C incorporates two types of set:
Variable Sets: The construction depicted in
Figure 2 enables the selection of exactly one set for each variable occurrence within a clause of
. Since each clause comprises two distinct variables, there are precisely
such sets.
Clause Sets: The final step in
Figure 1 ensures clause satisfaction in
by forcing the selection of exactly two sets. This ensures exactly
clause sets induce a truth assignment satisfying
k clauses of
.
Hence, a truth assignment for that satisfies exactly k clauses can be directly mapped to a partition of C into precisely variable sets and clause sets. Conversely, any such partition of C can be interpreted as a truth assignment for that satisfies exactly k clauses. This one-to-one correspondence establishes the equivalence between the satisfiability of at least k clauses in and the existence of a partition of C into at least disjoint sets covering the entire universe U, where each element in U belongs to exactly two sets in C. □
This is the Main Theorem.
Proof. This follows directly from Theorems 1, 2, 3, 4, 5, and 6. □
This is the definitive result.
Proof. Cook’s Theorem states that every NP problem can be reduced to SAT in polynomial time [
9]. Given that SAT is an NP-complete problem, a polynomial-time solution for it, as presented here, would directly imply P equals NP. □
4. Conclusions
A definitive proof that P equals NP would fundamentally reshape our computational landscape. The implications of such a discovery are profound and far-reaching:
In conclusion, a proof of would usher in a new era of computational power with transformative effects on science, technology, and society. While challenges and uncertainties exist, the potential benefits are immense, making this a compelling area of continued research.
Acknowledgments
The author would like to thank Iris, Marilin, Sonia, Yoselin, and Arelis for their support.
References
- Cook, S.A. The P versus NP Problem, Clay Mathematics Institute. https://www.claymath.org/wp-content/uploads/2022/06/pvsnp.pdf, 2022. Accessed December 12, 2024.
- Sudan, M. The P vs. NP problem. http://people.csail.mit.edu/madhu/papers/2010/pnp.pdf, 2010. Accessed December 12, 2024.
- Fortnow, L. Fifty years of P vs. NP and the possibility of the impossible. Communications of the ACM 2022, 65, 76–85. [Google Scholar] [CrossRef]
- Aaronson, S. P=?NP. Open Problems in Mathematics 2016, pp. 1–122. [CrossRef]
- Baker, T.; Gill, J.; Solovay, R. Relativizations of the P=?NP Question. SIAM Journal on Computing 1975, 4, 431–442. [CrossRef]
- Razborov, A.A.; Rudich, S. Natural Proofs. Journal of Computer and System Sciences 1997, 1, 24–35. [Google Scholar] [CrossRef]
- Wigderson, A. Mathematics and Computation: A Theory Revolutionizing Technology and Science; Princeton University Press, 2019.
- Cormen, T.H.; Leiserson, C.E.; Rivest, R.L.; Stein, C. Introduction to Algorithms, 3rd ed.; The MIT Press, 2009.
- Garey, M.R.; Johnson, D.S. Computers and Intractability: A Guide to the Theory of NP-Completeness, 1 ed.; San Francisco: W. H. Freeman and Company, 1979.
- Karp, R.M.; Upfal, E.; Wigderson, A. Constructing a perfect matching is in random NC. Combinatorica 1986, 6, 35–48. [Google Scholar] [CrossRef]
- Greenlaw, R.; Hoover, H.J.; Ruzzo, W.L. Limits to Parallel Computation: P-Completeness Theory; Oxford University Press, USA, 1995.
- Galil, Z. Efficient algorithms for finding maximum matching in graphs. ACM Computing Surveys (CSUR) 1986, 18, 23–38. [Google Scholar] [CrossRef]
- Schaefer, T.J. The complexity of satisfiability problems. STOC ’78: Proceedings of the tenth annual ACM symposium on Theory of computing, 1978, pp. 216–226. [CrossRef]
- Fortnow, L. The status of the P versus NP problem. Communications of the ACM 2009, 52, 78–86. [Google Scholar] [CrossRef]
|
Disclaimer/Publisher’s Note: The statements, opinions and data contained in all publications are solely those of the individual author(s) and contributor(s) and not of MDPI and/or the editor(s). MDPI and/or the editor(s) disclaim responsibility for any injury to people or property resulting from any ideas, methods, instructions or products referred to in the content. |
© 2024 by the authors. Licensee MDPI, Basel, Switzerland. This article is an open access article distributed under the terms and conditions of the Creative Commons Attribution (CC BY) license (http://creativecommons.org/licenses/by/4.0/).