Submitted:
19 September 2024
Posted:
20 September 2024
You are already at the latest version
Abstract
Keywords:
1. Introduction
2. Results
2.1. Clinical Characteristics
2.2. Lipid Profile Analysis
3. Discussion
4. Materials and Methods
4.1. Study Desing
4.2. HPLC-MS/MS Analysis of Plasma Lipid Extracts
4.3. Statistical Analysis
5. Conclusions
Supplementary Materials
Author Contributions
Funding
Institutional Review Board Statement
Informed Consent Statement
Data Availability Statement
Conflicts of Interest
References
- McBain, R.D.; Dekker, G.A.; Clifton, V.L.; Mol, B.W.; Grzeskowiak, L.E. Impact of inter-pregnancy BMI change on perinatal outcomes: a retrospective cohort study. Eur. J. Obstet. Gynecol. Reprod. Biol. 2016, 205, 98–104. [Google Scholar] [CrossRef] [PubMed]
- Catalano, P.M.; Mouzon, S.H. Is it time to revisit the Pedersen hypothesis in the face of the obesity epidemic ? Am. J. Obstet. Gynecol. 2011, 204, 479–487. [Google Scholar] [CrossRef] [PubMed]
- Pedersen, M.L.; Lind, O.; Abelsen, T.; Olesen, J.; Jørgensen, M.E. Gestational diabetes and macrosomia among Greenlanders. Time to change diagnostic strategy? Int. J. Circumpolar Health 2018, 77, 1528126. [Google Scholar] [CrossRef]
- Olmos, P.; Martelo, G.; Reimer, V.; Rigotti, A.; Busso, D.; Belmar, C.; González, R.; Goldenberg, D.; Samith, B.; Santos, J.L.; et al. La hipótesis de Pedersen no es suficiente: Otros nutrientes además de la glucosa explicarían la macrosomía fetal en pacientes diabéticas gestacionales con sobrepeso y buen control glicémico. Rev. Med. Chil. 2013, 141, 1441–1448. [Google Scholar] [CrossRef] [PubMed]
- Walsh, J.M.; Wallace, M.; Brennan, L.; McAuliffe, F.M. Early pregnancy maternal urinary metabolomic profile and later insulin resistance and fetal adiposity. J. Matern. Neonatal Med. 2015, 28, 1697–1700. [Google Scholar] [CrossRef] [PubMed]
- Szabo, A.J. Transferred maternal fatty acids stimulate fetal adipogenesis and lead to neonatal and adult obesity. Med. Hypotheses 2019, 122, 82–88. [Google Scholar] [CrossRef]
- Liu, K.; Ye, K.; Han, Y.; Sheng, J.; Jin, Z.; Bo, Q.; Hu, C.; Hu, C.; Li, L. Maternal and cord blood fatty acid patterns with excessive gestational weight gain and neonatal macrosomia. Asia Pac. J. Clin. Nutr. 2017, 26, 291–297. [Google Scholar] [CrossRef]
- Ciborowski, M.; Zbucka-Kretowska, M.; Bomba-Opon, D.; Wielgos, M.; Brawura-Biskupski-Samaha, R.; Pierzynski, P.; Szmitkowski, M.; Wolczynski, S.; Lipinska, D.; Citko, A.; et al. Potential first trimester metabolomic biomarkers of abnormal birth weight in healthy pregnancies. Prenat. Diagn. 2014, 34, 870–877. [Google Scholar] [CrossRef]
- Liu, L.; Wang, H.; Zhang, Y.; Niu, J.; Li, Z.; Tang, R. Effect of pregravid obesity on perinatal outcomes in singleton pregnancies following in vitro fertilization and the weight-loss goals to reduce the risks of poor pregnancy outcomes: A retrospective cohort study. PLoS One 2020, 15, e0227766. [Google Scholar] [CrossRef]
- Gault, C.R.; Obeid, L.M.; Hannun, Y.A. An overview of sphingolipid metabolism: From synthesis to breakdown. Adv. Exp. Med. Biol. 2010, 688, 1–23. [Google Scholar] [CrossRef]
- Dai, J.; Boghossian, N.S.; Sarzynski, M.A.; Luo, F.; Sun, X.; Li, J.; Fiehn, O.; Liu, J.; Chen, L. Metabolome-Wide Associations of Gestational Weight Gain in Pregnant Women with Overweight and Obesity. Metabolites 2022, 12, 960. [Google Scholar] [CrossRef] [PubMed]
- Papandreou, C.; García-Gavilán, J.; Camacho-Barcia, L.; Toft Hansen, T.; Harrold, J.A.; Sjödin, A.; Halford, J.C.G.; Bulló, M. Changes in Circulating Metabolites During Weight Loss are Associated with Adiposity Improvement, and Body Weight and Adiposity Regain During Weight Loss Maintenance: The SATIN Study. Mol. Nutr. Food Res. 2021, 65, 2001154. [Google Scholar] [CrossRef]
- Pietiläinen, K.H.; Sysi-Aho, M.; Rissanen, A.; Seppänen-Laakso, T.; Yki-Järvinen, H.; Kaprio, J.; Orešič, M. Acquired obesity is associated with changes in the serum lipidomic profile independent of genetic effects—A monozygotic twin study. PLoS One 2007, 2, e218. [Google Scholar] [CrossRef]
- Lau, C.H.E.; Taylor-Bateman, V.; Vorkas, P.A.; Graça, G.; Vu, T.H.T.; Hou, L.; Chekmeneva, E.; Ebbels, T.M.D.; Chan, Q.; Van Horn, L.; et al. Metabolic signatures of gestational weight gain and postpartum weight loss in a lifestyle intervention study of overweight and obese women. Metabolites 2020, 10, 498. [Google Scholar] [CrossRef] [PubMed]
- Lai, M.; Liu, Y.; Ronnett, G.V.; Wu, A.; Cox, B.J.; Dai, F.F.; Rost, H.L.; Gunderson, E.P.; Wheeler, M.B. Amino acid and lipid metabolism in postgestational diabetes and progression to type 2 diabetes: A metabolic profiling study. PLoS Med. 2020, 17, e1003112. [Google Scholar] [CrossRef] [PubMed]
- Liebmann, M.; Grupe, K.; Asuaje Pfeifer, M.; Rustenbeck, I.; Scherneck, S. Differences in lipid metabolism in acquired versus preexisting glucose intolerance during gestation: role of free fatty acids and sphingosine-1-phosphate. Lipids Health Dis. 2022, 21, 99. [Google Scholar] [CrossRef] [PubMed]
- D’Arcy, R.J.; Cooke, I.E.; McKinley, M.; McCance, D.R.; Graham, U.M. First-trimester glycaemic markers as predictors of gestational diabetes and its associated adverse outcomes: A prospective cohort study. Diabet. Med. 2023, 40, e15019. [Google Scholar] [CrossRef] [PubMed]
- Tonoyan, N.M.; Tokareva, A.O.; Chagovets, V.V.; Starodubtseva, N.L.; Kozachenko, I.F.; Adamyan, L. V. Possibilities for predicting recurrent uterine myoma by plasma lipidomic analysis. Obstet. Gynegology 2019, 136–151. [Google Scholar] [CrossRef]
- Odinokova, V.A.; Chagovets, V.V.; Shmakov, R.G.; Starodubtseva, N.L.; Salimova, D.F.; Kononikhin, A.S.; Frankevich, V.E. Features of serum lipidome in pregnant women with fetal macrosomia and a concurrence of macrosomia with gestational diabetes mellitus. Obstet. Gynegology 2019, 44–51. [Google Scholar] [CrossRef]
- Tokareva, A.O.; Chagovets, V.V.; Starodubtseva, N.L.; Nazarova, N.M.; Nekrasova, M.E.; Kononikhin, A.S.; Frankevich, V.E.; Nikolaev, E.N.; Sukhikh, G.T. Feature selection for OPLS discriminant analysis of cancer tissue lipidomics data. J. Mass Spectrom. 2020, 55, e4457. [Google Scholar] [CrossRef]
- Fahy, E.; Sud, M.; Cotter, D.; Subramaniam, S. LIPID MAPS online tools for lipid research. Nucleic Acids Res. 2007, 35, 606–612. [Google Scholar] [CrossRef] [PubMed]
- Sud, M.; Fahy, E.; Cotter, D.; Brown, A.; Dennis, E.A.; Glass, C.K.; Merrill, A.H.; Murphy, R.C.; Raetz, C.R.H.; Russell, D.W.; et al. LMSD: LIPID MAPS structure database. Nucleic Acids Res. 2007, 35, 527–532. [Google Scholar] [CrossRef] [PubMed]




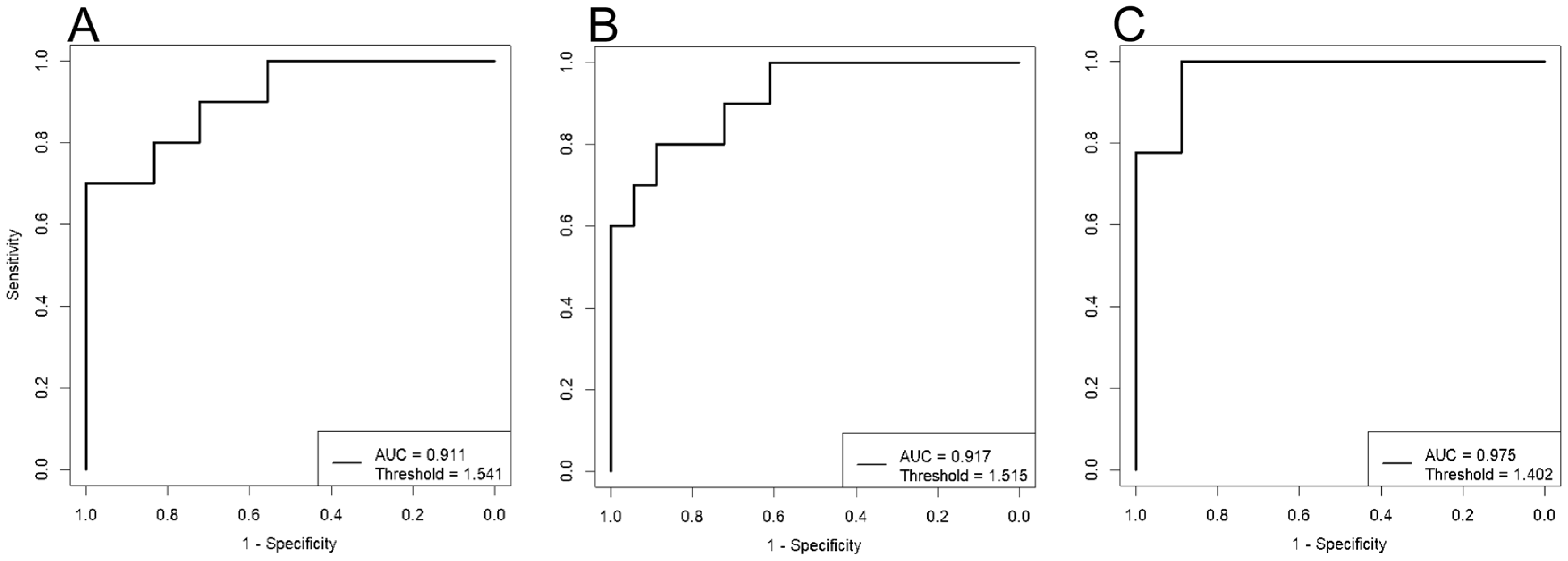
| Model | AUC | Threshold | Sensitivity | Specificity |
|---|---|---|---|---|
| 11-14 weeks | 0.91 | 1.54 | 0.8 (0.6; 1) | 1 (0.61; 1) |
| 18-21 weeks | 0.92 | 1.52 | 0.9 (0.6; 1) | 0.94 (0.56; 1) |
| 30-32 weeks | 0.98 | 1.4 | 1 (0.89; 1) | 0.94 (0.78; 1) |
Disclaimer/Publisher’s Note: The statements, opinions and data contained in all publications are solely those of the individual author(s) and contributor(s) and not of MDPI and/or the editor(s). MDPI and/or the editor(s) disclaim responsibility for any injury to people or property resulting from any ideas, methods, instructions or products referred to in the content. |
© 2024 by the authors. Licensee MDPI, Basel, Switzerland. This article is an open access article distributed under the terms and conditions of the Creative Commons Attribution (CC BY) license (http://creativecommons.org/licenses/by/4.0/).