Submitted:
17 September 2024
Posted:
17 September 2024
You are already at the latest version
Abstract
Keywords:
1. Introduction
2. Materials and Methods
2.1. Study Design and Patients
2.2. Laboratory Tests and Clinical Examinations
2.3. Echocardiac Ultrasound Protocol
2.4. Definitions and Outcomes
2.5. Statistical Analysis
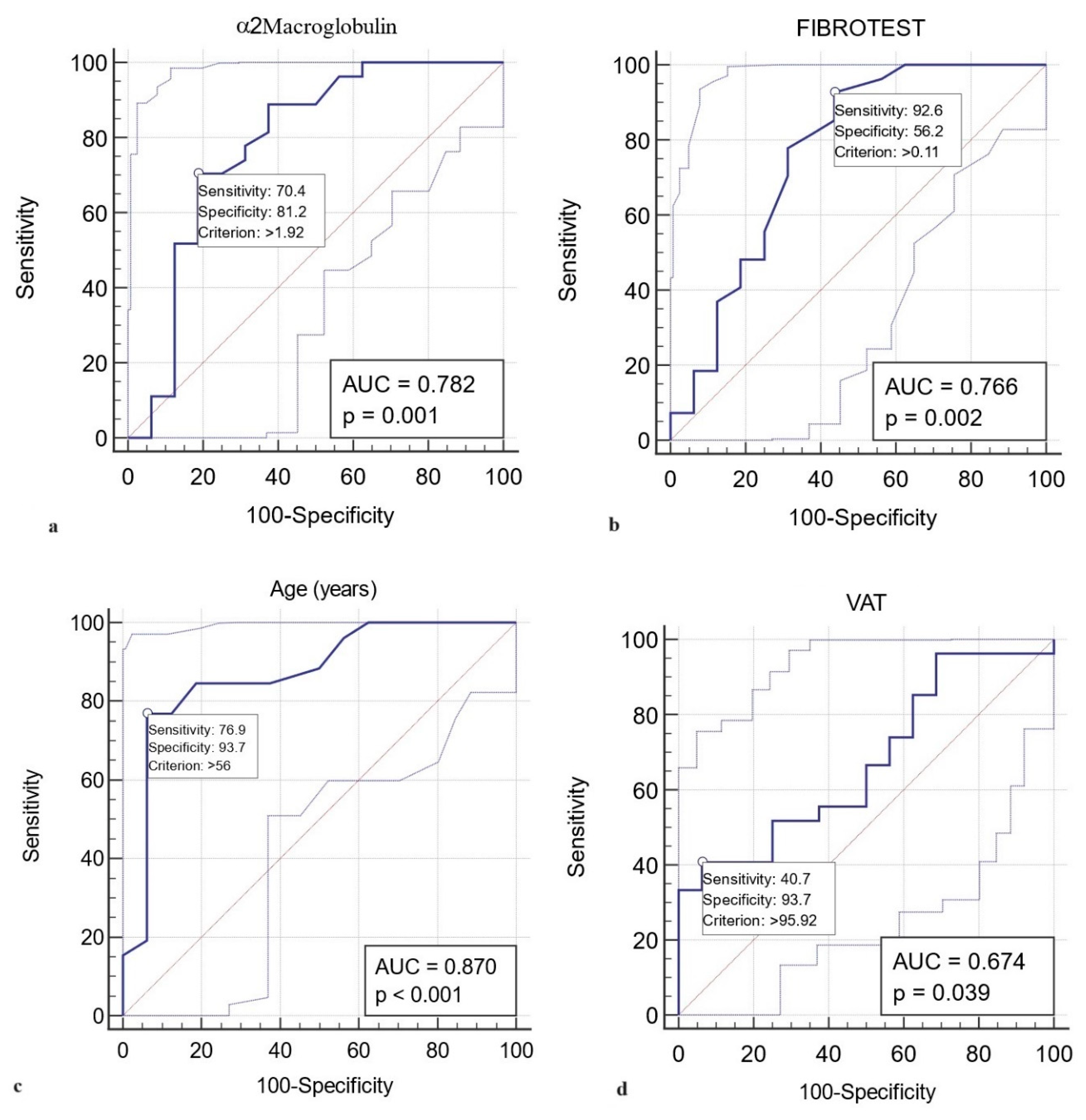
3. Results
4. Discussion
5. Conclusions
Supplementary Materials
Author Contributions
Funding
Institutional Review Board Statement
Informed Consent Statement
Data Availability Statement
Acknowledgments
Conflicts of Interest
References
- Organization WHO. WHO mortality database. 2016.
- Albai O, Braha A, Timar B, Sima A, Deaconu L, Timar R. Assessment of the Negative Factors for the Clinical Outcome in Patients with SARS-CoV-2 Infection and Type 2 Diabetes Mellitus. Diabetes Metab Syndr Obes. 2024;17:271-82.
- Diabet FRd. Barometrul privind diabetul zaharat în România Romania2023 [Available from: România (forumdiabet.ro).
- Sima A, Sporea I, Timar R, Vlad M, Braha A, Popescu A, et al. NON-INVASIVE ASSESSMENT OF LIVER STEATOSIS AND FIBROSIS USING TRANSIENT ELASTOGRAPHY AND CONTROLLED ATTENUATION PARAMETER IN TYPE 2 DIABETES PATIENTS. Acta Endocrinologica (Bucharest). 2018;14(3):394.
- Braha A, Simion A, Timar R, Timar B. Factors Associated with Increased Intraocular Pressure in Type 2 Diabetes Patients. J Clin Med. 2024;13(3). [CrossRef]
- Braha A, Timar B, Diaconu L, Lupusoru R, Vasiluta L, Sima A, et al. Dynamics of Epicardiac Fat and Heart Function in Type 2 Diabetic Patients Initiated with SGLT-2 Inhibitors. Diabetes Metab Syndr Obes. 2019;12:2559-66. [CrossRef]
- Gonzalez-Manzanares R, Anguita-Gámez M, Muñiz J, Barrios V, Gimeno-Orna JA, Pérez A, et al. Prevalence and incidence of heart failure in type 2 diabetes patients: results from a nationwide prospective cohort-the DIABET-IC study. Cardiovasc Diabetol. 2024;23(1):253. [CrossRef]
- Shuvo SD, Hossen MT, Riazuddin M, Hossain MS, Mazumdar S, Parvin R, et al. Prevalence of comorbidities and its associated factors among type-2 diabetes patients: a hospital-based study in Jashore District, Bangladesh. BMJ Open. 2023;13(9):e076261.
- Messina R, Mezuk B, Rosa S, Iommi M, Fantini MP, Lenzi J, et al. Age of type 2 diabetes onset as a risk factor for dementia: A 13-year retrospective cohort study. Diabetes Res Clin Pract. 2024;213:111760. [CrossRef]
- Albai O, Timar B, Braha A, Timar R. Predictive Factors of Anxiety and Depression in Patients with Type 2 Diabetes Mellitus. J Clin Med. 2024;13(10). [CrossRef]
- Lindblad P, Chow WH, Chan J, Bergström A, Wolk A, Gridley G, et al. The role of diabetes mellitus in the aetiology of renal cell cancer. Diabetologia. 1999;42(1):107-12. [CrossRef]
- Balasubramanyam, M. Diabetic oncopathy--one more yet another deadly diabetic complication! Indian J Med Res. 2014;140(1):15-8.
- Roman D, Saftescu S, Timar B, Avram V, Braha A, Negru Ș, et al. Diabetes Mellitus and Other Predictors for the Successful Treatment of Metastatic Colorectal Cancer: A Retrospective Study. Medicina (Kaunas). 2022;58(7). [CrossRef]
- Săftescu S, Popovici D, Oprean C, Negru A, Croitoru A, Zemba M, et al. Endurance of erythrocyte series in chemotherapy. Exp Ther Med. 2020;20(6):214. [CrossRef]
- Popovici D, Stanisav C, Pricop M, Dragomir R, Saftescu S, Ciurescu D. Associations between Body Mass Index and Prostate Cancer: The Impact on Progression-Free Survival. Medicina (Kaunas). 2023;59(2). [CrossRef]
- Cristea, DC. EVIDENŢA EVOLUŢIEI DIABETULUI ZAHARAT ÎN PERIOADA 2012-2021. MINISTERUL SĂNĂTĂŢII. INSTITUTUL NAŢIONAL DE SĂNĂTATE PUBLICĂ CENTRUL NAŢIONAL DE STATISTICĂ ÎN SĂNĂTATE PUBLICĂ; 2022.
- American Diabetes Association Professional Practice, C. Summary of Revisions: Standards of Care in Diabetes—2024. Diabetes Care. 2023;47(Supplement_1):S5-S10.
- Bui AL, Horwich TB, Fonarow GC. Epidemiology and risk profile of heart failure. Nat Rev Cardiol. 2011;8(1):30-41. [CrossRef]
- Dunlay SM, Givertz MM, Aguilar D, Allen LA, Chan M, Desai AS, et al. Type 2 Diabetes Mellitus and Heart Failure: A Scientific Statement From the American Heart Association and the Heart Failure Society of America: This statement does not represent an update of the 2017 ACC/AHA/HFSA heart failure guideline update. Circulation. 2019;140(7):e294-e324. [CrossRef]
- Yan T, Zhu S, Yin X, Xie C, Xue J, Zhu M, et al. Burden, Trends, and Inequalities of Heart Failure Globally, 1990 to 2019: A Secondary Analysis Based on the Global Burden of Disease 2019 Study. J Am Heart Assoc. 2023;12(6):e027852. [CrossRef]
- Gómez-Perez AM, Damas-Fuentes M, Cornejo-Pareja I, Tinahones FJ. Heart Failure in Type 1 Diabetes: A Complication of Concern? A Narrative Review. J Clin Med. 2021;10(19). [CrossRef]
- Ng LL, Sandhu JK, Squire IB, Davies JE, Jones DJ. Vitamin D and prognosis in acute myocardial infarction. Int J Cardiol. 2013;168(3):2341-6. [CrossRef]
- Bozkurt B, Coats AJS, Tsutsui H, Abdelhamid CM, Adamopoulos S, Albert N, et al. Universal definition and classification of heart failure: a report of the Heart Failure Society of America, Heart Failure Association of the European Society of Cardiology, Japanese Heart Failure Society and Writing Committee of the Universal Definition of Heart Failure: Endorsed by the Canadian Heart Failure Society, Heart Failure Association of India, Cardiac Society of Australia and New Zealand, and Chinese Heart Failure Association. Eur J Heart Fail. 2021;23(3):352-80.
- Bouthoorn S, Gohar A, Valstar G, den Ruijter HM, Reitsma JB, Hoes AW, et al. Prevalence of left ventricular systolic dysfunction and heart failure with reduced ejection fraction in men and women with type 2 diabetes mellitus: a systematic review and meta-analysis. Cardiovasc Diabetol. 2018;17(1):58. [CrossRef]
- Bouthoorn S, Valstar GB, Gohar A, den Ruijter HM, Reitsma HB, Hoes AW, et al. The prevalence of left ventricular diastolic dysfunction and heart failure with preserved ejection fraction in men and women with type 2 diabetes: A systematic review and meta-analysis. Diab Vasc Dis Res. 2018;15(6):477-93. [CrossRef]
- Hoek AG, Dal Canto E, Wenker E, Bindraban N, Handoko ML, Elders PJM, et al. Epidemiology of heart failure in diabetes: a disease in disguise. Diabetologia. 2024;67(4):574-601. [CrossRef]
- Paulus WJ, Tschöpe C. A novel paradigm for heart failure with preserved ejection fraction: comorbidities drive myocardial dysfunction and remodeling through coronary microvascular endothelial inflammation. J Am Coll Cardiol. 2013;62(4):263-71.
- Lazarus JV, Mark HE, Anstee QM, Arab JP, Batterham RL, Castera L, et al. Advancing the global public health agenda for NAFLD: a consensus statement. Nat Rev Gastroenterol Hepatol. 2022;19(1):60-78. [CrossRef]
- Abdallah LR, de Matos RC, YPDM ES, Vieira-Soares D, Muller-Machado G, Pollo-Flores P. Nonalcoholic Fatty Liver Disease and Its Links with Inflammation and Atherosclerosis. Curr Atheroscler Rep. 2020;22(1):7. [CrossRef]
- Chang W, Wang Y, Sun L, Yu D, Li Y, Li G. Evaluation of left atrial function in type 2 diabetes mellitus patients with nonalcoholic fatty liver disease by two-dimensional speckle tracking echocardiography. Echocardiography. 2019;36(7):1290-7. [CrossRef]
- Eslam M, Newsome PN, Sarin SK, Anstee QM, Targher G, Romero-Gomez M, et al. A new definition for metabolic dysfunction-associated fatty liver disease: An international expert consensus statement. J Hepatol. 2020;73(1):202-9. [CrossRef]
- Eslam M, Sanyal AJ, George J. MAFLD: A Consensus-Driven Proposed Nomenclature for Metabolic Associated Fatty Liver Disease. Gastroenterology. 2020;158(7):1999-2014.e1. [CrossRef]
- Younossi ZM, Rinella ME, Sanyal AJ, Harrison SA, Brunt EM, Goodman Z, et al. From NAFLD to MAFLD: Implications of a Premature Change in Terminology. Hepatology. 2021;73(3):1194-8. [CrossRef]
- Peng D, Yu Z, Wang M, Shi J, Sun L, Zhang Y, et al. Association of Metabolic Dysfunction-Associated Fatty Liver Disease With Left Ventricular Diastolic Function and Cardiac Morphology. Front Endocrinol (Lausanne). 2022;13:935390. [CrossRef]
- Anstee QM, Mantovani A, Tilg H, Targher G. Risk of cardiomyopathy and cardiac arrhythmias in patients with nonalcoholic fatty liver disease. Nat Rev Gastroenterol Hepatol. 2018;15(7):425-39. [CrossRef]
- Yong JN, Ng CH, Lee CW, Chan YY, Tang ASP, Teng M, et al. Nonalcoholic fatty liver disease association with structural heart, systolic and diastolic dysfunction: a meta-analysis. Hepatol Int. 2022;16(2):269-81.
- Di Minno MN, Di Minno A, Ambrosino P, Songia P, Tremoli E, Poggio P. Aortic valve sclerosis as a marker of atherosclerosis: Novel insights from hepatic steatosis. Int J Cardiol. 2016;217:1-6. [CrossRef]
- Mantovani A, Dauriz M, Sandri D, Bonapace S, Zoppini G, Tilg H, et al. Association between nonalcoholic fatty liver disease and risk of atrial fibrillation in adult individuals: An updated meta-analysis. Liver Int. 2019;39(4):758-69. [CrossRef]
- Cai X, Zheng S, Liu Y, Zhang Y, Lu J, Huang Y. Nonalcoholic fatty liver disease is associated with increased risk of atrial fibrillation. Liver Int. 2020;40(7):1594-600. [CrossRef]
- Mantovani A, Petracca G, Csermely A, Beatrice G, Bonapace S, Rossi A, et al. Nonalcoholic fatty liver disease and risk of new-onset heart failure: an updated meta-analysis of about 11 million individuals. Gut. 2022. [CrossRef]
- Gohil NV, Tanveer N, Makkena VK, Jaramillo AP, Awosusi BL, Ayyub J, et al. Nonalcoholic Fatty Liver Disease and Its Association With Left Ventricular Diastolic Dysfunction: A Systematic Review. Cureus. 2023;15(8):e43013. [CrossRef]
- Samouda H, Dutour A, Chaumoitre K, Panuel M, Dutour O, Dadoun F. VAT=TAAT-SAAT: innovative anthropometric model to predict visceral adipose tissue without resort to CT-Scan or DXA. Obesity (Silver Spring). 2013;21(1):E41-50. [CrossRef]
- Goff DC, Jr., Lloyd-Jones DM, Bennett G, Coady S, D'Agostino RB, Gibbons R, et al. 2013 ACC/AHA guideline on the assessment of cardiovascular risk: a report of the American College of Cardiology/American Heart Association Task Force on Practice Guidelines. Circulation. 2014;129(25 Suppl 2):S49-73.
- Arnett DK, Blumenthal RS, Albert MA, Buroker AB, Goldberger ZD, Hahn EJ, et al. 2019 ACC/AHA Guideline on the Primary Prevention of Cardiovascular Disease: A Report of the American College of Cardiology/American Heart Association Task Force on Clinical Practice Guidelines. Circulation. 2019;140(11):e596-e646.
- Nagueh SF, Smiseth OA, Appleton CP, Byrd BF, 3rd, Dokainish H, Edvardsen T, et al. Recommendations for the Evaluation of Left Ventricular Diastolic Function by Echocardiography: An Update from the American Society of Echocardiography and the European Association of Cardiovascular Imaging. J Am Soc Echocardiogr. 2016;29(4):277-314.
- Rinella ME, Lazarus JV, Ratziu V, Francque SM, Sanyal AJ, Kanwal F, et al. A multisociety Delphi consensus statement on new fatty liver disease nomenclature. J Hepatol. 2023;79(6):1542-56. [CrossRef]
- Braha A, Albai A, Timar R, Diaconu L, Vasiluță L, Cipu D, et al. Factors Associated with the Remission of Type 1 Diastolic Dysfunction after Dapagliflozin Treatment in Patients with Type 2 Diabetes. J Clin Med. 2020;9(11). [CrossRef]
- Braha A, Albai A, Timar B, Cipu D, Vasiluță L, Potre O, et al. Predictors of Epicardial Fat Volume Decrease after Dapagliflozin Treatment in Patients with Type 2 Diabetes. Medicina (Kaunas). 2021;58(1). [CrossRef]
- Cohen JB, Schrauben SJ, Zhao L, Basso MD, Cvijic ME, Li Z, et al. Clinical Phenogroups in Heart Failure With Preserved Ejection Fraction: Detailed Phenotypes, Prognosis, and Response to Spironolactone. JACC Heart Fail. 2020;8(3):172-84.
- Andus T, Gross V, Tran-Thi TA, Schreiber G, Nagashima M, Heinrich PC. The biosynthesis of acute-phase proteins in primary cultures of rat hepatocytes. Eur J Biochem. 1983;133(3):561-71. [CrossRef]
- Shimomura R, Nezu T, Hosomi N, Aoki S, Sugimoto T, Kinoshita N, et al. Alpha-2-macroglobulin as a Promising Biological Marker of Endothelial Function. J Atheroscler Thromb. 2018;25(4):350-8. [CrossRef]
- de Laat-Kremers R, Costanzo S, Yan Q, Di Castelnuovo A, De Curtis A, Cerletti C, et al. High alpha-2-macroglobulin levels are a risk factor for cardiovascular disease events: A Moli-sani cohort study. Thromb Res. 2024;234:94-100. [CrossRef]
- Mokou M, Lygirou V, Vlahou A, Mischak H. Proteomics in cardiovascular disease: recent progress and clinical implication and implementation. Expert Review of Proteomics. 2017;14(2):117-36. [CrossRef]


| Variable | Women (n= 27) | Men (n= 23) | p a |
| Age a (years) | 57.5±11.5 | 58.6±11.2 | 0.7 |
| Diabetes duration a (years) | 8 (21.2) | 7 (22.8) | 0.6 |
| Abdominal waist a (cm) | 115 (22.4) | 116 (27.1) | 0.2 |
| Hip waist a (cm) | 106 (25.7) | 105 (22.1) | 0.3 |
| BMI a (kg/m2) | 35.2 (25.5) | 33.3 (25.4) | 0.9 |
| VAT a (cm²) | 55.7 (20.7) | 95.7 (31.1) | 0.01 |
| FG a (mg/dL) | 143 (22.4) | 158 (29.1) | 0.1 |
| HbA1c a (%) | 7.9 (22.5) | 8.1 (25.7) | 0.4 |
| Haptoglobin a | 1.6 (25) | 1.6 (25.9) | 0.8 |
| ɑ2 Macroglobulin a | 2 (26.6) | 1.9 (24.1) | 0.5 |
| Apo A1 a | 1.5 (29.7) | 1.3 (20.5) | 0.02 |
| TG a (mg/dL) | 153 (25) | 157 (26) | 0.8 |
| TC a (mg/dL) | 170 (29.2) | 135 (21.1) | 0.04 |
| HDLc a (mg/dL) | 46 (28.8) | 40.9 (20.2) | 0.03 |
| LDLc a (mg/dL) | 109 (28.6) | 85 (19.1) | 0.01 |
| Uric Acid a (mg/dL) | 5.5 (23.5) | 5.5 (25.7) | 0.5 |
| eGFR a (ml/min) | 84.1 (16.6) | 88.2 (21.1) | 0.2 |
| Serum creatinine a (mg/dL) | 0.7 (21.3) | 0.9 (30.3) | 0.02 |
| UACr a (mg/g) | 11.1 (19.8) | 6.1 (16.2) | 0.3 |
| ALT a (u/L) | 26 (22.3) | 32 (29.2) | 0.09 |
| AST a (u/L) | 20 (24.7) | 20 (26.3) | 0.7 |
| TB a | 0.4 (22.4) | 0.5 (29) | 0.1 |
| FAL a | 87 (19.5) | 76 (15.2) | 0.2 |
| GGT a | 30 (25.4) | 32 (25.5) | 0.9 |
| EAT b (mm) | 4±1.5 | 4.3±1.7 | 0.6 |
| TAPSE a (cm) | 2.5 (20) | 2.6 (21.1) | 0.7 |
| GLS a (%) | 17.4 (11.5) | 14.2 (5.4) | 0.02 |
| LVEF a (%) | 56 (21.1) | 58 (24.2) | 0.4 |
| LA a (cm) | 3.6 (19.7) | 3.8 (25.1) | 0.1 |
| MV s` lateral wall a (cm/s) | 8 (19.7) | 9 (23.8) | 0.2 |
| MV s` septum a (cm/s) | 7 (20.9) | 7.5 (23.5) | 0.4 |
| DTE a (ms) | 204 (21) | 207 (21) | 1 |
| MV a' lateral wall a (cm/s) | 10.5 (19.3) | 12 (23.2) | 0.2 |
| MV a` septum a (cm/s) | 10 (18.1) | 11 (26.5) | 0.02 |
| Ascending AO b (cm) | 2.7±0.4 | 3.0±0.2 | 0.04 |
| MV A-wave Vmax a (cm/s) | 82 (25.1) | 76.5 (17.6) | 0.05 |
| MV E-wave Vmax a (cm/s) | 67 (22.9) | 63 (21.9) | 0.8 |
| average E/e` a | 7 (20.6) | 7.1 (21.5) | 0.8 |
| MV e` septum a (cm/s) | 8 (23.1) | 8.5 (20.4) | 0.4 |
| MV e` lateral wall a (cm/s) | 10 (19.7) | 10.5 (23.8) | 0.2 |
| PCE risk a (%) | 15.2 (13) | 27.9 (17.8) | 0.1 |
| FIBROTEST score a | 0.1 (21.6) | 0.2 (30) | 0.04 |
| ACTITEST score a | 0.1 (21.3) | 0.1 (30.3) | 0.03 |
| ASHTEST score a | 0.01 (29.2) | 0.0 (21) | 0.03 |
| NASHTEST score a | 0.5 (26.4) | 0.5 (23.3) | 0.4 |
| STEATOTEST score b | 0.6±0.1 | 0.6±0.1 | 0.9 |
| Variable | With LVDD grade I (n= 27) |
Without LVDD grade I (n= 23) | ∆ | p a |
| Age a (years) | 63.5 (27.4) | 50.5 (11.8) | -13.1 | 0.0001 |
| Diabetes duration a (years) | 9 (19.8) | 7 (15.7) | -3.5 | 0.2 |
| Abdominal waist a (cm) | 115 (22.9) | 112.5 (19.1) | -3 | 0.3 |
| Hip waist a (cm) | 104 (20.7) | 104 (20.1) | -2 | 0.8 |
| BMI a (kg/m2) | 34.2 (22.7) | 34.2 (20.7) | -1.5 | 0.6 |
| VAT b (cm²) | 86.2±46.9 | 57.7±33.9 | -28.4 | 0.04 |
| FG b (mg/dL) | 145.4± 36.6 | 143± 36.3 | -2.4 | 0.8 |
| HbA1c a (%) | 7.7 (17.8) | 8.8 (24.9) | 0.8 | 0.06 |
| Haptoglobin b (g/L) | 1.8± 0.6 | 1.5± 0.3 | -0.2 | 0.08 |
| ɑ2 Macroglobulin a (g/L) | 2.2 (26.5) | 1.6 (14.3) | -0.5 | 0.002 |
| Apo A1 a (g/L) | 1.4 (22.8) | 1.4 (20.5) | -0.0 | 0.5 |
| TG a (mg/dL) | 117 (20.1) | 167.5 (25.1) | 8.3 | 0.2 |
| TC b (mg/dL) | 158.2±47.4 | 168.6±46.1 | 10.4 | 0.4 |
| HDLc a (mg/dL) | 42 (22.3) | 42.5 (21.4) | -0.9 | 0.8 |
| LDLc a (mg/dL) | 91 (18.9) | 111.5 (24.2) | 15.2 | 0.1 |
| Uric Acid a (mg/dL) | 5.6 (24) | 5.3 (18.4) | -0.3 | 0.1 |
| eGFR b (ml/min) | 82.7±18.3 | 95±16.6 | 12.2 | 0.06 |
| Serum creatinine b (mg/dL) | 0.8±0.1 | 0.7±0.1 | -0.0 | 0.6 |
| UACr a (mg/g) | 13 (17) | 5.7 (11.1) | -58.3 | 0.07 |
| ALT a (u/L) | 27 (19.6) | 30.5 (25.9) | -3.9 | 0.1 |
| AST b (u/L) | 22.8±16.7 | 19.3±4.4 | -3.5 | 0.4 |
| TB b (µmol/L) | 0.6±0.4 | 0.6±0.3 | -0.0 | 0.9 |
| FAL b | 83.9±22.8 | 81.9±33 | -2 | 0.8 |
| GGT a (u/L) | 29 (21.9) | 31 (22.1) | -13.3 | 0.9 |
| EAT b (mm) | 4.6±1.5 | 3.4±1.6 | -1.2 | 0.01 |
| TAPSE a (cm) | 2.5 (17.5) | 2.8 (23.5) | 0.2 | 0.1 |
| GLS a (%) | 15.5 (8.8) | 17 (10.1) | 0.7 | 0.6 |
| LVEF a (%) | 56 (20.6) | 56.5 (24.3) | 2.0 | 0.3 |
| LA a (cm) | 3.9 (24.9) | 3.3 (14.9) | -0.4 | 0.009 |
| MV s` lateral wall a (cm/s) | 8 (16.6) | 10 (27.8) | 2.2 | 0.002 |
| MV s` septum a (cm/s) | 7 (20.4) | 7 (23.2) | 0.3 | 0.4 |
| DTE a (ms) | 219.5 (27.6) | 183 (9.4) | -56.9 | <0.0001 |
| MV a' lateral wall a (cm/s) | 12 (20.5) | 12 (21.6) | 0.4 | 0.7 |
| MV a` septum a (cm/s) | 10.5 (22.5) | 9.5 (19.7) | -0.3 | 0.4 |
| Ascending AO b (cm) | 2.9 ± 0.3 | 2.6±0.3 | -0.3 | 0.005 |
| MV A-wave Vmax a (cm/s) | 86 (28) | 66 (11.8) | -20.1 | <0.0001 |
| MV E-wave Vmax a (cm/s) | 60 (18) | 71.5 (28.7) | 11.8 | <0.0001 |
| average E/e` a | 7.6 (24.4) | 6.7 (15.6) | -1.4 | <0.0001 |
| MV e` septum a (cm/s) | 7 (15.6) | 10.5 (30.9) | 3.5 | 0.0001 |
| MV e` lateral wall a (cm/s) | 8 (15.1) | 12 (30.1) | 3.7 | 0.0001 |
| PCE risk a (%) | 22.8 (15.1) | 10.8 (7.5) | -13.7 | 0.02 |
| FIBROTEST score a | 0.19 (26.2) | 0.11 (14.8) | -0.1 | 0.003 |
| ACTITEST score a | 0.1 (21) | 0.1 (23.5) | -0.01 | 0.5 |
| ASHTEST score a | 0.01 (24.1) | 0 (18.4) | -0.005 | 0.1 |
| NASHTEST score a | 0.5 (22) | 0.5 (20.5) | -0.01 | 0.6 |
| STEATOTEST score b | 1.9±0.8 | 2.1±0.6 | 0.2 | 0.3 |
| Parameter | R2 | Coefficient | Standard Error | 95% CI | t | p |
| Age (years) | 0.39 | 0.03 | 0.00 | 0.01 - 0.04 | 5.1 | <0.0001 |
| Diabetes duration (years) | 0.06 | 0.01 | 0.01 | -0.00 - 0.04 | 1.5 | 0.1 |
| Abdominal waist (cm) | 0.02 | 0.00 | 0.00 | -0.00 - 0.02 | 0.9 | 0.3 |
| Hip waist (cm) | 0.00 | 0.00 | 0.00 | -0.00 - 0.01 | 0.5 | 0.6 |
| BMI (kg/m2) | 0.01 | 0.00 | 0.01 | -0.01 - 0.03 | 0.7 | 0.4 |
| VAT (cm²) | 0.09 | 0.00 | 0.00 | 0.00 - 0.00 | 2.1 | 0.04 |
| TyG index | 0.00 | -0.16 | 0.26 | -0.69 - 0.36 | -0.6 | 0.5 |
| FG (mg/dL) | 0.01 | -0.00 | 0.00 | -0.00 - 0.00 | -0.8 | 0.4 |
| HbA1c (%) | 0.05 | -0.06 | 0.04 | -0.16 - 0.02 | -1.5 | 0.1 |
| Haptoglobin (g/L) | 0.06 | 0.23 | 0.13 | -0.03 - 0.51 | 1.7 | 0.08 |
| ɑ2 Macroglobulin (g/L) | 0.16 | 0.33 | 0.11 | 0.09 - 0.56 | 2.8 | 0.006 |
| Apo A1 (g/L) | 0.00 | 0.06 | 0.27 | -0.48 - 0.62 | 0.2 | 0.8 |
| TG (mg/dL) | 0.02 | 0.00 | 0.00 | -0.00 - 0.00 | 1.0 | 0.2 |
| TC (mg/dL) | 0.00 | -0.00 | 0.00 | -0.00 - 0.00 | -0.5 | 0.5 |
| HDLc (mg/dL) | 0.00 | 0.00 | 0.00 | -0.01 - 0.01 | 0.2 | 0.8 |
| LDLc (mg/dL) | 0.03 | -0.00 | 0.00 | -0.00 - 0.00 | -1.2 | 0.2 |
| Uric Acid (mg/dL) | 0.02 | 0.06 | 0.06 | -0.06 - 0.18 | 0.9 | 0.3 |
| eGFR (ml/min) | 0.11 | -0.00 | 0.00 | -0.01 - 0.00 | -1.9 | 0.06 |
| Serum creatinine (mg/dL) | 0.00 | 0.20 | 0.41 | -0.63 - 1.04 | 0.5 | 0.6 |
| UACr (mg/g) | 0.05 | 0.00 | 0.00 | -0.00 - 0.00 | 1.2 | 0.2 |
| ALT (u/L) | 0.00 | -0.00 | 0.00 | -0.01 - 0.00 | -0.3 | 0.6 |
| AST (u/L) | 0.01 | 0.00 | 0.00 | -0.00 - 0.01 | 0.8 | 0.4 |
| TB (µmol/L) | 0.00 | 0.02 | 0.19 | -0.37 - 0.41 | 0.1 | 0.9 |
| FAL | 0.00 | 0.00 | 0.00 | -0.00 - 0.00 | 0.1 | 0.8 |
| GGT (u/L) | 0.02 | 0.00 | 0.00 | -0.00 - 0.00 | 0.9 | 0.3 |
| EAT (mm) | 0.13 | 0.10 | 0.04 | 0.02 - 0.19 | 2.5 | 0.01 |
| TAPSE (cm) | 0.16 | 0.37 | 0.13 | 0.10 - 0.64 | 2.7 | 0.008 |
| GLS (%) | 0.02 | -0.03 | 0.05 | -0.13 - 0.07 | -0.6 | 0.5 |
| LVEF (%) | 0.02 | -0.01 | 0.01 | -0.03 - 0.01 | -1.0 | 0.3 |
| LA (cm) | 0.16 | 0.37 | 0.13 | 0.10 - 0.64 | 2.7 | 0.008 |
| MV s` lateral wall (cm/s) | 0.24 | -0.10 | 0.02 | -0.16 - -0.04 | -3.5 | 0.001 |
| MV s` septum (cm/s) | 0.01 | -0.03 | 0.04 | -0.12 - 0.06 | -0.6 | 0.5 |
| DTE (ms) | 0.40 | 0.00 | 0.00 | 0.00 - 0.00 | 5.1 | <0.0001 |
| MV a` lateral wall (cm/s) | 0.00 | -0.01 | 0.02 | -0.07 - 0.04 | -0.5 | 0.6 |
| MV a` septum (cm/s) | 0.00 | 0.01 | 0.03 | -0.04 - 0.07 | 0.4 | 0.6 |
| Ascending AO (cm) | 0.17 | 0.50 | 0.17 | 0.15 - 0.85 | 2.9 | 0.005 |
| MV A-wave Vmax (cm/s) | 0.27 | 0.01 | 0.00 | 0.00 - 0.02 | 3.9 | 0.0003 |
| MV E-wave Vmax (cm/s) | 0.17 | -0.01 | 0.00 | -0.02 - -0.00 | -2.9 | 0.005 |
| average E/e` | 0.39 | -0.12 | 0.02 | -0.17 - -0.07 | -4.9 | <0.0001 |
| MV e` septum (cm/s) | 0.38 | -0.10 | 0.02 | -0.15 - -0.06 | -5.0 | <0.0001 |
| MV e` lateral wall (cm/s) | 0.37 | -0.10 | 0.02 | -0.14 - -0.05 | -4.8 | <0.0001 |
| PCE risk (%) | 0.18 | 0.01 | 0.00 | 0.00 - 0.02 | 2.2 | 0.03 |
| FIBROTEST score | 0.10 | 0.94 | 0.42 | 0.09 - 1.80 | 2.2 | 0.03 |
| ACTITEST score | 0.00 | 0.21 | 0.66 | -1.12 - 1.55 | 0.3 | 0.7 |
| ASHTEST score | 0.07 | 12.25 | 6.86 | -1.61- 26.13 | 1.7 | 0.08 |
| NASHTEST score | 0.00 | 0.10 | 0.44 | -0.78 - 0.99 | 0.2 | 0.8 |
| STEATOTEST score | 0.01 | -0.40 | 0.49 | -1.41 - 0.60 | -0.8 | 0.4 |
| Variable | Exp (β) | Nagelkerke R2 | Standard Error | Wald | p |
| Age (years) | 1.25 | 0.54 | 3.77 | 10.39 | 0.001 |
| VAT (cm²) | 1.01 | 0.13 | 0.00 | 3.85 | 0.04 |
| ɑ2 Macroglobulin (g/L) | 6.05 | 0.23 | 1.42 | 4.49 | 0.03 |
| EAT (mm) | 1.94 | 0.20 | 0.31 | 4.50 | 0.03 |
| TAPSE (cm)* | 0.89 | 0.00 | 0.21 | 0.25 | 0.6 |
| LA (cm) | 6.43 | 0.22 | 0.77 | 5.82 | 0.01 |
| MV s` lateral wall (cm/s) | 0.56 | 0.31 | 0.21 | 7.31 | 0.006 |
| DTE (ms) | 1.17 | 0.75 | 0.06 | 6.86 | 0.008 |
| Ascending AO (cm) | 12.01 | 0.23 | 0.98 | 6.42 | 0.01 |
| MV A-wave (cm/s) | 1.08 | 0.37 | 0.02 | 8.02 | 0.004 |
| MV E-wave (cm/s) | 0.93 | 0.22 | 0.02 | 6.39 | 0.01 |
| average E/e` | 1.67 | 0.19 | 0.24 | 4.58 | 0.03 |
| MV e` septum (cm/s) | 0.46 | 0.51 | 0.25 | 9.26 | 0.002 |
| MV e` lateral wall (cm/s) | 0.53 | 0.49 | 0.19 | 10.49 | 0.001 |
| PCE risk (%)* | 1.12 | 0.32 | 0.06 | 3.77 | 0.05 |
| FIBROTEST score | 309.2 | 0.16 | 2.88 | 3.94 | 0.04 |
Disclaimer/Publisher’s Note: The statements, opinions and data contained in all publications are solely those of the individual author(s) and contributor(s) and not of MDPI and/or the editor(s). MDPI and/or the editor(s) disclaim responsibility for any injury to people or property resulting from any ideas, methods, instructions or products referred to in the content. |
© 2024 by the authors. Licensee MDPI, Basel, Switzerland. This article is an open access article distributed under the terms and conditions of the Creative Commons Attribution (CC BY) license (http://creativecommons.org/licenses/by/4.0/).